Abstract
γ-Valerolactone (GVL) is a promising bio-based platform molecule with significant potential for energy applications. The production of GVL via biomass-based levulinic acid (LA) is an important reaction. To enhance the conversion and selectivity of non-precious-metal catalysts in the LA-to-GVL process and to better understand the key factors influencing this conversion, we conducted a series of experiments. In this study, supported Cu-Ni bimetallic catalysts (Cu-Ni2/Al2O3) were prepared using layered double hydroxides (LDHs) as a precursor. Compared with Cu-Ni catalysts synthesized via the conventional impregnation method, the Cu-Ni2/Al2O3 catalysts exhibit higher catalytic activity and stability. The results demonstrated that efficient conversion was achieved with isopropanol as the hydrogen donor solvent, a reaction temperature of 180 °C, and a reaction time of 1 h. The yield of GVL reached nearly 90%, with a decrease of approximately only 6% after six consecutive cycles. The Cu-Ni2/Al2O3 catalyst proved to be effective for converting biomass-derived LA to GVL, offering a route that not only reduces production costs and environmental impact but also enables efficient biomass-to-energy conversion.
1. Introduction
Economic development requires energy support, and increasing energy dependence has worsened environmental issues, including air pollution, haze, and the global greenhouse effect, which pose threats to human health [1]. In light of the diminishing non-renewable resources and severe environmental pollution, new solutions have become urgently necessary; consequently, the utilization of renewable energy has rapidly garnered attention [2,3,4,5]. Lignocellulosic biomass is typically available in large quantities from various agricultural products, comprising cellulose, hemicellulose, and lignin. The catalytic conversion of lignocellulose into value-added chemicals has demonstrated great potential [6,7,8]. During the dehydration of lignocellulose, by-products such as levulinic acid (LA) and formic acid are generated [9]. The hydrogenation of LA and its ester derivatives to produce γ-valerolactone (GVL) has attracted significant interest, as GVL can be utilized directly as a food additive, petrol blending agent, solvent, polymer precursor, and in the production of plastics and other valuable chemicals [10,11].
Precious-metal catalysts and non-precious-metal catalysts are both involved in the catalytic conversion of LA to GVL. In the early studies of GVL production through the hydrogenation of LA and its esters, precious-metal catalysts, such as Ir [12], Pd [13], Pt [14], and Ru [15], were widely used. Despite their excellent performance in LA hydrogenation, the high cost, limited availability, and environmental concerns of precious-metal catalysts have driven the search for sustainable alternatives. As a result, non-precious-metal catalysts, including Ni, Cu, and Co [16,17,18], have attracted increasing attention. For instance, Yu et al. [19] investigated the transfer hydrogenation of LA to GVL using acid-modified CuNi alloys. The results revealed that the GVL yield of CuNi-1Al/AC, which contained 5 wt.% CuNi alloy and 5 wt.% Al, was 97.2%, with a 100% conversion rate of LA, under conditions of 220 °C in isopropyl alcohol. Bai et al. [20] studied the selective hydrogenation of LA to GVL using a nickel-based catalyst. Their findings demonstrated that the Ni/Al2O3 catalyst exhibited excellent performance, with a GVL yield of 99.2%. Additionally, Tang et al. [21] developed a Ni-Zn non-precious-metal bimetallic catalyst supported on ordered mesoporous carbon (Ni-Zn@OMC) for the hydrogenation of LA to GVL in water. The results indicated that under reaction conditions of 180 °C for 90 min, the Ni1-Zn1@OMC catalyst achieved a GVL yield of 93%.
Although there have been more studies on non-precious-metal catalysts [19,20,21], their catalytic use is associated with a certain degree of activity reduction, stability deterioration, and other issues. Based on this, catalysts prepared using layered double hydroxides (LDHs) as a precursor exhibit unique advantages and have been attracting increasing attention. LDHs possess surface acidity and alkalinity, as well as tunable metal and interlayer ions, making them a suitable precursor for the preparation of supported metal catalysts by modifying their ionic composition [22,23]. For example, Zhang et al. [24] prepared a Ni4.59Cu1Mg1.58Al1.96Fe0.70 catalyst using hydrotalcite as a precursor for the selective hydrogenation of LA to produce GVL, achieving a GVL yield of 98.1%. Kong et al. [25] utilized a hydrotalcite-derived Ni-Al2O3 catalyst to efficiently convert 5-hydroxymethylfurfural into 2,5-dimethylfuran, 2,5-dimethyltetrahydrofuran, and 2,5-dihydroxymethyltetrahydrofuran, with yields of 91.5%, 97.4%, and 96.2%, respectively. Compared with metal-supported catalysts prepared via the conventional impregnation method, LDH-derived metal catalysts offer several advantages, such as stronger metal–support interactions and a higher dispersion of metal species, and they exhibit higher catalytic performance [26,27]. Notably, bimetallic catalysts exhibit superior catalytic performance compared to monometallic catalysts, significantly improving the selectivity of catalytic reactions [28]. In particular, the alloy structure and spatial proximity of metal–acid sites formed by Cu-Ni bimetallics greatly contribute to activity enhancement, while the strong interaction between Cu and Ni effectively improves both catalytic performance and stability [28,29,30].
Building on this analysis, we synthesized Cu-Ni bimetallic catalysts (Cu-Ni2/Al2O3) using a hydrotalcite precursor and evaluated their performance in LA transfer hydrogenation for GVL production. The effects of various reaction conditions, including hydrogen supply solvent, reaction temperature, and reaction time, on the conversion of LA to GVL were systematically investigated to identify the optimal conditions for the Cu-Ni2/Al2O3 catalysts. Additionally, the recycling performance of the catalysts was assessed to evaluate their stability and reusability.
2. Materials and Methods
2.1. Materials
The reagents used in this study included Cu(NO3)2·3H2O, Ni(NO3)2·6H2O, Al(NO3)3·9H2O, NaOH, and Na2CO3 (AR, ≥99%), which were obtained from Shanghai Maclean Biochemical Science and Technology Co., Ltd. (Shanghai, China). Other reagents, including formic acid, isopropanol, LA, 5-hydroxymethylfurfural, cyclopentanone, cinnamaldehyde, hexanal, and benzaldehyde, were sourced from Aladdin Biochemical Science and Technology Co. (Shanghai, China). Additionally, N2 (99.99%), H2 (99.99%), and H2/Ar (10% vol) were obtained from Fujian Dehe Chemical Co. (Fuzhou, China).
2.2. Methods
2.2.1. Preparation of the Catalyst
CuNiAl hydrotalcites were synthesized via a co-precipitation method. In this process, Cu(NO3)2·3H2O, Ni(NO3)2·6H2O, and Al(NO3)3·9H2O were dissolved in deionized water to form a homogeneous mixed solution. Based on multiple experiments, we set the metal ion ratio of Cu:Ni:Al at 1:2:1. The mixed solution was vigorously stirred in a temperature-controlled water bath at 60 °C. A NaOH and Na2CO3 solution was then added dropwise to the mixture, and the pH was maintained between 9 and 10. Aging was performed under stirring for 30 min. Afterward, the resulting slurry was centrifuged, washed until neutral, and the precipitate was dried in an oven at 60 °C for 12 h to obtain the CuNiAl-LDH.
The CuNiAl hydrotalcite was subsequently calcined in a muffle furnace at 500 °C for 6 h to obtain CuNiAl mixed metal oxides. The metal oxides were then subjected to hydrogen reduction. The samples were placed in U-shaped quartz tubes and purged with argon before being heated to 100 °C at a rate of 10 °C/min for 1 h. Following this, the atmosphere was switched to argon containing 10% H2, with a flow rate of 40 mL/min. The temperature was raised to 400 °C and maintained for 3 h for reduction. This process resulted in the formation of the Cu-Ni bimetallic catalysts. The preparation process is shown in Figure 1.
Figure 1.
Cu-Ni2/Al2O3 catalyst preparation process.
To evaluate the recyclability of the catalysts, they were recovered by centrifugation, washed three times with deionized water and anhydrous ethanol, and dried at 70 °C for 12 h. The catalysts were then reused under identical reaction conditions for each cycle.
2.2.2. Characterization of Samples
Thermogravimetric analysis (TGA) was employed to investigate the thermal stability of the sample and to support catalyst preparation. (TGA/DSC3+, Mettler-Toledo Group, Zurich, Switzerland). A ground sample was weighed and transferred into a crucible under N2 atmosphere with a flow rate of 30 mL/min. The temperature program was set to increase from room temperature to 800 °C at a heating rate of 10 °C/min.
An X-ray diffractometer (XRD) was employed to characterize the crystal structure of the samples. (Smartlab SE, Rigaku Company, Tokyo, Japan). A Cu target was used to generate Kα radiation with a wavelength of 0.15418 nm. The scanning rate was set at 2° per minute, and the diffraction angle (2θ) was scanned in the range of 5° to 90°.
The molecular structure of the samples was characterized using Fourier transform infrared spectroscopy (FTIR) (iN10, Thermo Scientific Company, Waltham, MA, USA). The ground sample was mixed with potassium bromide (KBr) and pressed into a transparent pellet using a hydraulic press. Prior to measurement, a background scan was performed, and infrared spectra were then recorded with a spectral resolution of 4 cm−1. Thirty-two scans were accumulated across the wavenumber range of 400 to 4000 cm−1.
Scanning electron microscopy (SEM) was used to observe the surface morphology of the samples. (GeminiSEM 300, ZESS Company, Oberkochen, Germany). Conductive tape was attached to the sample holder, and the powder sample was evenly spread onto the tape. The morphology was observed after the sample was treated with gold sputtering.
2.2.3. Transfer Hydrogenation Reaction
In this experiment, a 100 mL stainless-steel high-pressure reactor was utilized, which was lined with quartz to prevent metal contamination. During LA transfer hydrogenation, the choice of hydrogen-donating solvent significantly affects reaction efficiency and product yield. Therefore, alcohols and formic acid were chosen as hydrogen-donating solvents for the experiment. Initially, approximately 60-mesh catalyst was mixed with acetylacetone and alcohol or formic acid, and the mixture was then transferred to the reactor. After purging with nitrogen 4–5 times, the required pressure was introduced to ensure a stable gas environment. The reactor was heated to the predetermined temperature, monitored with a temperature sensor, and mechanical stirring was initiated to achieve uniform mixing of the reactants. Upon completion of the reaction, heating and stirring were stopped, and the mixture was cooled to room temperature for subsequent separation and purification.
2.2.4. Reaction Product Analysis
The product samples were analyzed separately using an Agilent 7890A gas chromatograph (Agilent, Santa Clara, CA, USA), with 1,4-dioxane employed as an internal standard. The signals were detected using a flame ionization detector (FID) at a temperature of 260 °C. For the analysis of the post-reaction solution based on LA, an HP-INNOWAX capillary column was utilized in the Agilent 7890A.
Conversion rate:
Product selectivity:
Calculation of production rates:
3. Results
3.1. Structural and Morphological Characterization of Cu-Ni2/Al2O3 Catalyst and Its Precursor
3.1.1. TGA Analysis Results
As shown in Figure 2, the TG curve reveals three distinct stages of weight loss for the Cu-Ni2/Al2O3 catalyst precursor. The first stage, occurring below 200 °C, corresponds to the initial weight loss due to the physical adsorption of water and desorption of water molecules via hydrogen bonding. This results in a reduction in mass. In the second stage, between 200 °C and 400 °C, the primary weight loss is attributed to the release of interlayer hydroxyl groups and the thermal decomposition of carbonates, producing water and carbon dioxide. This leads to the collapse of the hydrotalcite structure. The third stage, occurring above 400 °C, indicates the complete decomposition of the hydrotalcite framework and the oxidation of Cu, Ni, and Al into their oxides, forming a mixed oxide phase (NiO, CuO, and Al2O3). Although decomposition continues at higher temperatures, the rate of weight loss slows as the temperature increases beyond 500 °C, with no additional significant weight loss peaks observed. This confirms the complete decomposition of the catalyst precursor. Consequently, we calcined the catalyst precursor at 500 °C.
Figure 2.
TGA curve of the catalyst precursor.
3.1.2. XRD Analysis Results
The XRD patterns of the prepared catalyst precursor, calcination product, and Cu-Ni2/Al2O3 catalyst are shown in Figure 3. As shown in Figure 3a, by comparing the obtained patterns with the standard PDF cards #37-0630 and #15-0087, distinct and intense diffraction peaks are observed at 11.8°, 23.5°, 60.8°, and 61.4°, which correspond to the characteristic reflections of the hydrotalcite crystalline planes (003), (006), (110), and (113), respectively. This indicates that the selected metal ion ratios and synthesis conditions allow the formation of hydrotalcites with various Cu-Ni ratios [31].
Figure 3.
XRD pattern of the catalyst precursor, calcined product, and Cu-Ni2/Al2O3 catalyst. (a) Catalyst precursor. (b) Calcined product. (c) Cu-Ni2/Al2O3 catalyst.
As shown in Figure 3b, after calcination at 500 °C, the characteristic diffraction peaks of the hydrotalcite in the original layered structure disappear, indicating destruction of the hydrotalcite structure. Sharp mixed diffraction peaks of the CuNiO phase emerged at 2θ = 37.2°, 43.2°, and 62.8°, corresponding to a cubic spinel structure, suggesting the formation of solid solution oxides composed of Cu2+ and Ni2+. Notably, no diffraction peaks corresponding to Al2O3 were observed in the XRD patterns, implying that Al2O3 may exist in an amorphous form.
As shown in Figure 3c, after reduction at 400 °C, the diffraction peaks of the CuNiO phase disappeared, and new diffraction peaks appeared, indicating that CuNiO was successfully reduced to form the Cu-Ni alloy phase. According to previous studies [32], the characteristic peak of the Cu(111) crystalline plane is typically located around 43.3°, while that of Ni(111) is around 44.5°. In the present study, the (111) crystallographic peak of the Cu-Ni alloy appeared at approximately 44.2°, positioned between the Cu and Ni peaks, confirming the formation of a Cu-Ni alloy phase rather than the coexistence of separate Cu and Ni metal phases [33]. Additionally, the (200) crystallographic plane at 51.9° and the (220) crystallographic plane at 74.8° similarly correspond to the Cu-Ni alloy diffraction peaks associated with the cubic structure.
Based on Scherrer’s formula and the XRD data for the (111) crystal plane, the average crystallite size of the Cu-Ni2/Al2O3 catalyst is calculated to be 11.73 nm. According to Scherrer’s equation, peak width is inversely proportional to grain size, implying that sharper peaks indicate larger grains and fewer crystal defects. The above analysis demonstrates the successful synthesis of Cu-Ni2/Al2O3 catalysts. These results are consistent with those reported by previous studies [34]. This conclusion can also be confirmed by the results of FTIR characterization of the catalyst.
3.1.3. FTIR Analysis Results
Figure 4 presents the IR spectra of the Cu-Ni2/Al2O3 catalyst and its precursor. As observed in the figure, a broad absorption peak around 3470 cm−1 is attributed to the stretching vibration of hydroxyl groups both within and between the layers [35]. The absorption peak at 1642 cm−1 corresponds to the bending vibration of -OH groups in water of crystallization [36]. Additionally, the peak near 1377 cm−1 is associated with the asymmetric stretching vibration of interlayer CO32− ions [37,38]. Absorption peaks at lower wavenumbers correspond to interlayer cation (M) vibrations and metal–oxygen bonds (M-O, M-O-M, and O-M-O) [39,40]. The figure shows that after calcination at 500 °C, the characteristic peaks of the catalyst precursor in the 1200–1700 cm−1 range disappear. The IR spectral analysis further confirms the successful synthesis of the Cu-Ni2/Al2O3 catalyst.
Figure 4.
FTIR spectrum of the Cu-Ni2/Al2O3 catalyst and precursor.
3.1.4. SEM Analysis Results
The SEM images of the catalyst precursor and Cu-Ni2/Al2O3 catalyst are shown in Figure 5. As shown in Figure 5a, the synthesized hydrotalcite exhibits a distinct hexagonal structure. This indicates that the hydrotalcite forms under the given conditions with good crystallinity, stability, and a well-defined crystal structure. The hexagonal morphology is crucial to increasing the material’s specific surface area, benefiting its catalytic performance. As shown in Figure 5b, the presence of surface pores, more uniform particle sizes, and a pronounced porous structure can be observed. Such a structure is typically associated with improved catalytic activity, as it provides more active sites and facilitates better transport of reactants and products, thus enhancing catalytic efficiency.
Figure 5.
Microscopic morphology of the Cu-Ni2/Al2O3 catalyst and precursor. (a) Microscopic morphology of the catalyst precursor. (b) Morphology of the Cu-Ni2/Al2O3 catalyst.
3.2. Effect of Hydrogen-Donating Solvents on the Catalytic LA-to-GVL Production
Alcohols and formic acid were chosen as hydrogen-donating solvents in the experiment, as shown in Table 1, to investigate their effects on the yield of GVL. The results indicated that the yield of GVL varied significantly with different hydrogen-donating solvents.
Table 1.
Effects of hydrogen-supplying solvent on the reaction.
As illustrated in Figure 6, the selectivity for GVL is relatively low when methanol and ethanol are utilized as hydrogen-donating solvents, yielding only 0.6% and 5.2%, respectively. This low selectivity can be attributed to the limited hydrogen supply capacity of these solvents, which leads to the predominance of esterification products of LA. In contrast, the effects of n-propanol and isopropanol on GVL yield differ significantly. Specifically, the yield increased to 89.2% when isopropanol was employed, likely due to the propensity of secondary alcohols to generate ketones via β-H elimination. This process releases hydrogen atoms that facilitate the hydrogenation of carbonyl (C=O) groups, thereby enhancing GVL yield. Conversely, primary alcohols such as n-propanol may have negative effects, as the alkoxyl group can occupy the catalyst’s active sites, and its oxidation product, aldehyde, may contribute to catalyst deactivation. The use of 2-butanol resulted in a yield reduction to 15.3%, attributed to spatial site-blocking effects stemming from its longer carbon chain. Notably, while formic acid is not an alcohol, it exhibits good hydrogen supply capacity, resulting in GVL selectivity of 88.5%. Based on the analysis of various hydrogen-supplying solvents, it can be concluded that isopropyl alcohol is the most effective solvent for hydrogen supply, significantly enhancing the yield of GVL.
Figure 6.
Effect of hydrogen supply solvent on catalytic activity. (Reaction conditions: 20 mmol LA, 38 mL of solvent, 0.1 g of catalyst, 500 r/min, 180 °C, 1 h, and 1 MPa N2).
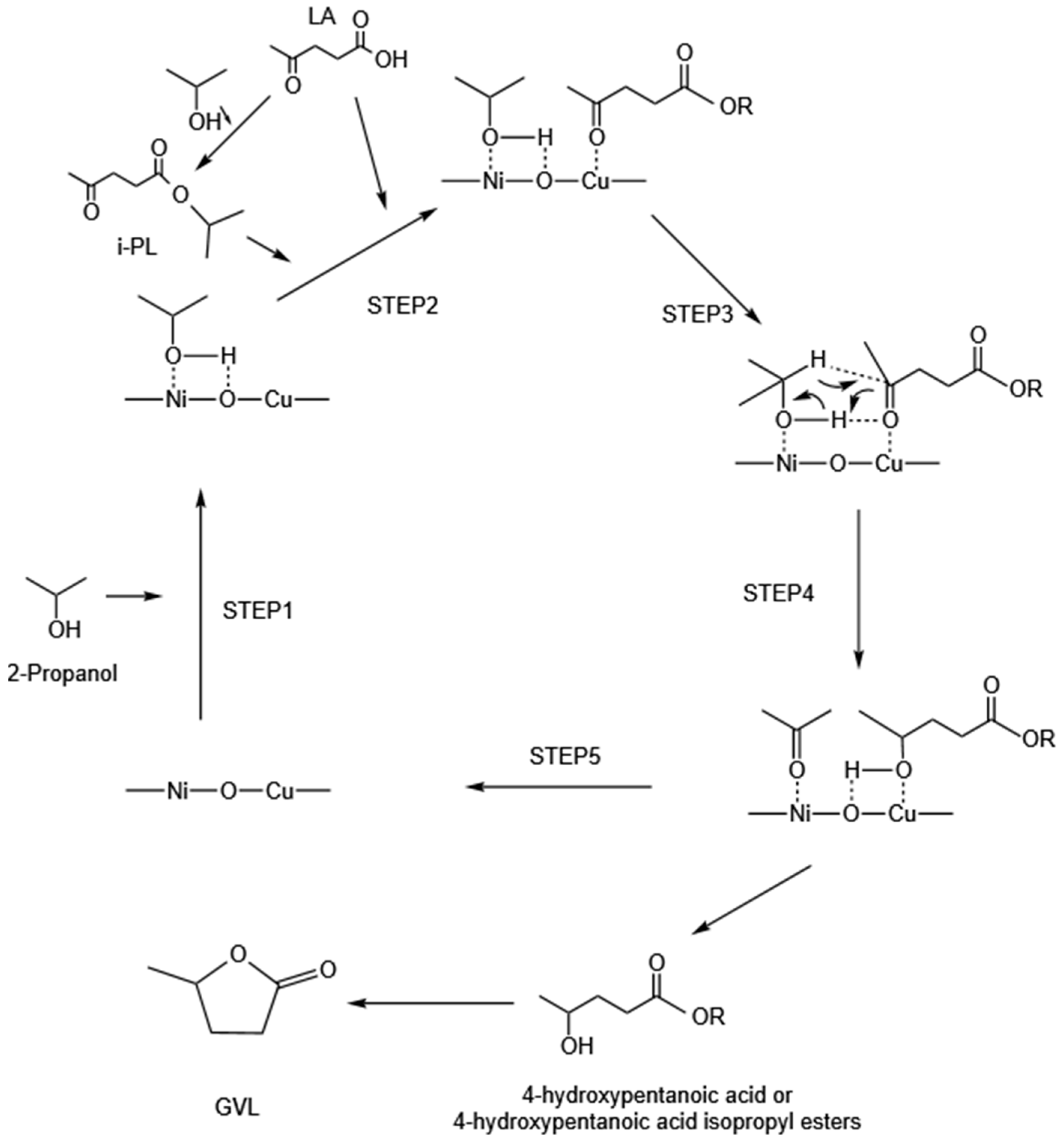
In the catalytic transfer hydrogenation of LA using isopropanol as the hydrogen donor, the synthesis of GVL can occur through three distinct mechanisms. First, LA reacts with isopropanol to undergo esterification, resulting in the formation of isopropyl acetylpropionate (IPL). Subsequently, the carbonyl group (C=O) in IPL is converted to isopropyl 4-hydroxyacetylpropionate (4-H-IPL) via a hydrogenation reaction. Finally, 4-H-IPL converts to GVL through intramolecular dehydrocyclization. The second pathway involves LA undergoing a direct transfer hydrogenation reaction to form 4-hydroxyvaleric acid (4-HPA), which is then converted to GVL via a dehydration cyclization process. The third pathway consists of the esterification of 4-HPA with isopropanol, followed by a cyclization and dehydrogenation step to produce GVL. This overall process is illustrated in Figure 7.
Figure 7.
LA transfer hydrogenation reaction path.
3.3. Effect of Reaction Temperature on Catalytic LA-to-GVL Preparation
Reaction temperature is a key factor affecting LA conversion to GVL, impacting the reaction rate, product selectivity, yield, and overall process efficiency. To determine the suitable reaction temperature, transfer hydrogenation reactions were conducted at 150 °C, 160 °C, 170 °C, and 180 °C. The results are presented in Figure 8.
Figure 8.
Effect of reaction temperature on catalytic performance. (Reaction conditions: 20 mmol LA, 38 mL of isopropanol, 0.1 g of catalyst, 500 r/min, 180 °C, 1 h, and 1 MPa N2).
According to the experimental results, at a reaction temperature of 150 °C, the reaction rate was low, leading to slow progression. This phenomenon is likely due to insufficient heat for the dehydrogenation of isopropanol during the reaction. The inadequate temperature failed to provide the necessary energy, resulting in a slower rate of hydrogen detachment and limiting isopropanol’s hydrogen supply capacity. Consequently, the conversion of LA was only 28.4%, with a selectivity for GVL of just 26.2%. Upon increasing the reaction temperature to 160 °C, the reaction rate increased significantly, with the conversion of LA and selectivity for GVL reaching 37.9% and 34.1%, respectively. This indicates that elevated temperature promotes the reaction. Further raising the temperature to 170 °C further increased the reaction rate, with LA conversion and GVL selectivity rising significantly to 65.4% and 56.2%. This enhancement suggests that the dehydrogenation of isopropanol by the Lewis acid sites on the catalyst was facilitated, thereby increasing the reaction rate [41]. Ultimately, at a temperature of 180 °C, the conversion of LA reached 100%, while the selectivity for GVL attained 89.3%, confirming the efficiency of the reaction. This finding further confirms that increasing temperature effectively promotes the dehydrogenation reaction of isopropanol and accelerates the conversion of LA to GVL.
3.4. Effect of Reaction Time on Catalytic LA-to-GVL Preparation
In the transfer hydrogenation of LA, it is essential not only to examine the effect of reaction temperature on LA conversion and GVL selectivity but also to examine the combined influence of reaction temperature and reaction time on GVL yield. By-products and intermediates generated during the reaction can significantly affect GVL yield, as their formation depends on both temperature and time. Therefore, a systematic investigation of the composition and yield of reaction products at various temperatures and reaction times is necessary to optimize the process.
As shown in Figure 9, the yield of GVL gradually increases over time at all temperatures, indicating that GVL is the final product of the reaction and that the Cu-Ni2/Al2O3 catalyst exhibited high selectivity for the conversion of LA to GVL. As depicted in Figure 9d, the yield of GVL reaches nearly 90% at 180 °C within just 60 min, whereas at 150 °C (Figure 9a), achieving a similar yield required 240 min. This suggests that a higher temperature accelerates the conversion of LA to GVL. IPL is the initial intermediate product of LA, formed via esterification. It is rapidly produced at the beginning of the reaction, peaks, and then gradually declines. This decline may be attributed to hydrogenation or the gradual conversion of IPL to 4-H-IPL, which subsequently forms 4-HPA and GVL. As the reaction temperature increases, the time required for IPL to reach its maximum yield decreases, peaking at 60 min at 150 °C but within 20 min at 180 °C. This observation suggests that higher temperatures accelerate IPL conversion to GVL. Notably, the rapid decline in the IPL curve indicates that the Cu-Ni2/Al2O3 catalyst possesses high hydrogenation activity, effectively promoting the transfer hydrogenation of IPL to GVL. Both 4-H-IPL and 4-HPA act as reaction intermediates. 4-H-IPL can be rapidly converted to 4-HPA via hydrogenation, with 4-HPA acting as a direct precursor to GVL. As shown in Figure 9a–d, the final yields of both 4-H-IPL and 4-HPA remain low within the temperature range of 150–180 °C, indicating that the Cu-Ni2/Al2O3 catalyst exhibits excellent selectivity in catalyzing the conversion of LA to GVL and does not accumulate a large number of intermediate products. In summary, the Cu-Ni2/Al2O3 catalyst demonstrated optimal catalytic performance for the conversion of LA to GVL at a reaction temperature of 180 °C and a reaction time of 60 min. It effectively promotes LA conversion, reduces the accumulation of intermediate by-products, and enhances the overall yield of GVL.
Figure 9.
Effect of reaction time and temperature on product. (a) shows the reaction at 150 °C for 240 min. (b) depicts the reaction at 160 °C for 180 min. (c) illustrates the reaction at 170 °C for 120 min. (d) presents the reaction at 180 °C for 60 min. (Reaction conditions: 20 mmol LA, 38 mL of isopropanol, 0.1 g of catalyst, 500 r/min, 180 °C, 1 h, and 1 MPa N2).
3.5. Recycling Effects of Cu-Ni2/Al2O3 Catalysts
Catalyst recyclability is crucial for evaluating catalytic performance. To assess the stability of Cu-Ni2/Al2O3, we conducted multiple recycling tests, using GVL yield as the criterion. As shown in Figure 10, the Cu-Ni2/Al2O3 catalyst exhibited excellent performance in these tests. The yield gradually decreased from 89.3% in the first cycle to 83.2% in the sixth cycle, a total decrease of ~6%, indicating high cycling stability. Compared with existing Cu-Ni bimetallic catalysts, the Cu-Ni2/Al2O3 catalyst maintains a high GVL yield after multiple cycles. For example, Liu et al. [42] prepared a hierarchical flower-like Ni-Cu bimetallic catalyst that achieved a GVL yield of nearly 80% after five cycles. Similarly, Wang et al. [34] developed a Ni-Cu bimetallic catalyst that catalyzed the production of 2-methyltetrahydrofuran from LA, with its GVL yield decreasing to 80.2% after six cycles. The high stability and activity of the Cu-Ni2/Al2O3 catalyst can be primarily attributed to the hydrotalcite precursor structure. The M2+ and M3+ metal cations in the hydrotalcite are uniformly dispersed within the layered structure [43]. They were confined by the lattice localization effect, allowing the catalyst to remain highly active and stable even after heat treatment. Additionally, the strong interaction between the LDH-derived metal components and the support effectively prevents sintering and agglomeration [44,45], reduces active center loss, stabilizes active sites, and further enhances catalyst stability. Furthermore, the controlled metal–oxide interactions optimize catalyst performance and contribute to long-term stability. The Al2O3 support, which contains strong basic sites, improves the hydrogen adsorption and dissociation capability of the metal centers, thereby enhancing catalytic activity. Moreover, Cu and Ni are firmly embedded within the Al2O3 matrix, forming stable and highly effective catalytic active centers.
Figure 10.
Effect of Cu-Ni2/Al2O3 catalyst recycling. (Reaction conditions: 20 mmol LA, 38 mL of isopropanol, 0.1 g of catalyst, 500 r/min, 180 °C, 1 h, and 1 MPa N2).
3.6. Cu-Ni2/Al2O3 Catalyst Expansion Reaction
Given the exceptional performance of the Cu-Ni2/Al2O3 catalyst in the catalytic transfer hydrogenation of LA, its potential application in the transfer hydrogenation of other carbonyl compounds is further investigated. The catalytic effects of the Cu-Ni2/Al2O3 catalyst on various carbonyl compounds are summarized in Table 2.
Table 2.
Catalytic effects of the Cu-Ni2/Al2O3 catalyst on different carbonyl compounds.
Under a range of reaction conditions, specifically using 1 mmol of 5-hydroxymethylfurfural in 5 mL of isopropanol at 120 °C for 1 h over a Cu-Ni2/Al2O3 catalyst, a conversion of 94% and a selectivity of 96% for 2,5-dihydroxymethylfuran were achieved. Additionally, catalytic transfer hydrogenation reactions were conducted for various carbonyl compounds, including cyclopentanone, cinnamaldehyde, hexanal, and benzaldehyde. The results indicate that the Cu-Ni2/Al2O3 catalyst effectively catalyzes the transfer hydrogenation of a broad range of carbonyl compounds, which successfully generates the corresponding alcohol products under suitable reaction conditions. Further analyses revealed that aldehydes are more readily converted than ketones, likely due to their lower steric hindrance [46]. In the case of ethyl acetylpropionate, its higher electron density or steric hindrance necessitates elevated reaction temperatures and longer reaction times to achieve complete conversion [47]. These findings demonstrate that the Cu-Ni2/Al2O3 catalyst is a highly applicable and efficient catalyst for catalytic transfer hydrogenation via the Meerwein–Ponndorf–Verley (MPV) reduction mechanism.
3.7. Reaction Mechanism of Cu-Ni2/Al2O3 Catalysts
Based on the experimental results presented, a possible reaction mechanism is proposed for the catalytic transfer hydrogenation of LA to GVL using Cu-Ni2/Al2O3 catalysts within the current catalytic system.
As shown in Figure 11, the Cu-Ni2/Al2O3 catalyst plays a key role in converting LA to GVL. This process involves isopropanol adsorption and activation, LA hydrogenation, and lactonization, ultimately forming GVL. In the first step, isopropanol adsorbs on the catalyst surface. It then dissociates through the synergistic action of Lewis acid sites from Al2O3 and basic sites from Ni/Cu, forming the corresponding alcohol salts. This step is crucial for α-H activation and provides a proton source for subsequent hydrogen transfer [48]. Meanwhile, under suitable acidic conditions, LA undergoes esterification with isopropanol to produce IPL. This intermediate further participates in GVL formation [49]. In the second step, the carbonyl groups (C=O) in LA and IPL are first activated by Cu species, making them more reactive in the hydrogen transfer process [30]. Isopropanol undergoes β-H transfer at the Cu/Ni active sites, forming a six-membered ring intermediate. This step is a typical MPV hydrogen transfer mechanism. In this process, isopropanol acts as a hydrogen donor and provides a hydrogen source for the reduction of the carbonyl group, thereby gradually reducing LA to 4-HPA [28]. In the final step, 4-HPA undergoes intramolecular dehydration under the influence of Brønsted acidic sites on the catalyst surface, leading to the formation of GVL. Brønsted acidic sites promote 4-HPA cyclization, while Cu species enhance carbonyl activation and hydrogen transfer, thus improving catalytic efficiency [50,51,52].
Figure 11.
Reaction mechanism of GVL catalyzed by LA.
4. Conclusions
In this study, a Cu-Ni-supported bimetallic catalyst was prepared using a hydrotalcite precursor, and the catalytic performance of the Cu-Ni2/Al2O3 catalyst was investigated. The effects of key factors—hydrogen source, solvent, reaction temperature, and reaction time—on GVL production via LA transfer hydrogenation using the Cu-Ni2/Al2O3 catalyst were analyzed. Additionally, catalyst recyclability was examined. The main conclusions of the study are as follows:
Isopropyl alcohol and formic acid are the most effective hydrogen donor solvents, with isopropyl alcohol demonstrating a particularly significant improvement in GVL yield. Reaction temperature has a significant influence on reaction kinetics, product selectivity, and total yield. A reaction temperature of 180 °C for 1 h ensures high conversion and selectivity for GVL production.
The Cu-Ni2/Al2O3 catalyst maintains high activity and stability over six cycles, with only ~6% activity loss. Its stable recyclability suggests strong application potential, as it reduces catalyst replacement frequency and minimizes environmental impact. Additionally, this catalyst excels in the transfer hydrogenation of other carbonyl compounds.
Author Contributions
Conceptualization, R.W., F.W. and X.L.; methodology, G.C., K.Z. and X.L.; software, S.Z.; validation, S.L. and J.X.; formal analysis, G.C., K.Z. and F.W.; investigation, S.Z.; resources, R.W.; data curation, S.Z.; writing—original draft preparation, S.Z.; writing—review and editing, G.C. and S.L.; visualization, J.X.; supervision, R.W., F.W. and X.L. All authors have read and agreed to the published version of the manuscript.
Funding
This research was funded by the General project of Fujian Provincial Natural Science Foundation (2022J01922, 2023J01935), the major special projects of Fujian Province (2023YZ038009), and the Science and Technology Project of Fujian Provincial Department of Natural Resources (KY-090000-04-2024-025).
Data Availability Statement
The original contributions presented in this study are included in the article. Further inquiries can be directed to the corresponding authors.
Conflicts of Interest
The authors declare no conflicts of interest.
References
- Antar, M.; Lyu, D.; Nazari, M.; Shah, A.; Zhou, X.; Smith, D.L. Biomass for a sustainable bioeconomy: An overview of world biomass production and utilization. Renew. Sustain. Energy Rev. 2021, 139, 110691. [Google Scholar] [CrossRef]
- Halkos, G.; Gkampoura, E.-C. Reviewing Usage, Potentials, and Limitations of Renewable Energy Sources. Energies 2020, 13, 2906. [Google Scholar] [CrossRef]
- Ang, T.-Z.; Salem, M.; Kamarol, M.; Das, H.S.; Nazari, M.A.; Prabaharan, N. A comprehensive study of renewable energy sources: Classifications, challenges and suggestions. Energy Strategy Rev. 2022, 43, 100939. [Google Scholar] [CrossRef]
- Maradin, D. Advantages and Disadvantages of Renewable Energy Sources Utilization. Int. J. Energy Econ. Policy 2021, 11, 176–183. [Google Scholar] [CrossRef]
- Kothari, D.P.; Singal, K.C.; Rakesh, R. Renewable Energy Sources and Emerging Technologies; PHI Learning Pvt. Ltd.: Delhi, India, 2021. [Google Scholar]
- Ye, L.; Han, Y.; Feng, J.; Lu, X. A review about GVL production from lignocellulose: Focusing on the full components utilization. Ind. Crops Prod. 2020, 144, 112031. [Google Scholar] [CrossRef]
- Zhou, Z.; Liu, D.; Zhao, X. Conversion of lignocellulose to biofuels and chemicals via sugar platform: An updated review on chemistry and mechanisms of acid hydrolysis of lignocellulose. Renew. Sustain. Energy Rev. 2021, 146, 111169. [Google Scholar] [CrossRef]
- Liu, H.; Lin, Q.; Li, R.; Chang, M.; Ren, J.J.C.E.P.T. Synthesis of Furan Compounds from Hemicelluloses. In Hemicellulose Biorefinery: A Sustainable Solution for Value Addition to Bio-Based Products and Bioenergy; Clean Energy Production Technologies (CEPT); Springer: Singapore, 2022. [Google Scholar]
- Deng, L.; Li, J.; Lai, D.-M.; Fu, Y.; Guo, Q.-X. Catalytic Conversion of Biomass-Derived Carbohydrates into γ-Valerolactone without Using an External H 2 Supply. Angew. Chem. 2009, 121, 6651–6654. [Google Scholar] [CrossRef]
- Liguori, F.; Moreno-Marrodán, C.; Barbaro, P.J.A.C. Environmentally Friendly Synthesis of γ-Valerolactone by Direct Catalytic Conversion of Renewable Sources. ACS Catal. 2015, 5, 1882–1894. [Google Scholar]
- Alonso, D.M.; Wettstein, S.G.; Dumesic, J.A. Gamma-valerolactone, a sustainable platform molecule derived from lignocellulosic biomass. Green Chem. 2013, 15, 584–595. [Google Scholar] [CrossRef]
- Wang, J.; Wang, Y.; Tong, X.; Wang, Y.; Jin, G.; Guo, X.J.C.C. Highly active Ir/SiC catalyst for aqueous hydrogenation of levulinic acid to γ-valerolactone. Green Chem. 2020, 139, 105971. [Google Scholar]
- Vaccaro, L.; Anastasiou, I.; Ferlin, F.; Carpisassi, L. Aerobic waste-minimized Pd-catalysed C–H alkenylation in GVL using a tube-in-tube heterogeneous flow reactor. Green Chem. 2021, 23, 6576–6582. [Google Scholar] [CrossRef]
- Siddiqui, N.; Pendem, C.; Goyal, R.; Khatun, R.; Khan, T.S.; Samanta, C.; Chiang, K.; Shah, K.; Ali Haider, M.; Bal, R. Study of γ-valerolactone production from hydrogenation of levulinic acid over nanostructured Pt-hydrotalcite catalysts at low temperature. Fuel 2022, 323, 124272. [Google Scholar] [CrossRef]
- Maumela, M.; Marx, S.; Meijboom, R. Heterogeneous Ru Catalysts as the Emerging Potential Superior Catalysts in the Selective Hydrogenation of Bio-Derived Levulinic Acid to γ-Valerolactone: Effect of Particle Size, Solvent, and Support on Activity, Stability, and Selectivity. Catalysts 2021, 11, 292. [Google Scholar] [CrossRef]
- Nandi, S.; Saha, A.; Patel, P.; Khan, N.-u.H.; Kureshy, R.I.; Panda, A.B. Hydrogenation of Furfural with Nickel Nanoparticles Stabilized on Nitrogen-Rich Carbon Core–Shell and Its Transformations for the Synthesis of γ-Valerolactone in Aqueous Conditions. ACS Appl. Mater. Interfaces 2018, 10, 24480–24490. [Google Scholar] [CrossRef]
- Yuan, J.; Li, S.-S.; Yu, L.; Liu, Y.-M.; Cao, Y.; He, H.-Y.; Fan, K.-N. Copper-based catalysts for the efficient conversion of carbohydrate biomass into γ-valerolactone in the absence of externally added hydrogen. Energy Environ. Sci. 2013, 6, 3308–3313. [Google Scholar] [CrossRef]
- Murugesan, K.; Alshammari, A.S.; Sohail, M.; Jagadeesh, R.V. Levulinic Acid Derived Reusable Cobalt-Nanoparticles-Catalyzed Sustainable Synthesis of γ-Valerolactone. ACS Sustain. Chem. Eng. 2019, 7, 14756–14764. [Google Scholar] [CrossRef]
- Yu, N.; Lu, H.; Yang, W.; Zheng, Y.; Hu, Q.; Liu, Y.; Wu, K.; Liang, B. Transfer hydrogenation of levulinic acid to γ-valerolactone over acid site-modified CuNi alloy. Biomass Convers. Biorefin. 2024, 14, 8271–8282. [Google Scholar] [CrossRef]
- Bai, J.; Cheng, C.; Liu, Y.; Wang, C.; Liao, Y.; Chen, L.; Ma, L. Selective hydrogenation of levulinic acid to γ-valerolactone on Ni-based catalysts. Mol. Catal. 2021, 516, 112000. [Google Scholar] [CrossRef]
- Tang, Y.; Fu, J.; Wang, Y.; Guo, H.; Qi, X. Bimetallic Ni-Zn@OMC catalyst for selective hydrogenation of levulinic acid to γ-valerolactone in water. Fuel Process. Technol. 2023, 240, 107559. [Google Scholar] [CrossRef]
- Feng, Y.; Li, D.; Li, C.; Wang, Z.; Evans, D.G.; Duan, X. Synthesis of Cu-Containing Layered Double Hydroxides with a Narrow Crystallite-Size Distribution. Clays Clay Miner. 2003, 51, 566–569. [Google Scholar] [CrossRef]
- Cavani, F.; Trifirò, F.; Vaccari, A. Hydrotalcite-type anionic clays: Preparation, properties and applications. Catal. Today 1991, 11, 173–301. [Google Scholar] [CrossRef]
- Zhang, J.; Chen, J.; Guo, Y.; Chen, L. Effective Upgrade of Levulinic Acid into γ-Valerolactone over an Inexpensive and Magnetic Catalyst Derived from Hydrotalcite Precursor. ACS Sustain. Chem. Eng. 2015, 3, 1708–1714. [Google Scholar] [CrossRef]
- Kong, X.; Zheng, R.; Zhu, Y.; Ding, G.; Zhu, Y.; Li, Y.-W. Rational design of Ni-based catalysts derived from hydrotalcite for selective hydrogenation of 5-hydroxymethylfurfural. Green Chem. 2015, 17, 2504–2514. [Google Scholar] [CrossRef]
- Xu, M.; Yao, S.; Rao, D.; Niu, Y.; Liu, N.; Peng, M.; Zhai, P.; Man, Y.; Zheng, L.; Wang, B.; et al. Insights into Interfacial Synergistic Catalysis over Ni@TiO2–x Catalyst toward Water–Gas Shift Reaction. J. Am. Chem. Soc. 2018, 140, 11241–11251. [Google Scholar] [CrossRef] [PubMed]
- Gao, Z.; Liu, F.; Wang, L.; Luo, F. Highly efficient transfer hydrodeoxygenation of vanillin over Sn4+-induced highly dispersed Cu-based catalyst. Appl. Surf. Sci. 2019, 480, 548–556. [Google Scholar] [CrossRef]
- Sankar, M.; Dimitratos, N.; Miedziak, P.J.; Wells, P.P.; Kiely, C.J.; Hutchings, G.J. Designing bimetallic catalysts for a green and sustainable future. Chem. Soc. Rev. 2012, 41, 8099–8139. [Google Scholar] [CrossRef]
- Obregón, I.; Gandarias, I.; Ocio, A.; García-García, I.; Alvarez de Eulate, N.; Arias, P.L. Structure-activity relationships of Ni-Cu/Al2O3 catalysts for γ-valerolactone conversion to 2-methyltetrahydrofuran. Appl. Catal. B Environ. 2017, 210, 328–341. [Google Scholar] [CrossRef]
- Alonso, D.M.; Wettstein, S.G.; Dumesic, J.A. Bimetallic catalysts for upgrading of biomass to fuels and chemicals. Chem. Soc. Rev. 2012, 41, 8075–8098. [Google Scholar] [CrossRef]
- Wu, J.; Gao, G.; Li, J.; Sun, P.; Long, X.; Li, F. Efficient and versatile CuNi alloy nanocatalysts for the highly selective hydrogenation of furfural. Appl. Catal. B Environ. 2017, 203, 227–236. [Google Scholar] [CrossRef]
- Liu, M.; Yuan, L.; Fan, G.; Zheng, L.; Yang, L.; Li, F. NiCu Nanoparticles for Catalytic Hydrogenation of Biomass-Derived Carbonyl Compounds. ACS Appl. Nano Mater. 2020, 3, 9226–9237. [Google Scholar] [CrossRef]
- Zhang, J.; Chen, J. Selective Transfer Hydrogenation of Biomass-Based Furfural and 5-Hydroxymethylfurfural over Hydrotalcite-Derived Copper Catalysts Using Methanol as a Hydrogen Donor. ACS Sustain. Chem. Eng. 2017, 5, 5982–5993. [Google Scholar] [CrossRef]
- Wang, X.; Yu, Z.; Ye, L.; Zhang, M.; Xiong, J.; Zhang, R.; Li, X.; Ji, N.; Lu, X. Layered Double Hydroxide-Derived Bimetallic Ni−Cu Catalysts Prompted the Efficient Conversion of γ-Valerolactone to 2-Methyltetrahydrofuran. ChemCatChem 2022, 14, e202101441. [Google Scholar] [CrossRef]
- Wu, L.; Zhou, X.; Wan, G.; Yulin, T.; Shi, S.; Xu, X.; Wang, G. Novel hierarchical CuNiAl LDH nanotubes with excellent peroxidase-like activity for wide-range detection of glucose. Dalton Trans. 2021, 50, 95–102. [Google Scholar] [CrossRef]
- Ziegenheim, S.; Varga, G.; Szabados, M.; Sipos, P.; Pálinkó, I. Cu(II)Cr(III)-LDH: Synthesis, characterization, intercalation properties and a catalytic application. Chem. Pap. 2018, 72, 897–902. [Google Scholar] [CrossRef]
- Ravuru, S.S.; Jana, A.; De, S. Synthesis of NiAl- layered double hydroxide with nitrate intercalation: Application in cyanide removal from steel industry effluent. J. Hazard Mater. 2019, 373, 791–800. [Google Scholar] [CrossRef] [PubMed]
- Lobinsky, A.A.; Tolstoy, V.P. Synthesis of CoAl-LDH nanosheets and N-doped graphene nanocomposite via Successive Ionic Layer Deposition method and study of their electrocatalytic properties for hydrogen evolution in alkaline media. J. Solid State Chem. 2019, 270, 156–161. [Google Scholar] [CrossRef]
- Chen, J.; Yang, J.; Jiang, L.; Wang, X.; Yang, D.; Wei, Q.; Wang, Y.; Wang, R.; Liu, Y.; Yang, Y. Improved electrochemical performances by Ni-catecholate-based metal organic framework grown on NiCoAl-layered double hydroxide/multi-wall carbon nanotubes as cathode catalyst in microbial fuel cells. Bioresour. Technol. 2021, 337, 125430. [Google Scholar] [CrossRef]
- Chen, J.; Yang, J.; Wang, X.; Yang, D.; Wang, X.; Zhang, Y.; Du, Y.; Wang, Y.; Wei, Q.; Wang, R.; et al. Enhanced bioelectrochemical performance of microbial fuel cell with titanium dioxide-attached dual metal organic frameworks grown on zinc aluminum—Layered double hydroxide as cathode catalyst. Bioresour. Technol. 2022, 351, 126989. [Google Scholar] [CrossRef]
- Shafaghat, H.; Lee, I.-G.; Jae, J.; Jung, S.C.; Park, Y.K.J.C.E.J. Pd/C catalyzed transfer hydrogenation of pyrolysis oil using 2-propanol as hydrogen source. Chem. Eng. J. 2019, 377, 119986. [Google Scholar]
- Liu, M.; Li, S.; Fan, G.; Yang, L.; Li, F. Hierarchical Flower-like Bimetallic NiCu catalysts for Catalytic Transfer Hydrogenation of Ethyl Levulinate into γ-Valerolactone. Ind. Eng. Chem. Res. 2019, 58, 10317–10327. [Google Scholar] [CrossRef]
- Sideris, P.J.; Nielsen, U.G.; Gan, Z.; Grey, C.P. Mg/Al Ordering in Layered Double Hydroxides Revealed by Multinuclear NMR Spectroscopy. Science 2008, 321, 113–117. [Google Scholar] [CrossRef] [PubMed]
- Li, C.; Wei, M.; Evans, D.G.; Duan, X. Layered Double Hydroxide-based Nanomaterials as Highly Efficient Catalysts and Adsorbents. Small 2014, 10, 4469–4486. [Google Scholar] [CrossRef] [PubMed]
- Du, X.; Zhang, D.; Gao, R.; Huang, L.; Shi, L.; Zhang, J. Design of modular catalysts derived from NiMgAl-LDH@m-SiO2 with dual confinement effects for dry reforming of methane. Chem. Commun. 2013, 49, 6770–6772. [Google Scholar] [CrossRef] [PubMed]
- Song, J.; Zhou, B.; Zhou, H.; Wu, L.; Meng, Q.; Liu, Z.; Han, B. Porous Zirconium–Phytic Acid Hybrid: A Highly Efficient Catalyst for Meerwein–Ponndorf–Verley Reductions. Angew. Chem. (Int. Ed. Engl.) 2015, 127, 9399–9403. [Google Scholar] [CrossRef]
- Kim, J.; Han, J. Bio-based process for the catalytic production of ethyl levulinate from cellulose. Appl. Energy 2021, 300, 117430. [Google Scholar] [CrossRef]
- Upare, P.P.; Lee, J.-M.; Hwang, D.W.; Halligudi, S.B.; Hwang, Y.K.; Chang, J.-S. Selective hydrogenation of levulinic acid to γ-valerolactone over carbon-supported noble metal catalysts. J. Ind. Eng. Chem. 2011, 17, 287–292. [Google Scholar] [CrossRef]
- Yan, K.; Wu, G.; Lafleur, T.; Jarvis, C. Production, properties and catalytic hydrogenation of furfural to fuel additives and value-added chemicals. Renew. Sustain. Energy Rev. 2014, 38, 663–676. [Google Scholar] [CrossRef]
- Córdova-Pérez, G.E.; Cortez-Elizalde, J.; Silahua-Pavón, A.A.; Cervantes-Uribe, A.; Arévalo-Pérez, J.C.; Cordero-Garcia, A.; de los Monteros, A.E.E.; Espinosa-González, C.G.; Godavarthi, S.; Ortiz-Chi, F.; et al. γ-Valerolactone Production from Levulinic Acid Hydrogenation Using Ni Supported Nanoparticles: Influence of Tungsten Loading and pH of Synthesis. Nanomaterials 2022, 12, 2017. [Google Scholar] [CrossRef]
- Popova, M.; Boycheva, S.; Dimitrov, I.; Dimitrov, M.; Kovacheva, D.; Karashanova, D.; Velinov, N.; Atanasova, G.; Szegedi, A. The Formation of γ-Valerolactone from Renewable Levulinic Acid over Ni-Cu Fly Ash Zeolite Catalysts. Molecules 2024, 29, 5753. [Google Scholar] [CrossRef]
- Hijazi, A.; Khalaf, N.; Kwapinski, W.; Leahy, J. Catalytic valorisation of biomass levulinic acid into gamma valerolactone using formic acid as a H 2 donor: A critical review. RSC Adv. 2022, 12, 13673–13694. [Google Scholar] [CrossRef]
Disclaimer/Publisher’s Note: The statements, opinions and data contained in all publications are solely those of the individual author(s) and contributor(s) and not of MDPI and/or the editor(s). MDPI and/or the editor(s) disclaim responsibility for any injury to people or property resulting from any ideas, methods, instructions or products referred to in the content. |
© 2025 by the authors. Licensee MDPI, Basel, Switzerland. This article is an open access article distributed under the terms and conditions of the Creative Commons Attribution (CC BY) license (https://creativecommons.org/licenses/by/4.0/).






























