Abstract
The presence of pharmaceuticals in wastewater raises concerns about the toxicological risks associated with its discharge and reuse. During the COVID-19 pandemic, widespread use of antivirals (ATVs), along with plastic gloves and masks, further contributed to pharmaceuticals in wastewater. Chlorination, commonly used for wastewater disinfection, may alter the toxicity of antivirals in the presence of microplastics (MPs) and complex organics in secondarily treated wastewater. To investigate this, synthetic secondary effluent containing Favipiravir (FAV) and Oseltamivir (OSE) was exposed to various chlorination conditions, both with and without MPs. The changes in the concentrations of FAV and OSE were measured using LC-MS/MS with isotopically labeled standards. Chlorination was more effective in removing Favipiravir (42 ± 4%) than Oseltamivir (26 ± 3%). The ecotoxicological effects were assessed on two species—Aliivibrio fischeri (a bacterium) and Enchytraeus crypticus (a soil invertebrate)—to evaluate potential impacts on aquatic and soil environments, though discharge of or irrigation with treated wastewater, respectively. Results indicated that chlorination of wastewater itself increased toxicity more significantly than the chlorination of antivirals to either species, suggesting that chlorination may not be as beneficial despite its cost-effectiveness. The effects of MPs in chlorinated wastewater on toxicity highlighted the importance of sample matrices in environmental toxicity studies.
Keywords:
antiviral; chlorination; COVID-19; disinfection; ecotoxicity; favipiravir; oseltamivir; wastewater 1. Introduction
During the 2019 Coronavirus pandemic (COVID-19), various antiviral pharmaceuticals previously prescribed for influenza and HIV were repurposed, used in high concentrations against severe acute respiratory syndrome Coronavirus 2 (SARS-CoV-2) and hence are expected to be present in wastewaters and surface waters. Among those antivirals (ATVs), Favipiravir (FAV) is a prodrug which is widely used against Ebola, SARS-CoV-2 and several pathogenic RNA viruses [1,2]. Oseltamivir (OSE) is an antiviral against Influenza and most of the studies concerning OSE in aquatic environment were conducted in Japan [3,4,5,6]. Similarly to other pharmaceutical residues, antivirals are not completely removed in wastewater treatment plants (WWTPs) and are released into the environment [7,8,9]. Due to the probable infectious nature of SARS-CoV-2 in wastewater [10,11], disinfection of treated wastewater is important, especially if reuse is considered. Chlorination is one of the common methods used in WWTPs, especially in developing countries. For example, in Türkiye, 27% of the WWTPs apply pre- or post-chlorination [12]. This disinfection method is effective in eliminating pathogens responsible for waterborne diseases and also contributes to the removal of micropollutants [13,14,15]. Nevertheless, unlike advanced oxidation methods, chlorination does not lead to complete oxidation of organics. Therefore, transformation products (TPs) with a variety of structures (chlorinated or non-chlorinated) may form. These TPs could pose a risk to the environment or human health, sometimes even more than the parent compounds, due to an increase in toxicity upon chlorination [16,17]. The studies focused on the chlorination of antivirals reveal that Nevirapine and Efavirenz were removed by more than 90%, while trihalomethane (THM) formation was observed during the chlorination of these antivirals [18]. Additionally, Ribavirin was effectively oxidized by free chlorine, resulting in the formation of 12 TPs, 7 of which increased toxicity in the bioluminescence of Aliivibrio fischeri [19].
Although analysis of TPs through nontarget screening can provide insight into the structure of these compounds, conducting a bioassay to study the ecotoxicological effects of all the compounds in the wastewater effluent could be more useful for understanding the possible effects upon its discharge or during its reuse. A. fischeri, a bioluminescent marine microorganism, has been widely used to study the effects of pharmaceuticals [20,21,22] as well as TPs formed during chlorination in water matrices [19,23]. When reuse of treated wastewaters is considered, one possible beneficial use is irrigation, which, in general, is more acceptable for the public compared with direct reuse. Enchytraeus crypticus, a soil invertebrate, has been comparatively less studied for organic micropollutants [24,25,26] and mostly used for the evaluation of the toxic effects of metals in soils [27,28,29,30]. Nevertheless, E. crypticus plays an important role in soil ecosystems, and any toxic effects on E. crypticus could result in serious problems for the whole ecosystem.
In addition, the COVID-19 pandemic has caused an increase in the use of plastic masks and gloves not only by healthcare personnel but also by the general public. This increased use caused direct plastic pollution and contributed to secondary microplastic pollution in aqueous environments [31,32,33,34]. The global leakage of plastic pollution into the environment reached 22 million tons in 2019, 12% of which consists of microplastics (MPs) [35]. Although the presence and transport of MPs have mostly been investigated in marine systems [36,37,38,39], several types of MPs have been detected in different matrices, from drinking water [40,41] to soil environment [42,43]. The main pathway for MPs to enter the environment is WWTPs which account for 25% of global MPs release [44]. In Türkiye, 4.6 billion m3 of wastewater (85% of the total collected by the sewer system) was treated in 2022. However, only 1.5% of the treated water was reused for industrial and other purposes, while the remainder was discharged into rivers, the sea, dams, lakes, land, and other ecosystems [45]. The number of MPs previously recorded in Türkiye demonstrates that the release of MPs has reached 4.76 × 1010 and 1.42 × 1010 MP/day in WWTPs effluent with primary (8 WWTPs) and secondary treatment (7 WWTPs), respectively [46]. Even if WWTPs are capable of removing MPs with high efficiency depending on the treatment processes involved [47,48], the vast majority of MPs removed from wastewater are retained in sewage sludge [49,50]. Üstün et al. found the abundance of MPs in sludge cake to be 95 ± 22.8 × 102 MP/kg, with 40.8% being polyethylene [51]. Polyethylene (PE) from industrial and domestic products is one of the most common types of MPs that reach receiving waters through treated wastewater discharge [52,53] or soil through the reuse of sewage sludge for agricultural purposes [54]. The presence of PE microspheres has gained importance in recent years, especially due to their effect on increasing the toxicity of other pollutants on Zebrafish, earthworms, and plants [55,56,57].
Although the optimal conditions for applying chlorination to wastewater, its effects on pollutants, and the TPs it may generate have been well studied, chlorination continues to be used widely in economically disadvantaged areas, and studies that investigate its behavior in complex matrices such as wastewater and soil in the presence of MPs are still needed. The main aim of this paper is the evaluation of the effect of chlorination on the removal of two antivirals, Favipiravir and Oseltamivir in wastewater, both for concentration decrease and ecotoxicological effects. The ecotoxicological effects of chlorination were evaluated through the use A. fischeri and E. crypticus, used for aquatic and soil toxicity, respectively. The experiments were also conducted in the presence of 0.1 mg/L polyethylene to observe the effect of MPs on the removal and ecotoxicity of antivirals. PE concentration was selected based on concentrations observed in treated wastewaters and those used in experimental studies in the literature [58,59,60].
2. Materials and Methods
FAV and OSE used in the study were provided in kind by Atabay Pharmaceuticals and Fine Chemicals Inc. (Istanbul, Türkiye) without any fee. [13C,15N]-Favipiravir and [2H5]-Oseltamivir hydrochloride salt, which are isotope-labeled standards of these antivirals, were obtained from Alsachim company (Illkirch-Graffenstaden, France). Other chemicals used were purchased either from Merck (Darmstadt, Germany) or Tekkim Kimya (Bursa, Türkiye). Nitrogen gas was supplied from Hat Sınai ve Tıbbi Gazlar A.Ş. or Linde Gaz (Kocaeli, Türkiye). All solvents were LC-MS grade and Merck brand. Polyethylene type MPs, which are the most commonly used microplastics and are frequently detected in natural environments, were purchased from Uçar Polymers (Izmir, Türkiye) in powder form and were used as obtained. The particle size was determined using a sieve to be <0.2 mm.
2.1. Synthetic Wastewater
Treated synthetic wastewater (SW) was prepared by running a laboratory-scale biological treatment system (sludge age: 15 days) fed with synthetic wastewater [61,62] to ensure that the media will contain dissolved inert microbial products to resemble secondarily treated effluent. The synthetic wastewater was prepared using a peptone mixture (meat extract and peptone), selected due to its standard use in the ISO 8192 inhibition test [63]. Although it lacks particulate COD (chemical oxygen demand) fractions, its biodegradation characteristics closely mimic domestic sewage. The key advantage of this mixture is its consistent composition throughout experiments. During the installation phase of the laboratory-scale fill-discharge type reactor, activated sludge taken from the aeration pool of an advanced biological WWTP (41°05′58.0″ N, 29°02′09.0″ E) in the Marmara Region, Türkiye was used as inoculum sludge. The reactor was fed with synthetic wastewater with 500 mg/L COD/L to represent medium-strength domestic wastewater. COD and mixed liquor volatile suspended solids were monitored daily to ensure proper operation (Standard Methods, 40 SM 2540-E) [64]. The pH value of the reactor was controlled to be between 6.5 and 7.5. Before chlorination experiments, the mixed liquor was settled for 30 min, and the supernatant was filtered through 220 nm membrane filters.
The conventional wastewater characterization study was conducted based on measurements of COD, dissolved organic carbon (DOC), ammonia (NH3-N), nitrite (NO2−-N), and total phosphorus (TP). Analyses of COD (SM 5220-B), NH3-N (SM 4500-NH3-C), and TP (SM 4500-P-D) were performed using the instructions described in Standard Methods (SM) [64]. The DOC was determined by a total organic carbon analyzer (TOC-V CPN, Shimadzu, Japan) and nitrite (NO2−-N) concentrations were measured by ion chromatography using a Dionex ICS-3000 system (Sunnyvale, CA, USA) coupled with a conductivity detector and an analytical column AS11HC (Dionex IonPac). The physicochemical characteristics of SW used to imitate secondary effluents from municipal WWTPs are provided in Table 1. The analysis of characterization results revealed that the characteristics of the SW were comparable to those of secondary effluents [65,66].
Table 1.
Physicochemical characteristics of SW.
2.2. Measurement of Antivirals
Measurements of FAV and OSE were carried out by Thermo Scientific Fortis Model Mass Spectrometer (MS/MS) connected to Thermo Scientific Ultimate 3000 Model Ultra Performance Liquid Chromatograph (UPLC) (Thermo Fisher Scientific, Waltham, MA, USA), operating in tandem. The column was Waters XBridge BEH C18 (3.5 µm, 4.6 mm × 50 mm) and injection volumes of 5 µL were used. The first and second mobile phase (A and B) both contained 0.1% formic acid in distilled water and in pure methanol, respectively. The flow rate was fixed at 0.6 mL/min for 10 min. m/z’s for the antivirals and their isotopically labeled standards as well limit of detection (LOD) and limit of quantification (LOQ) are presented in Table 2.
Table 2.
m/z ratios for FAV, OSE and their isotopically labeled standards and LOD/LOQ.
2.3. Chlorination Experiments
Chlorination experiments were carried out using glass bottles and Teflon materials and contact of samples with plastic was avoided as much as possible. All glass materials used in the experiments were washed with acetonitrile and distilled water before use and non-volumetric glassware were kept in a muffle furnace at 550 °C for 4 h.
Wastewater samples spiked with FAV and OSE (end concentration: 50 μg/L) were chlorinated at two different chlorine concentrations for two different contact times (30 min and 120 min). The chlorine concentration defined as ‘low’ (10 mg/L) was chosen to fall within the chlorine dosage range (5–20 mg/L) that is used for chlorination of typical domestic wastewater, while the concentration characterized as ‘high’ (50 mg/L) was used to represent extreme conditions such as a pandemic [67] and examine the treatment of the samples with excess amount of chlorine. In addition, chlorination experiments were repeated with wastewater samples containing 0.1 mg/L polyethylene in addition to FAV and OSE. Dosing solution was prepared using concentrated sodium hypochlorite solution (6–14% active chlorine) and its concentration was measured daily. Standard Methods, 4500 Cl DPD Ferrous Titration or Thiosulfate titration methods were used for chlorine determination [64].
Chlorine concentrations were adjusted after measurement of the chlorine requirement of synthetic wastewater (Standard Methods, 2350 B Chlorine Demand/Requirement) and increased accordingly [64]. In this way, the chlorine concentrations remaining in the samples after providing the chlorine demand of the SW were adjusted to be 10 and 50 mg/L. At the end of the contact period, 20 g/L ascorbic acid solution was added to samples as 1 mL of acid/100 mL of sample to stop the chlorination reaction. The suitability of ascorbic acid addition was checked by residual chlorine measurement and the added amount was sufficient for chlorine removal even during high concentration chlorination. After the chlorination reaction was stopped, isotopically labeled OSE and FAV standards were added to the samples, and the samples were passed through a 0.22 µm pore diameter filter prior to injection into the LC-MS/MS.
Chlorination experiments were performed in duplicates. The results were expressed as the percentage of removal efficiency for FAV and OSE separately and evaluated using pairwise comparisons with a Students t-test at a 0.05 significance level (p = 0.05).
2.4. Ecotoxicological Assays
2.4.1. A. fischeri Bioluminescence Inhibition Test
Acute toxicity tests were performed according to the standard method, BS EN ISO 11348-3 [68]. The BioTox™ WaterTox™ EVO kit was used to assess the toxicity in chlorinated samples by determination of inhibitory effect of the samples on the light emission of A. fischeri (NRRL B-11177).
pH value of the samples was adjusted to 7.0 ± 0.2 by dropwise addition of sodium hydroxide and proper salinity (2% NaCl, w/v) was obtained by adding 20 g of sodium chloride per liter to samples. Required oxygen amount were supplied by strong agitation. 3,5-Dichlorophenol (purity > 99%) and potassium dichromate solutions were prepared as reference solutions for validity check with the criteria of 20–80% inhibition after 30 min of contact time. Thermostatically controlled thermo-block and luminometer (Lumitester C-110, Kikkoman Biochemifa, Tokyo, Japan) were used to determine the toxicant-induced inhibition of luminescence after 5-, 15- and 30 min exposure.
The test was performed in duplicates, where each sample comprised two technical replicates and a positive control (2% NaCl, w/v) was included in each set. The results were expressed as the percentage of bioluminescence inhibition and evaluated by pair-wise comparisons using the t-test with a 0.05 significance level (p = 0.05).
2.4.2. E. crypticus Survival and Reproduction Test
Toxicological effects on the survival and reproduction of the E. crypticus organism were determined using ISO Guideline 16387 [69] and OECD Guideline 220 [70] methods, modified by Castro-Ferreira et al. (2012) [71] to carry out the experiments in 3 weeks. Toxicity tests were conducted as reported in detail in the study of Topuz and van Gestel (2015) [72].
Lufa 2.2 soil (Lufa Speyer, Speyer, Germany) was spiked with chlorinated wastewater samples based on half of the water holding capacity of the soil as 4 mL/20 g dry soil. Ten adult E. crypticus, approximately 1 cm long and identified as mature by the presence of white spots (in the clitellum region), were added to the contaminated soil surface. After addition of finely ground oats to supply food to E. crypticus, each jar was weighted and put in a cabinet for a 21-day incubation period. Studies suggest that extending test durations to 56 days for E. crypticus is important for evaluating the long-term effects of substances [73,74]. However, as the test duration increases, the rise in population density can become a confounding factor in assessments. To prevent this issue, adaptations such as using larger vessels and increasing soil volume or removing adults after the first generation should be implemented [75]. Because this study was the first study on the effect of antivirals on E. crypticus, it was decided to use the most commonly used exposure time instead of a multigenerational study, which also prevented overcrowding and ensured an accurate assessment of results. Humidity control was made twice a week by weighing, and food availability was checked visually. At the end of the incubation, toxicity experiments were terminated by the addition of 10 mL of 96% ethanol followed by 50 mL of tap water, and the staining process was achieved by contacting 200 uL of bengal rose solution (1% in ethanol) with soil content. Then, the adults and juveniles were separated by sieving and counted on a white plate divided into equal areas.
For each sample, four replicates and a control sample were prepared. Survival and reproduction of E. crypticus were assessed by one-way analysis of variance (ANOVA) using the SPSS Statistics software, version 28.0 (p = 0.05). The performance of the test was evaluated according to the validity criteria provided in the guidelines: number of juveniles per replicate, adult survival, and coefficient of variation for reproduction within control replicates.
3. Results and Discussion
3.1. Effect of Chlorination on ATVs
Synthetic wastewater samples with a chlorine demand of 5 mg/L were spiked with FAV and OSE to a final concentration of 50 µg/L of each antiviral. Furthermore, to check for any potential in situ chloramination, ammonia concentrations were measured and determined as 0.7 mg N/L. Chlorination experiments were carried out by adding the chlorine demand of the samples to the predetermined chlorine concentrations. The effects of chlorination on the ATVs were evaluated with (w/) and without (w/o) MPs presence in the matrix and removal efficiencies (%) of FAV and OSE are provided in Figure 1.
Figure 1.
Removal efficiencies of antivirals by chlorination applied in different conditions. (a) Favipiravir; (b) Oseltamivir.
The results obtained in the absence of MPs show that the removal efficiency of FAV reaches 47 ± 2.0% after 30 min chlorination with low concentration and the prolonged contact time of 120 min does not significantly affect the FAV abatement (p > 0.05). In addition, high chlorine concentration applied for 120 min does not provide an improvement on FAV removal compared to the low concentration treatment (p > 0.05). The slightly worse abatement with high chlorine concentration for 30 min-contact time could be explained by the decomposition of chlorine at high concentrations [76,77,78,79] since a similar decrease in removal was also observed in the same sample for OSE. Since FAV removal behavior does not vary with increasing oxidant concentration or contact time, it can be stated that the chlorination reactions are almost completed in 30 min (p > 0.05), and there is no need to supply higher oxidant concentrations to enhance FAV removal. Previous studies indicate that oxidation of FAV with ozonation was not affected by the experimental conditions such as ozone dose or pH [62], and the photodegradation of FAV to more than 50% of the initial concentration occurred within 1 h [3]. These results suggest that some moieties in FAV are readily oxidizable; there are recalcitrant parts in its structure that are not affected by increasing oxidant concentrations.
In the presence of MPs, the results demonstrate that FAV removal efficiency increases with the increasing chlorine concentration in 30 min treatment, leading to a statistically significantly high removal of FAV (33 ± 4 vs. 43 ± 0.4% for low and high chlorine concentrations, respectively). For 120 min chlorine contact time, there was a low (5%) but statistically significant difference (p < 0.05) between low and high concentration chlorination with low concentration resulting in slightly high removal efficiency, which again could be caused by the in situ self-destruction of chlorine at high concentrations. Unlike the reaction in the absence of MPs, the degradation of FAV by chlorination seems to proceed for 120 min in the presence of MPs and the difference in contact time-dependent elimination is more remarkable at low concentrations compared to the high concentration treatment, showing the limitation effect of free chlorine on reaction rate. The reason for FAV degradation to take longer in the presence of MPs can be explained by the chlorine consumption for MPs’ oxidation leading to a decrease in concentration of free chlorine. In a recent study, chlorination of MPs led to the formation of oxidized and chlorinated bonds as well as chlorine-destructed surfaces on the MPs [80,81].
The effect of chlorination on OSE removal was different than on FAV. In the absence of MPs, the results suggest that the removal efficiency of OSE significantly increases with increasing contact time (p < 0.05). In the cases where chlorine contact is provided for 30 min, increasing chlorine concentration does not have a significant effect on the elimination of OSE (p > 0.05). With longer contact time and higher oxidant concentration, a statistically significant improvement is observed in OSE degradation (p < 0.05), and the removal efficiency of OSE is calculated as 30 ± 1%. Although chlorination was not found to be effective in OSE removal in the literature, even the chlorine concentration increased up to 4 mg/L [82], at least 20% removal efficiency was achieved with the concentrations applied in our study, which are quite high compared to 4 mg/L.
The chlorination results obtained in the presence of MPs indicate that increasing contact time during low-concentration treatment does not achieve a significant improvement on OSE removal (p > 0.05), which is obtained as 27 ± 2% on average. On the other hand, in the high-concentration applications, there was a low (4%) but statistically significant difference (p < 0.05) between the removal efficiencies obtained in the samples after 30 min and 120 min exposure to chlorine, with longer contact time leading to a higher removal efficiency.
Although the removal efficiencies of OSE for both chlorine concentrations were similar after 120 min of contact, there was a significant difference between the removal efficiencies obtained with low and high concentrations after 30 min of chlorination (p < 0.05). If chlorination were the only process affecting the removal of OSE, then the removal efficiency during high-concentration chlorination would be higher. However, since low-concentration chlorination results in higher efficiency, there might be another process in addition to the oxidation of OSE by chlorine that enhances OSE removal. Recent studies conducted to examine MPs under chlorine attack show that chlorination creates micro-cracks and uneven marks on MPs surface resulting in increased surface area, which promotes adsorption of micropollutants such as antibiotics and heavy metals onto MPs [81,83]. Therefore, OSE could be absorbed on the fractured surface of MPs in addition to being oxidized. Nevertheless, the effect of adsorption is weakened at high chlorine concentrations due to the increase in the floating tendency of MPs, especially polyethylene at high chlorine concentrations [80], which in turn decreases their interaction with the aqueous samples and the ATVs therein. With increasing chlorination times, OSE can be absorbed on MPs even if the MPs are floating due to the increased time of contact between OSE and the adsorbent, MPs.
Micropollutant adsorption on MPs occurs through various mechanisms such as intermolecular van der Waals forces [84], micro-pore filling mechanisms [85], formation of chemical bonds [86], and electrostatic interactions [87,88]. These mechanisms are influenced by characteristics of MPs (particle size, pore size distribution, surface charge, etc.), physico-chemical properties of micropollutants (molecular size, chemical structure, hydrophobicity, etc.), and environmental factors such as pH, presence of competitive ions, and temperature. In studies focused on polyethylene MPs suggest that the adsorption of pharmaceuticals is mainly due to electrostatic attraction and hydrophobic behavior of the pharmaceuticals [86,89]. While the hydrophobicity can be characterized by octanol–water partition coefficient (Kow), electrostatic interaction in a complex system can be defined through the evaluation of each component by using the acid dissociation constant of sorbate (Ka), pH of aqueous environment, and the point of zero charge of sorbent (pHpzc). Based on the neutral pH of the samples (6.8 ± 0.1), the surface of MPs becomes negatively charged due to the point of zero charge of polyethylene being 4.3 [90]. The charged surface is electrostatically attracted to substances present as positively charged molecules. The pKa values of FAV and OSE are 5.3 and 9.3, respectively [91,92], and at neutral pH, only OSE is positively charged. Hence, adsorption through electrostatic interactions is only effective on OSE, and therefore these interactions selectively eliminate OSE from the aqueous phase, whereas FAV, which is negatively charged at neutral pH values, cannot be adsorbed to the negatively charged MP surface through electrostatic interactions.
3.2. Effect of Chlorination on A. fischeri Bioluminescence
As a preliminary evaluation, acute toxicity of samples prepared with distilled water containing ATVs at a concentration of 50 µg/L was examined. The individual and combined inhibitory effects of FAV and OSE were determined after 15 min exposure. Moreover, the effect of the presence of MPs was investigated by the addition of 0.1 mg polyethylene particles to a one-liter sample, and bioluminescence inhibition results are provided as %Inhibition in Figure 2.
Figure 2.
Individual and combined inhibition of FAV and OSE on A. fischeri bioluminescence in the presence and absence of MPs (Matrix: Distilled water).
The results demonstrate that individual inhibitory effects of FAV and OSE do not significantly differ from each other (p > 0.05). Previous studies that examined the acute toxicity of pharmaceuticals show that the presence of these compounds in a mixture could create an antagonistic [93,94] or synergistic effect on A. fischeri bioluminescence [95,96]. The results reveal that the combined effect of FAV and OSE is significantly higher (p < 0.05) than the effects observed individually.
For bacteria exposed to only MPs at a concentration of 0.1 mg/L, a low decrease in bioluminescence was observed. This negligible effect can be explained by the previously estimated EC20 (effective concentration that lowers bacterial luminescence by 20%) of polyethylene beads of 3.6 mg/mL [97], which is much higher than the studied MPs concentration in our study. It was also observed that the presence of MPs did not significantly induce the individual effects of FAV and OSE on bioluminescence (p > 0.05). Nevertheless, it should be noted that the addition of MPs doubled the inhibition effect of the binary mixture of ATVs compared to the results obtained from samples without MPs.
To distinguish the inhibitory effects of ATVs and chlorinated SW, which includes a wide array of organics, including extracellular organic material, it was necessary to investigate the inhibition that may arise only from the chlorination of SW. For this purpose, SW was chlorinated under predetermined experimental conditions and the inhibition results are presented in Figure 3.
Figure 3.
A. fischeri bioluminescence inhibition (%) after 15 min exposure to synthetic wastewater (without FAV and OSE) chlorinated in several conditions.
The results show that non-chlorinated SW has an inhibitive effect, which significantly increases in the presence of MPs (p < 0.05). This inhibition-inducing effect of MPs, as well as other particulate/suspended compounds, may occur through their hindering effect on the intercellular communication mechanism called quorum sensing [97]. Moreover, the release of the chemicals, which are added to MPs in order to improve their characteristics during the manufacturing step, may cause MPs to have a toxic effect on A. fischeri [98].
In the absence of MPs, the inhibition effect of SW treated with low chlorine concentration for 30 min (16 ± 0.5%) is almost the same as the effect of non-chlorinated SW (17 ± 0.1%). The negative impact on bioluminescence increases up to 28 ± 0.1% with increasing contact time, suggesting that toxic TPs formed during prolonged chlorination time may be responsible for this rise in inhibition. Similarly, when chlorine concentration was increased, 23 ± 2% of inhibition was observed at the end of 30 min of contact and this value is considerably higher than the inhibition effect seen as a result of contact with low concentration for the same duration. On the other hand, the results obtained after 120 min chlorination of SW with high oxidant concentration show that the inhibitive effect may be eliminated by further oxidation of toxic TPs assumed to have formed within the first 30 min or during chlorination with low concentration.
Due to the fact that chlorination experiments are carried out in the presence of MPs, it is important to consider the possible effects of chlorine on MPs in terms of toxicity. For example, when the inhibition values obtained after low-concentration chlorination in the presence and absence of MPs are compared, the presence of MPs does not increase inhibition as it is observed for MPs in non-chlorinated samples. The decrease in inhibition in the presence of MPs may be related to the consumption of free chlorine for MPs’ oxidation [80,99], leaving less chlorine in the sample for the production of toxic TPs, which are most probably formed through the reaction of chlorine with the organic moieties in SW. In addition, the enhanced adsorption capacity of chlorinated MPs [81,83] may be responsible for the removal of toxic TPs from the media. Since penetration of MPs into the bacterial cells is not possible due to their size [98], the adsorbed substances on MPs are not expected to have a negative impact on A. fischeri, leading to a decrease in toxicity. A similar result is expected for the comparison of high concentration chlorination in the absence and presence of MPs, with the latter showing less inhibition. However, contrary to expectations, an increase in inhibition is observed. This increase in the inhibition may be explained by the high toxicity of the disinfection by-products formed through the chlorination of organic matter released from MPs at high chlorine concentrations [100] which overwrites the previously described inhibition-reducing factors.
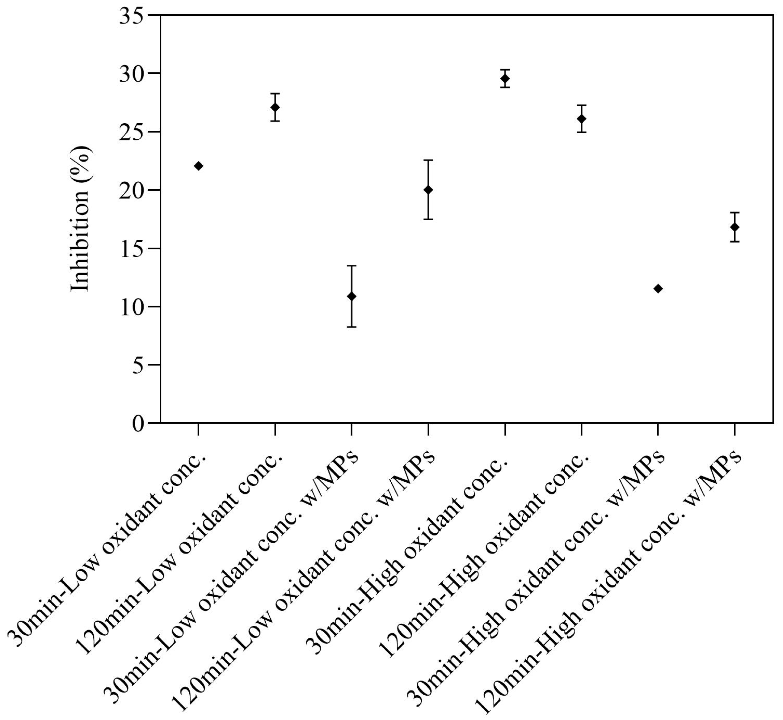
The same chlorination conditions were applied to SW samples containing FAV and OSE at a concentration of 50 μg/L and the chlorinated samples were used to evaluate the bioluminescence inhibition effect of A. fischeri. The results are illustrated in Figure 4.
Figure 4.
A. fischeri bioluminescence inhibition after 15 min exposure to chlorinated synthetic wastewater samples containing FAV and OSE.
For samples without MPs, comparison of the inhibition of chlorinated SW with and without added ATVs (27 ± 1% and 28 ± 0.6%, respectively) indicated that the presence of FAV, OSE, and their TPs does not significantly affect the inhibition on A. fischeri after 120 min low-concentration chlorination (p > 0.05), although the presence of ATVs causes a 6% increase in inhibition observed after the 30 min treatment (from 16 ± 0.4 to 22 ± 0.1%). When chlorination is conducted with high chlorine concentration, the ATVs cause a 7% and 10% increase in inhibition after 30 min and 120 min of treatment, respectively. Overall, the highest inhibition to A. fischeri was obtained in samples that are chlorinated with a high chlorine concentration for 30 min and the resulting inhibition was approximately 30%. The effect of the concentration of chlorine on bioluminescence was also reported in a study that demonstrated a significant correlation between ascending chlorine dose (5–50 mg/L) and enhanced inhibition on A. fischeri, due to the increase in oxidation capacity of chlorine species (free or combined) and formation potential of toxic disinfection by-products [101].
The experiments carried out in the presence of MPs show that the ATVs and their TPs do not significantly affect the inhibition in low-concentration treatment (p > 0.05) regardless of the contact time. An increase in inhibition is expected with increasing chlorine concentration applied to the samples containing FAV and OSE compared to the inhibition observed with high-concentration treatment of SW without ATVs. However, contrary to expectations, a 6% and 7% decrease in inhibition is observed for 30 min and 120 min of chlorination, respectively. This reverse trend can only be explained by the presence of MPs and the changes in physical and chemical properties of MPs due to their contact with high chlorine concentration, resulting in the elimination of toxic effects on A. fischeri. Studies in the literature have shown that the presence of MPs reduced the disinfection efficiency of NaClO [102] and caused an increase in the oxidant concentration or contact time required to achieve adequate disinfection [103].
3.3. Effect of Chlorination on E. crypticus Survival and Reproduction
As a preliminary study, individual and combined inhibitory effects of FAV and OSE on E. crypticus survival and reproduction were studied with solutions prepared in distilled water. Lufa 2.2 soil was contaminated by using the required amount of the solutions containing FAV and OSE individually and in combination to obtain the ATVs concentration as 10 mg/kg in 20 gr soil. To study the effects of MPs presence on E. crypticus, 0.1 g of polyethylene microspheres was directly added to soil to adjust the MPs concentration to 0.5% (w/w dry soil) and a homogenous distribution of the MPs in soil was provided by mixing with a stainless spoon. Control studies were carried out by supplying the moisture content of the soil with distilled water without ATVs. The results for E. crypticus survival (%) and number of juveniles are provided in Figure 5.
Figure 5.
Individual and combined effects of FAV and OSE on E. crypticus survival and reproduction in the presence and absence of MPs (Matrix: Distilled water).
The results demonstrate that the presence of MPs alone in the soil environment does not cause an inhibitory effect on E. crypticus survival. A recent study reveals that there was no significant toxicological effect, even if the exposed concentration of MPs was increased up to 5% (w/w) concentration, which is considerably higher than the concentration used in our study [104]. The results obtained in the presence of ATVs and MPs in various combinations show that the individual and combined presence of ATVs in both with and without MPs does not cause a significant inhibition on adult survival (p > 0.05) in distilled water.
The individual presence of MPs and ATVs did not result in significant inhibition on reproduction, suggested by the lack of any decrease in the number of juveniles compared to the control group (p > 0.05). On the other hand, the presence of ATVs in combination caused a decrease in the number of juveniles compared to the control group, indicating a significant inhibition of E. crypticus reproduction (p < 0.05). In light of these results, it can be concluded that the NOEC (No Observed Effect Concentration) for the reproduction of E. crypticus exposed to FAV and OSE mixture is lower than 10 mg/kg in distilled water. The presence of MPs either with individual antivirals or the combination of antivirals did not cause any change in toxicological response compared with the cases where MPs were absent (p > 0.05). These results suggest that while MPs are expected to enhance the toxic effects of micropollutants by acting as a carrier agent [105,106], the larger size of MPs (less than 0.2 mm) might remain a likely limiting factor on their ingestion, evidenced by easier uptake of smaller particles such as nanoplastics [107].
Chlorination of the wastewater itself might cause a toxicological response to E. crypticus; therefore, the effects that may originate only from chlorinated synthetic wastewater were investigated by using the specified chlorination conditions on synthetic wastewater that does not include any ATVs. Samples obtained after chlorination of SW under various experimental conditions were used to contaminate the soil and to conduct the assessment of the effects on E. crypticus survival and reproduction (Figure 6).
Figure 6.
E. crypticus survival (%) and reproduction after exposure to synthetic wastewater (without FAV and OSE) chlorinated in several conditions.
The results obtained with chlorinated SW with no ATVs showed that there is only one chlorination condition (120 min- High oxidant conc.) applied to SW, which causes a significant inhibitive effect on survival of E. crypticus compared to the control experiments conducted with unchlorinated SW (p < 0.05). The adult survival achieved in control group is >%90 on average. In contrast, only 70% of adults which were added to soil contaminated with SW without ATVs which was treated with high chlorine concentration for 120 min can survive. Also, this is the only chlorinated SW sample where a statistically significant decrease in the number of juveniles was observed (p < 0.05). As a result, even in the absence of ATVs, 120 min high oxidant chlorination of SW leads to toxic effect to E. crypticus.
The same conditions were repeated in the presence on MPs to evaluate their ecotoxicological effects. When MPs were present even the condition that caused a significant inhibition in the absence of MPs (120 min- High oxidant conc.), did not show any changes either in adult survival or number of juveniles compared to the control (p > 0.05) (Figure 6). Therefore, we can speculate that the presence of MPs might reduce the toxicity to E. crypticus. This toxicity may be related to formation of toxic compounds that might originate from treated SW and they might be absorbed on MPs since chlorine attack has been shown to result in enhanced adsorption capacity of MPs resulting with the removal of toxic compounds from the soil media [81,83]. Since E. crypticus probably cannot ingest the larger MPs [107] that are used in our study that adsorbed toxic compounds are sequestrated and are not available for uptake.
In the last case, synthetic wastewater containing ATVs at a concentration of 50 ug/L was chlorinated, then used in another series of experiments to examine the effects of chlorination in the presence of ATVs as well as the complex organics resulting the wastewater treatment. The effect of MPs was determined by presence of MPs in the matrix in addition to ATVs during chlorination. The inhibition on E. crypticus is shown as %Adult survival and number of juveniles in Figure 7.
Figure 7.
E. crypticus survival and reproduction after exposure to chlorinated synthetic wastewater samples containing FAV and OSE.
The statistical evaluation of the survival results suggests that there is no significant difference between the control group and chlorinated SW samples containing ATVs (p > 0.05). A significant decrease in the number of juveniles was observed in the sample 120 min- high oxidant concentration (p < 0.05), even though there was no significant decrease in lethality for this sample (p > 0.05) (Figure 7). When the same condition was applied in the presence of MPs, the number of juveniles increased significantly (p < 0.05). This observed decrease in toxicity can be explained as the adsorption of the toxic compounds onto MPs, which are sequestrated (as explained above for chlorinated SW in the absence of ATVs). In addition, the presence of extracellular organic matter in secondary treated wastewater probably has a positive effect on the survival and reproduction of E. crypticus. Indeed, E. crypticus has been found to reproduce more in soils with higher organic matter content [108] and it has also been found that increased organic matter content has a negative impact on the bioavailability of toxic substances, reducing their toxicity [109]. As a result, chlorination of SW with or without ATVs led to adverse effects on reproduction, while the presence of MPs might compensate for this effect due to the adsorption and sequestration of toxic compounds.
4. Conclusions
Increasing water demand due to population increase and climate change requires studies to focus on wastewater treatment and reuse so that wastewater effluents can be used as a beneficial source. This study demonstrated that chlorination was more effective for the removal of Favipiravir (42 ± 4) compared to Oseltamivir (26 ± 3), regardless of chlorine concentration or contact time. The presence of polyethylene microplastics during chlorination influenced the removal of both antivirals, with effects varying depending on chlorination conditions. These findings highlight the importance of considering MPs as a key factor influencing chlorination efficiency for pharmaceutical removal.
When assessing the ecotoxicological impacts of chlorination on two sensitive biological indicators, A. fischeri and E. crypticus, in both distilled water and synthetic wastewater, it was found that antivirals in distilled water inhibited the bioluminescence of A. fischeri and reproduction of E. crypticus. However, in synthetic wastewater, chlorination of the medium emerged as the main source of toxicity for both species, regardless of antiviral presence. Therefore, these results suggest that chlorination may not be the best technology for the removal of micropollutants and disinfection because of the possible toxic effects of several transformation products formed during chlorination of treated wastewater. Nevertheless, the inclusion of MPs in synthetic wastewater mitigated the toxicity effects on both species, showing the importance of the matrix where chlorination occurs.
These results underscore the need for studies in ecotoxicology and pollutant removal to use representative environmental samples. Mimicking real-world conditions is crucial for both pollutant removal research and ecotoxicological impact assessments. While distilled water is convenient for experiments, it does not accurately represent the effluent from wastewater treatment plants. For studies that aim to simulate the conditions of WWTP effluent, synthetic wastewater without pharmaceuticals or other micropollutants should undergo biological treatment to enhance its representativeness. Moreover, it is vital to not only assess the removal efficiency of pharmaceuticals but also consider the broader ecological impact of the treated effluent by including biological indicator species in the assessment. Using multiple species as biological indicators will provide a more comprehensive understanding of the ecotoxicological effects, especially given the potential for wastewater reuse in both aquatic and soil environments.
The limitations of this study are the understanding of the mechanisms of ATV removal and mechanisms of toxicity to organisms at several trophic levels, due to the formation of possible TPs and the presence of MPs. For future studies, a multi-species approach is essential to evaluate the full spectrum of ecotoxicological consequences. In addition, other oxidation techniques should be investigated so that disinfection of the treated wastewater can be completed without an additional increase in toxicity while a possible reduction in micropollutant concentrations is desired. Moreover, identification of the transformation products that occur after application of disinfection/oxidation of the wastewater as well as the identification of mechanisms for the effect of MPs on ATV removal are future areas of studies. Nevertheless, it is also important to note that one must choose between obtaining a representative environmental sample that allows for the observation of real effects in a complex matrix and selecting a simpler matrix that facilitates the deduction of reaction mechanisms.
Author Contributions
Conceptualization, E.P. and E.T.; methodology, N.B.-S., E.T. and E.P.; formal analysis, N.B.-S. and E.T.; investigation, N.B.-S.; resources, E.P. and E.T.; writing—original draft preparation, N.B.-S.; writing—review and editing, E.P. and E.T.; visualization, N.B.-S.; supervision, E.P.; project ad-ministration, E.P.; funding acquisition, E.P. All authors have read and agreed to the published version of the manuscript.
Funding
This study was funded by the Scientific and Technological Research Council of Turkey (TUBITAK, 1001 Project #121Y383). Nilay Bilgin-Saritas was supported by Scientific and Technological Research Council of Turkey (TUBITAK, 2250 Performance Program for Graduate Scholarships).
Data Availability Statement
The original contributions presented in this study are included in the article. Further inquiries can be directed to the corresponding author.
Acknowledgments
The authors are thankful to SUMER Lab at Gebze Technical University for LC-MS/MS measurements. OSE and FAV were provided in kind by Atabay Pharmaceuticals and Fine Chemicals Inc. (Istanbul, Türkiye).
Conflicts of Interest
The authors declare no conflicts of interest. The funders had no role in the design of the study; in the collection, analyses, or interpretation of data; in the writing of the manuscript; or in the decision to publish the results.
Abbreviations
The following abbreviations are used in this manuscript:
| ATVs | Antivirals |
| MPs | Microplastics |
| FAV | Favipiravir |
| OSE | Oseltamivir |
| SW | Synthetic wastewater |
| TP | Transformation product |
| WWTP | Wastewater treatment plant |
| THM | Trihalomethane |
| COD | Chemical oxygen demand |
| DOC | Dissolved organic carbon |
| NH3-N | Ammonia-nitrogen |
| NO2−-N | Nitrite-nitrogen |
| TP | Total phosphorus |
References
- Agrawal, U.; Raju, R.; Udwadia, Z.F. Favipiravir: A New and Emerging Antiviral Option in COVID-19. Med. J. Armed Forces India 2020, 76, 370–376. [Google Scholar] [CrossRef]
- Madelain, V.; Duthey, A.; Mentré, F.; Jacquot, F.; Solas, C.; Lacarelle, B.; Vallvé, A.; Barron, S.; Barrot, L.; Mundweiler, S.; et al. Ribavirin Does Not Potentiate Favipiravir Antiviral Activity against Ebola Virus in Non-Human Primates. Antivir. Res. 2020, 177, 104758. [Google Scholar] [CrossRef] [PubMed]
- Azuma, T.; Ishida, M.; Hisamatsu, K.; Yunoki, A.; Otomo, K.; Kunitou, M.; Shimizu, M.; Hosomaru, K.; Mikata, S.; Mino, Y. Fate of New Three Anti-Influenza Drugs and One Prodrug in the Water Environment. Chemosphere 2017, 169, 550–557. [Google Scholar] [CrossRef] [PubMed]
- Ghosh, G.C.; Nakada, N.; Yamashita, N.; Tanaka, H. Occurrence and Fate of Oseltamivir Carboxylate (Tamiflu) and Amantadine in Sewage Treatment Plants. Chemosphere 2010, 81, 13–17. [Google Scholar] [CrossRef] [PubMed]
- Matsuo, H.; Sakamoto, H.; Arizono, K.; Shinohara, R. Behavior of Pharmaceuticals in Waste Water Treatment Plant in Japan. Bull. Environ. Contam. Toxicol. 2011, 87, 31–35. [Google Scholar] [CrossRef]
- Kuroda, K.; Li, C.; Dhangar, K.; Kumar, M. Predicted Occurrence, Ecotoxicological Risk and Environmentally Acquired Resistance of Antiviral Drugs Associated with COVID-19 in Environmental Waters. Sci. Total Environ. 2021, 776, 145740. [Google Scholar] [CrossRef]
- Muriuki, C.; Kairigo, P.; Home, P.; Ngumba, E.; Raude, J.; Gachanja, A.; Tuhkanen, T. Mass Loading, Distribution, and Removal of Antibiotics and Antiretroviral Drugs in Selected Wastewater Treatment Plants in Kenya. Sci. Total Environ. 2020, 743, 140655. [Google Scholar] [CrossRef]
- Abafe, O.A.; Späth, J.; Fick, J.; Jansson, S.; Buckley, C.; Stark, A.; Pietruschka, B.; Martincigh, B.S. LC-MS/MS Determination of Antiretroviral Drugs in Influents and Effluents from Wastewater Treatment Plants in KwaZulu-Natal, South Africa. Chemosphere 2018, 200, 660–670. [Google Scholar] [CrossRef]
- Nannou, C.; Ofrydopoulou, A.; Evgenidou, E.; Heath, D.; Heath, E.; Lambropoulou, D. Analytical Strategies for the Determination of Antiviral Drugs in the Aquatic Environment. Trends Environ. Anal. Chem. 2019, 24, e00071. [Google Scholar] [CrossRef]
- Race, M.; Ferraro, A.; Galdiero, E.; Guida, M.; Núñez-Delgado, A.; Pirozzi, F.; Siciliano, A.; Fabbricino, M. Current Emerging SARS-CoV-2 Pandemic: Potential Direct/Indirect Negative Impacts of Virus Persistence and Related Therapeutic Drugs on the Aquatic Compartments. Environ. Res. 2020, 188, 109808. [Google Scholar] [CrossRef]
- Giacobbo, A.; Rodrigues, M.A.S.; Zoppas Ferreira, J.; Bernardes, A.M.; de Pinho, M.N. A Critical Review on SARS-CoV-2 Infectivity in Water and Wastewater. What Do We Know? Sci. Total Environ. 2021, 774, 145721. [Google Scholar] [CrossRef] [PubMed]
- Nas, B.; Uyanik, S.; Aygün, A.; Doğan, S.; Erul, G.; Nas, K.B.; Turgut, S.; Cop, M.; Dolu, T. Wastewater reuse in Turkey: From present status to future potential. Water Supply 2020, 20, 73–82. [Google Scholar] [CrossRef]
- Li, B.; Zhang, T. Different Removal Behaviours of Multiple Trace Antibiotics Inmunicipal Wastewater Chlorination. Water Res. 2013, 47, 2970–2982. [Google Scholar] [CrossRef] [PubMed]
- Nam, S.W.; Jo, B.I.; Yoon, Y.; Zoh, K.D. Occurrence and Removal of Selected Micropollutants in a Water Treatment Plant. Chemosphere 2014, 95, 156–165. [Google Scholar] [CrossRef] [PubMed]
- Chen, W.L.; Ling, Y.S.; Lee, D.J.H.; Lin, X.Q.; Chen, Z.Y.; Liao, H.T. Targeted Profiling of Chlorinated Transformation Products and the Parent Micropollutants in the Aquatic Environment: A Comparison between Two Coastal Cities. Chemosphere 2020, 242, 125268. [Google Scholar] [CrossRef]
- Hu, S.; Zhao, J.; Fang, S.; Guo, K.; Qi, W.; Liu, H. Neurotoxic Effects of Chloroquine and Its Main Transformation Product Formed after Chlorination. Sci. Total Environ. 2024, 908, 168043. [Google Scholar] [CrossRef]
- Matsushita, T.; Kobayashi, N.; Hashizuka, M.; Sakuma, H.; Kondo, T.; Matsui, Y.; Shirasaki, N. Changes in Mutagenicity and Acute Toxicity of Solutions of Iodinated X-Ray Contrast Media during Chlorination. Chemosphere 2015, 135, 101–107. [Google Scholar] [CrossRef]
- Hlongwa, N.; Gani, M.K.; Kumari, S.; Pillay, K.; Bux, F. Exploring chlorination as a removal process for antiretroviral drugs (Nevirapine and Efavirenz) from water: Effect of operational parameters, kinetics, and trihalomethane formation. J. Water Process Eng. 2024, 57, 104604. [Google Scholar] [CrossRef]
- Guo, K.; Liu, Y.; Peng, J.; Qi, W.; Liu, H. Chlorination of Antiviral Drug Ribavirin: Kinetics, Nontargeted Identification, and Concomitant Toxicity Evolution. J. Hazard. Mater. 2024, 467, 133478. [Google Scholar] [CrossRef]
- dos Santos, C.R.; Rosa e Silva, G.O.; de Figueiredo Valias, C.; de Souza Santos, L.V.; Amaral, M.C.S. Ecotoxicological Study of Seven Pharmaceutically Active Compounds: Mixture Effects and Environmental Risk Assessment. Aquat. Toxicol. 2024, 275, 107068. [Google Scholar] [CrossRef]
- Sigurnjak Bureš, M.; Ukić, Š.; Cvetnić, M.; Prevarić, V.; Markić, M.; Rogošić, M.; Kušić, H.; Bolanča, T. Toxicity of Binary Mixtures of Pesticides and Pharmaceuticals toward Vibrio Fischeri: Assessment by Quantitative Structure-Activity Relationships. Environ. Pollut. 2021, 275, 115885. [Google Scholar] [CrossRef] [PubMed]
- Tongur, S.; Yıldız, S. Toxicity Tests Using Flurbiprofen, Naproxen, Propranolol, and Carbamazepine on Lepidium Sativum, Daphnia Magna, and Aliivibrio Fischeri. Desalination Water Treat. 2021, 221, 359–366. [Google Scholar] [CrossRef]
- Siciliano, A.; Medici, A.; Guida, M.; Libralato, G.; Saviano, L.; Previtera, L.; Di Fabio, G.; Zarrelli, A. Newly Discovered Irbesartan Disinfection Byproducts via Chlorination: Investigating Potential Environmental Toxicity. Appl. Sci. 2023, 13, 8170. [Google Scholar] [CrossRef]
- Qin, G.; Zhang, Q.; Zhang, Z.; Chen, Y.; Zhu, J.; Yang, Y.; Peijnenburg, W.J.G.M.; Qian, H. Understanding the Ecological Effects of the Fungicide Difenoconazole on Soil and Enchytraeus Crypticus Gut Microbiome. Environ. Pollut. 2023, 326, 121518. [Google Scholar] [CrossRef] [PubMed]
- Kovačević, M.; Hackenberger, D.K.; Hackenberger, B.K. Effects of Strobilurin Fungicides (Azoxystrobin, Pyraclostrobin, and Trifloxystrobin) on Survival, Reproduction and Hatching Success of Enchytraeus Crypticus. Sci. Total Environ. 2021, 790, 148143. [Google Scholar] [CrossRef]
- Gomes, S.I.L.; Ammendola, A.; Casini, S.; Amorim, M.J.B. Toxicity of Fungicides to Terrestrial Non-Target Fauna–Formulated Products versus Active Ingredients (Azoxystrobin, Cyproconazole, Prothioconazole, Tebuconazole)—A Case Study with Enchytraeus Crypticus (Oligochaeta). Sci. Total Environ. 2021, 754, 142098. [Google Scholar] [CrossRef]
- Li, S.; Jia, M.; Li, Z.; Ke, X.; Wu, L.; Christie, P. Ecotoxicity of Arsenic Contamination toward the Soil Enchytraeid Enchytraeus Crypticus at Different Biological Levels: Laboratory Studies. Ecotoxicol. Environ. Saf. 2021, 207, 111218. [Google Scholar] [CrossRef]
- Zhang, L.; Belloc da Silva Muccillo, V.; Van Gestel, C.A.M. A Combined Toxicokinetics and Toxicodynamics Approach to Investigate Delayed Lead Toxicity in the Soil Invertebrate Enchytraeus Crypticus. Ecotoxicol. Environ. Saf. 2019, 169, 33–39. [Google Scholar] [CrossRef]
- Santos, F.C.F.; van Gestel, C.A.M.; Amorim, M.J.B. Toxicokinetics of Copper and Cadmium in the Soil Model Enchytraeus Crypticus (Oligochaeta). Chemosphere 2021, 270, 129433. [Google Scholar] [CrossRef]
- Santos, F.C.F.; Verweij, R.A.; van Gestel, C.A.M.; Amorim, M.J.B. Toxicokinetics and Toxicodynamics of Copper and Cadmium in the Soil Invertebrate Enchytraeus Crypticus (Oligochaeta). Ecotoxicol. Environ. Saf. 2022, 236, 113485. [Google Scholar] [CrossRef]
- Wang, W.; Yuan, W.; Chen, Y.; Wang, J. Microplastics in Surface Waters of Dongting Lake and Hong Lake, China. Sci. Total Environ. 2018, 633, 539–545. [Google Scholar] [CrossRef] [PubMed]
- Kılıç, E.; Yücel, N.; Bengil, F.; Bengil, E.G.T.; Şahutoğlu, S.M. Microplastic Pollution Levels in the Surface Water and Sediment of Orontes Basin: Urgent Risk for Endangered Species. Mar. Pollut. Bull. 2024, 208, 116945. [Google Scholar] [CrossRef] [PubMed]
- Chen, L.; Zhou, S.; Su, B.; Qiu, Y.; Li, Y. Microplastic Pollution in Taihu Lake: Spatial Distribution from the Lake Inlet to the Lake Centre and Vertical Stratification in the Water Column. Environ. Pollut. 2024, 363, 125102. [Google Scholar] [CrossRef]
- Chen, D.; Wang, P.; Liu, S.; Wang, R.; Wu, Y.; Zhu, A.X.; Deng, C. Global Patterns of Lake Microplastic Pollution: Insights from Regional Human Development Levels. Sci. Total Environ. 2024, 954, 176620. [Google Scholar] [CrossRef] [PubMed]
- OECD. Global Plastics Outlook: Economic Drivers, Environmental Impacts and Policy Options. OECD. Available online: https://www.oecd.org/en/publications/global-plastics-outlook_de747aef-en.html (accessed on 9 March 2025).
- Sharma, S.; Bhardwaj, A.; Thakur, M.; Saini, A. Understanding Microplastic Pollution of Marine Ecosystem: A Review. Environ. Sci. Pollut. Res. 2024, 31, 41402–41445. [Google Scholar] [CrossRef]
- Shamskhany, A.; Li, Z.; Patel, P.; Karimpour, S. Evidence of Microplastic Size Impact on Mobility and Transport in the Marine Environment: A Review and Synthesis of Recent Research. Front. Mar. Sci. 2021, 8, 760649. [Google Scholar] [CrossRef]
- Marrone, A.; La Russa, M.F.; Randazzo, L.; La Russa, D.; Cellini, E.; Pellegrino, D. Microplastics in the Center of Mediterranean: Comparison of the Two Calabrian Coasts and Distribution from Coastal Areas to the Open Sea. Int. J. Environ. Res. Public Health 2021, 18, 10712. [Google Scholar] [CrossRef]
- Li, Y.; Zhang, H.; Tang, C. A Review of Possible Pathways of Marine Microplastics Transport in the Ocean. Anthr. Coasts 2020, 3, 6–13. [Google Scholar] [CrossRef]
- Pivokonsky, M.; Cermakova, L.; Novotna, K.; Peer, P.; Cajthaml, T.; Janda, V. Occurrence of Microplastics in Raw and Treated Drinking Water. Sci. Total Environ. 2018, 643, 1644–1651. [Google Scholar] [CrossRef]
- Mason, S.A.; Welch, V.G.; Neratko, J. Synthetic Polymer Contamination in Bottled Water. Front. Chem. 2018, 6, 407. [Google Scholar] [CrossRef]
- Xu, B.; Liu, F.; Cryder, Z.; Huang, D.; Lu, Z.; He, Y.; Wang, H.; Lu, Z.; Brookes, P.C.; Tang, C.; et al. Microplastics in the Soil Environment: Occurrence, Risks, Interactions and Fate–A Review. Crit. Rev. Environ. Sci. Technol. 2020, 50, 2175–2222. [Google Scholar] [CrossRef]
- Sajjad, M.; Huang, Q.; Khan, S.; Khan, M.A.; Liu, Y.; Wang, J.; Lian, F.; Wang, Q.; Guo, G. Microplastics in the Soil Environment: A Critical Review. Environ. Technol. Innov. 2022, 27, 102408. [Google Scholar] [CrossRef]
- First Sentier MUFG Sustainable Investment Institute. Available online: https://www.firstsentier-mufg-sustainability.com/ (accessed on 21 November 2024).
- Turkish Statistical Institute (TSI). Water and Wastewater Statistics. 2022. Available online: https://data.tuik.gov.tr/ (accessed on 10 March 2024).
- Akdemir, T.; Gedik, K. Microplastic emission trends in Turkish primary and secondary municipal wastewater treatment plant effluents discharged into the Sea of Marmara and Black Sea. Environ. Res. 2023, 231, 116188. [Google Scholar] [CrossRef] [PubMed]
- Iyare, P.U.; Ouki, S.K.; Bond, T. Microplastics Removal in Wastewater Treatment Plants: A Critical Review. Environ. Sci. 2020, 6, 2664–2675. [Google Scholar] [CrossRef]
- Franco, A.A.; Arellano, J.M.; Albendín, G.; Rodríguez-Barroso, R.; Quiroga, J.M.; Coello, M.D. Microplastic Pollution in Wastewater Treatment Plants in the City of Cádiz: Abundance, Removal Efficiency and Presence in Receiving Water Body. Sci. Total Environ. 2021, 776, 145795. [Google Scholar] [CrossRef]
- Magni, S.; Binelli, A.; Pittura, L.; Avio, C.G.; Della Torre, C.; Parenti, C.C.; Gorbi, S.; Regoli, F. The Fate of Microplastics in an Italian Wastewater Treatment Plant. Sci. Total Environ. 2019, 652, 602–610. [Google Scholar] [CrossRef]
- Ren, P.J.; Dou, M.; Wang, C.; Li, G.Q.; Jia, R. Abundance and Removal Characteristics of Microplastics at a Wastewater Treatment Plant in Zhengzhou. Environ. Sci. Pollut. Res. 2020, 27, 36295–36305. [Google Scholar] [CrossRef]
- Üstün, G.E.; Bozdaş, K.; Can, T. Abundance and characteristics of microplastics in an urban wastewater treatment plant in Turkey. Environ. Pollut. 2022, 310, 119890. [Google Scholar] [CrossRef]
- Mintenig, S.M.; Int-Veen, I.; Löder, M.G.J.; Primpke, S.; Gerdts, G. Identification of Microplastic in Effluents of Waste Water Treatment Plants Using Focal Plane Array-Based Micro-Fourier-Transform Infrared Imaging. Water Res. 2017, 108, 365–372. [Google Scholar] [CrossRef]
- Long, Z.; Pan, Z.; Wang, W.; Ren, J.; Yu, X.; Lin, L.; Lin, H.; Chen, H.; Jin, X. Microplastic Abundance, Characteristics, and Removal in Wastewater Treatment Plants in a Coastal City of China. Water Res. 2019, 155, 255–265. [Google Scholar] [CrossRef]
- Harley-Nyang, D.; Memon, F.A.; Osorio Baquero, A.; Galloway, T. Variation in Microplastic Concentration, Characteristics and Distribution in Sewage Sludge & Biosolids around the World. Sci. Total Environ. 2023, 891, 164068. [Google Scholar] [CrossRef] [PubMed]
- Cui, L.; Liang, R.; Zhang, C.; Zhang, R.; Wang, H.; Wang, X.X. Coupling Polyethylene Microplastics with Other Pollutants: Exploring Their Combined Effects on Plant Health and Technologies for Mitigating Toxicity. Sci. Total Environ. 2024, 955, 176657. [Google Scholar] [CrossRef] [PubMed]
- Wang, Y.; Zhao, Y.; Liang, H.; Ma, C.; Cui, N.; Cao, H.; Wei, W.; Liu, Y. Single and Combined Effects of Polyethylene Microplastics and Acetochlor on Accumulation and Intestinal Toxicity of Zebrafish (Danio Rerio). Environ. Pollut. 2023, 333, 122089. [Google Scholar] [CrossRef] [PubMed]
- Li, M.; Liu, Y.; Xu, G.; Wang, Y.; Yu, Y. Impacts of Polyethylene Microplastics on Bioavailability and Toxicity of Metals in Soil. Sci. Total Environ. 2021, 760, 144037. [Google Scholar] [CrossRef]
- Vollertsen, J.; Hansen, A.A. Microplastic in Danish Wastewater: Sources, Occurrences and Fate; The Danish Environmental Protection Agency: Odense, Denmark, 2017; 55p.
- Xu, Y.; Ou, Q.; Wang, X.; Hou, F.; Li, P.; van der Hoek, J.P.; Liu, G. Assessing the mass concentration of microplastics and nanoplastics in wastewater treatment plants by pyrolysis gas chromatography-mass spectrometry. Environ. Sci. Technol. 2023, 57, 3114–3123. [Google Scholar] [CrossRef]
- Wang, Z.; Gao, J.; Li, D.; Dai, H.; Zhao, Y. Co-occurrence of microplastics and triclosan inhibited nitrification function and enriched antibiotic resistance genes in nitrifying sludge. J. Hazard. Mater. 2020, 399, 123049. [Google Scholar] [CrossRef]
- Cokgor, E.U.; Insel, G.; Katipoglu, T.; Orhon, D. Biodegradation Kinetics of Peptone and 2,6-Dihydroxybenzoic Acid by Acclimated Dual Microbial Culture. Bioresour. Technol. 2011, 102, 567–575. [Google Scholar] [CrossRef]
- Dogruel, S.; Chavoshi, N.; Bilgin-Saritas, N.; Khataee, A.; Topuz, E.; Pehlivanoglu, E. Degradation and ecotoxicity of favipiravir and oseltamivir in the presence of microplastics during ozonation and catalytic ozonation of synthetic municipal wastewater effluents. J. Chem. Technol. Biotechnol. 2025, in press. [CrossRef]
- ISO 8192:2007; Water Quality—Test for Inhibition of Oxygen Consumption by Activated Sludge for Carbonaceous and Ammonium Oxidation, 2nd ed. International Organization for Standardization (ISO): Geneva, Switzerland, 2007.
- American Public Health Association; American Water Works Association; Water Environment Federation. Standard Methods for the Examination of Water and Wastewater, 23rd ed.; Eaton, A.D., Rice, E.W., Baird, R.B., Eds.; American Public Health Association: Washington, DC, USA, 2017. [Google Scholar]
- Chen, Z.; Li, M.; Wen, Q. Comprehensive evaluation of three sets of advanced wastewater treatment trains for treating secondary effluent: Organic micro-pollutants and bio-toxicity. Chemosphere 2017, 189, 426–434. [Google Scholar] [CrossRef]
- Chys, M.; Demeestere, K.; Nopens, I.; Audenaert, W.T.M.; Van Hulle, S.W.H. Municipal wastewater effluent characterization and variability analysis in view of an ozone dose control strategy during tertiary treatment: The status in Belgium. Sci. Total Environ. 2018, 625, 1198–1207. [Google Scholar] [CrossRef]
- Achak, M.; Alaoui-Bakri, S.; Chhiti, Y.; M’hamdi-Alaoui, F.E.; Barka, N.; Boumya, W. SARS-CoV-2 in hospital wastewater during outbreak of COVID-19: A review on detection, survival and disinfection technologies. Sci. Total Environ. 2021, 761, 143192. [Google Scholar] [CrossRef] [PubMed]
- BS EN ISO 11348-3:2008; Water Quality—Determination of the Inhibitory Effect of Water Samples on the Light Emission of Vibrio Fischeri (Luminescent Bacteria Test) Part 3: Method Using Freeze-Dried Bacteria. BSI (British Standards Institution): London, UK, 2008.
- ISO 16387:2023; Soil Quality—Effects of Contaminants on Enchytraeidae (Enchytraeus sp.)—Determination of Effects on Reproduction. ISO: Geneva, Switzerland, 2004.
- OECD. OECD 220: Guidelines for Testing of Chemicals-Enchytraeid Reproduction Test; OECD (Organization for Economic Cooperation and Development): Paris, France, 2016.
- Castro-Ferreira, M.P.; Roelofs, D.; van Gestel, C.A.M.; Verweij, R.A.; Soares, A.M.V.M.; Amorim, M.J.B. Enchytraeus Crypticus as Model Species in Soil Ecotoxicology. Chemosphere 2012, 87, 1222–1227. [Google Scholar] [CrossRef]
- Topuz, E.; van Gestel, C.A.M. The Effect of Soil Properties on the Toxicity and Bioaccumulation of Ag Nanoparticles and Ag Ions in Enchytraeus Crypticus. Ecotoxicol. Environ. Saf. 2017, 144, 330–337. [Google Scholar] [CrossRef]
- Ribeiro, M.J.; Maria, V.L.; Soares, A.M.V.M.; Scott-Fordsmand, J.J.; Amorim, M.J.B. Fate and effect of Nano tungsten carbide cobalt (WCCo) in the soil environment: Observing a nanoparticle specific toxicity in Enchytraeus crypticus. Environ. Sci. Technol. 2018, 52, 11394–11401. [Google Scholar] [CrossRef] [PubMed]
- Amorim, M.J.B.; Fernández-Cruz, M.L.; Hund-Rinke, K.; Scott-Fordsmand, J.J. Environmental hazard testing of nanobiomaterials. Environ. Sci. Eur. 2020, 32, 101. [Google Scholar] [CrossRef]
- Ribeiro, M.J.; Scott-Fordsmand, J.J.; Amorim, M.J.B. Multigenerational exposure to cobalt (CoCl 2) and WCCo nanoparticles in Enchytraeus crypticus. Nanotoxicology 2019, 13, 751–760. [Google Scholar] [CrossRef]
- Gow, C.K.; Weinhouse, C.; Johnson, G.O.B.; Saunders, K.E. Stability of Free Available Chlorine Levels in Dilute Sodium Hypochlorite Solutions over a 6-Week Period. J. Am. Assoc. Lab. Anim. Sci. 2022, 61, 181–187. [Google Scholar] [CrossRef]
- Zazouli, M.A.; Hashempour, Y.; Dashtban, N. The Effect of Environmental Factors on the Stability of Commercial Chlorine-Based Sanitizers in Iran. Res. Sq. 2023. [Google Scholar] [CrossRef]
- Iqbal, Q.; Lubeck-Schricker, M.; Wells, E.; Wolfe, M.K.; Lantagne, D. Shelf-Life of Chlorine Solutions Recommended in Ebola Virus Disease Response. PLoS ONE 2016, 11, e0156136. [Google Scholar] [CrossRef]
- Frais, S.; Ng, Y.L.; Gulabivala, K. Some Factors Affecting the Concentration of Available Chlorine in Commercial Sources of Sodium Hypochlorite. Int. Endod. J. 2001, 34, 206–215. [Google Scholar] [CrossRef]
- Wu, X.; Fan, M.; Tan, Z.; Liu, R.; Liao, Z.; Zeng, E.Y.; Ou, H. Modifications to Sorption and Sinking Capability of Microplastics after Chlorination. Water Supply 2023, 23, 3046–3060. [Google Scholar] [CrossRef]
- Miao, M.; Yu, B.; Cheng, X.; Hao, T.; Dou, Y.; Zhang, M.; Li, Y. Effects of Chlorination on Microplastics Pollution: Physicochemical Transformation and Chromium Adsorption. Environ. Pollut. 2023, 323, 121254. [Google Scholar] [CrossRef] [PubMed]
- Sohn, S.; Kim, M.K.; Lee, Y.M.; Sohn, E.J.; Choi, G.Y.; Chae, S.H.; Zoh, K.D. Removal Characteristics of 53 Micropollutants during Ozonation, Chlorination, and UV/H2O2 Processes Used in Drinking Water Treatment Plant. Chemosphere 2024, 352, 141360. [Google Scholar] [CrossRef] [PubMed]
- Hu, P.; Dou, Y.; Ji, B.; Miao, M.; Li, Y.; Hao, T. Chlorination-Improved Adsorption Capacity of Microplastics for Antibiotics: A Combined Experimental and Molecular Mechanism Investigation. J. Hazard. Mater. 2024, 467, 133734. [Google Scholar] [CrossRef]
- Mo, Q.; Yang, X.; Wang, J.; Xu, H.; Li, W.; Fan, Q.; Gao, S.; Yang, W.; Gao, C.; Liao, D.; et al. Adsorption Mechanism of Two Pesticides on Polyethylene and Polypropylene Microplastics: DFT Calculations and Particle Size Effects. Environ. Pollut. 2021, 291, 118120. [Google Scholar] [CrossRef]
- Li, H.; Wang, F.; Li, J.; Deng, S.; Zhang, S. Adsorption of Three Pesticides on Polyethylene Microplastics in Aqueous Solutions: Kinetics, Isotherms, Thermodynamics, and Molecular Dynamics Simulation. Chemosphere 2021, 264, 128556. [Google Scholar] [CrossRef]
- Zhong, Y.; Wang, K.; Guo, C.; Kou, Y.; Hassan, A.; Lu, Y.; Wang, J.; Wang, W. Competition Adsorption of Malachite Green and Rhodamine B on Polyethylene and Polyvinyl Chloride Microplastics in Aqueous Environment. Water Sci. Technol. 2022, 86, 894–908. [Google Scholar] [CrossRef]
- Bao, Z.Z.; Chen, Z.F.; Lu, S.Q.; Wang, G.; Qi, Z.; Cai, Z. Effects of Hydroxyl Group Content on Adsorption and Desorption of Anthracene and Anthrol by Polyvinyl Chloride Microplastics. Sci. Total Environ. 2021, 790, 148077. [Google Scholar] [CrossRef]
- Wu, P.; Cai, Z.; Jin, H.; Tang, Y. Adsorption Mechanisms of Five Bisphenol Analogues on PVC Microplastics. Sci. Total Environ. 2019, 650, 671–678. [Google Scholar] [CrossRef]
- McDougall, L.; Thomson, L.; Brand, S.; Wagstaff, A.; Lawton, L.A.; Petrie, B. Adsorption of a Diverse Range of Pharmaceuticals to Polyethylene Microplastics in Wastewater and Their Desorption in Environmental Matrices. Sci. Total Environ. 2022, 808, 152071. [Google Scholar] [CrossRef]
- Xu, B.; Liu, F.; Brookes, P.C.; Xu, J. The Sorption Kinetics and Isotherms of Sulfamethoxazole with Polyethylene Microplastics. Mar. Pollut. Bull. 2018, 131, 191–196. [Google Scholar] [CrossRef] [PubMed]
- Abdallah, I.A.; El-Behairy, M.F.; Ahmed, R.M.; Fayed, M.A.A. The Anti-COVID-19 Drug Favipiravir: Degradation, Method Development, Validation, NMR/LC–MS Characterization, and In-Vitro Safety Evaluation. Chem. Pap. 2022, 76, 6415–6426. [Google Scholar] [CrossRef]
- Zheng, M.; van Beek, S.J.; Sánchez-Montes, I.; Xu, B.; Gamal El-Din, M. Ozonation of the Antiviral Oseltamivir in Wastewater Effluent: Matrix Effect, Oxidation Pathway, and Toxicity Assessment. J. Environ. Chem. Eng. 2024, 12, 114297. [Google Scholar] [CrossRef]
- Dong, Y.; Fang, Z.; Xu, Y.; Wang, Q.; Zou, X. The Toxic Effects of Three Active Pharmaceutical Ingredients (APIs) with Different Efficacy to Vibrio Fischeri. Emerg. Contam. 2019, 5, 297–302. [Google Scholar] [CrossRef]
- Baek, I.H.; Kim, Y.; Baik, S.; Kim, J. Investigation of the Synergistic Toxicity of Binary Mixtures of Pesticides and Pharmaceuticals on Aliivibrio Fischeri in Major River Basins in South Korea. Int. J. Environ. Res. Public Health 2019, 16, 208. [Google Scholar] [CrossRef]
- Dökmeci, A.H.; Dökmeci, I.; Ibar, H. The Determination of Single and Mixture Toxicity at High Concentrations of Some Acidic Pharmaceuticals via Aliivibrio Fischeri. Environ. Process. 2014, 1, 95–103. [Google Scholar] [CrossRef]
- Ioele, G.; De Luca, M.; Grande, F.; Ragno, G. Acute and Synergistic Toxicity of Drugs in Water by Luminescent Bacteria Assay. Anal. Bioanal. Chem. Res. 2020, 7, 223–235. [Google Scholar]
- Gagné, F. Toxicity and Disruption of Quorum Sensing in Aliivibrio Fisheri by Environmental Chemicals: Impacts of Selected Contaminants and Microplastics. J. Xenobiotics 2017, 7, 7101. [Google Scholar] [CrossRef]
- Martín, C.; Fajardo, C.; Costa, G.; Sánchez-Fortún, S.; San Andrés, M.D.; González, F.; Nande, M.; Mengs, G.; Martín, M. Bioassays to Assess the Ecotoxicological Impact of Polyethylene Microplastics and Two Organic Pollutants, Simazine and Ibuprofen. Chemosphere 2021, 274, 129704. [Google Scholar] [CrossRef]
- Kelkar, V.P.; Rolsky, C.B.; Pant, A.; Green, M.D.; Tongay, S.; Halden, R.U. Chemical and Physical Changes of Microplastics during Sterilization by Chlorination. Water Res. 2019, 163, 114871. [Google Scholar] [CrossRef]
- Lin, T.; Su, J. The Fate of Microplastics and Organic Matter Leaching Behavior during Chlorination. Chemosphere 2022, 302, 134892. [Google Scholar] [CrossRef] [PubMed]
- Bayo, J.; Angosto, J.M.; Gómez-López, M.D. Ecotoxicological Screening of Reclaimed Disinfected Wastewater by Vibrio Fischeri Bioassay after a Chlorination-Dechlorination Process. J. Hazard. Mater. 2009, 172, 166–171. [Google Scholar] [CrossRef]
- Huang, Y.; Yu, M.; Wang, Z.; Sui, M. Polyethylene Microplastics Decreased the Chlorine Disinfection Efficacy of Antibiotic Resistant Bacteria and Antibiotic Resistance Genes. J. Water Process Eng. 2024, 61, 105233. [Google Scholar] [CrossRef]
- Wang, X.; Ding, N.; Liu, H. Effect of Microplastics on Sodium Hypochlorite Disinfection and Changes in Its Toxicity on Zebrafish. Chemosphere 2024, 363, 142594. [Google Scholar] [CrossRef] [PubMed]
- Šmídová, K.; Selonen, S.; van Gestel, C.A.M.; Fleissig, P.; Hofman, J. Microplastics Originated from Agricultural Mulching Films Affect Enchytraeid Multigeneration Reproduction and Soil Properties. J. Hazard. Mater. 2024, 479, 135592. [Google Scholar] [CrossRef]
- Santos, L.H.M.L.M.; Rodríguez-Mozaz, S.; Barceló, D. Microplastics as Vectors of Pharmaceuticals in Aquatic Organisms—An Overview of Their Environmental Implications. Case Stud. Chem. Environ. Eng. 2021, 3, 100079. [Google Scholar] [CrossRef]
- Rafa, N.; Ahmed, B.; Zohora, F.; Bakya, J.; Ahmed, S.; Ahmed, S.F.; Mofijur, M.; Chowdhury, A.A.; Almomani, F. Microplastics as Carriers of Toxic Pollutants: Source, Transport, and Toxicological Effects. Environ. Pollut. 2024, 343, 123190. [Google Scholar] [CrossRef]
- Lahive, E.; Walton, A.; Horton, A.A.; Spurgeon, D.J.; Svendsen, C. Microplastic Particles Reduce Reproduction in the Terrestrial Worm Enchytraeus Crypticus in a Soil Exposure. Environ. Pollut. 2019, 255, 113174. [Google Scholar] [CrossRef]
- de Jesus Moreira, B.; Pires, M.S.G. Assessing Soil Toxicity of the Pharmaceutical Nimesulide Using Edaphic Fauna Enchytraeus Crypticus. Appl. Soil Ecol. 2024, 199, 105397. [Google Scholar] [CrossRef]
- Buch, A.C.; Schmelz, R.M.; Niva, C.C.; Correia, M.E.F.; Silva-Filho, E.V. Mercury Critical Concentrations to Enchytraeus Crypticus (Annelida: Oligochaeta) under Normal and Extreme Conditions of Moisture in Tropical Soils–Reproduction and Survival. Environ. Res. 2017, 155, 365–372. [Google Scholar] [CrossRef]
Disclaimer/Publisher’s Note: The statements, opinions and data contained in all publications are solely those of the individual author(s) and contributor(s) and not of MDPI and/or the editor(s). MDPI and/or the editor(s) disclaim responsibility for any injury to people or property resulting from any ideas, methods, instructions or products referred to in the content. |
© 2025 by the authors. Licensee MDPI, Basel, Switzerland. This article is an open access article distributed under the terms and conditions of the Creative Commons Attribution (CC BY) license (https://creativecommons.org/licenses/by/4.0/).






