Nano-Grafted Polymer Suspension Stabilizers for Oil Well Cement: Polymerization Innovation Dominated by Acrylamide and Breakthroughs in High-Temperature Applications
Abstract
1. Introduction
2. Experimental
2.1. Main Reagents
2.2. Synthesis of Suspension Stabilizers
2.3. Microscopic Characterization and Evaluation of the Polymer Suspension Stabilizer
2.4. Cement Application Performance Test
3. Results and Discussion
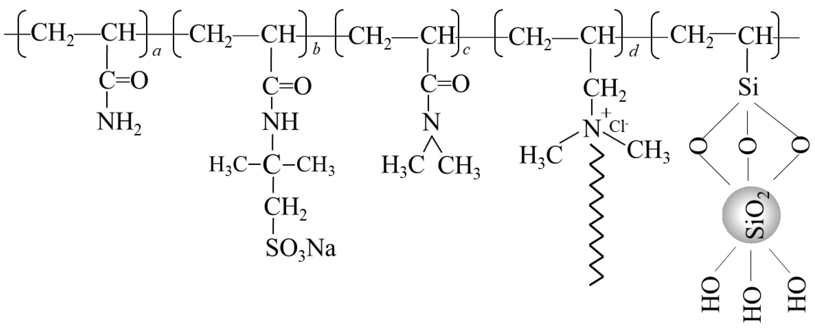
3.1. Molecular Structural Design
3.2. Effect of AM Addition on Suspension Stabilizers
3.3. Effect of Polymerization Mode on Suspension Stabilizers
3.4. Microscopic Characterization and Mechanistic Studies
3.4.1. Infrared Spectral Analysis
3.4.2. Thermogravimetric Analysis
3.4.3. Rheological Properties of Polymer Solutions at High Temperatures
3.4.4. Microstructure of Aqueous Polymer Solution
3.4.5. Settlement Stability
3.4.6. Composite Properties of Cement Slurry
4. Discussion
5. Conclusions
Author Contributions
Funding
Data Availability Statement
Conflicts of Interest
References
- Cheng, P.; Yu, S.; Ren, Y.; Tian, H. Identification of complex crude oil categories in ultra-deep petroleum systems based on a new fluorescence analysis method: An example from the southwestern Tabei Uplift, Tarim Basin, China. Mar. Petrol. Geol. 2024, 165, 106888. [Google Scholar] [CrossRef]
- Teske, S.; Sawyer, S.; Schäfer, O.; Pregger, T. Energy revolution-a sustainable world energy outlook 2015. Energ. Effic. 2015, 4, 409–433. [Google Scholar] [CrossRef]
- Zhang, G.; Qu, H.; Zhang, F.; Chen, S. Major new discoveries of oil and gas in global deepwaters and en-lightenmen. Acta. Petrolei. Sinica. 2019, 40, 1–34. [Google Scholar]
- Taoutaou, S.; Bonnecaze, A.; Dondale, A.; Jain, B.; Abdullah, N. Ensuring well integrity in HP/HT wells: Brunei case study. In Proceedings of the Abu Dhabi International Petroleum Exhibition and Conference, Abu Dhabi, UAE, 1–4 November 2010; Society of Petroleum Engineers: Richardson, TX, USA, 2010. SPE-136884-MS. [Google Scholar]
- Abdelaal, A.; Elkatatny, S.; Abdel Fattah, A.M. Perlite incorporation for sedimentation reduction and improved properties of high-density geopolymer cement for oil well cementing. Sci. Rep. 2024, 14, 9707. [Google Scholar] [CrossRef]
- Zhang, C. Changes in the global energy strategic landscape: Implications for China’s international strategic environment. East. Asian. Policy. 2015, 7, 73–85. [Google Scholar] [CrossRef]
- Zhang, G.; Ma, F.; Liang, Y.; Zhao, Z. Domain andtheory-technology progress of global deep oil &. gas exploration. Acta. Petrolei. Sinica. 2015, 36, 1156–1166. [Google Scholar]
- Mozaffari, S.; Rahmani, O.; Piroozian, A.; Ziabakhsh-Ganji, Z.; Mostafavi, H. Oil-well lightweight cement slurry for improving compressive strength and hydration rate in low-temperature conditions. Constr. Build. Mater. 2022, 357, 129301. [Google Scholar] [CrossRef]
- Li, L. Development of natural gas industry in China: Review and prospect. Nat. Gas. Ind. 2021, 41, 1–11. [Google Scholar] [CrossRef]
- Li, Y.; Xue, Z.; Cheng, Z.; Jiang, H.; Wang, R. Progress and development directions of deep oil and gas exploration and development in China. China. Pet. Explor. 2020, 25, 45–57. [Google Scholar]
- Zhang, X.; Liu, J.; Sun, J.; Lv, K.; Wang, Z.; Xu, Z.; Sun, Y. Novel Modified Styrene-Based Microspheres for Enhancing the Performance of Drilling Fluids at High Temperatures. Gels 2023, 9, 763. [Google Scholar] [CrossRef]
- Bhattacharyya, S.C. China and the global energy crisis: Development and prospects for China’s oil and natural gas. Int. J. Eenergy. Sect. Ma. 2013, 29, 185–186. [Google Scholar] [CrossRef]
- Ren, X. Discussion on current situation and development trend of ultra-deep drilling technology. China. Pet. Chem. Stand. Qual. 2019, 39, 148–150. [Google Scholar]
- Wang, Z. Research on cementing technology progress of CNPC. West-China. Explor. Eng. 2021, 33, 34–35, 38. [Google Scholar]
- Salehi, R.; Paiaman, A.M. A novel cement slurry design applicable to horizontal well conditions. Pet. Coal. 2019, 51, 270–276. [Google Scholar]
- Güllü, H. Comparison of rheological models for jet grout cement mixtures with various stabilizers. Constr. Build. Mater. 2016, 127, 220–236. [Google Scholar] [CrossRef]
- Heinold, T.; Dillenbeck, R.; Rogers, M. The effect of key cement additives on the mechanical properties of normal density oil and gas well cement systems. In Proceedings of the SPE Asia Pacific Oil and Gas Conference and Exhibition, Melbourne, Australia, 8–10 October 2002; Society of Petroleum Engineers: Richardson, TX, USA, 2002. SPE-77867-MS. [Google Scholar]
- Johnston, N.C.; Senese, M. New approach to high density cement slurries for cementing high pressure, high temperature wells. In Proceedings of the European Petroleum Conference, Cannes, France, 16–18 November 1992; Society of Petroleum Engineers: Richardson, TX, USA, 1992. SPE24976-MS. [Google Scholar]
- Yu, Y.; Liu, S.; Yuan, J.; Jin, J.; Qi, F.; Li, M. Evaluation method for settling stability of slurry under high temperature condition. Drilling. Fluid. Completion. Fluid. 2011, 28, 52–54. [Google Scholar]
- Jain, B.; Raiturkar, H.; Holmes, C.; Dahlin, A. Using particle-size distribution technology for designing high-density, high-performance cement slurries in demanding frontier exploration wells in South Oman. In Proceedings of the IADC/SPE Drilling Conference, New Orleans, Louisiana, 23–25 February 2000; Society of Petroleum Engineers: Richardson, TX, USA, 1992. SPE59134-MS. [Google Scholar]
- Tan, B.; Lang, M.; Harshad, D. High-strength, low-density cement pumped on-the-fly using volumetric mixing achieves cement to surface in heavy loss coal seam gas field. In Proceedings of the SPE Asia Pacific Oil and Gas Conference and Exhibition, Perth, Australia, 22–24 October 2012; Society of Petroleum Engineers: Richardson, TX, USA, 2012. SPE158092. [Google Scholar]
- Casabonne, J.M.; Jouve, M.; Nelson, E. High Temperature Retarders for Oil Field Cements, Cement Slurries and Corresponding Cementing Processes. U.S. Patent US5503671, 2 April 1996. [Google Scholar]
- Xue, Y.; Wang, C.; Liu, J.; Sun, J.; Chen, Z.; Xia, Y.; Chen, L.; Wang, E.; Li, Y. A cement hydration kinetics model and its application in designing cement formulation for natural gas hydrate well. Cem. Concr. Res. 2024, 179, 107483. [Google Scholar] [CrossRef]
- Eoff, L.S.; Buster, D. High temperature synthetic cement retarder. SPE International Symposium on Oilfield Chemistry. In Proceedings of the SPE International Symposium on Oilfield Chemistry, San Antonio, TX, USA, 14–17 February 1995; Society of Petroleum Engineers: Richardson, TX, USA, 1995. SPE-28957-MS. [Google Scholar]
- Poinot, T.; Govin, A.; Grosseau, P. Influence of hydroxypropylguars on rheological behavior of cement-based mortars. Cem. Concr. Res. 2014, 58, 161–168. [Google Scholar] [CrossRef]
- Yong, Y. Development and field application of a new high-temperature cement suspension agent. Petrol. Drill. Tec. 1900, 44, 44–49. [Google Scholar]
- Chen, X.; Wang, C.; Wang, H.; Wang, R. Prevention Strategy of Cement Slurry Sedimentation under High Temperature. Part 1: A Polymer with Continuous Thermo-Thickening Behavior from 48 to 148 °C. J. Phys. Chem. 2019, 123, 18573–18584. [Google Scholar] [CrossRef]
- Li, H.; Zhu, H.; Xing, X.; Li, L. Review on suspending agents for cement slurry. Oilfield Chem. 2014, 31, 307–310. [Google Scholar]
- Üzer, E.; Plank, J. Impact of welan gum stabilizer on the dispersing performance of polycarboxylate superplasticizers. Cem. Concr. Res. 2016, 82, 100–106. [Google Scholar] [CrossRef]
- Haidher, S.; Kale, S.; Affes, S.; Nair, S.K. HPHT cement system design—East coast case history. In Proceedings of the SPE/IADC Indian Drilling Technology Conference and Exhibition, Mumbai, India, 16–18 October 2006; Society of Petroleum Engineers: Richardson, TX, USA, 1995. SPE104048-MS. [Google Scholar]
- Hou, Y.; Guo, Y.; Qian, S.; Khan, H.; Han, G.; Zhang, W. A new thermoresponsive polymer of poly(N-acetoxylethyl acrylamide). Polymer 2019, 167, 159–166. [Google Scholar] [CrossRef]
- Funkhouser, G.; Leotaud, L.; Bratcher, J. Delayed-release suspending aid provides cement-slurry stability in high-temperature, horizontal wells. In Proceedings of the SPE International Symposium on Oilfield Chemistry, The Woodlands, TX, USA, 13–15 April 2015; Society of Petroleum Engineers: Richardson, TX, USA, 2015. SPE173725. [Google Scholar]
- API RP 10B-2; Recommended Practice for Testing Well Cements. API: Washington, DC, USA, 2013.
- SY/T 6544-2017; Performance Requirements for Oil Wellcement Slurries. China Oilfield Services Co., Ltd.: Tianjin, China, 2017.
- Bensmida, S.; Ghannouchi, F.M.; Bergeault, E. An original setup for power amplifier AM-AM and AM-PM characterization. In Proceedings of the 2008 IEEE Instrumentation and Measurement Technology Conference, Victoria, BC, Canada, 12–15 May 2008; IEEE: New York, NY, USA, 2008; pp. 54–57. [Google Scholar]
- Danieli, R.; Piazzon, L.; Giofrè, R.; Colantonio, P.; Giannini, F. Low cost AM/AM and AM/PM characterization setup based on scalar measurements. In Proceedings of the 2013 European Microwave Integrated Circuit Conference, Nuremburg, Germany, 6–8 October 2013; IEEE: New York, NY, USA, 2013; pp. 396–399. [Google Scholar]
- Tang, S.; Zhu, C.; Wang, W. Feng. Z. Effects of AMPS-NNDMA and polycarboxylate superplasticizer on the adsorption and hydration properties of tricalcium silicate. J. Disper. Sci. Technol. 2019, 40, 1575–1580. [Google Scholar] [CrossRef]
- Lummer, N.R.; Plank, J. Combination of lignosulfonate and AMPS®-co-NNDMA water retention agent—An example for dual synergistic interaction between admixtures in cement. Cem. Concr. Res. 2012, 42, 728–735. [Google Scholar] [CrossRef]
- Mihai, M.; Simionescu, B.C. Calcium carbonate and poly (2-acrylamido-2-methylpropanesulfonic acid-co-acrylic acid). Rev. Roum. Chim. 2019, 64, 19–34. [Google Scholar] [CrossRef]
- Yang, L.; Wang, X.; Qiu, Q.; Gao, J.; Tang, C. The effect of surface hydroxylation of Nano-SiO2 on the insulating paper cellulose/Nano-SiO2 interface. Mater. Chem. Phys. 2021, 260, 124124. [Google Scholar] [CrossRef]
- Rong, Y.; Lai., X.; Li, Q.; Ding, X.; Wang, X.; Wen, X.; Guo, Y. Effect of hydrophobic monomers with different carbon chains on the structure–activity relationship of associating polyacrylamides. J. Polym. Res. 2024, 31, 242. [Google Scholar]













| AM Addition | Number Average Molecular Weight (Mn) | Weight Average Molecular Weight (Mw) | Dispersion Index (D) |
|---|---|---|---|
| 4% | 4,831,958 | 6,489,186 | 1.3429 |
| 0% | 1,012,154 | 1,896,278 | 1.8735 |
Disclaimer/Publisher’s Note: The statements, opinions and data contained in all publications are solely those of the individual author(s) and contributor(s) and not of MDPI and/or the editor(s). MDPI and/or the editor(s) disclaim responsibility for any injury to people or property resulting from any ideas, methods, instructions or products referred to in the content. |
© 2025 by the authors. Licensee MDPI, Basel, Switzerland. This article is an open access article distributed under the terms and conditions of the Creative Commons Attribution (CC BY) license (https://creativecommons.org/licenses/by/4.0/).
Share and Cite
Song, L.; Wang, C.; Liu, J.; Li, Y. Nano-Grafted Polymer Suspension Stabilizers for Oil Well Cement: Polymerization Innovation Dominated by Acrylamide and Breakthroughs in High-Temperature Applications. Processes 2025, 13, 376. https://doi.org/10.3390/pr13020376
Song L, Wang C, Liu J, Li Y. Nano-Grafted Polymer Suspension Stabilizers for Oil Well Cement: Polymerization Innovation Dominated by Acrylamide and Breakthroughs in High-Temperature Applications. Processes. 2025; 13(2):376. https://doi.org/10.3390/pr13020376
Chicago/Turabian StyleSong, Lifang, Chengwen Wang, Jingping Liu, and Yang Li. 2025. "Nano-Grafted Polymer Suspension Stabilizers for Oil Well Cement: Polymerization Innovation Dominated by Acrylamide and Breakthroughs in High-Temperature Applications" Processes 13, no. 2: 376. https://doi.org/10.3390/pr13020376
APA StyleSong, L., Wang, C., Liu, J., & Li, Y. (2025). Nano-Grafted Polymer Suspension Stabilizers for Oil Well Cement: Polymerization Innovation Dominated by Acrylamide and Breakthroughs in High-Temperature Applications. Processes, 13(2), 376. https://doi.org/10.3390/pr13020376
