Diffusion Dominated Drug Release from Cylindrical Matrices
Abstract
1. Introduction
2. Fractional Release Profiles and Release Rates
2.1. Theoretical Background: Exact Results from the Solution of Diffusion Equation in Dimensionless Form
- Flat disks, where the height of the cylinder is significantly smaller than its radius ( or ). In this situation, the release from cylinder’s lateral surface can be ignored, as it is substantially smaller compared to the release from the two circular bases, which exhibit a much larger area for the escape of drug molecules. Then, Equation (1) reduces to the corresponding result describing release from a thin slab of thickness H [33]:
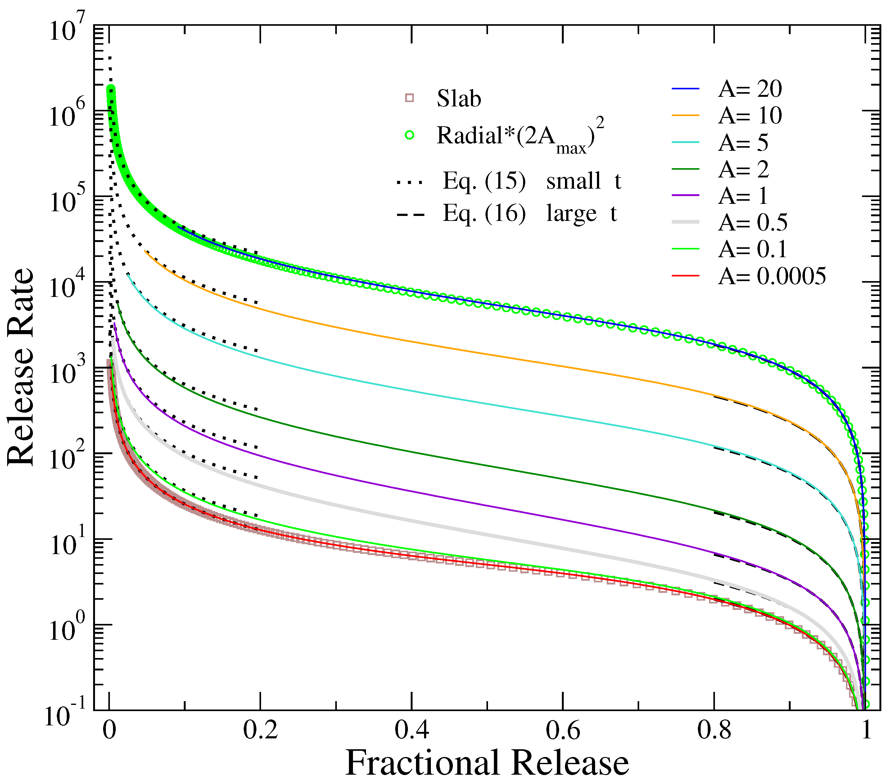
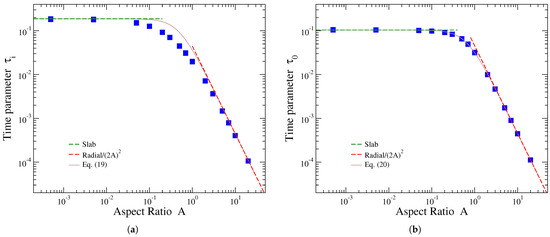
- Long cylindrical rods, where the cylinder’s height is much larger than its radius ( or ). In this case, the release from the two circular bases can be ignored since the drug molecules exit mainly through the much larger boundary area of the lateral surface of the cylinder. Then, Equation (1) ends up being the result of a two-dimensional radial release from a disc of radius R [33]:Here, the natural dimensionless time isand the resulting fractional release of Equation (7), which does not depend on any parameter, isHowever, in order to compare this limiting case with the general description of cylindrical release discussed in this work, we consider the dimensionless time of Equation (3), and then Equation (7) yields the A-dependent formulaThe last two equations are connected through the transformation of their independent variables
2.2. Dependence of Fractional Release Profiles on the Aspect Ratio
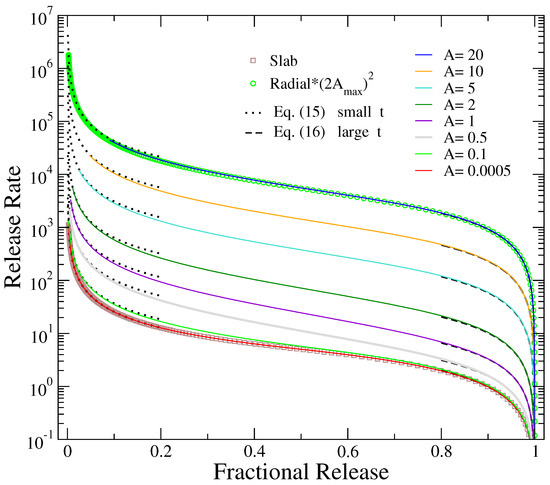
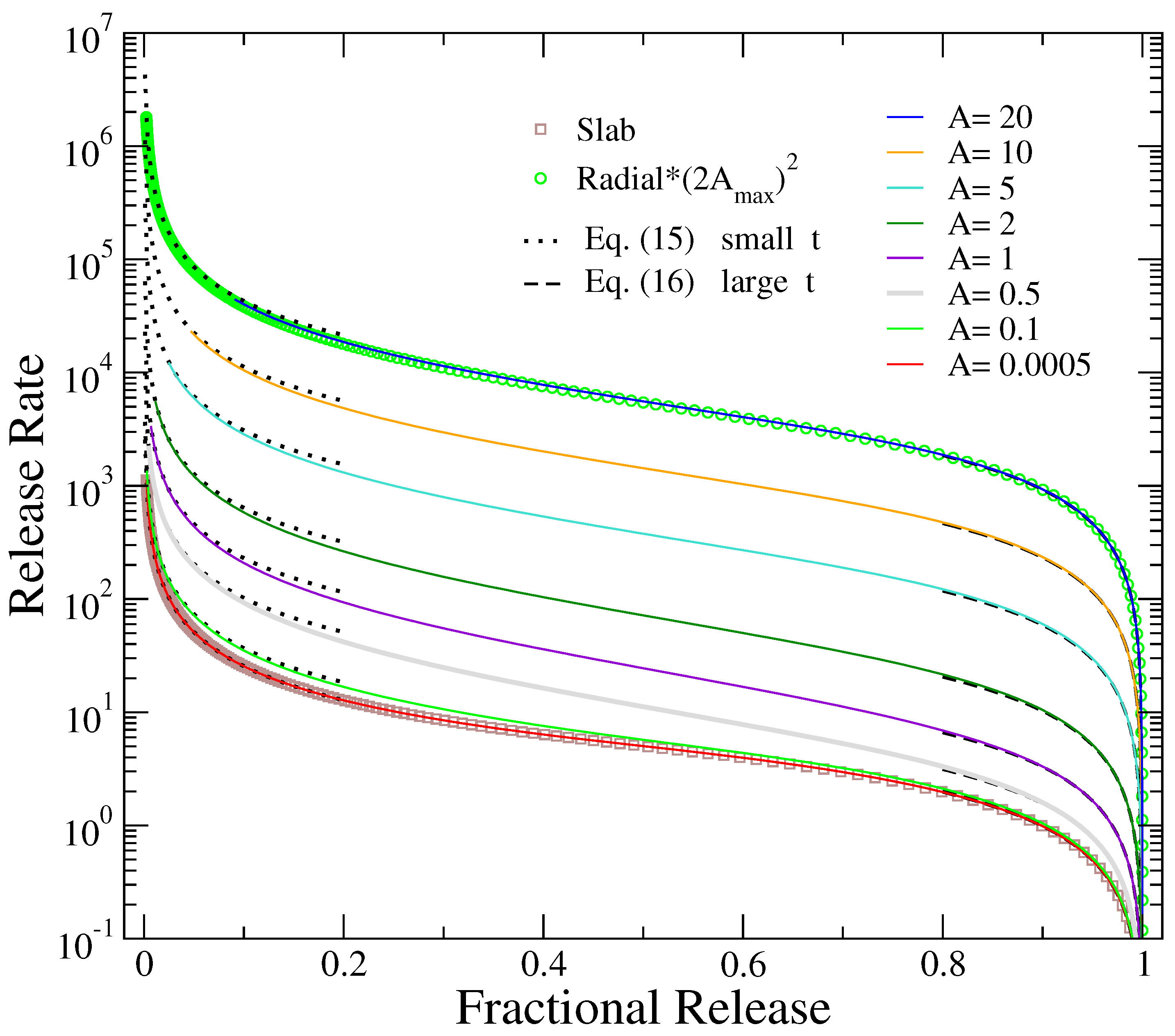
2.3. Release Rates for Different Aspect Ratios
3. Fitting with Simpler Empirical Functions
3.1. Fitting Parameters of the Interpolating Function
3.2. Fitting Parameters of the Stretched Exponential Function
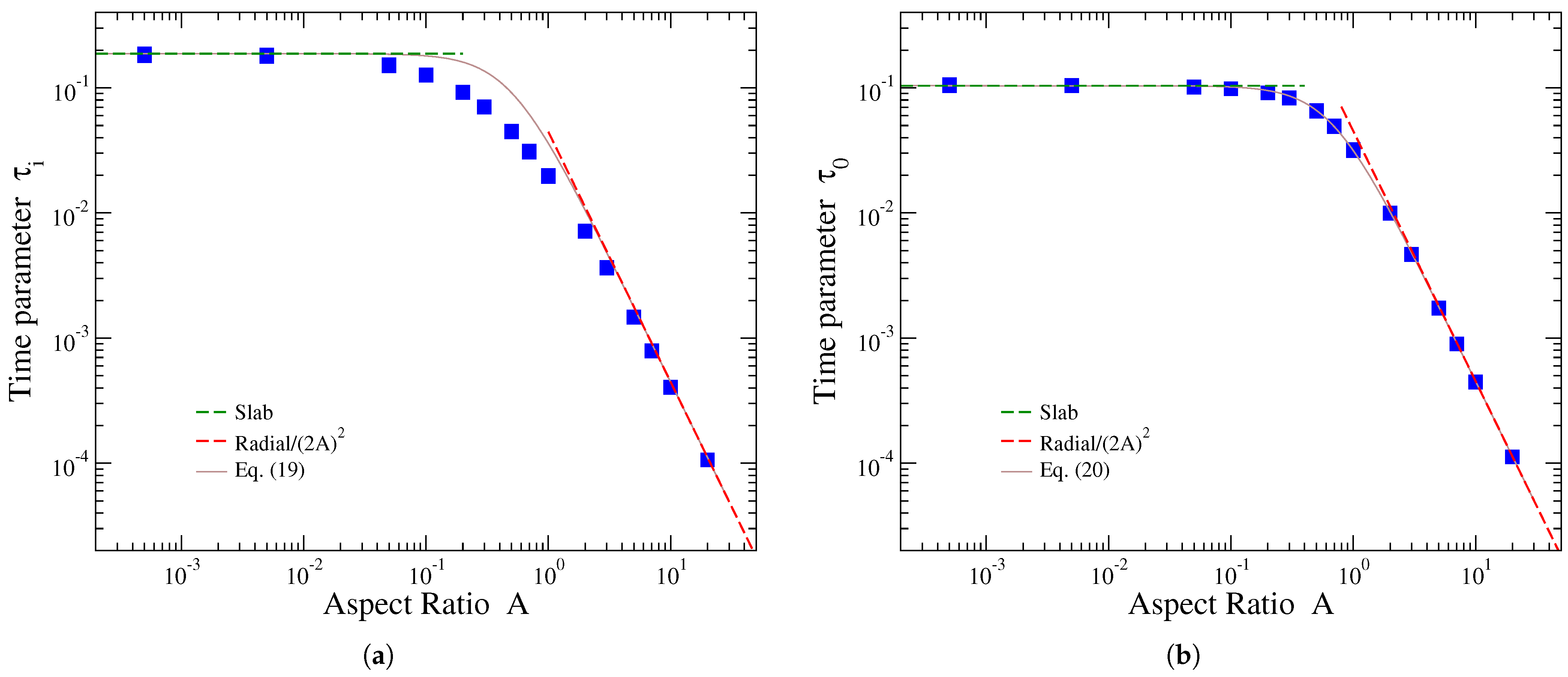
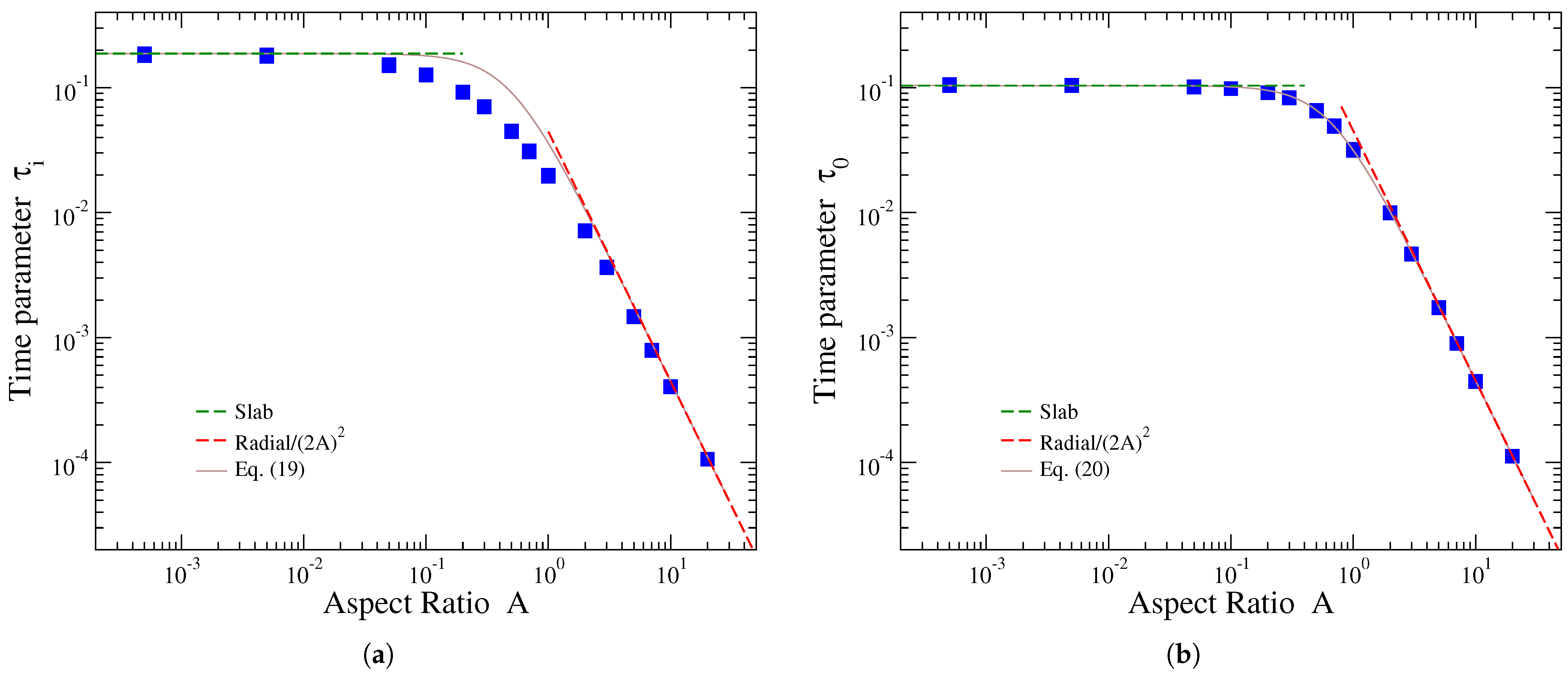
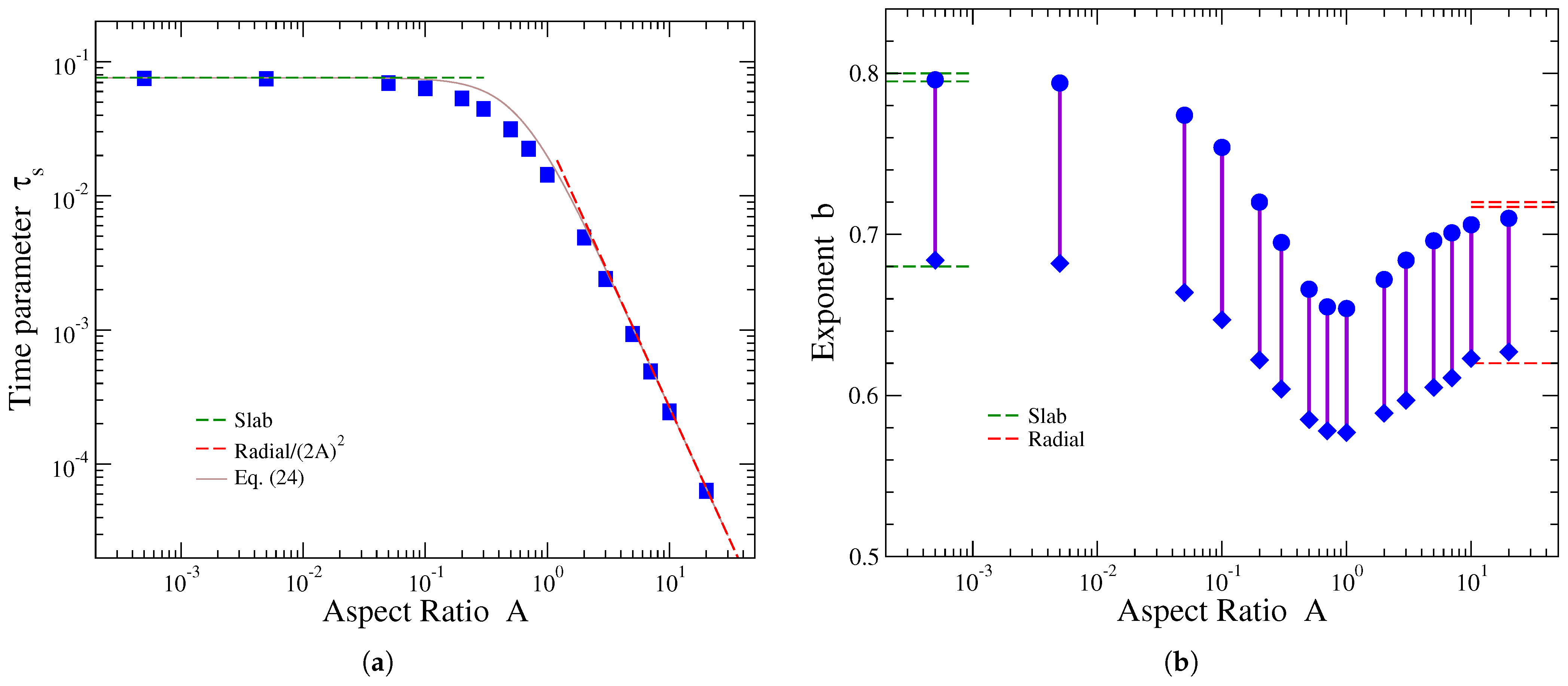
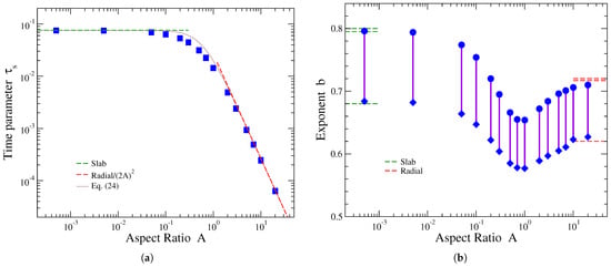
4. Characteristic Release Time
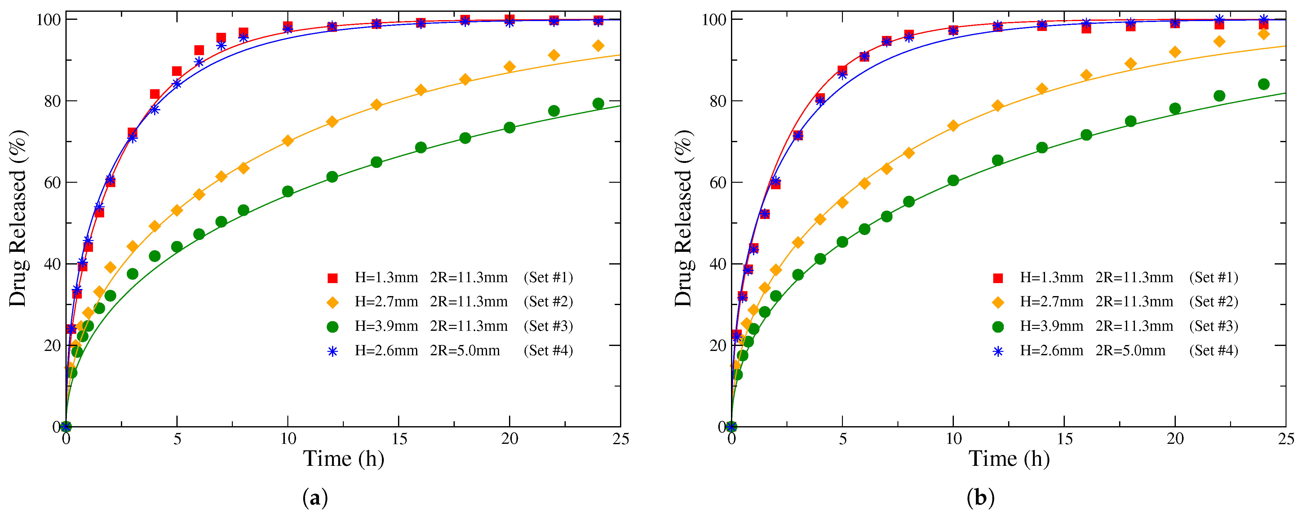
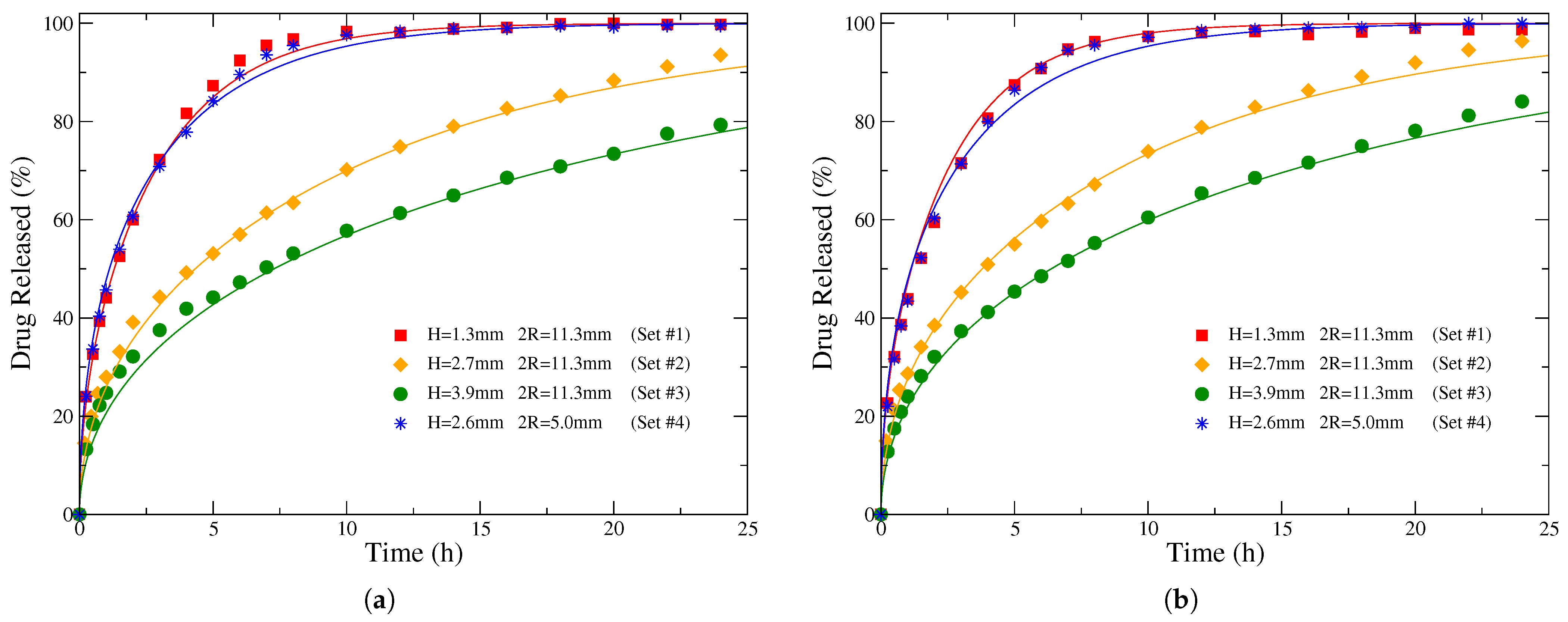
4.1. Estimating Drug Diffusion Coefficients from Experimental Release Profiles of Cylindrically Shaped Formulations
- 1.
- Calculation ofThe dimensionless characteristic release time can be directly computed using Equation (28) for the given value of aspect ratio A. If such a calculation is not convenient, the can be alternatively obtained through the plot of Figure 2 of Ref. [47]. For , the dimensionless release time can be approximated by its corresponding value for thin slabs, , while for , it can be approximated by the two-dimensional radial release expression . A simple relation interpolating between these two limits can provide an approximation of the dependence of on the aspect ratio:If the aspect ratio lies in the region , then this formula would give a rough estimate of , overestimating its actual value. For a comparison of this simple approximating expression with the exact result of Equation (28), as well as the dependence of their difference on A, see Figure 2 of Ref. [47].
- 2.
- Estimate ofIf there exist sufficient experimental release data such that the area under the plot of the quantity (where, in this case, should have not been expressed as a percentage release, but varying in the interval ) can be accurately estimated, in which the release time is directly obtained by this integration, see Equation (27). In order to be reliable this calculation the release process should have been completed, i.e., the release curve has to be measured up to saturation, reaching its maximum value .In case there are no sufficient release data for obtaining the release time from the area under the plot of the complementary fractional release , then can be alternatively estimated from the data presented in Figure 6 as follows: Using the known value of the aspect ratio A, the amount of fractional release at , , can be obtained from this figure. Then, from the experimentally measured profile, the time at which this particular fraction of drug has been released can be estimated by linear interpolation of the nearby experimental data points immediately above and below of the desired amount of fractional release. For this purpose, it is necessary experimental data to be available for at least up to around 70% of released drug.
4.2. Demonstration of Diffusion Coefficient Evaluations from Experimental Release Data
5. Conclusions
Author Contributions
Funding
Data Availability Statement
Conflicts of Interest
References
- Arifin, D.Y.; Lee, L.Y.; Wang, C.-H. Mathematical modeling and simulation of drug release from microspheres: Implications to drug delivery systems. Adv. Drug Deliv. Rev. 2006, 58, 1274–1325. [Google Scholar] [CrossRef]
- Lin, C.-C.; Metters, A.T. Hydrogels in controlled release formulations: Network design and mathematical modeling. Adv. Drug Deliv. Rev. 2006, 58, 1379–1408. [Google Scholar] [CrossRef] [PubMed]
- Siepmann, J.; Siepmann, F. Mathematical modeling of drug delivery. Int. J. Pharm. 2008, 364, 328–343. [Google Scholar] [CrossRef]
- Peppas, N.A.; Narasimhan, B. Mathematical models in drug delivery: How modeling has shaped the way we design new drug delivery systems. J. Control. Release 2014, 190, 75–81. [Google Scholar] [CrossRef] [PubMed]
- Ruiz, E.A.C.; Swindle-Reilly, K.E.; Versypt, A.N.F. Experimental and mathematical approaches for drug delivery for the treatment of wet age-related macular degeneration. J. Control. Release 2023, 363, 464–483. [Google Scholar] [CrossRef] [PubMed]
- Salahshoori, I.; Golriz, M.; Nobre, M.A.L.; Mahdavi, S.; Malekshah, R.E.; Javdani-Mallak, A.; Jorabchi, M.N.; Khonakdar, H.A.; Wang, Q.; Mohammadi, A.H.; et al. Simulation-based approaches for drug delivery systems: Navigating advancements, opportunities, and challenges. J. Mol. Liq. 2024, 395, 123888. [Google Scholar] [CrossRef]
- Davoodi, P.; Lee, L.Y.; Xu, Q.; Sunil, V.; Sun, Y.; Soh, S.; Wang, C.-H. Drug delivery systems for programmed and on-demand release. Adv. Drug Deliv. Rev. 2018, 132, 104–138. [Google Scholar] [CrossRef]
- Lu, X.; Luo, Y.; Hu, X.; Chu, J.; Li, S.; Hao, M.; Zhuang, J.; Liu, Y.; Gao, J.; Yin, Y. Emerging hydrogel therapies for translating brain disease: Materials, mechanisms, and recent research. Mater. Today Adv. 2024, 22, 100490. [Google Scholar] [CrossRef]
- Carr, E.J. Total fraction of drug released from diffusion-controlled delivery systems with binding reactions. Int. J. Heat Mass Transf. 2024, 222, 125065. [Google Scholar] [CrossRef]
- Jain, A.; McGinty, S.; Pontrelli, G.; Zhou, L. Theoretical model for diffusion-reaction based drug delivery from a multilayer spherical capsule. Int. J. Heat Mass Transf. 2022, 183, 122072. [Google Scholar] [CrossRef]
- Carr, E.J.; Pontrelli, G. Modelling functionalized drug release for a spherical capsule. Int. J. Heat Mass Transf. 2024, 222, 125065. [Google Scholar] [CrossRef]
- Kalosakas, G. Interplay between diffusion and bond cleavage reaction for determining release in polymer-drug conjugates. Materials 2023, 16, 4595. [Google Scholar] [CrossRef]
- Kalosakas, G. Drug polymer conjugates: Average release time from thin films. Int. J. Pharm. 2024, 662, 124506. [Google Scholar] [CrossRef]
- Vulic, K.; Pakulska, M.M.; Sonthalia, M.; Ramachandran, A.; Shoichet, M.S. Mathematical model accurately predicts protein release from an affinity-based delivery system. J. Control. Release 2015, 197, 69–77. [Google Scholar] [CrossRef]
- Vulic, K.; Shoichet, M.S. Affinity-based drug delivery systems for tissue repair and regeneration. Biomacromolecules 2014, 15, 3867–3880. [Google Scholar] [CrossRef]
- Jain, A.; McGinty, S.; Pontrelli, G.; Zhou, L. Drug diffusion and release from a bioerodible spherical capsule. Int. J. Pharm. 2022, 616, 121442. [Google Scholar] [CrossRef]
- Marriott, R.; Spiridonova, T.I.; Tverdokhlebov, S.I.; Anissimov, Y.G. Using compartments to model drug delivery from biodegradable polymers. J. Pharm. Sci. 2022, 111, 3096–3107. [Google Scholar] [CrossRef] [PubMed]
- Losi, E.; Peppas, N.A.; Ketcham, R.A.; Colombo, G.; Bettini, R.; Sonvico, F.; Colombo, P. Investigation of the swelling behavior of Dome Matrix drug delivery modules by high-resolution X-ray computed tomography. J. Drug Deliv. Sci. Technol. 2013, 23, 165–170. [Google Scholar] [CrossRef]
- D’Ambrosio, A.; Scialla, S.; Piemonte, V.; Moscatelli, D.; Mauri, E. Drug delivery from nanogel formulations: Mathematical modeling of different release profiles and conditions. Mol. Pharm. 2025, 22, 6611–6622. [Google Scholar] [CrossRef] [PubMed]
- Penn, M.J.; Hennessy, M.G. Optimal loading of hydrogel-based drug-delivery systems. Appl. Math. Model. 2022, 112, 649–668. [Google Scholar] [CrossRef]
- Caccavo, D.; Barba, A.A.; d’Amore, M.; De Piano, R.; Lamberti, G.; Rossi, A.; Colombo, P. Modeling the modified drug release from curved shape drug delivery systems - Dome Matrix. Eur. J. Pharm. Biopharm. 2017, 121, 24–31. [Google Scholar] [CrossRef] [PubMed]
- Richbourg, N.; Wechsler, M.E.; Rodriguez-Cruz, J.J.; Peppas, N.A. Model-based modular hydrogel design. Nat. Rev. Bioeng. 2024, 2, 575–587. [Google Scholar] [CrossRef]
- Ignacio, M.; Bagheri, M.; Chubynsky, M.V.; de Haan, H.W.; Slater, G.W. Diffusivity interfaces in lattice Monte Carlo simulations: Modeling inhomogeneous delivery and release systems. Phys. Rev. E 2022, 105, 064135. [Google Scholar] [CrossRef]
- Kalosakas, G.; Panagopoulou, E. Lag time in diffusion-controlled release formulations containing a drug-free outer layer. Processes 2022, 10, 2592. [Google Scholar] [CrossRef]
- Gomes-Filho, M.S.; Barbosa, M.A.A.; Oliveira, F.A. A statistical mechanical model for drug release: Relations between release parameters and porosity. Phys. A 2020, 540, 123165. [Google Scholar] [CrossRef]
- Carr, E.J.; Pontrelli, G. Drug delivery from microcapsules: How can we estimate the release time? Math. Biosci. 2019, 315, 108216. [Google Scholar] [CrossRef]
- Singh, K.; Satapathi, S.; Jha, P.K. “Ant-Wall” model to study drug release from excipient matrix. Phys. A 2019, 519, 98–108. [Google Scholar] [CrossRef]
- Carr, E.J.; Pontrelli, G. Modelling mass diffusion for a multi-layer sphere immersed in a semi-infinite medium: Application to drug delivery. Math. Biosci. 2018, 303, 1–9. [Google Scholar] [CrossRef]
- Hadjitheodorou, A.; Kalosakas, G. Analytical and numerical study of diffusion-controlled drug release from composite spherical matrices. Mater. Sci. Eng. C 2014, 42, 681–690. [Google Scholar] [CrossRef]
- Spiridonova, T.I.; Tverdokhlebov, S.I.; Anissimov, Y.G. Investigation of the size distribution for diffusion-controlled drug release from drug delivery systems of various geometries. J. Pharm. Sci. 2019, 108, 2690–2697. [Google Scholar] [CrossRef] [PubMed]
- Ignacio, M.; Slater, G.W. Using fitting functions to estimate the diffusion coefficient of drug molecules in diffusion-controlled release systems. Phys. A 2021, 567, 125681. [Google Scholar] [CrossRef]
- Casault, S.; Slater, G.W. Systematic characterization of drug release profiles from finite-sized hydrogels. Phys. A 2008, 387, 5387–5402. [Google Scholar] [CrossRef]
- Crank, J. The Mathematics of Diffusion, 2nd ed.; Oxford University Press: Oxford, UK, 1975. [Google Scholar]
- Siepmann, J.; Siepmann, F. Modeling of diffusion controlled drug delivery. J. Control. Release 2012, 161, 351–362. [Google Scholar] [CrossRef]
- Kalosakas, G. Modeling Drug Release Profiles; Springer Volume Trends in Applied Mathematical Analysis; Pardalos, P.M., Rassias, T.M., Eds.; Springer: Berlin/Heidelberg, Germany, 2026. [Google Scholar]
- Ritger, P.L.; Peppas, N.A. A simple equation for description of solute release I. Fickian and non-Fickian release from non-swellable devices in the form of slabs, spheres, cylinders or discs. J. Control. Release 1987, 5, 23–36. [Google Scholar] [CrossRef]
- Korsmeyer, R.W.; Peppas, N.A. Effect of the morphology of hydrophilic polymeric matrices on the diffusion and release of water soluble drugs. J. Membr. Sci. 1981, 9, 211–227. [Google Scholar] [CrossRef]
- Kosmidis, K.; Argyrakis, P.; Macheras, P. A reappraisal of drug release laws using Monte Carlo simulations: The prevalence of the Weibull function. Pharm. Res. 2003, 20, 988–995. [Google Scholar] [CrossRef]
- Kosmidis, K.; Macheras, P. Monte Carlo simulations for the study of drug release from matrices with high and low diffusivity areas. Int. J. Pharm. 2007, 343, 166–172. [Google Scholar] [CrossRef] [PubMed]
- Hadjitheodorou, A.; Kalosakas, G. Quantifying diffusion-controlled drug release from spherical devices using Monte Carlo simulations. Mater. Sci. Eng. C 2013, 33, 763–768. [Google Scholar] [CrossRef] [PubMed]
- Kalosakas, G.; Martini, D. Drug release from slabs and the effects of surface roughness. Int. J. Pharm. 2015, 496, 291–298. [Google Scholar] [CrossRef]
- Papadopoulou, V.; Kosmidis, K.; Vlachou, M.; Macheras, P. On the use of the Weibull function for the discernment of drug release mechanisms. Int. J. Pharm. 2006, 309, 44–50. [Google Scholar] [CrossRef]
- Picheth, G.F.; Sierakowski, M.R.; Woehl, M.A.; Ono, L.; Cofre, A.R.; Vanin, L.P.; Pontarolo, R.; de Freitas, R.A. Lysozyme-triggered epidermal growth factor release from bacterial cellulose membranes controlled by smart nanostructured films. J. Pharm. Sci. 2014, 103, 3958–3965. [Google Scholar] [CrossRef]
- Srinivasan, S.; Babensee, J.E. Controlled delivery of immunomodulators from a biomaterial scaffold niche to induce a tolerogenic phenotype in human dendritic cells. ACS Biomater. Sci. Eng. 2020, 6, 4062–4076. [Google Scholar] [CrossRef]
- Carr, E.J. Exponential and Weibull models for spherical and spherical-shell diffusion-controlled release systems with semi-absorbing boundaries. Phys. A 2022, 605, 127985. [Google Scholar] [CrossRef]
- Gomes-Filho, M.S.; Oliveira, F.A.; Barbosa, M.A.A. Modeling the diffusion-erosion crossover dynamics in drug release. Phys. Rev. E 2022, 105, 044110. [Google Scholar] [CrossRef]
- Kalosakas, G. Exact analytical relations for the average release time in diffusional drug release. Processes 2023, 11, 3431. [Google Scholar] [CrossRef]
- Desai, P.; Venkataramanan, A.; Schneider, R.; Jaiswal, M.K.; Carrow, J.K.; Purwada, A.; Singh, A.; Gaharwar, A.K. Self-assembled, ellipsoidal polymeric nanoparticles for intracellular delivery of therapeutics. J. Biomed. Mater. Res. A 2018, 106A, 2048–2058. [Google Scholar] [CrossRef] [PubMed]
- Xiao, Y.; Tan, A.; Jackson, A.W.; Boyd, B.J. Nonspherical nanocapsules as long-circulating drug delivery systems. Chem. Mater. 2022, 34, 2503–2530. [Google Scholar] [CrossRef]
- Kudryavtseva, V.; Sukhorukov, G.B. Features of anisotropic drug delivery systems. Adv. Mater. 2024, 36, 2307675. [Google Scholar] [CrossRef] [PubMed]
- Fu, J.C.; Hagemeir, C.; Moyer, D.L. A unified mathematical model for diffusion from drug-polymer composite tablets. J. Biomed. Mater. Res. 1976, 10, 743–758. [Google Scholar] [CrossRef]
- Abramowitz, M.; Stegun, I.A. (Eds.) Handbook of Mathematical Functions, 9th ed.; Dover Publications: New York, NY, USA, 1965; p. 409. [Google Scholar]
- Pitt, C.G.; Schindler, A. The kinetics of drug cleavage and release from matrices containing covalent polymer-drug conjugates. J. Control. Release 1995, 33, 391–395. [Google Scholar] [CrossRef]
- Papadokostaki, K.G.; Stavropoulou, A.; Sanopoulou, M.; Petropoulos, J.H. An advanced model for composite planar three-layer matrix-controlled release devices. Part I. Devices of uniform material properties and non-uniform solute load. J. Membr. Sci. 2008, 312, 193–206. [Google Scholar] [CrossRef]
- Papadokostaki, K.G.; Sanopoulou, M.; Petropoulos, J.H. An advanced model for composite planar three-layer matrix-controlled release devices. Part II. Devices with non-uniform material properties and a practical example. J. Membr. Sci. 2009, 343, 128–136. [Google Scholar] [CrossRef]
- Langenbucher, F. Linearization of dissolution rate curves by the Weibull distribution. J. Pharm. Pharmacol. 1972, 24, 979–981. [Google Scholar] [CrossRef] [PubMed]
- Ignacio, M.; Chubynsky, M.V.; Slater, G.W. Interpreting the Weibull fitting parameters for diffusion-controlled release data. Phys. A 2017, 486, 486–496. [Google Scholar] [CrossRef]
- Christidi, E.V.; Kalosakas, G. Dynamics of the fraction of drug particles near the release boundary; Justifying a stretched exponential kinetics in Fickian drug release. Eur. Phys. J. Spec. Top. 2016, 225, 1245–1254. [Google Scholar] [CrossRef]
- Bohemier, C.; Ignacio, M.; Lamy, X.; Slater, G.W. Estimating the asymptotic characteristic time scales for diffusion-controlled drug release systems using partially sampled data. Int. J. Pharm. 2023, 634, 122674. [Google Scholar] [CrossRef]
- Siepmann, F.; Eckart, K.; Maschke, A.; Kolter, K.; Siepmann, J. Modeling drug release from PVAc/PVP matrix tablets. J. Control. Release 2010, 141, 216–222. [Google Scholar] [CrossRef]
- Muschert, S.; Siepmann, F.; Leclercq, B.; Carlin, B.; Siepmann, J. Prediction of drug release from ethylcellulose coated pellets. J. Control. Release 2009, 135, 71–79. [Google Scholar] [CrossRef]







| Set | R (mm) | H (mm) | A | a | cm2/s) a | b | cm2/s) b | ||
|---|---|---|---|---|---|---|---|---|---|
| #1 | 1.3 | 0.115 | 0.072 | 65.4 % | 2.4 (2.3) | 1.4 (1.5) | 2.5 (2.5) | 1.4 (1.4) | |
| #2 | 5.65 | 2.7 | 0.239 | 0.060 | 66.4 % | 8.4 | 1.4 | 7.8 | 1.6 |
| #3 | 3.9 | 0.345 | 0.051 | 67.1 % | 15.2 | 1.4 | 13.1 | 1.6 | |
| #4 | 2.5 | 2.6 | 0.520 | 0.039 | 67.8 % | 2.7 (2.4) | 2.7 (3.0) | 2.7 (2.4) | 2.7 (3.0) |
Disclaimer/Publisher’s Note: The statements, opinions and data contained in all publications are solely those of the individual author(s) and contributor(s) and not of MDPI and/or the editor(s). MDPI and/or the editor(s) disclaim responsibility for any injury to people or property resulting from any ideas, methods, instructions or products referred to in the content. |
© 2025 by the authors. Licensee MDPI, Basel, Switzerland. This article is an open access article distributed under the terms and conditions of the Creative Commons Attribution (CC BY) license (https://creativecommons.org/licenses/by/4.0/).
Share and Cite
Kalosakas, G.; Gontze, E. Diffusion Dominated Drug Release from Cylindrical Matrices. Processes 2025, 13, 3850. https://doi.org/10.3390/pr13123850
Kalosakas G, Gontze E. Diffusion Dominated Drug Release from Cylindrical Matrices. Processes. 2025; 13(12):3850. https://doi.org/10.3390/pr13123850
Chicago/Turabian StyleKalosakas, George, and Eirini Gontze. 2025. "Diffusion Dominated Drug Release from Cylindrical Matrices" Processes 13, no. 12: 3850. https://doi.org/10.3390/pr13123850
APA StyleKalosakas, G., & Gontze, E. (2025). Diffusion Dominated Drug Release from Cylindrical Matrices. Processes, 13(12), 3850. https://doi.org/10.3390/pr13123850

