You are currently viewing a new version of our website. To view the old version click .
Processes
  • Article
  • Open Access

28 September 2025

Fault Phase Selection of Large-Scale Wind Farm’s Outgoing Line Based on Transient Voltage S-Transform Energy Relative Entropy

and
Faculty of Electric Power Engineering, Kunming University of Science and Technology, Kunming 650500, China
*
Author to whom correspondence should be addressed.
This article belongs to the Section Energy Systems

Abstract

Traditional fault phase selection methods are not easily adaptable to large-scale wind farms. This paper proposes a fault phase selection method based on transient voltage S-transform energy relative entropy (SERE) to realize adaptive reclosing of the circuit breaker on the wind farm outgoing line. According to the characteristics of the three-phase transient voltage fault component, the three-phase transient voltage after a fault is collected, and the fault component is calculated. The SERE of the three-phase voltage is calculated. The maximum and minimum entropy are determined, and the criterion is constructed to identify the fault phase. The simulation results show that the proposed method can identify the fault phase accurately and quickly. The method is less affected by fault location, fault type, initial fault phase angle, and wind speed. In particular, the method can also accurately identify the fault phase under a remote high-resistance fault. The results compared with those of the traditional methods show that the proposed method demonstrates its superiority under different transitions and wind speeds.

1. Introduction

The safe operation of the outgoing lines in wind farms is essential for power systems [1,2]. When a fault occurs in the transmission line of wind farms, the reclosing device on the transmission line needs to trip the fault phase according to the fault phase selection result of the fault phase selection element so as to ensure the safe operation of the power system. Therefore, the fast and accurate selection of fault phase selection elements is very important in reclosing tripping. Since the short-circuit current characteristics of doubly fed induction generators (DFIGs) are very different from those of classical synchronous generators [3,4], the traditional fault phase selection methods face significant challenges [5]. For instance, accuracy and efficiency need to be considered when performing fault phase selection [6,7]. Reference [8] analyzed that the sequence impedance after a crowbar input is a function of rotor speed and crowbar resistance. Consequently, it is concluded that a fault phase selection element based on incremental and sequence components is not suitable for wind farms with DFIGs.
Scholars have studied some methods of fault phase selection based on signal transients. In [9], the transient voltage characteristics were derived, and a criterion was established according to the waveform correlation of different fault types. The simulation showed that it was sensitive in fault phase selection. Reference [10] utilized the transient current energy ratio as the basis of this approach. Additionally, it introduced the synchronous compression S-transform to process signals, which showed minimal susceptibility to initial fault angles. A method based on mathematical morphology and the initial current traveling wave was proposed in [11]. The method involved a morphological edge detection filter, which could quickly and accurately detect the arrival time of a traveling wave, enabling fault phase selection. The simulation confirmed the method’s effectiveness. For some methods based on fault current phase angle characteristics, Aboelnaga et al. [12] introduced a method based on the current angle, which depended on local measurement and updated the region of the online fault phase selection method by estimating the angle between sequence impedances. Reference [13] proposed a fault type identification method by calculating the sequence current angle within the fault loop. The tests on different fault conditions were accurate, and the method’s superior performance was evaluated by comparative analysis. Additionally, Huang et al. [14] presented a method based on the phase angle of negative and zero sequence voltages, which had strong robustness to large fault transition resistance. However, these methods are complex to construct and require a relatively high sampling frequency, such as the extraction of traveling waves.
Several improved schemes based on sequence or fault components of voltage and current have been developed recently. Reference [15] introduced a scheme that used the superimposed phase voltage amplitude ratio, identifying the fault phase under different fault locations. A method according to the amplitude ratio for phase fault components was proposed in [16], which had good sensitivity. Another scheme based on sequence current and the phase current difference was presented by [17], and the field fault test data verified its accuracy. Moreover, in [18], a method based on comparing sequence voltage and phase voltage was proposed, which was strongly robust to a large fault transition resistance. In addition to the above methods for direct fault phase selection based on characteristics of electrical quantities, there are also some schemes for fault phase selection through designing a controller or redefining the sequence network to select phase [19,20]. However, these methods do not have an advantage in the rapidity of fault identification.
In [21], in order to avoid the false operation of converter station protection, a novel fault section identification scheme based on energy relative entropy is proposed. The difference between the forward and backward current traveling wave is represented by the S-transform energy relative entropy. A novel pilot protection method for the UHVDC line based on S-transform energy relative entropy has been proposed in [22]. The internal faults are distinguished from the external faults by using differences between the S-transform energy relative entropy of both line terminals. In [23], a faulty line selection method that combines a discrete orthogonal S-transform with the relative entropy of frequency band energy is proposed. Based on the above research on fault location regarding the relative entropy of S-transform, in order to realize adaptive reclosing of the circuit breaker on the wind farm outgoing line, a fault phase selection method based on S-transform energy relative entropy (SERE) of transient voltage is proposed in this paper. According to the characteristics of the three-phase transient voltage fault component, the SERE of the three-phase voltage is calculated. Then, a criterion is constructed by the maximum and minimum of the entropy. The method can still accurately and sensitively identify the fault phase and is suitable for the outgoing line of large-scale wind farms. Unlike the above-mentioned related studies, the scenario applied in this paper is a large-scale wind power system, and the application objective is different. That is, it is not the location of faults but the selection of fault phases. Moreover, the constructed criteria are simpler, eliminating the need for more-cumbersome comprehensive criterion construction. The adopted signal only has a 2 ms time window, providing better rapidity.
The novelty of the paper is as follows:
(1)
Action characteristics for the traditional sudden change of the phase current difference element and the low-voltage phase selection method are analyzed, showing that traditional phase selection elements may not operate correctly.
(2)
According to the characteristics of fault components in the three-phase transient voltage, a criterion for the phase selection is constructed by calculating the SERE of the three-phase transient voltage. The method can identify the fault phase accurately.
(3)
The proposed method exhibits high sensitivity and requires only a 2 ms time window. The method can still accurately and sensitively identify the fault phase for the high-resistance fault at the far end of the outgoing line.
(4)
The method is less affected by factors such as fault location, fault type, initial fault phase angle, and wind speed. The results compared with those of the traditional methods show that the proposed method demonstrates its superiority under different transitions and wind speeds.

2. Analysis of Traditional Fault Phase Selection

The traditional fault phase selection method based on the abrupt change of the phase current difference refers to the amplitude characteristics of abrupt changes in the two-phase current difference [24].
For the phase A-ground short-circuit fault (AG), the sudden change in the phase current difference can be expressed as follows:
Δ I ab · = ( 1 α 2 ) C 1 + ( 1 α ) C 2 I k 1 · Δ I bc · = 3 C 1 C 2 I k 1 ·   Δ I ca · = ( 1 α ) C 1 + ( 1 α 2 ) C 2 I k 1 ·
As the current branching coefficient is unequal, i.e., C1C2, the following equation can be written.
Δ I bc · 0
Thus, characteristics of the following formula are weakened.
Δ I bc · min ( Δ I ab · , Δ I ca · )
In this case, the characteristic tends to be three-phase short-circuit characteristics as follows:
Δ I bc · = Δ I ab · = Δ I ca ·
Moreover, it even closes to two-phase short-circuit characteristics as below.
Δ I bc · = 2 Δ I ab · = 2 Δ I ca ·
That is,
Δ I ab · < Δ I bc · < 2 Δ I ab ·
The following formula can be obtained by combining (1) and (2):
C 2 C 1 C 1 ( 2 3 3 , 3 ) ( 2 3 , + )
When C1 and C2 conform to the range of (7), the characteristics will be between a three-phase short circuit and a two-phase short circuit, which may lead to wrong fault phase selection. In addition, relevant research indicates that the angle of equivalent impedance for positive and negative sequences is no longer a constant 90°. Instead, the angle changes with time, the initial state of DFIG, crowbar resistance, and continuous excitation control parameters [25,26]. During a fault, the phase angle difference changes significantly, surpassing the maximum threshold of 90°. Therefore, the parameters C1 and C2 can no longer be considered real numbers as they become time varying. In this case, the fault phase selection element may choose the phase incorrectly.
In the low-voltage fault phase selection method, the non-fault phase voltage is also affected by the different sequence impedance when a single-phase grounding fault occurs. In extreme cases, the non-fault phase voltage may decrease considerably. Hence, the low-voltage setting is crucial. If the setting is excessively low, the non-fault phase is easily selected as the fault phase by mistake. Conversely, if the setting is too high, the sensitivity of fault phase selection may be insufficient. Moreover, considering the volatility of wind power, the fault phase selection element may choose the phase incorrectly.

3. Fault Phase Selection Based on SERE of Transient Voltage

The SERE serves to characterize the difference between the probability distributions of the two-signal energy spectra. The larger the SERE, the greater the difference between the two signals. In contrast, the smaller the SERE, the smaller the difference. The probability distribution difference in the energy spectrum between the non-faulty phases or between the fault phase is small for the single-phase ground or the two-phase ground faults. However, a substantial difference is observed between the probability distribution of the energy spectrum for the fault phase and the non-faulty phase. For a three-phase short-circuit fault, there is always a difference between the energy of the three fault components. As a result, the SERE of each phase can be calculated to identify the fault phase.

3.1. Characteristic Analysis of SERE of Transient Voltage

The S-transform discrete form of the fault component Δuφ(t) in the φ-phase transient voltage is [21]
S T u p , q = w = 0 N 1 X u q + w e 2 π 2 w 2 q 2 e j 2 π w p N , q 0
S T u p , q = 1 N w = 0 N 1 x u w , q = 0
where w = 1, 2, …, N − 1, and N is the number of sampling points; j denotes imaginary units; and p and q represent the rows and columns of the matrix STu[p, q] after S-transform, respectively. The rows indicate discrete frequencies, and the columns denote sampling time points. When the sampling frequency is fs, the frequency of the p-th row can be expressed as fp = p(fs/N). In (9),
X u q = 1 N w = 0 N 1 x u w e j 2 π w q N
The transient energy Euφ of the fault component Δuφ(t) in φ-phase transient voltage at frequency fq, can be obtained by the following equation.
E u φ = p S T u ( p , q ) 2
The sum of transient energy Euq of all fault components of the three-phase transient voltage at the frequency fq can be written as follows:
E u = φ p S T u ( p , q ) 2
The ratio of transient energy Euφ at frequency fq to total energy Eu is
K u φ = E u φ E u
The SERE of the fault component in A-phase transient voltage, in comparison to the B-phase transient voltage, can be expressed as follows:
M uAB = q K uA ln K uA K uB
The relative entropy of S-transform energy between the fault component of the phase A and B transient voltage can be calculated as follows:
M SAB = M uAB + M uBA
Similarly, the SERE between phase A and C and between phase B and C is, respectively, as follows:
{ M S A C = M u A C + M u C A M S B C = M u B C + M u C B
In the event of a single-phase grounding fault, the SERE between the two healthy phases is the minimum because their difference is small, while this value between the faulty and the healthy phases is the maximum. Similarly, when a two-phase short-circuit grounding fault occurs, the difference between the two-phase transient voltage signals is small, and the SERE between the fault phase and the non-fault phase is the minimum. Therefore, the maximum MSmax and the minimum MSmin in MSAB, MSAC, and MSBC can be employed to identify the fault phase. The criterion for distinguishing between a single-phase ground fault and a two-phase ground fault is outlined as follows:
M S max < M SGset
where MSGset is the threshold. Comparing the two-phase short-circuit grounding fault with a single-phase grounding fault, it is observed that the entropy between the fault phase and non-fault phase is smaller in the case of a single-phase grounding fault because the two-phase grounding short-circuit fault is more severe than the single-phase grounding fault. Therefore, in the two-phase short-circuit fault, the difference between the fault phase and the non-fault phase is larger, leading to the higher SERE. Thus, for a single-phase ground fault, MSmax < MSGset. Since the three-phase short-circuit fault is more serious, the difference between the fault phase and the non-fault phase is greater, and the SERE is larger. Therefore, when a two-phase short-circuit fault occurs, MSmax is less than the threshold MSCset, while MSmax is greater than MSCset. It is worth noting that the threshold will be determined later based on the simulation. The criterion for distinguishing a two-phase short-circuit fault from a three-phase short-circuit fault is outlined as follows:
M S max < M SCset
It should be noted that the transient energy of the fault phase plays a dominant role in the overall transient energy of the system. Moreover, the frequency with the most concentrated transient energy of the fault phase can fully reflect the characteristics of the system energy distribution. Therefore, the selection of fq is determined based on the principle of maximizing the sum of energy [27,28].

3.2. Implementation Process

The implementation process is as follows: First, the transient voltage at wind farms is collected, and the zero-mode voltage is employed to determine whether the fault is a ground fault. When the zero-mode voltage U0 exceeds the threshold, the fault is identified as a ground fault. Otherwise, it is a two-phase short-circuit fault or ABC fault. When a ground fault occurs, if MSmax < MSGset, it indicates a single-phase ground fault. Then, the fault phase is determined based on the minimum MSmin in MSAB, MSAC, and MSBC. Specifically, the phase other than the corresponding two phases in the minimum is considered the fault phase. Conversely, if MSmax > MSGset, it signifies a two-phase ground fault, and the two phases corresponding to MSmin are fault phases. In the scenario of a two-phase short-circuit fault or a three-phase short-circuit fault, if MSmax < MSCset, it is a three-phase short-circuit fault. In contrast, if MSC > MSCset, it is considered a two-phase short-circuit fault, and the two phases corresponding to MSmin are fault phases.
The implementation process is shown in Figure 1.
Figure 1. Flow chart of fault phase selection based on transient voltage SERE.

4. Experiment and Analysis

The adaptability and superiority of the proposed method are analyzed in this section.

4.1. Construction of Testing Model

A testing model of large-scale wind power connected to a power grid is built by the real-time digital simulation (RTDS) platform, as shown in Figure 2. The parameters are listed in Table 1. The outgoing line is 200 km. Firstly, the AG fault, BC fault, BCG fault, and ABC fault indicate A-phase ground fault, BC two-phase short-circuit fault, BC two-phase ground fault, and ABC three-phase short-circuit fault, respectively. They are set every 2 km from the wind farm to determine the entropy threshold of the fault. The transition resistance is 0.1 Ω and 100 Ω, and the time window is 2 ms. The entropy is calculated; the curve is fitted, and the threshold is determined. The entropy fitting curves of each fault type are depicted in Figure 3. For ground faults, it can be seen from the fitting curve in Figure 3 that the value distinguishing between single-phase and two-phase ground short-circuit faults can be selected as 1.5. And for short-circuit faults, it can be seen that the value distinguishing between two-phase and three-phase short-circuit faults can be selected as 2. It can be determined from Figure 3 that the threshold MSGset = 1.5 and MSCset = 2.
Figure 2. The testing model of large-scale wind farms is built by the RTDS platform: (a) topological structure; (b) experimental equipment.
Table 1. Experimental parameters.
Figure 3. Entropy fitting curve for different fault types: (a) AG fault; (b) BCG fault; (c) BC fault; (d) ABC fault.

4.2. Validation Analysis of the Proposed Method

According to the above theoretical analysis and the threshold setting results, the adaptability of the method is analyzed under the following different fault conditions. The signal characteristics under different conditions are shown in Table 2.
Table 2. The signal characteristics under different conditions.

4.2.1. Fault Types and Fault Locations

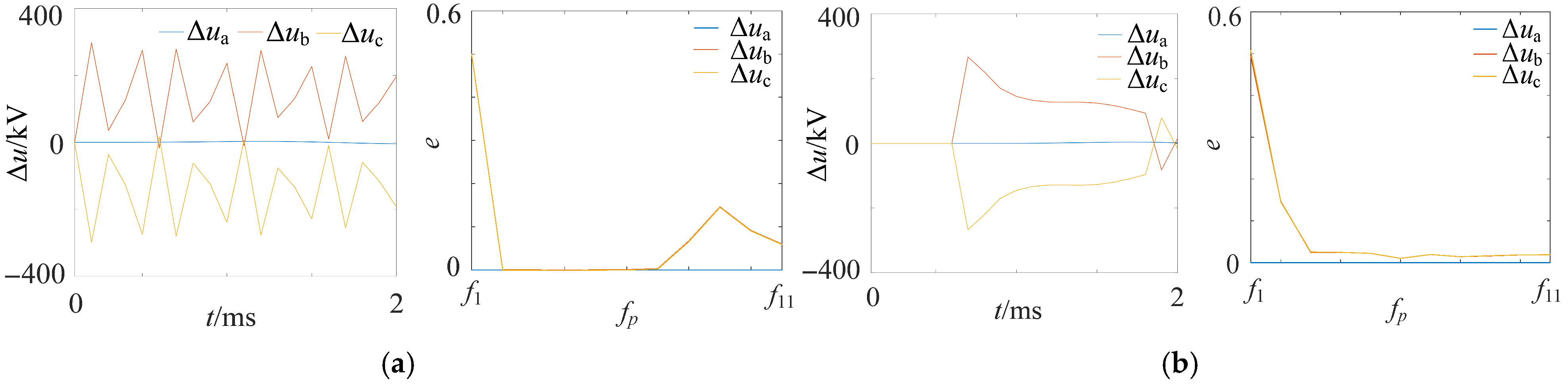
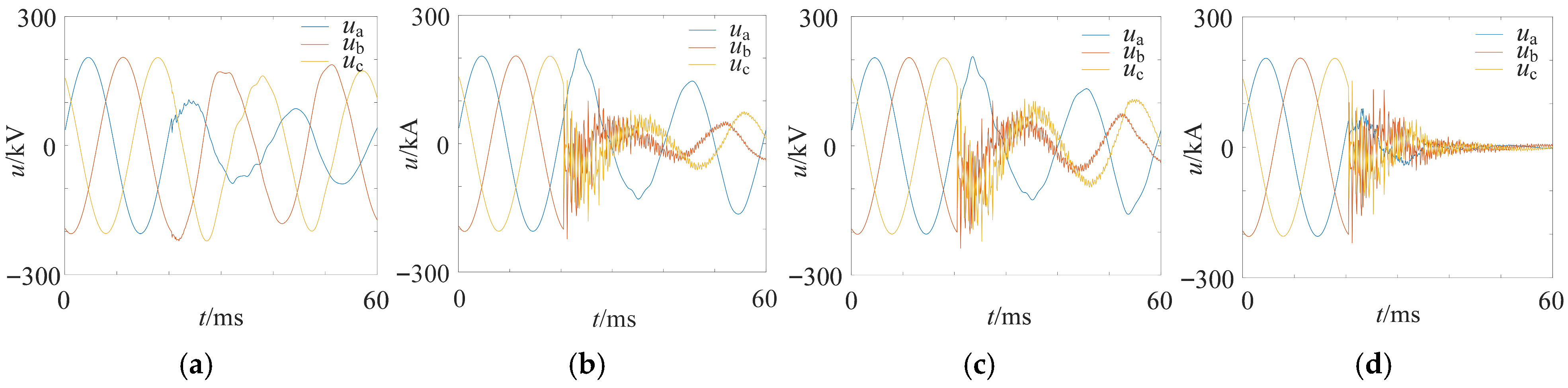
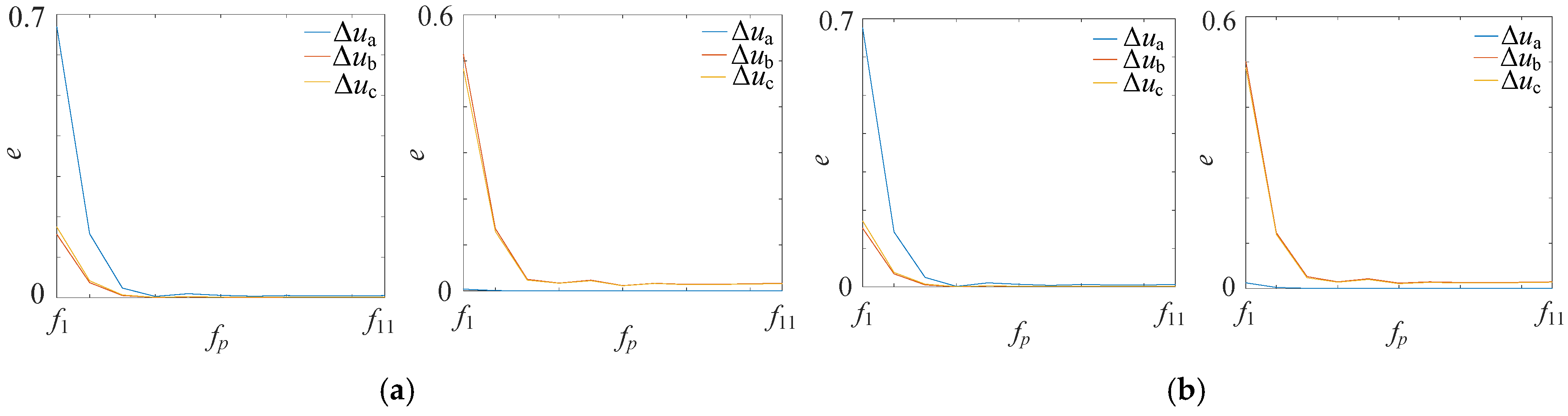
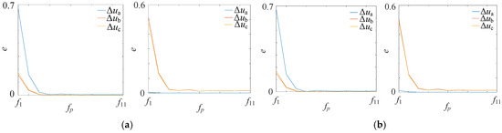
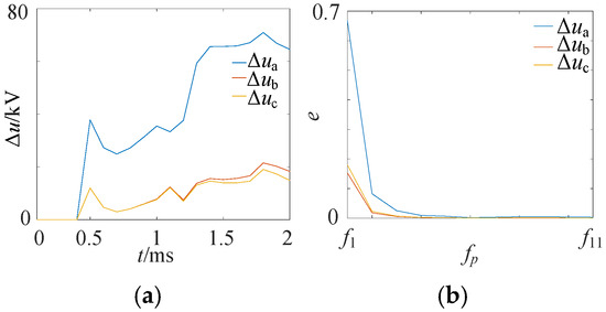
The fault types are AG fault, BC two-phase short-circuit (BC) fault, BC two-phase ground short-circuit (BCG) fault, and ABC three-phase short-circuit (ABC) fault. The fault distances are 20 km, 100 km, and 180 km. The time window is 2 ms. The fault component and energy proportion curves of transient voltage under different fault distances of the BC fault are shown in Figure 4. The time–frequency matrix after applying the S-transformation consists of 11 rows and 20 columns. When the fault distance is 100 km, the voltage waveform and the energy proportion curves under different fault types are shown in Figure 5 and Figure 6. The horizontal coordinate is fp (p = 1, 2, 3, …, 11), which represents the frequency, and the ordinate is the energy proportion, which is represented by e. The fault phase selection results of different fault types and fault distances are presented in Table 3.
Figure 4. Transient voltage fault component waveform and energy proportion curve at different fault distances when a BC fault occurs: (a) 20 km; (b) 180 km.
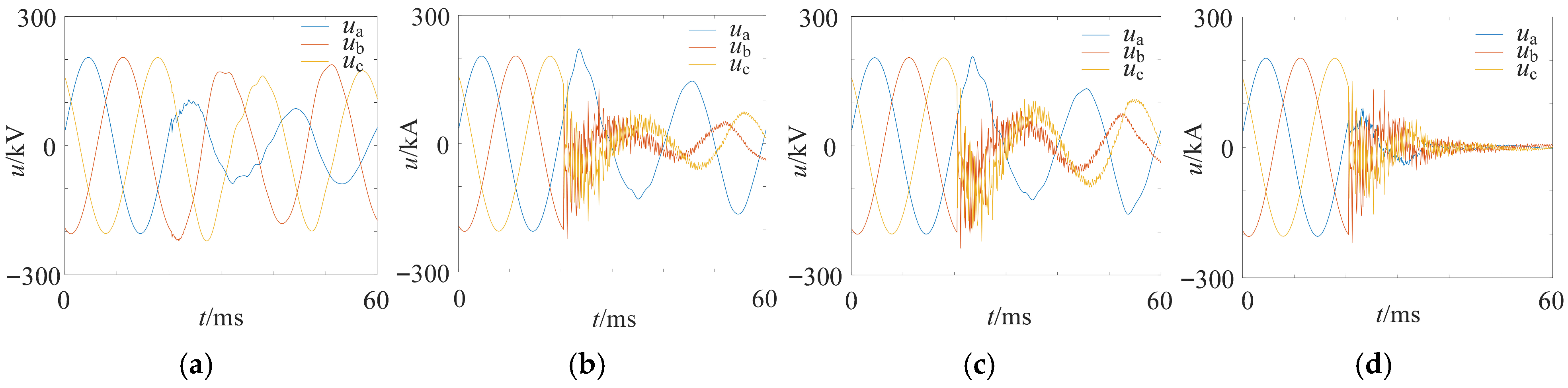
Figure 5. Voltage waveform under different fault types: (a) AG fault; (b) BCG fault; (c) BC fault; (d) ABC fault.
Figure 6. The energy proportion curve under different fault types: (a) AG fault; (b) BCG fault; (c) BC fault; (d) ABC fault.
Table 3. Fault phase selection results for various fault locations and types.
As can be seen in Figure 4, Figure 5 and Figure 6 and in Table 3, under different fault locations and types, the entropy between phases satisfies the criteria, and fault phases can be accurately judged according to the minimum entropy, indicating that the method is less affected by fault locations and types.

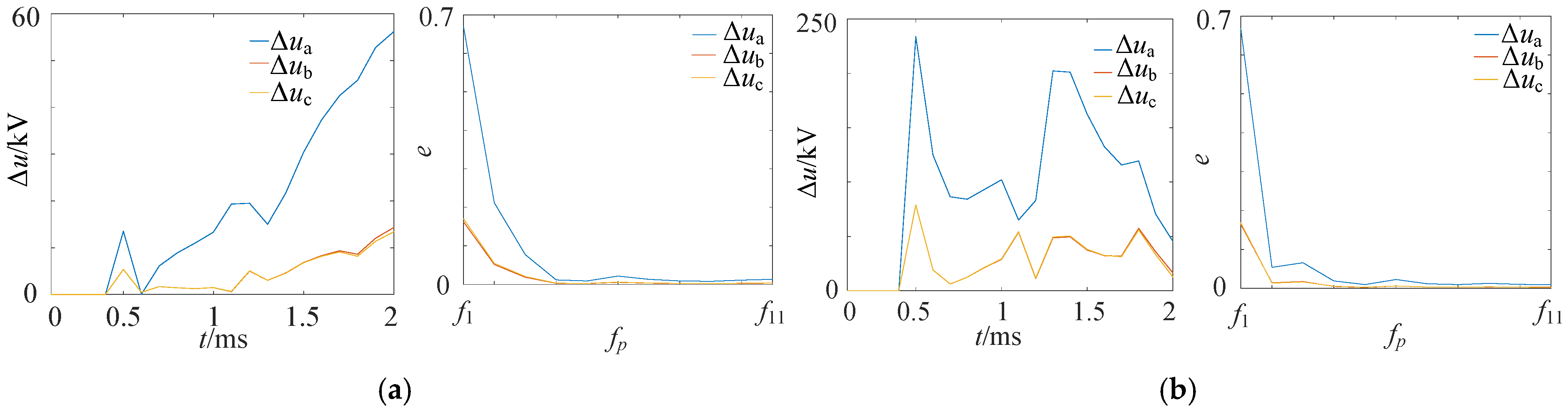
4.2.2. Transition Resistances

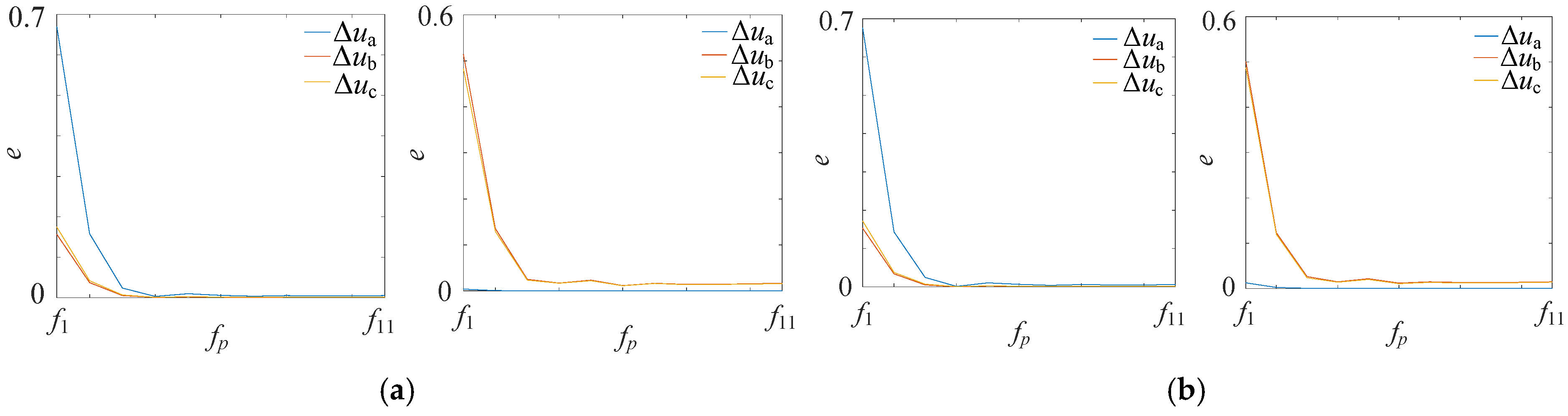
Fault distances are set to 100 km and 190 km, with fault types of AG and BCG. Transition resistances are 100 Ω, 300 Ω, and 500 Ω. When the fault distance is 190 km, the voltage waveform and its energy proportion curve under different transition resistances for AG and BCG faults are shown in Figure 7 and Figure 8. The entropy and fault phase selection results are listed in Table 4.
Figure 7. Voltage waveform when transition resistance is 100 Ω: (a) AG fault; (b) BC fault.
Figure 8. The energy proportion curve under different transition resistances: (a) 100 Ω; (b) 500 Ω.
Table 4. Fault phase selection results under different transition resistances.
As seen in Figure 8, during AG fault, phases B and C exhibit similar energy proportions, while phase A has the largest energy proportions. On the other hand, when a BCG fault occurs, the energy proportions of phases B and C are close, and the energy proportions of phase A are the smallest. Table 3 shows that MSmax exceeds the threshold under BCG fault, whereas it is less than the threshold under AG fault. By utilizing the minimum value, the fault phase can be correctly selected with a high-resistance fault occurring on the remote end, indicating that the method is less affected by the transition resistances.

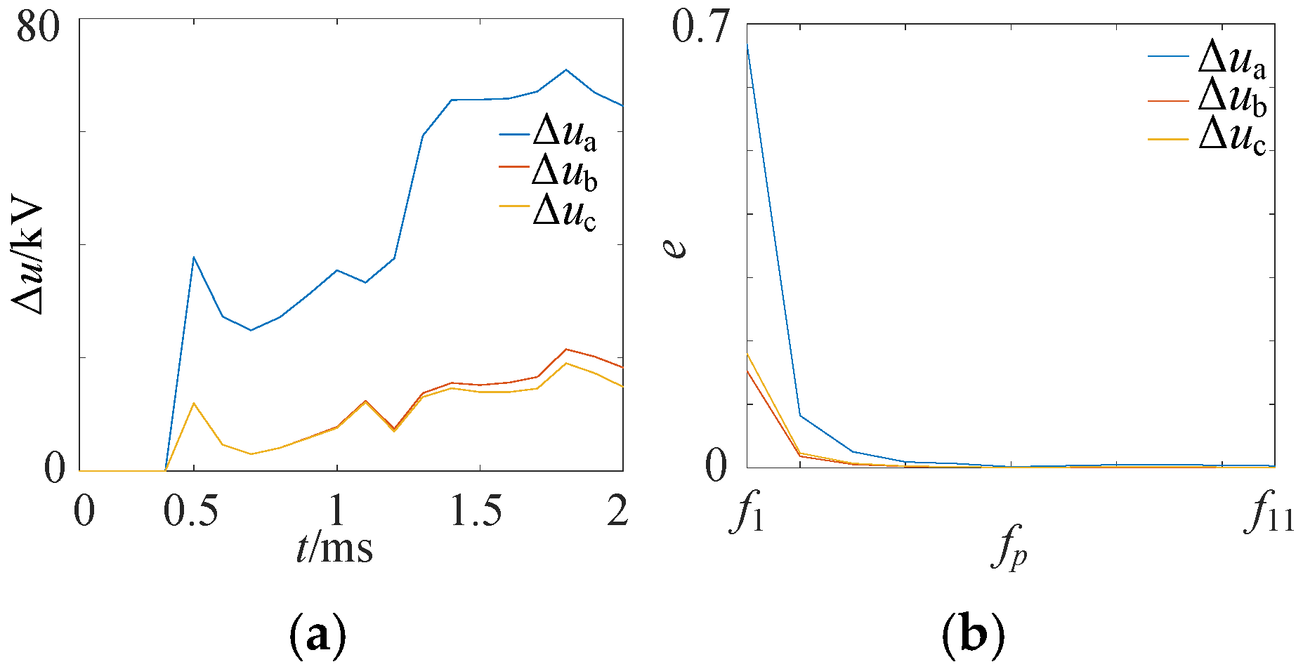
4.2.3. Initial Phase Angle

The initial fault phase angle can impact fault characteristics [29]. Therefore, the fault distance is set to 100 km. The fault type is AG fault. The initial fault phase angle is 0°, 40°, and 90°. The transient voltage fault component and its energy proportion curve are shown in Figure 9. The entropy and fault phase selection results are shown in Table 5.
Figure 9. Transient voltage fault component waveform and its energy proportion curve with different initial phase angles: (a) 0°; (b) 90°.
Table 5. Fault phase selection results under different initial phase angles.
It can be seen from Figure 9 and Table 5 that the entropy of each phase varies with the change of the initial phase angle, which does not affect the judgment of the fault phase selection. Thus, this method can still accurately and quickly select fault phases under different initial fault phase angles.

4.2.4. Wind Speed

Different wind speeds on wind farms can also influence fault characteristics. To investigate this effect, the fault distance is set to 100 km, and the fault type is AG fault. The transition resistance is 0.1 Ω, and the wind speed is set to 8 m/s, 11 m/s, and 15 m/s [30]. Figure 10 illustrates the fault component and its corresponding energy proportion under different wind speeds in the case of the AG and BC faults. Additionally, the entropy and fault phase selection results are shown in Table 6.
Figure 10. The transient voltage fault component waveform and its energy proportion curve with different wind speeds: (a) 8 m/s; (b) 15 m/s.
Table 6. Fault phase selection results under different wind speeds.
In Table 6, the method is less affected by various wind speeds on wind farms, and fault phases can be accurately and quickly selected.

4.2.5. Voltage Harmonic

To investigate effect of the voltage harmonic, the fault distance is set to 100 km, and the fault type is AG fault and BC fault. The transition resistance is 0.1 Ω, and the wind speed is set to 11 m/s. The entropy and fault phase selection results are shown in Table 7.
Table 7. Fault phase selection results under effect of voltage harmonic.
In Table 7, the method is less affected by the voltage harmonic, and fault phases can be accurately and quickly selected.

4.3. Comparative Study

A comparison between the traditional and proposed methods was conducted, and the fault phase selection results under different faults are shown in Table 6. In the low-voltage fault phase selection method, it is necessary to set the threshold lower than the minimum voltage of the non-fault phase when a single-phase fault occurs in the protected transmission line. Table 8 shows that the traditional fault phase selection method exhibits maloperation in certain cases. However, the new method can identify the fault phase accurately under the same conditions. For the proposed method, only the transient voltage at protective installation must be extracted. The time required by the traditional method is 20 ms, while the proposed method only needs 2 ms. The rapidity of fault phase identification has been significantly improved by the proposed method. Moreover, the fault characteristics of each phase are well characterized by SERE, increasing the characteristic differences between three phases after a fault to judge the fault phase more accurately. In conclusion, compared with the two classical methods, the proposed method has advantages in terms of accuracy, sensitivity, and simplicity of calculation. Under ideal conditions of hardware devices such as measurement, the result calculated by the method has an error of 0.
Table 8. Comparison results of the traditional methods and the proposed methods.

5. Conclusions

A new fault phase selection method has been proposed with the aim of addressing the inadaptability of traditional fault phase selection methods and enhancing the accuracy and sensitivity of fault phase selection. The conclusions drawn are as follows:
Action characteristics for traditional sudden change of phase current difference element and low-voltage fault phase selection method are analyzed, showing that traditional fault phase selection elements may not operate correctly. According to the characteristics of fault components in the three-phase transient voltage, a criterion for the fault phase selection has been constructed by calculating the SERE of the three-phase transient voltage. The proposed method requires only a 2 ms time window. The experimental results show that the proposed method has an accuracy rate of 100% under various conditions such as different fault locations, fault types, initial fault phase angles, and wind speeds. The method can still accurately and sensitively identify the fault phase for the high-resistance fault at the far end of the outgoing line. The speed of its fault phase selection action has increased by more than 90% compared with that in the traditional methods. The proposed fault phase selection method enhances the accuracy and sensitivity of traditional phase selection. Moreover, the criterion construction of the algorithm is simple and convenient for practical engineering application, ensuring the safe and stable operation of large-scale wind power systems.
The proposed method is applicable to large-scale wind farms and can improve the sensitivity of phase selection, and it can still stably identify the faulty phase in the scenario of wind speed fluctuation. However, it has a high demand for computing resources. The time–frequency analysis of S-transformation involves a large number of matrix operations. When the scale of the wind farm expands, the computing time consumption increases significantly, which may affect real-time performance. Therefore, the real-time performance of SERE can be optimized in the future, and the reliability of phase selection can be enhanced through the fusion of multi-source data.

Author Contributions

Conceptualization, X.J.; methodology, X.J. and H.S.; validation, X.J.; investigation, H.S.; writing—original draft preparation, X.J.; writing—review and editing, X.J. and H.S.; project administration, X.J. All authors have read and agreed to the published version of the manuscript.

Funding

This research was funded by the Scientific Research Fund project of Education Department of Yunnan Province, China, grant number 2024J0063; Yunnan Fundamental Research Projects, grant number 202501AU070101; and the Natural Science Research Foundation of Kunming University of Science and Technology, grant number KKZ3202404100.

Data Availability Statement

The original contributions presented in this study are included in the article. Further inquiries can be directed to the corresponding author.

Conflicts of Interest

The authors declare no conflicts of interest.

Abbreviations

The following abbreviations are used in this manuscript:
SERES-transform energy relative entropy
RTDSreal-time digital simulation
DFIGdoubly fed induction generator

References

  1. He, A.; Cao, J.; Li, S.; Gong, L.; Yang, M.; Hu, J. Identifying Weak transmission lines in power systems with intermittent energy resources and DC integration. Energies 2024, 17, 3918. [Google Scholar] [CrossRef]
  2. Hu, S.; Xie, C.; Yin, C. An adaptive reclosing scheme for cross-line faults on double-circuit wind power outgoing lines with shunt reactors. Energies 2024, 17, 1273. [Google Scholar] [CrossRef]
  3. Xu, G.; Qiu, J.; Zhang, J.; Yang, H.; Gao, Q.; Jiang, T.; Wang, Y. Coordinated control of transient voltage support in doubly fed induction generators. Energies 2024, 17, 4763. [Google Scholar] [CrossRef]
  4. Xu, J.; Feng, P.; Gong, J.; Li, S.; Jiang, G.; Yang, H. Low-voltage ride-through strategy to doubly-fed induction generator with passive sliding mode control to the rotor-side converter. Energies 2024, 17, 4439. [Google Scholar] [CrossRef]
  5. Liu, R.; Yao, J.; Sun, P.; Pei, J.; Zhang, H.; Zhao, Y. Complex impedance-based frequency coupling characteristics analysis of DFIG-based WT during asymmetric grid faults. IEEE Trans. Ind. Electron. 2021, 68, 8274–8288. [Google Scholar] [CrossRef]
  6. Wijekoon, J.; Rajapakse, A.D.; Haleem, N.M. Fast and reliable method for identifying fault type and faulted phases using band limited transient currents. IEEE Trans. Power Deliv. 2021, 36, 2839–2850. [Google Scholar] [CrossRef]
  7. Guo, M.-F.; Cai, W.; Zheng, Z.-Y.; Wang, H. Fault phase selection method based on single-phase flexible arc suppression device for asymmetric distribution networks. IEEE Trans. Power Deliv. 2022, 37, 4548–4558. [Google Scholar] [CrossRef]
  8. Shen, S.; Zhang, P. Characteristics of sequence impedances of DFIG wind farm and the impacts on the phase selection elements. In Proceedings of the 2014 IEEE PES General Meeting & Exposition, National Harbor, MD, USA, 27–31 July 2014; pp. 1–5. [Google Scholar]
  9. Song, G.; Wang, C.; Wang, T.; Kheshti, M.; Kang, X. A phase selection method for wind power integration system using phase voltage waveform correlation. IEEE Trans. Power Deliv. 2017, 32, 740–748. [Google Scholar] [CrossRef]
  10. Du, X.; Duan, J.; Yang, W.; Li, H.; Li, Z. A novel high-speed transient-based phase selector for AC transmission line connected to LCC-HVDC inverter station. Int. J. Electr. Power Energy Syst. 2022, 141, 108129. [Google Scholar]
  11. Salehi, M.; Namdari, F. Fault classification and faulted phase selection for transmission line using morphological edge detection filter. IET Gener. Transm. Distrib. 2018, 12, 1595–1605. [Google Scholar] [CrossRef]
  12. Aboelnaga, A.A.; Azzouz, M.A. Adaptive current-angle-based phase selection for microgrids with inverter-interfaced renewable energy sources. IEEE Transm. Smart Grid 2022, 13, 417–428. [Google Scholar] [CrossRef]
  13. Paladhi, S.; Pradhan, A.K. Adaptive fault type classification for transmission network connecting converter-interfaced renewable plants. IEEE Syst. J. 2021, 15, 4025–4036. [Google Scholar] [CrossRef]
  14. Huang, S.; Luo, L.; Cao, K. A novel method of ground fault phase selection in weak-infeed side. IEEE Trans. Power Deliv. 2014, 29, 2215–2222. [Google Scholar] [CrossRef]
  15. Xiao, F.; Liu, D.; Ji, X.; Cao, K.; Xiong, P. Study on a new fault phase selector in interconnection line with wind turbine based on doubly-fed induction generator’s wind farm. Energy Rep. 2022, 8, 412–425. [Google Scholar] [CrossRef]
  16. Xu, Z.; Lu, Y. A novel superimposed phase selection method for transmission line of DFIG-based wind farm. In Proceedings of the 2020 12th IEEE PES Asia-Pacific Power and Energy Engineering Conference, Nanjing, China, 20–23 September 2020; pp. 1–5. [Google Scholar]
  17. Zhang, J.; Zhang, B.; Wang, C. Improved schemes for traditional current-based phase selectors in wind power systems. IET Gener. Transm. Distrib. 2018, 12, 5781–5788. [Google Scholar] [CrossRef]
  18. Xu, K.; Zhang, Z.; Lai, Q.; Yin, X. Fault phase selection method applied to tie line of renewable energy power stations. IET Gener. Transm. Distrib. 2020, 14, 549–2557. [Google Scholar] [CrossRef]
  19. Azzouz, M.A.; Hooshyar, A. Dual current control of inverter-interfaced renewable energy sources for precise phase selection. IEEE Transm. Smart Grid 2019, 10, 5092–5102. [Google Scholar] [CrossRef]
  20. Chang, P.; Song, G.; Hou, J.; Xu, R. A novel voltage phase selector for inverter-interfaced system based on two-stage control strategy. Int. J. Electr. Power Energy Syst. 2021, 133, 107299. [Google Scholar] [CrossRef]
  21. Mu, D.; Lin, S.; Zhang, H.; Zheng, T. A novel fault identification method for HVDC converter station section based on energy relative entropy. IEEE Trans. Instrum. Meas. 2022, 71, 1–10. [Google Scholar] [CrossRef]
  22. Li, Y.; Lin, S.; Tian, R.; Lei, X.; Chen, Y. Pilot protection method based on S transform energy relative entropy for UHVDC line. In Proceedings of the 2018 2nd IEEE Conference on Energy Internet and Energy System Integration (EI2), Beijing, China, 20–22 October 2018; pp. 1–5. [Google Scholar]
  23. Lv, H.; Huang, C. Method of distribution network single-phase ground fault line selection based on relative entropy of discrete orthogonal S-transform energy. In Proceedings of the 2015 Seventh International Conference on Advanced Computational Intelligence (ICACI), Wuyi, China, 27–29 March 2015; pp. 245–250. [Google Scholar]
  24. Wang, C.; Chen, S.; Wu, X.; Ge, Y.; Kong, X.; Gao, S.; Zhou, J. Adaptability analysis of phase selection and directional components in wind power access system. Power Syst. Autom. 2016, 40, 89–95. [Google Scholar]
  25. Wang, C.; Song, G.; Shen, Q. Adaptability analysis for fault component protection under large scale wind power penetration. In Proceedings of the 12th IET International Conference on Developments in Power System Protection, Copenhagen, Denmark, 31 March–3 April 2014. [Google Scholar]
  26. Tang, C.; Lu, Y.; Huang, T. Analysis on transient equivalent circuit of doubly fed induction generator with crowbar protection. In Proceedings of the 2017 2nd International Conference on Power and Renewable Energy, Chengdu, China, 20–23 September 2017; pp. 208–213. [Google Scholar]
  27. Shu, H.; Peng, S. A fault line detection algorithm for distribution network of overhead line and underground cable mixed lines using S-transform energy from short window data. Trans. China Electrotech. Soc. 2009, 24, 152–159. [Google Scholar]
  28. Shu, H.; Peng, S. S-transform approach for detecting the single-phase fault feeder in distribution network. high voltage technology. High Volt. Eng. 2009, 35, 2963–2969. [Google Scholar]
  29. Sheng, X.; Wan, S.; Han, X.; He, Y.; Wang, X. Impact of actual wind speed distribution on the fault characteristic of DFIG rotor winding asymmetry. IEEE Trans. Instrum. Meas. 2022, 71, 1–14. [Google Scholar] [CrossRef]
  30. Bebars, A.D.; Eladl, A.A.; Abdulsalam, G.M.; Badran, E.A. Internal electrical fault detection techniques in DFIG-based wind turbines: A review. Prot. Control Mod. Power Syst. 2022, 7, 1–22. [Google Scholar] [CrossRef]
Disclaimer/Publisher’s Note: The statements, opinions and data contained in all publications are solely those of the individual author(s) and contributor(s) and not of MDPI and/or the editor(s). MDPI and/or the editor(s) disclaim responsibility for any injury to people or property resulting from any ideas, methods, instructions or products referred to in the content.

Article Metrics

Citations

Article Access Statistics

Multiple requests from the same IP address are counted as one view.