Next Article in Journal
Process Improvement and Economic and Environmental Evaluation of Bio-Hydrogenated Diesel Production from Refined Bleached Deodorized Palm Oil
Next Article in Special Issue
A Reconsideration of the Conventional Rule in Catalysis and the Consequences
Previous Article in Journal
Artificial Intelligence of Things (AIoT) Advances in Aquaculture: A Review
Previous Article in Special Issue
Utilization of Metal-Functionalized ZSM-5 for Methanol and Low-Carbon Hydrocarbon Coupling Aromatization
 
 
Font Type:
Arial Georgia Verdana
Font Size:
Aa Aa Aa
Line Spacing:
Column Width:
Background:
Article

3D Printed Ni–Cu Sodalite Catalysts for Sustainable γ-Valerolactone Production from Levulinic Acid—Effect of the Copper Content and the Method of Preparation

1
Institute of Organic Chemistry with Centre of Phytochemistry, Bulgarian Academy of Sciences, 1113 Sofia, Bulgaria
2
Department of Thermal and Nuclear Power Engineering, Technical University of Sofia, 8 Kl. Ohridsky Blvd., 1000 Sofia, Bulgaria
3
Institute of Polymers, Bulgarian Academy of Sciences, 1113 Sofia, Bulgaria
4
Institute of General and Inorganic Chemistry, Bulgarian Academy of Sciences, 1113 Sofia, Bulgaria
5
Institute of Catalysis, Bulgarian Academy of Sciences, 1113 Sofia, Bulgaria
6
Institute of Optical Materials and Technologies, Bulgarian Academy of Sciences, 1113 Sofia, Bulgaria
*
Author to whom correspondence should be addressed.
Processes 2025, 13(1), 72; https://doi.org/10.3390/pr13010072
Submission received: 20 November 2024 / Revised: 22 December 2024 / Accepted: 25 December 2024 / Published: 1 January 2025

Abstract

Coal fly ash zeolites with Sodalite structure were synthesized by ultrasound-assisted double stage fusion-hydrothermal synthesis. Monometallic Ni and bimetallic Ni–Cu supported catalysts with 5 wt.% Ni and different copper contents of 1.5, 2.5 and 5.0 wt.% Cu were prepared by post-synthesis incipient wetness impregnation. The catalysts were characterized by X-ray powder diffraction, N2 physisorption, transmission electron microscopy (TEM), Mössbauer spectroscopy and H2 temperature programmed reduction analysis. It was found that crystalline Cu0 and NixCuy intermetallic nanoparticles were formed in the reduced powder and 3D printed catalysts and that they affected the reducibility of the catalytically active nickel phase. Three-dimensionally printed 5Ni2.5Cu/Sodalite catalysts were prepared via modification with metals before and after 3D printing for comparative studies. The powder and 3D printed catalysts were studied in the lignocellulosic biomass-derived levulinic acid (LA) to γ-valerolactone (GVL). The formation of NiCu alloy, which is found on the powder and 3D printed catalysts, favors their catalytic performance in the studied reaction. In contrast with powder catalysts, the preservation of the Sodalite structure was detected for all 3D printed samples and was found to have a positive influence on the metal dispersion registered in the 3D spent catalysts. The powder 5Ni2.5Cu/Sodalite catalyst showed the highest LA conversion and high GVL yield at 150 °C reaction temperature. Three-dimensionally printed catalysts show more stable catalytic activity than powder catalysts due to the preservation of the zeolite structure and metal dispersion.

Graphical Abstract

1. Introduction

The growing demands of modern society for an increasingly high standard of living, together with intensive industrialization, have led to a high consumption of energy and natural resources. Consequentially, there are environmental problems related to climate change and the deterioration of atmospheric air quality, mainly due to the exacerbation of acid, greenhouse gas and fine particle emissions in the atmosphere; depletion of natural deposits of minerals and fossil fuels; disposal of waste on soil terrain; generation of polluted wastewater; and infiltration of toxic components into soils and groundwater [1,2,3]. The leading concepts in the transition to green energy are technologies for the production of green hydrogen and synthetic fuels (syngas) and the obtaining of fuels or their production precursors via chemical transformation of waste biomass [4,5,6,7]. Reducing the energy intensity of these processes to achieve economic and technological expediency, as well as ensuring a high degree of conversion of the raw material to fuels, requires the application of catalysts [8,9]. The most commonly applied method for synthesizing catalysts is by preparation of supports in the form of nanopowders and their further impregnation with metals/metal oxides [10]. However, in this way, the amount of deposited metals/metal oxides is significantly limited. This is due to the tendency of the thus deposited metal/metal oxide phase to agglomerate either in the pretreatment or during the catalytic process, which is one of the obstacles for controlling the catalytic activity in large number of catalytic systems [11]. Another key issue in the development of catalysts is the requirement that they be relatively cheap and available. A new and promising approach to obtaining economically profitable catalysts with preservation of natural resources is through the utilization of suitable industrial wastes [12]. Coal combustion fly ash is a huge raw material resource, the annual world production of which is about 25.5 million tons, and its utilization via conversion into zeolites that can be used as the main component in adsorbents and catalysts is a promising approach by which to solve the problem of its disposal, a problem that carries serious environmental risk [13].
Three-dimensional printing techniques are making great progress in the reliable fabrication of efficient catalysts with complex structures; however, they encounter many difficulties that limit their widespread application, mainly due to the lack of printing materials that are catalytically active and can retain their activity after 3D printing [14,15]. There is still a gap of fundamental knowledge regarding the influence of the macroscale geometry of catalysts, viewed as an array of catalytic sites, on controlling the overall efficiency of the catalytic process, as research is mainly conducted at the nanoscale and on non-structured systems [16]. The focus in the development of 3D printed materials is largely on the production of materials with defined structure and mechanical properties, and there is still a lack of systematic research in the field of functional materials, especially ceramic and hybrid materials with predefined chemical properties [17,18]. Problems with 3D printed catalysts are related to the lack of systematic knowledge about the rheological characteristics of the materials used for the 3D printing of catalysts; the limited number of printing materials that are catalytically active and can retain their activity after 3D printing; and the lack of fundamental knowledge about the influence of the macro-scale geometry of the catalysts to control the efficiency of the catalytic process.
To obtain metal/metal oxide-modified catalysts, the most commonly used techniques thus far are impregnation, direct synthesis, ion exchange, etc., each of which have a number of disadvantages, such as easy leaching during the catalytic process, low concentration of the supported phase, agglomeration, etc. The use of 3D printing would allow a very precise control of the localization of the active centers, achieving higher concentrations of the active phase, as well as an optimal ratio between active centers of different characters when the chemical process requires it [19]. The most commonly used method for printing ceramic materials is direct extrusion [20]. The design of a 3D printed catalyst involves engineering design and the creation of a digital model of the structures through the appropriate software [21]. Recently published developments in the three-dimensional printing of porous materials, including zeolites, silicoaluminophosphates, aluminosilicas, and metal–organic frameworks [22,23,24,25,26], demonstrate the great potential to obtain new materials with tunable structures and the physicochemical and mechanical properties for a wide range of catalytic applications. An important characteristic of catalysts based on zeolites and other porous materials modified with metals/metal oxides is the distribution and localization of the latter in the support matrix [27,28]. Metals can be incorporated into the matrix itself or deposited into the pores of the material as finely dispersed particles or aggregated as separate metal-oxide phases. Among the advantages of producing catalysts by 3D printing is that the path from laboratory research to practical applications can be significantly shortened. One of the most promising approaches to obtain a 3D printed catalytic structure is by direct extrusion of concentrated colloidal suspensions comprising a binder organic material and a powdered catalytic component [22,29,30,31,32].
The development of efficient catalysts expands the possibilities of using alternative sources for the production of chemicals for industry and synthetic fuels, the need for which is growing more and more due to the depletion of fossil raw materials and the higher environmental requirements for energy production [33,34]. Among the many products obtained from the processing of lignocellulosic biomass, levulinic acid is an extremely important and easy-to-obtain product of industrial importance. Levulinic acid (LA) can be easily obtained by the acid treatment of cellulose or C6 sugars involving the production of hydroxymethylfurfural as an intermediate or by the acid treatment of hemicellulose or C5 sugars with production of furfural as an intermediate [35]. The preparation of chemicals and fuels by sequential reactions of catalytic hydrogenation and dehydration of LA to γ-valerolactone (GVL), which in subsequent hydrogenation can be converted to other valuable chemicals, such as 1,4-pentanediol, 2-methyltetrahydrofuran and pentanoic acid is a promising approach [36]. The reasonable hydrogenation ability of Cu-based catalysts in the conversion of LA to GVL has, however, been reported to be hampered by rapid deactivation due to Cu leaching [37]. Nickel catalysts based on different supports, such as γ-Al2O3, silica, MgO or H-ZSM-5, are active in the hydrogenation reaction of LA [38], even while they are more thermally stable and efficient. However, a high Ni content (30–47 wt%) is usually used [39,40], causing nickel agglomeration [37]. Modification with MoOx leads to an increase in the activity of the Ni/C catalyst [41]. Ni and Cu supported on γ-Al2O3 is a catalyst with high selectivity for the preparation of 2-methyltetrahydrofuran (80% selectivity) using propanol as a solvent at 250 °C and 40 bar [42]. Cu-supported catalysts are active in hydrogenation reactions, but the addition of a second metal can improve the stable metal dispersion during the catalytic process [43,44,45,46]. No studies of 3D printed catalytic structures for the selective conversion of LA to GVL to prevent agglomeration and leaching of catalytic centers have been found in the scientific literature. Overall, a significant gap in the knowledge of 3D printed catalysts is their applicability to testing in specific processes, with most studies limited to the possibilities of their structuring.
In a number of our previous studies, coal fly ash zeolites (CFAZ) have been found to exhibit high catalytic activity towards the oxidation of volatile organic compounds, which can be enhanced by modification [47,48]. The excellent catalytic performance of these self-organized catalytic systems, in which the support is the zeolite structure and the active centers are incorporated metals and metal oxides, is a prerequisite to expect even higher catalytic activity and wider applicability of these catalysts through their 3D structuring. This will contribute to the development of efficient and cost-effective catalytic systems through waste recovery and natural resource preservation in the context of the modern circular economy. The development of 3D printed catalysts supported by CFAZ is an absolute novelty in research into the application possibilities of this relatively new class of materials, one which may lead to promising new opportunities for their advanced use. There is a lack of research on the possibilities of obtaining 3D printed catalytic structures with active components obtained by utilizing industrial waste and fuel combustion waste or on the development of highly active 3D catalysts with good mechanical properties. In addition, the present study will contribute to a better knowledge of the optimal rheology for printing 3D catalysts by direct extrusion and will answer questions regarding the possibilities of 3D structuring of CFAZ and the stability of their catalytic activity and on the involvement of techniques of impregnation and macrostructure on the catalytic behavior of 3D samples. The hydrogenation of levulinic acid to γ-valerolactone using a 3D printed catalyst obtained from printing mixtures with environmentally friendly plasticizers and a catalytic support obtained by utilizing aluminosilicate waste will improve not only the economic effect, but also the ecology of the LVA-to-GVL conversion process. Three-dimensional printing precisely controls the macrostructure of the catalyst, making it possible to easily produce more complex macrostructures, and from there to provide more precise control of the mass and heat transfer in the catalytic layers. Due to the flexibility in catalyst design, 3D additive manufacturing could be suitable for different reactor scales, and for the development of integrated reactor–catalyst flow distribution systems. Better synergy between the catalytic centers and the catalytic carrier is expected for 3D catalytic structures, especially in the construction of bimetallic catalysts, which is of utmost importance to prevent the leaching of metal particles and to maintain the activity of the catalysts in repeated catalytic cycles. To date, studies on the catalytic hydrogenation of LA to GVL show a higher degree of conversion and selectivity to GVL on bimetallic catalysts compared with monometallic ones, as well as better resistance to deactivation. Additionally, 3D printing allows for the better reliability of system designs from their prototyping, laboratory and pilot testing to full scale.
In the present study, Ni- and Cu-containing Sodalite catalysts were prepared by post synthesis technique using coal fly ash for the synthesis of Sodalite. The obtained catalysts were studied in hydrogenation of levulinic acid to γ-valerolactone. A 3D printing technique was used for synthesis of the catalyst with the optimal Ni–Cu content. The benefit of the 3D technique on the preservation of the catalysts’ properties during the catalytic reaction was demonstrated.

2. Materials and Methods

2.1. Materials

The reagent used for the preparation of the coal fly ash zeolite is sodium hydroxide (NaOH, Sigma, St. Louis, MO, USA). Levulinic acid (98%), methyl cellulose and nanoclay, hydrophilic bentonite were purchased from Sigma-Aldrich (Burlington, MA, USA) and were used as received. Levulinic acid (98%, Sigma-Aldrich, Burlington, MA, USA) was used without further purification. The modification of zeolites was performed with copper nitrate (Cu(NO3)2·6H2O), Sigma-Aldrich, Burlington, MA, USA) and nickel nitrate (Ni(NO3)2·6H2O, Sigma-Aldrich, Burlington, MA, USA).

2.2. Synthesis of Sodalite Zeolite

The coal fly ash (CFA) used as a raw material for the synthesis of Sodalite zeolite was sampled from one of the largest coal-fired power plants in the Republic of Bulgaria, TPP “AES Galabovo” supplied with lignite coal from the “East Maritza” coalfield. CFA used as a raw material in this study is a high silicate of class F according to the international standards [49]. Its composition has been studied in detail in our previous publications [50]. Coal fly ash zeolites (CFAZ) were synthesized by ultrasonically assisted double stage fusion-hydrothermal synthesis. Mixtures of coal ash and alkaline activator sodium hydroxide (NaOH) in a weight ratio of 5 CFA/8 NaOH were fused in nickel crucibles for 1 h at 550 °C. After cooling, the resulting cooled charges were ground and dissolved in distilled water, ultrasonically homogenized for 15 min and, after aging the suspensions for 24 h at room conditions, were subjected to hydrothermal synthesis in reactors of stainless steel with a Teflon inner pot for 8 h at 160 °C. To preserve the alkalinity while increasing the concentration of Na+-ions, a neutral sodium salt NaCl (5CFA/8NaOH/2NaCl) was added in the reaction suspensions prior to their ultrasonic treatment. After the synthesis, the powdered products were removed by filtration, washed with distilled water to neutral pH and dried at 105 °C.

2.3. Impregnation with Ni and Cu Nanoparticles of Sodalite Zeolite

An impregnation technique was applied for the preparation of monometallic catalyst (5.0 wt.% Ni) and bimetallic catalysts for loading of 5 wt.% Ni and 1.5, 2.5 or 5.0 wt.%, copper. The zeolite supports were dehydrated at 160 °C for 2 h before the impregnation procedure.
Monometallic Ni-modified Sodalite was prepared by the following procedure: 0.2608 g Ni(NO3)2·6H2O was dissolved in 2 mL distilled water and added simultaneously to 1 g of each support material. Then, the samples were homogenized in a mortar and allowed to dry at room temperature for 24 h. The metal salts were decomposed by calcination at 400 °C for 4 h, with a 3 °C per minute heating rate. The final catalysts were denoted as 5Ni/Sodalite.
The bimetallic NiCu-modified samples were prepared via the following procedure: 0.2608 g Ni(NO3)2·6H2O and 0.0579/0.0975/0.2001 g Cu(NO3)2·3H2O were dissolved in 2 mL distilled water and added simultaneously to 1 g of each support material. Then, the samples were homogenized in a mortar and allowed to dry at room temperature for 24 h. The metal salts were decomposed by calcination at 400 °C for 4 h, with a 3 °C per minute heating rate. The final catalysts were denoted as 5Ni1.5Cu/Sodalite, 5Ni2.5Cu/Sodalite and 5Ni5Cu/Sodalite.

2.4. Design of 3D Model of the Catalysts

A model was designed, with a cylindrical shape, representing concentric circles, clamped with vertical and horizontal support elements. The model has an outer diameter of 42 mm, with an inner opening of 12 mm diameter and 5 mm thickness. The holes in the model are arcs with a width of 3 mm and a thickness of 5 mm. The model thus designed has the following characteristics: a total external area of 3707.85 mm2 and an internal free volume of 3782.33 mm3. CAD software version Autodesk FUSION was used for 3D modeling. The designed shape and the catalyst element dimensions are presented in Figure 1.

2.5. Preparing to Print a 3D Model

Before sending the model to the 3D printer, it is necessary to convert it into a so-called G-code. G-code (also RS-274) is the most widely used computer numerical control (CNC) and 3D printing programming language. It is mainly used in CAM to control automated machine tools, as well as for 3D printer fabrication applications. For the production of the designed 3D model, it is necessary to transform the file created in the CAD environment into G-code. A suitable software product called slicer is used. In our case, this was the software product SIMPLIFY 3D ver. 5.1.2. The steps to create G-code are as follows: Import the 3D model (.STL extension file) into the SIMPLIFY 3D software environment; set the parameters of the 3D printer with which the product will be produced; set the nozzle used by the 3D printer, as well as the thickness of the filament. The image of the imported 3D model into SIMPLIFY 3D software is presented in Figure 2a. After setting the parameters of the 3D printer with which the catalytic element will be produced, the G code of the printing object is created by providing information about the volume of the printing slurry required for the respective nozzle, total volume of the part, dimensions in three planes, number of patterns, printing layers, etc. The generated G-code (Figure 2b) is transferred to the 3D printer driving software.

2.6. Preparation of Zeolite Suspension

The zeolite suspension was prepared from 15.40 g sodalite zeolite powders, 1.7607 g bentonite nanoclay as a binder and 0.4415 g methyl cellulose as a plasticizing organic binder. The desired amounts of compounds zeolite, bentonite nanoclay and methyl cellulose at a weight ratio of 87.5:10:2.5 (w/w) are mixed using an IKA RW20 mixer (IKA-Werke GmbH & Co., 79219 Staufen, Germany) at 250 rpm until a homogeneous powder mixture was obtained. In order to obtain a homogeneous aqueous paste with suitable viscosity for 3D printing, 28.7 g deionized (DI) water was added gradually and mixed, using the THINKY Mixer ARE-250. The suspension was degassed in a planetary centrifugal mixer for 2 min at 1000 rpm to remove foam (>1 μm), then mixed at 2000 rpm for 5 min. The temperature rises during mixing, so the resulting paste must be tempered at room temperature before it can be used for 3D printing.

2.7. Three-Dimensional Printing of Catalysts via Ink Extrusion

The printing was performed with a 3D printer Lynxter S600D (Lynxter, Bayonne, France) equipped with an extruder toolhead Pass 11. The 3D printer Lynxter S600D is an open setup allows to print own developed inks of a diverse range of materials. The device is with a closed chamber heated up to 80 °C with a build volume of 390 × 600 mm, maximal toolhead moving speed 500 mm/s. The minimal layer height is 0.05 mm, X, Y, Z resolution is 0.02 mm.
The 3D printing conditions of the 3D catalytic element were printing time 12 min, material volume 3783 mm3, and a build of 8 layers. The printing speed applied for the sample is 2100 mm/min, a nozzle with 1.04 mm in diameter was used, and extrusion width was 0.86 mm.
Two different approaches were used for the preparation of 3D printed catalysts. In the first approach, metal modification of the initial sodalite zeolite was performed and after that we prepared suspension and 3D printing. The second approach includes 3D printing of the initial zeolite and, after that, modification with metal precursors was applied. The printing procedure is demonstrated in Figure 3.

2.8. Characterization

X-ray powder diffraction patterns (XRPD) were recorded by a Bruker D8 Advance diffractometer (Bruker AXS GmbH, Karlsruhe, Germany) with Cu Kα radiation and a LynxEye detector of 5–80 °2θ with a constant step of 0.02 °2θ. Crystallite sizes of the metal oxides were determined by the Sherrer equation evaluating the FWMH values of the oxide phases with full profile fitting method. For identification of zeolite and metal/metal oxide phases the following cards were used from the ICDD PDF2 database: NaX: 00-072-2422; NaSOD: 00-037-0476; NaP1: 00-039-0219; Phillipsite: 00-047-0751; Ni0: 00-004-0852; Cu0: 00-004-0836; NixCuy: 00-066-0202; NiFe2O4: 00-044-0485.
Specific surface area and pore volume of the samples were determined from N2 physisorption isotherms collected at −196 °C using AUTOSORB iQ-C-MP-AG-AG (Quantachrome Instruments, Anton Paar brand, Boynton Beach, FL, USA). Samples were pretreated at 350 °C in vacuum before nitrogen adsorption. Total pore volume was determined according to the Gurvich rule at relative pressure of 0.9.
The temperature-programmed reduction-thermogravimetric analysis (TPR-TGA) investigations were performed by an STA449F5 Jupiter type instrument of NETZSCH Gerätebau GmbH (Netzsch, Germany). In a typical measurement 20 mg of sample was placed in a microbalance crucible and heated in a flow of 5 vol. % H2 in Ar (100 cm3/min) up to 500 °C at a rate of 5 °C/min and a final hold-up of 1 h. Prior to the TPR experiments the samples were treated in situ at 500 °C in air flow (10 °C/min) for 1 h.
The Mössbauer spectra were recorded by a Wissel (Wissenschaftliche Elektronik GmbH, Starnberg, Germany) electromechanical spectrometer, working in a constant acceleration mode. A 57Co/Rh (activity ≈ 10 mCi) source and the α Fe standard were used. The spectra were fitted using software WinNormos-for-Igor6 (Version 6.0).
Transmission electron microscopy (TEM) was performed on transmission electron microscope JEOL JEM 2100 (JEOL Ltd., Tokyo, Japan), working at a 200 kV accelerating voltage. The particle morphology was visualized in bright field TEM (BF TEM) mode and the phase composition of the samples was determined by selected area electron diffraction and high resolution TEM modes. The crystallography open database (COD) and the Match Software 3.13 Version (Crystal Impact, GbR, Bonn, Germany) were used for the phase composition identification.

2.9. Catalytic Experiment

Prior to the catalytic tests, the samples were pretreated for 2 h in a 50 mL per minute Ar/H2 flow (5% hydrogen) at 550 °C. In a typical catalytic experiment, a 100 mL stainless-steel reactor (Büchi AG/Switzerland) was charged with 20 mL 0.2 M aqueous solution of levulinic acid (Sigma-Aldrich, 98%), and 0.2 g powder catalyst. The reactor was fed with 30 bars of hydrogen, heated under stirring at 600 rpm to the reaction temperature of 150 °C and the reaction proceeded for 4 h. The reaction products were analyzed using Bruker NEO 400 (1H working frequency 400.1 MHz) spectrophotometer, equipped with 5 mm iProbe BBFO BBF/1H (Smart Probe) at 298 K. Quantitative data were obtained using 1H experiments with 30° flip angle and 10 s. relaxation delay.

3. Results and Discussion

Sodalite-type zeolite was synthesized from coal fly ash raw materials by ultrasonically assisted hydrothermal syntheses by applying a NaOH/CFA ratio of 5/8/2 NaCl, with a fusion temperature of 550 °C, 15 min ultrasonic homogenization, and a 160 °C hydrothermal treatment for 8 h. The obtained catalytic supports were modified post-synthesis by wet impregnation with Ni and Cu salts followed by their thermal reduction to metals loading 5 wt.% Ni and different amounts of Cu (1.5, 2.5 and 5.0 wt.%).
XRPD patterns of the reduced catalysts are shown in Figure 4, and the determined crystalline phases with their crystallite size are summarized in Table 1. All of the catalysts showed the formation of the crystalline sodalite phase.
Metallic Ni is observed only in the 5Ni/sodalite sample. A Ni–Cu alloy phase (Ni1−xCux) is obtained for all of the samples containing Cu. The unit cell parameter of this phase appears to be intermediate between that of Ni (3.54 Å) and Cu (3.615 Å) and varies with the Ni/Cu ratio, which indicates that its composition changes with the change of the Ni/Cu ratio. According to Vegard’s law [51], the x values for this alloy are 0.25, 0.19, and 0.40, respectively, for 5/1.5, 5/2.5, and 5/5 Ni/Cu ratios. The amount of Ni–Cu phase is within the range of 18–24% (5Ni1.5Cu/Sodalite—18%; 5Ni2.5Cu/Sodalite—24% and 5Ni5Cu/sodalite—20%) and its crystallite size is small—about 9–14 nm. Additional small quantities of metallic copper and iron phases, with a relatively higher crystallite size (25–33 nm, and 23–39 nm, respectively), are observed in the XRPD patterns of the samples with copper content above 2.5%. The formation of a very small amount of spinel-type ferrite (NiFe2O4, or (Ni,Cu)Fe2O4) was also detected in the samples. This points to the fact that the iron content of the catalysts can also interact with the impregnating metals, which can influence the catalytic activity.
Nitrogen physisorption isotherms are shown in Figure 5. The initial zeolite shows type I isotherms typical for zeolites with steep rising at low relative pressures. The samples also show some mesoporous characters, with a type H3 hysteresis loop. The latter hysteresis loop is characteristic of agglomerated nanoparticles with wide pore size distribution. The relatively low micropore volume of the initial sodalite zeolite can be explained by the occupation of cationic positions in zeolites by different metal ions, originating from the raw coal fly ash, making the pores inaccessible for nitrogen. Impregnation with metals was found to result in further decrease of surface area.
TPR–DTG curves of the initial sodalite zeolites and its NiCu-containing analogues are presented in Figure 6. The parent zeolite shows one intensive peak at 540 °C, which can be due to the reduction of Fe3+/Fe2+ species and finely dispersed Fe2O3 nanoparticles to a metallic state. The presence of iron in the obtained sodalite originates from the fly ash used as a raw material for zeolite synthesis. The modification with Ni resulted in the shift of the reduction peak to higher reduction temperature (585 °C) and the appearance of a low intensive peak at 430 °C. The high temperature peak is associated with the reduction of iron species, as was shown for the initial zeolites, whereas the low temperature peak is associated with the reduction of NiO nanoparticles to metallic nickel, as confirmed by XRPD. The TPR properties of the NiCu-modified zeolites are characterized by two intensive reduction peaks, one at 270–330 °C and the other at 560–585 °C. The lower temperature step can be associated predominantly with the reduction of the CuO and NiO nanoparticles which are formed on the external surface of zeolite. The increase of Cu amount from 1.5 wt.% to 2.5 wt.% leads to a higher intensity of the low reduction peak and its shift to a lower temperature (from 330 °C to 295 °C), but a further increase of copper amount, to 5 wt.%, results in a decrease of the intensity of the low-temperature reduction peak and its further shift to a lower temperature (270 °C). The extent of reduction was calculated only taking into account the amount of the loaded metals (nickel and copper), while the weight loss of the initial sodalite material was subtracted according to each metal modified sample.
According to the literature, separate NiO species can be reduced at the 400–500 °C interval, even above 500 °C, at which point they interact strongly with the support [52]. The decrease of reduction temperature of NiCu/sodalite zeolites (330 °C for 5Ni1.5Cu/sodalite, 295 °C for 5Ni2.5Cu/sodalite and 270 °C for 5Ni5Cu/sodalite) with an increase of the copper content (from 1.5 to 5 wt.%) may result from the formation of an intermetallic compound, as evidenced by the XRPD results [46]. The calculated extent of reduction (Table 2) shows the highest value of 94% for 5Ni2.5Cu/sodalite in comparison with the monometallic 5Ni/sodalite (72%) and bimetallic 5Ni1.5Cu/sodalite and 5Ni5Cu/sodalite (69% and 77%, respectively). The 2.5 wt.% Cu concentration is optimal for the formation of fine copper particles, as evidenced by XRPD and for the highest reducibility of the obtained catalyst.
Mössbauer spectroscopy was applied in order to determine the oxidation state and coordination of iron in the zeolite matrix of the initial sodalite and NiCu-modified sodalite catalysts. The obtained spectra are presented in Figure 7, and the collected parameters, such as isomer shift (δ), quadruple splitting (Δ), quadruple shift (2ε), hyperfine magnetic field (Bhf), line width (Γexp) and relative weight of each component (G), are summarized in Table 3.
In the Mössbauer spectrum of sodalite, a doublet and a sextet with very broad lines are registered. These are characteristic of a Fe3+ phase and a spinel ferrite phase (e.g., maghemite, γ-Fe2O3), with a defected structure due to small crystallite size and/or due to substituting cations, respectively. The Mössbauer spectra of nickel- and copper-modified samples contain several other components when compared with the initial zeolite. Doublets of ionic iron species are also present as a hardly reducible lattice ion in zeolites (Db1, -Fe3+). Iron appears in two crystalline forms, as a sextet for α-Fe0 (bcc) and a singlet for γ-Fe0 (fcc) in various ratios. The appearance of a second sextet (Sx2), characterized by wider lines and lower internal magnetic field, indicates the presence of another metal, probably nickel in the close vicinity of iron [53]. Additional components of incompletely reduced iron oxides, such as magnetite and wustite, are also present in the spectrum of the sample 5Ni5Cu/sodalite, which is in good agreement with TPR data showing lower reduction extent for it (77%) in comparison with 5Ni2.5Cu/sodalite (94%).
The catalytic activity of the bimetallic zeolites was studied in hydrogenation of LA to GVL at 150 °C reaction temperature and the results are presented in Table 4. The main detected products are GVL and 4-hydroxy pentanoic acid (4-HPA). Monometallic 5Ni/sodalite shows a 37% conversion of LA, with a 31% yield of GVL. By addition of 1.5 wt.% Cu in 5Ni/sodalite, the conversion of LA is even lower (23%). Further increase of the copper content to 5 wt.% Ni (5Ni1.5Cu/Sodalite) leads to a significant increase of the LA conversion to 72% for 5Ni2.5Cu/sodalite, followed by a decrease when the amount of copper is 5 wt.% (33% LA conversion for 5Ni5Cu/sodalite). The reaction proceeds through the hydrogenation of LA, which leads to the formation of 4-hydroxyvaleric acid, followed by an intramolecular esterification and GVL formation. The hydrogenation pathway of LA to GVL is thermodynamically preferred at low temperature [54]. Two different sites are important for the catalytic reaction—metallic active sites for hydrogenation and acid sites for dehydration and their concentration—with the strength and the balance predetermining the catalyst performance. The presence of a NiCu alloy phase can favor the dissociative adsorption of hydrogen, which is important for the catalytic process [55]. However, the repeated catalytic experiment with regenerated 5Ni2.5C/sodalite shows a significant decrease in the catalytic activity. The observed effect is due to the leaching of active phase in the severe reaction conditions: high temperature and pressure and water solvent.
In order to better understand the role of the active sites the spent catalysts were characterized by XRPD (Figure 8). The observed metal phases and their crystalline size are summarized in Table 5. In contrast with the reduced samples, the XRPD patterns of the spent samples show the absence of sodalite peaks and the presence of a well-pronounced amorphous hump at about 25 °2θ. The impregnating phases remain almost the same with only one exception—the appearance of the Cu2O phase. For the 5Ni/sodalite sample, the crystalline phases observed are Ni0, Fe0, and spinel NiFe2O4. The Ni–Cu alloy phase (Ni1−xCux) is presented for all copper-containing samples. The unit cell parameters of this phase are smaller than the corresponding parameters of the sample after reduction, implying that the x values for this alloy are 0.16, 0.18, and 0.36, respectively, for 5/1.5, 5/2.5, and 5/5 Ni/Cu ratios. This fact can be explained by the presence of the additional Cu2O in the samples. The amount of Ni–Cu phase in the all-spent catalysts is within the range of 11–24% and their crystallite sizes are of a small increase (about 11–14 nm) in comparison with that of the fresh catalysts. The Cu0 and Fe0 phases show high crystallinity, with sizes within the ranges of 60–100 nm and 14–75 nm, respectively. The quantity and the crystallite size of the spinel phase are higher than those of the reduced samples.
Transmission electron microscopy was used to follow the morphology and microstructure of the powder catalysts, both after reduction and after the catalytic reaction of conversion of LA to GVL. Figure 6 presents the bright field TEM (BF TEM) images and selected area electron diffraction (SAED) patterns for the catalyst with the composition 5Ni2.5Cu/sodalite, demonstrating the best catalytic performance in this reaction. It is clearly seen that nanoparticles with sizes from 4 to 40 nanometers formed on the surface of the zeolite carrier in both the reduced and spent catalysts. This is possible due to the difference in the electronic contrast of the two materials—the metal in the nanoparticles (Ni, Cu) and the support made of sodalite with the relatively lighter elements in its composition (Al, Na, Si). The formation of facets in some metal nanoparticles is observed, revealing their good crystallization, also manifested in the appearance of single reflections in the polycrystalline diffraction patterns. This process is probably helped by the relatively high temperature during the thermal reduction, when some of the metal nanoparticles have fused into larger and more well-shaped crystallites. The support after the reduction shows a well-preserved homogeneous structure (Figure 9a), but after the catalytic reaction of LA conversion, it is partially destroyed and acquires a granular morphology (Figure 9d).
Regarding the phase composition of the powder catalyst, the indexing of the diffraction patterns and HRTEM revealed the formation of several phases: Cu–Ni alloy (COD entry #96-152-4233), Cu0 (COD entry #96-151-2505) and Cu2O (COD entry #96- 900-7498), a result that is consistent with the X-ray diffraction analysis of the powder samples. The reflections located in the space between the central spot, covered by the bar, and the first marked circle in the diffraction pattern of the reduced catalyst correspond with the interplanar distances of sodalite (COD entry #96-901-3321), which are d121 = 3.6255 Å and d301 = 2.8083 Å. These are not present in the diffraction pattern of the spent catalyst, which also confirms the significant destruction of the sodalite support during the catalytic process, in agreement with the XRPD results.
The difference in the size of the nanoparticles in the reduced and spent samples (Figure 9a,d) may be due to some local differences in the phase composition, which can be seen from the corresponding SAED patterns; however, in general, the average size of the diameter of the metal nanoparticles after reduction (20.9 nm) and after catalysis (20.4 nm) remains almost unchanged, as shown by the distribution of the nanoparticles by their size on both histograms.
The Mössbauer spectroscopic results for the used catalyst (Figure S1, Table S1) revealed some oxidation of the iron content during the reaction, as evidenced by the disappearance of sextets characteristic of zero-valent iron and the increased amount of Fe3+ and Fe2+ (Db1 and Db2) species. Additionally, new sextets appeared, with parameters typical of magnetite (Fe3O4, Sx1 and Sx2). These results support the rearrangement of metallic species and their partial oxidation during the catalytic run, consistent with the XRPD patterns of spent catalysts.
We obtained 3D printed 5Ni2.5Cu/sodalite via two approaches (Figure 10). In the first of these, the suspension for printing contains sodalite, bentonite nanoclay, methyl cellulose and the metals precursors (NiCu/sodalite-3D1). After 3D printing, the material was calcined at 400 °C and reduced at 550 °C (Figure 6). In the second approach, the suspension for printing, containing sodalite, bentonite nanoclay and methyl cellulose, was printed. In the latter case, after preparation of 3D printed material, it was modified by metal precursors followed by calcination at 400 °C and reduction at 550 °C (NiCu/sodalite-3D2) or calcined at 400 °C followed by impregnation with metal salts, calcination at 400 °C and reduction at 550 °C (NiCu/sodalite-3D3) (Figure 10).
The results from the hydrogenation of LA in the presence of 3D printed catalysts are presented in Table 4. The applied approaches for the preparation of 3D printed catalysts resulted in similar catalytic activity (15.4–21.0%) and similar selectivity in LA hydrogenation to GVL (86–90%). The lower activity of the 3D printed catalysts in comparison with the powder catalysts could be explained by the applied reaction parameters in which the accessible surface of the catalysts is much lower (0.0027 m2/17.96 g suspension) for the 3D printed catalyst in comparison with the powder catalyst (27 m2/g). The NiCu/sodalite-3D1 and NiCu/sodalite-3D2 catalysts were regenerated and studied in the catalytic reaction. A smaller decrease in the catalytic activity was registered for the regenerated NiCu/sodalite-3D1 (20%) in comparison with the fresh catalyst in comparison with the registered decrease in the activity for the regenerated NiCu/sodalite-3D2 (40%). The leaching of the catalytically active phase is the reason for the observed decrease of activity.
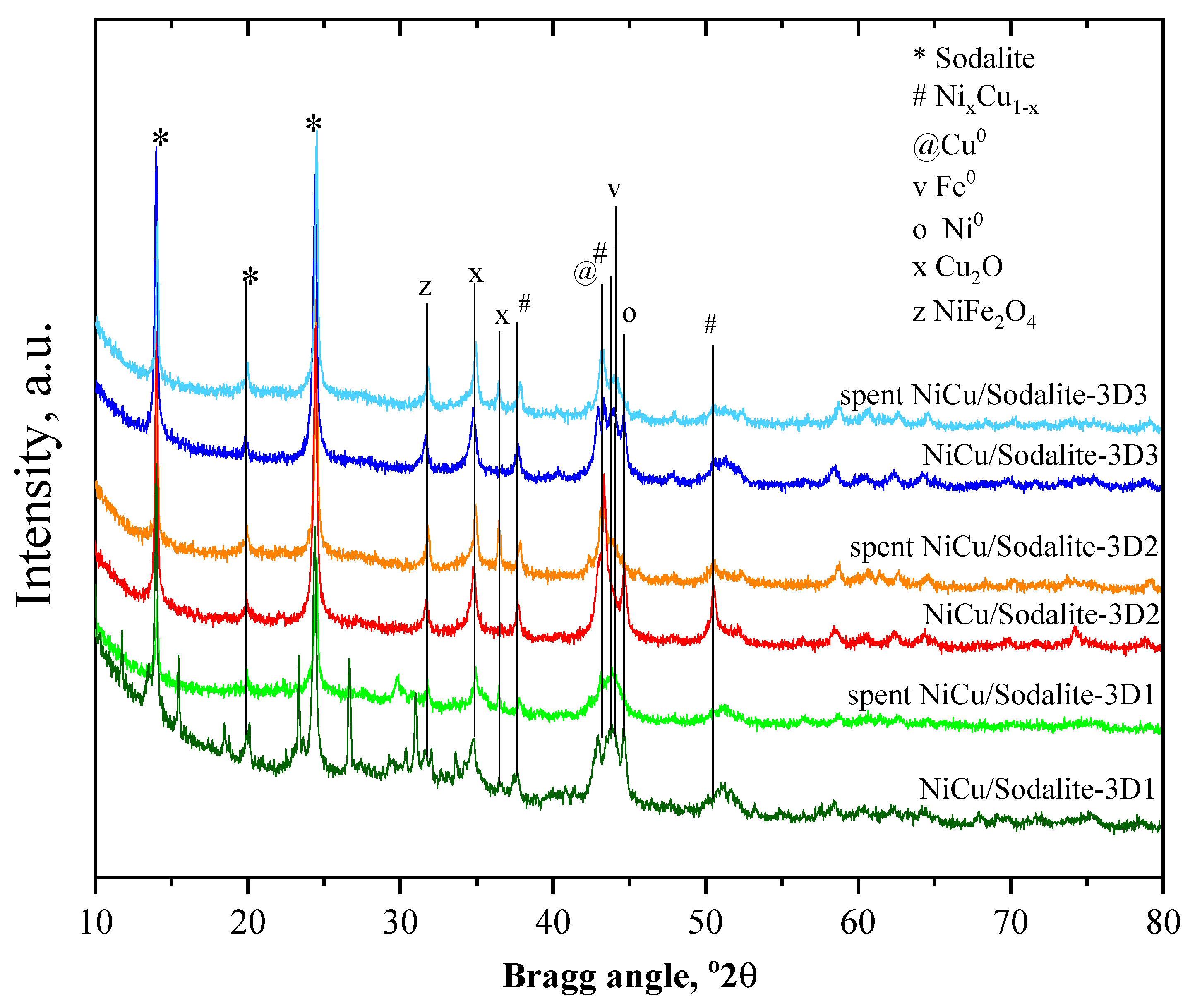
XRPD patterns of the fresh and spent 3D printed catalysts are shown in Figure 11, and the determined crystalline phases with their crystallite size are summarized in Table 6. In contrast with the powder spent catalysts all of the spent 3D printed catalysts showed preservation of the crystalline sodalite phase during the catalytic process.
Metallic Ni is not observed in the fresh and the spent 3D printed catalysts. A Ni–Cu alloy phase (Ni1−xCux) is detected in the powder diffraction patterns of all 3D printed samples. According to Vegard’s law [51], the x values for this alloy are 0.57, 0.69, and 0.52, respectively, for samples 1, 2, and 3, indicating a relatively high Cu content. The amount of the Ni–Cu phase is within the range of 12–21% and their crystallite sizes are about 7–10 nm. Additional small quantities of metallic copper and iron phases (between 1 and 6% in different samples), with a relatively higher crystallite size (42 nm for Cu, and 47–67 nm for Fe), are observed in the XRPD patterns of all reduced samples. Oxide-containing phases are not detected for these samples. In contrast with the fresh 3D printed catalysts, the XRPD patterns of the spent catalysts show practically the absence of iron since its content is evaluated at less than 1%. The impregnating phases are NiCu, Cu, and Cu2O. The observed unit cell parameter of the Ni–Cu alloy phase (Ni1−xCux) suggests high copper content in it. The amount of the Ni–Cu phase is within the range of 13–24% (NiCu/sodalite-3D1—13%, NiCu/sodalite-3D2—13%, NiCu/sodalite-3D3—24%) from the total metal content and its crystallite size is small—about 7–9 nm, i.e., slightly lower than those observed for the corresponding reduced samples. The Cu0 and Cu2O phases show high crystallinity with sizes within the range of 64–74 nm, and 35–46 nm, respectively. In conclusion we can say that, via 3D printing, we can preserve the zeolite phase and also the fine dispersion of metal phase formed on the zeolite.
This fact is confirmed by the performed TEM of the 3D printed samples. From the BF TEM images presented in Figure 12 for two of the printed samples, 3D1 and 3D2, the fine dispersion of the metal nanoparticles in the matrix, consisting of sodalite support and additives for 3D printing, is illustrated. This is preserved even after the catalytic process of LA conversion. Comparison with the BF TEM images of the powder samples (Figure 9a,d) reveals the role of the 3D printing process of the catalytic material in preventing the coalescence of the metal nanoparticles and preserving their smaller sizes. While in the powder samples the average value of the nanoparticles is of the order of 20 nm, in the 3D printed catalysts the size of the nanoparticles embedded in a matrix is kept in the range of 7–11 nm. SAED and HRTEM analysis of 3D printed samples demonstrates the presence of Cu–Ni alloy (COD entry #96-152-4233), Cu0 (COD entry #96-151-2505) and Cu2O (COD entry #96-900-7498), as well as spinel NiFe2O4 phase (COD entry # 96-591-0065), showing that the phase composition is similar to that found in the powder samples and by the X-ray diffraction for the 3D printed catalysts.
The TPR data for the 3D printed catalysts are presented in Figure 13. NiCu/Sodalite-3D2 and NiCu/sodalite-3D3 show similar TPR profiles to the powder 5Ni2.5Cu/sodalite catalyst with two well-pronounced reduction steps with similar ratios, but shifted to a higher reduction temperature in comparison with its powder analog. The presence of a low temperature peak at 400 °C and a high temperature peak at 540 °C were registered. These are associated predominantly with the reduction of CuO and NiO nanoparticles, which are formed on the external surface of zeolite, and to the reduction of Fe3+/Fe2+ species and finely dispersed Fe2O3 nanoparticles to the metallic state, respectively. NiCu/Sodalite-3D1 is characterized by one low intensive reduction peak at 340 °C and one reduction peak at 590 °C with higher intensity. The reducibility of NiCu/Sodalite-3D1 at a higher temperature in comparison with NiCu/Sodalite-3D2 and NiCu/Sodalite-3D3 is due to the applied approach for its synthesis, in which the addition to the suspension of a salts precursor is undertaken before 3D printing (Figure 13).

4. Conclusions

Coal fly ash zeolites with Sodalite structure were synthesized by ultrasound-assisted double stage fusion-hydrothermal synthesis. Monometallic Ni and bimetallic Ni–Cu-supported catalysts with 5.0 wt.% Ni and different copper contents of 1.5, 2.5 and 5.0 wt.% Cu were successfully prepared by post-synthesis incipient wetness impregnation. It was found that crystalline Cu0 and NixCuy intermetallic nanoparticles were formed in the reduced powder and 3D printed catalysts and they affected the reducibility of the catalytically active nickel phase. Three-dimensionally printed NiCu zeolite catalysts were developed by ink technology, applying modification with metals before and after 3D printing for comparative studies. The powder and 3D printed catalysts were studied in the lignocellulosic biomass-derived levulinic acid to γ-valerolactone. The powdered 5Ni2.5Cu/sodalite catalyst showed the highest LA conversion and high GVL yield at a reaction temperature of 150 °C, therefore this composition was selected for 3D structuring. Lower (1.5 wt.%) and higher (5 wt.%) copper content in the Ni–Cu catalysts leads to lower catalytic activity. The formation of the NiCu alloy, which is found on the powder and 3D printed catalysts, favors their catalytic performance in the studied reaction. In contrast with powder catalysts, the preservation of the sodalite structure was detected for all 3D printed catalysts and has a positive influence on the metal dispersion registered in the 3D spent catalysts. Three-dimensionally printed catalysts show more stable catalytic activity than their powder analogs due to the preservation of the zeolite structure and fine metal dispersion. It was observed that the metal impregnation procedures of the catalytic supports prior to and after 3D printing have a similar effect on the catalytic activity of the 3D catalysts. It has been found that catalysts based on zeolite supports from coal ash can be successfully structured by 3D printing, while preserving the zeolite structure and long term stable catalytic performance.

Supplementary Materials

The following supporting information can be downloaded at https://www.mdpi.com/article/10.3390/pr13010072/s1, Figure S1: Mössbauer spectra of the spent 5Ni2.5Cu/sodalite, Table S1: Mössbauer parameters of the spent 5Ni2.5Cu/sodalite catalyst.

Author Contributions

Conceptualization, M.P.; methodology, S.B., B.M. and M.P.; formal analysis, D.K. (Daniela Kovacheva), D.K. (Daniela Karashanova) and Y.M.; investigation, I.D., N.V., V.M. and Y.M.; resources, M.P.; data curation, I.D. and M.P.; writing—original draft preparation, M.P., S.B., M.D., D.K. (Daniela Kovacheva) and D.K. (Daniela Karashanova); writing—review and editing, M.P., S.B., M.D. and D.K. (Daniela Karashanova); visualization, M.D.; supervision, M.P.; project administration, M.P.; funding acquisition, M.P. All authors have read and agreed to the published version of the manuscript.

Funding

This work was supported by the Bulgarian National Science Fund, Grant KP-06-H69/3 from 8.12.2022.

Data Availability Statement

The original contributions presented in this study are included in the article/Supplementary Materials. Further inquiries can be directed to the corresponding author.

Conflicts of Interest

The authors declare no conflict of interest.

References

  1. Usman, M.; Balsalobre-Lorente, D. Environmental concern in the era of industrialization: Can financial development, renewable energy and natural resources alleviate some load? Energy Policy 2022, 162, 112780. [Google Scholar] [CrossRef]
  2. Khan, Q.R. From industrialization to dehumanization: Understanding the deriving forces of environment and implications for sustainable development. Environ. Sci. Pollut. Res. 2023, 30, 123396–123411. [Google Scholar] [CrossRef] [PubMed]
  3. Head, B.W. Managing Environmental and Sustainability Challenges. In Wicked Problems in Public Policy, 1st ed.; Palgrave Macmillan: Cham, Switzerland, 2022; pp. 83–106. [Google Scholar] [CrossRef]
  4. Zainal, B.S.; Ker, P.J.; Mohamed, H.; Ong, H.C.; Fattah, I.M.R.; Rahman, S.M.A.; Nghiem, L.D.; Mahlia, T.M.I. Recent advancement and assessment of green hydrogen production technologies. Renew. Sustain. Energy Rev. 2024, 189, 113941. [Google Scholar] [CrossRef]
  5. Khlifi, S.; Pozzobon, V.; Lajili, M. A Comprehensive Review of Syngas Production, Fuel Properties, and Operational Parameters for Biomass Conversion. Energies 2024, 17, 3646. [Google Scholar] [CrossRef]
  6. Muh, E.; Tabet, F.; Amara, S. Biomass Conversion to Fuels and Value-Added Chemicals: A Comprehensive Review of the Thermochemical Processes. Curr. Altern. Energy 2020, 4, 1–23. [Google Scholar] [CrossRef]
  7. Gnanasekaran, L.; Priya, A.K.; Thanigaivel, S.; Hoang, T.K.A.; Soto-Moscoso, M. The conversion of biomass to fuels via cutting-edge technologies: Explorations from natural utilization systems. Fuel 2023, 331, 125668. [Google Scholar] [CrossRef]
  8. Lee, K.; Jing, Y.; Wang, Y.; Yan, N. A unified view on catalytic conversion of biomass and waste plastics. Nat. Rev. Chem. 2022, 6, 635–652. [Google Scholar] [CrossRef] [PubMed]
  9. Deng, W.; Feng, Y.; Fu, J.; Guo, H.; Guo, Y.; Han, B.; Jiang, Z.; Kong, L.; Li, C.; Liu, H.; et al. Catalytic conversion of lignocellulosic biomass into chemicals and fuels. Green Energy Environ. 2023, 8, 10–114. [Google Scholar] [CrossRef]
  10. Mehrabadi, B.A.T.; Eskandari, S.; Khan, U.; White, R.D.; Regalbuto, J.R. Chapter One—A Review of Preparation Methods for Supported Metal Catalysts. Adv. Catal. 2017, 61, 1–35. [Google Scholar] [CrossRef]
  11. Wang, Z.; Zhao, K.; Xiao, B.; Gao, P.; He, D.; Cai, T.; Yuan, J. Fabrication of Monolithic Catalysts: Comparison of the Traditional and the Novel Green Methods. Catalysts 2019, 9, 981. [Google Scholar] [CrossRef]
  12. Klose, F.; Scholz, P.; Kreisel, G.; Ondruschka, B.; Kneise, R.; Knopf, U. Catalysts from waste materials. Appl. Catal. B Environ. 2000, 28, 209–221. [Google Scholar] [CrossRef]
  13. Boycheva, S.; Zgureva, D.; Lazarova, K.; Babeva, T.; Popov, C.; Lazarova, H.; Popova, M. Progress in the Utilization of Coal Fly Ash by Conversion to Zeolites with Green Energy Applications. Materials 2020, 13, 2014. [Google Scholar] [CrossRef] [PubMed]
  14. Zhu, J.; Wu, P.; Chao, Y.; Yu, J.; Zhu, W.; Liu, Z.; Xu, C. Recent advances in 3D printing for catalytic applications. Chem. Eng. J. 2022, 433, 134341. [Google Scholar] [CrossRef]
  15. Bogdan, E.; Michorczyk, P. 3D Printing in Heterogeneous Catalysis—The State of the Art. Materials 2020, 13, 4534. [Google Scholar] [CrossRef]
  16. Anekwe, I.M.S.; Akpasi, S.O.; Enemuo, E.M.; Ashiegbu, D.; Mustapha, S.I.; Isa, Y.M. Innovations in catalytic understanding: A journey through advanced characterization. Mater. Today Catal. 2024, 7, 100061. [Google Scholar] [CrossRef]
  17. Alarifi, I.M. Revolutionising fabrication advances and applications of 3D printing with composite materials: A review. Virtual Phys. Prototyp. 2024, 19, e2390504. [Google Scholar] [CrossRef]
  18. Iftekar, S.F.; Aabid, A.; Amir, A.; Baig, M. Advancements and Limitations in 3D Printing Materials and Technologies: A Critical Review. Polymers 2023, 15, 2519. [Google Scholar] [CrossRef] [PubMed]
  19. Yusoff, N.H.M.; Chong, C.H.; Wan, Y.K.; Cheah, K.H.; Wong, V.-L. Optimization strategies and emerging application of functionalized 3D-printed materials in water treatment: A review. J. Water Proc. Eng. 2023, 51, 103410. [Google Scholar] [CrossRef]
  20. Li, L.; Lin, Q.; Tang, M.; Duncan, A.J.E.; Ke, C. Advanced Polymer Designs for Direct-Ink-Write 3D Printing. Chem. Eur. J. 2019, 25, 10768–10781. [Google Scholar] [CrossRef] [PubMed]
  21. Lewis, J.A.; Smay, J.E.; Stuecker, J.; Cesarano, J. Direct Ink Writing of Three-Dimensional Ceramic Structures. J. Am. Ceram. Soc. 2006, 89, 3599–3609. [Google Scholar] [CrossRef]
  22. Thakkar, H.; Eastman, S.; Al-Naddaf, Q.; Rownaghi, A.A.; Rezaei, F. 3D-Printed Metal-Organic Framework Monoliths for Gas Adsorption Processes. ACS Appl. Mater. Interfaces 2017, 9, 35908–35916. [Google Scholar] [CrossRef]
  23. Thakkar, H.; Eastman, S.; Al-Mamoori, A.; Hajari, A.; Rownaghi, A.A.; Rezaei, F. Formulation of Aminosilica Adsorbents into 3D-Printed Monoliths and Evaluation of Their CO2 Capture Performance. ACS Appl. Mater. Interfaces 2017, 9, 7489–7498. [Google Scholar] [CrossRef] [PubMed]
  24. Couck, S.; Cousin-Saint-Remi, J.; van der Perre, S.; Baron, G.V.; Minas, C.; Ruch, P.; Denayer, J.F.M. 3D-printed SAPO-34 monoliths for gas separation. Micropor. Mesopor. Mater. 2018, 255, 185–191. [Google Scholar] [CrossRef]
  25. Thakkar, H.; Lawson, S.; Rownaghi, A.A.; Rezaei, F. Development of 3D-printed polymer-zeolite composite monoliths for gas separation. Chem. Eng. J. 2018, 348, 109–116. [Google Scholar] [CrossRef]
  26. Manfe, M.M.; Kulkarni, K.S.; Kulkarni, A.D. Industrial application of monolith catalysts/reactors. Int. J. Adv. Eng. Res. Stud. 2011, 1, 1–3. [Google Scholar]
  27. Serrano, D.P.; Centi, G.; Diddams, P.A.; Čejka, J. Outlooks for zeolite catalysts in a low-carbon scenario. Catal. Today 2024, 426, 114365. [Google Scholar] [CrossRef]
  28. Martins, A.; Nunes, N.; Carvalho, A.P.; Martins, L.M.D.R.S. Zeolites and Related Materials as Catalyst Supports for Hydrocarbon Oxidation Reactions. Catalysts 2022, 12, 154. [Google Scholar] [CrossRef]
  29. Lefevere, J.; Mullens, S.; Meynen, V. The impact of formulation and 3D-printing on the catalytic properties of ZSM-5 zeolite. Chem. Eng. J. 2018, 349, 260–268. [Google Scholar] [CrossRef]
  30. Li, X.; Alwakwak, A.-A.; Rezaei, F.; Rownaghi, A.A. Synthesis of Cr, Cu, Ni, and Y-Doped 3D-Printed ZSM-5 Monoliths and Their Catalytic Performance for n-Hexane Cracking. ACS Appl. Energy Mater. 2018, 1, 2740–2748. [Google Scholar] [CrossRef]
  31. Li, X.; Li, W.; Rezaei, F.; Rownaghi, A. Catalytic cracking of n-hexane for producing light olefins on 3D-printed monoliths of MFI and FAU zeolites. Chem. Eng. J. 2018, 333, 545–553. [Google Scholar] [CrossRef]
  32. Li, X.; Rezaei, F.; Rownaghi, A.A. Methanol-to-olefin conversion on 3D-printed ZSM-5 monolith catalysts: Effects of metal doping, mesoporosity and acid strength. Micropor. Mesopor. Mater. 2019, 276, 1–12. [Google Scholar] [CrossRef]
  33. Steven, S.; Restiawaty, E.; Bindar, Y. Routes for energy and bio-silica production from rice husk: A comprehensive review and emerging prospect. Renew. Sustain. Energy Rev. 2021, 149, 111329. [Google Scholar] [CrossRef]
  34. Mika, L.T.; Cséfalvay, E.; Németh, Á. Catalytic Conversion of Carbohydrates to Initial Platform Chemicals: Chemistry and Sustainability. Chem. Rev. 2018, 118, 505–613. [Google Scholar] [CrossRef] [PubMed]
  35. Alonso, D.M.; Wettstein, S.G.; Mellmer, M.A.; Gurbuz, E.I.; Dumesic, J.A. Integrated conversion of hemicellulose and cellulose from lignocellulosic biomass. Energy Environ. Sci. 2013, 6, 76–80. [Google Scholar] [CrossRef]
  36. Dutta, S.; Yu, I.K.M.; Tsang, D.C.W.; Ng, Y.H.; Ok, Y.S.; Sherwood, J.; Clark, J.H. Green synthesis of gamma-valerolactone (GVL) through hydrogenation of biomass-derived levulinic acid using non-noble metal catalysts: A critical review. Chem. Eng. J. 2019, 372, 992–1006. [Google Scholar] [CrossRef]
  37. Shao, Y.; Sun, K.; Fan, M.; Wang, J.; Gao, G.; Zhang, L.; Zhang, S.; Hu, X. Selective conversion of levulinic acid to gamma-valerolactone over Ni-based catalysts: Impacts of catalyst formulation on sintering of nickel. Chem. Eng. Sci. 2022, 248, 117258. [Google Scholar] [CrossRef]
  38. Hengst, K.; Schubert, M.; Carvalho, H.W.P.; Lu, C.; Kleist, W.; Grunwaldt, J.-D. Synthesis of γ-valerolactone by hydrogenation of levulinic acid over supported nickel catalysts. Appl. Catal. A Gen. 2015, 502, 18–26. [Google Scholar] [CrossRef]
  39. Lv, J.; Rong, Z.; Wang, Y.; Xiu, J.; Qu, J. Highly efficient conversion of biomass-derived levulinic acid into γ-valerolactone over Ni/MgO catalyst. RSC Adv. 2015, 5, 72037–72045. [Google Scholar] [CrossRef]
  40. Varkolu, M.; Bathula, H.B.; Suh, Y.-W.; Burri, D.R.; Kamaraju, S.R.R. Hydrogenation of levulinic acid with and without external hydrogen over Ni/SBA-15 catalyst. Appl. Petrochem. Res. 2018, 8, 153–162. [Google Scholar] [CrossRef]
  41. Shimizu, K.-I.; Kanno, S.; Kon, K. Hydrogenation of levulinic acid to γ-valerolactone by Ni and MoOx co-loaded carbon catalysts. Green Chem. 2014, 16, 3899–3903. [Google Scholar] [CrossRef]
  42. Obregón, I.; Gandarias, I.; Al-Shaal, M.G.; Mevissen, C.; Arias, P.L.; Palkovits, R. The Role of the Hydrogen Source on the Selective Production of γ-Valerolactone and 2-Methyltetrahydrofuran from Levulinic Acid. ChemSusChem 2016, 9, 2488–2495. [Google Scholar] [CrossRef]
  43. Pan, X.; Wang, C.; Li, B.; Ma, M.; Sun, H.; Zhan, G.; Wang, K.; Fan, M.; Ding, L.; Fu, G.; et al. Coupling Enteromorpha prolifera-derived N-doped biochar with Cu-Mo2C clusters for selective CO2 hydrogenation to CO. Adv. Powder Mater. 2025, 4, 100259. [Google Scholar] [CrossRef]
  44. An, B.; Zhang, J.; Cheng, K.; Ji, P.; Wang, C.; Lin, W. Confinement of Ultrasmall Cu/ZnOx Nanoparticles in Metal–Organic Frameworks for Selective Methanol Synthesis from Catalytic Hydrogenation of CO2. J. Am. Chem. Soc. 2017, 139, 3834–3840. [Google Scholar] [CrossRef]
  45. Pan, X.; Sun, H.; Ma, M.; Liao, H.; Zhan, G.; Wang, K.; Fan, M.; Xu, J.; Ding, L.; Sun, K.; et al. Preparation of nano Cu-Mo2C interface supported on ordered mesoporous biochar of ultrahigh surface area for reverse water gas shift reaction. Biochar 2024, 6, 93. [Google Scholar] [CrossRef]
  46. Pan, X.; Xu, J.; Wang, Y.; Ma, M.; Liao, H.; Sun, H.; Fan, M.; Wang, K.; Sun, K.; Jiang, J. A new perspective on hydrogenation of CO2 into methanol over heterogeneous catalysts. Prog. Nat. Sci. Mater. Int. 2024, 34, 482–494. [Google Scholar] [CrossRef]
  47. Popova, M.; Boycheva, S.; Lazarova, H.; Zgureva, D.; Lázár, K.; Szegedi, A. VOC oxidation and CO2 adsorption on dual adsorption/catalytic system based on fly ash zeolites. Catal. Today 2020, 357, 518–525. [Google Scholar] [CrossRef]
  48. Boycheva, S.; Zgureva-Filipova, D.; Popov, C.; Lazarova, H.; Popova, M. Plasma-Modified Coal Fly Ash Zeolites with Enhanced Catalytic Efficiency toward the Total Oxidation of Volatile Organic Compounds as Low-Cost Substitutes for Platinum Group Metals Catalysts. Phys. Status Solidi (a) 2022, 219, 2100632. [Google Scholar] [CrossRef]
  49. ASTM C618; Standard Specification for Coal Fly Ash and Raw or Calcined Natural Pozzolan for Use in Concrete (AASHTO M 295). ASTM International: West Conshohocken, PA, USA, 2023.
  50. Boycheva, S.; Zgureva, D.; Lazarova, H.; Popova, M. Comparative studies of carbon capture onto coal fly ash zeolites Na-X and Na–Ca-X. Chemosphere 2021, 271, 129505. [Google Scholar] [CrossRef]
  51. Smirnov, A.A.; Khromova, S.A.; Bulavchenko, O.A.; Kaichev, V.V.; Saraev, A.A.; Reshetnikov, S.I.; Bykova, M.V.; Trusov, L.I.; Yakovlev, V.A. Effect of the Ni/Cu ratio on the composition and catalytic properties of nickel-copper alloy in anisole hydrodeoxygenation. Kinet. Catal. 2014, 55, 69–78. [Google Scholar] [CrossRef]
  52. Pinheiro, A.N.; Valentini, A.; Sasaki, J.M.; Oliveira, A.C. Highly stable dealuminated zeolite support for the production of hydrogen by dry reforming of methane. Appl. Catal. A Gen. 2009, 355, 156–168. [Google Scholar] [CrossRef]
  53. Kostadinova, E.; Velinov, N.; Avdjieva, T.; Mitov, I.; Rusanov, V. A study of the pressure vessel steel of the WWER-440 unit 1 of the Kozloduy nuclear power plant. Hyperfine Interact 2017, 238, 94. [Google Scholar] [CrossRef]
  54. Abdelrahman, O.A.; Heyden, A.; Bond, J.Q. Analysis of kinetics and reaction pathways in the aqueous-phase hydrogenation of levulinic acid to form γ-valerolactone over Ru/C. ACS Catal. 2014, 4, 1171–1181. [Google Scholar] [CrossRef]
  55. Gupta, S.S.R.; Kantam, M.L. Selective hydrogenation of levulinic acid into γ-valerolactone over Cu/Ni hydrotalcite-derived catalyst. Catal. Today 2018, 309, 189–194. [Google Scholar] [CrossRef]
Figure 1. Three-dimensional catalytic element software modeling: 3D model design (a), geometric dimensions (b), creating sketch (c) and extruded element (d).
Figure 1. Three-dimensional catalytic element software modeling: 3D model design (a), geometric dimensions (b), creating sketch (c) and extruded element (d).
Processes 13 00072 g001
Figure 2. G code creation of created 3D model design of the catalytic element: (a) imported 3D model in slicer; (b) G code imported to 3D printer.
Figure 2. G code creation of created 3D model design of the catalytic element: (a) imported 3D model in slicer; (b) G code imported to 3D printer.
Processes 13 00072 g002
Figure 3. 3D printing of catalytic elements from developed inks.
Figure 3. 3D printing of catalytic elements from developed inks.
Processes 13 00072 g003
Figure 4. XRPD patterns of the studied catalysts.
Figure 4. XRPD patterns of the studied catalysts.
Processes 13 00072 g004
Figure 5. N2 physisorption isotherms (a) and pore size distributions (b) of the studied samples.
Figure 5. N2 physisorption isotherms (a) and pore size distributions (b) of the studied samples.
Processes 13 00072 g005
Figure 6. TPR–TG profiles of the catalysts studied.
Figure 6. TPR–TG profiles of the catalysts studied.
Processes 13 00072 g006
Figure 7. Mössbauer spectra of the nickel- and copper-modified samples and the 550 °C reduced sample.
Figure 7. Mössbauer spectra of the nickel- and copper-modified samples and the 550 °C reduced sample.
Processes 13 00072 g007
Figure 8. XRPD patterns of the spent catalysts.
Figure 8. XRPD patterns of the spent catalysts.
Processes 13 00072 g008
Figure 9. Bright field TEM micrographs (a,d), the corresponding histograms of the nanoparticles size distribution, SAED patterns (b,e) and the HRTEM images (c,f) of the powder 5Ni2.5Cu/sodalite reduced (ac) and spent (df) catalysts.
Figure 9. Bright field TEM micrographs (a,d), the corresponding histograms of the nanoparticles size distribution, SAED patterns (b,e) and the HRTEM images (c,f) of the powder 5Ni2.5Cu/sodalite reduced (ac) and spent (df) catalysts.
Processes 13 00072 g009
Figure 10. Scheme for the preparation of the 3D printed catalysts used in LA hydrogenation to GVL.
Figure 10. Scheme for the preparation of the 3D printed catalysts used in LA hydrogenation to GVL.
Processes 13 00072 g010
Figure 11. XRPD of the 3D printed spent catalysts.
Figure 11. XRPD of the 3D printed spent catalysts.
Processes 13 00072 g011
Figure 12. Bright field TEM micrographs (a,d,g,j), the corresponding histograms of the size distribution of the nanoparticles, SAED patterns (b,e,h,k) and the HRTEM images (c,f,i,l) of the 3D printed 5Ni2.5Cu/Sodalite catalysts, as follows: 3D1 reduced (ac), 3D1 spent (df), 3D2 reduced (gi) and 3D2 spent (jl).
Figure 12. Bright field TEM micrographs (a,d,g,j), the corresponding histograms of the size distribution of the nanoparticles, SAED patterns (b,e,h,k) and the HRTEM images (c,f,i,l) of the 3D printed 5Ni2.5Cu/Sodalite catalysts, as follows: 3D1 reduced (ac), 3D1 spent (df), 3D2 reduced (gi) and 3D2 spent (jl).
Processes 13 00072 g012
Figure 13. TPR of the 3D printed catalysts.
Figure 13. TPR of the 3D printed catalysts.
Processes 13 00072 g013
Table 1. Crystalline phases and their size (nm) in the studied catalysts determined by the XRPD method.
Table 1. Crystalline phases and their size (nm) in the studied catalysts determined by the XRPD method.
SamplesNi0, nm(Ni1−xCux), nmCu0, nmSpinel Phase
NiFe2O4 or
(Ni,Cu)Fe2O4, nm
Fe0, nm
5Ni/Sodalite8n.d.n.d.25Traces
5Ni1.5Cu/Sodaliten.d.9n.d.25Traces
5Ni2.5Cu/Sodaliten.d.14252523
5Ni5Cu/Sodaliten.d.11332539
n.d.—not detectable.
Table 2. Textural data of the studied samples and their reduction properties.
Table 2. Textural data of the studied samples and their reduction properties.
SamplesSBET
(m2/g)
Smicro
(m2/g)
Total Pore Volume (cm3/g)Extent of Reduction, %
Sodalite51.9-0.199-
5Ni/sodalite41.35.60.15672
5Ni1.5Cu/sodalite36.73.90.15069
5Ni2.5Cu/sodalite27.0-0.15694
5Ni5Cu/sodalite32.6-0.17977
Table 3. Mössbauer parameters of the studied samples.
Table 3. Mössbauer parameters of the studied samples.
SamplesComponentsδ,
mm/s
Δ (2ε),
mm/s
Bhf,
T
Γexp,
mm/s
G,
%
SodaliteDb, Fe3+0.260.68-0.5456
Sx, Fe3+0.26−0.0146.22.0244
5Ni/sodaliteSn, γ-(Fe,Ni) alloy, Fe0−0.01--0.408
Sx1, α-(Fe,Ni) alloy, Fe00.01−0.0132.90.2935
Sx2, α-(Fe,Ni) alloy, Fe00.000.1029.30.9541
Db, Fe3+0.290.93-0.6016
5Ni1.5Cu/sodaliteSn, γ-(Fe,Ni) alloy, Fe0−0.01--0.3913
Sx1, α-(Fe,Ni) alloy, Fe00.000.0032.80.3537
Sx2, α-(Fe,Ni) alloy, Fe00.000.1126.81.0033
Db, Fe3+0.280.99-0.6017
5Ni2.5Cu/sodaliteSn, γ-(Fe,Ni) alloy, Fe0−0.02--0.4915
Sx1, α-(Fe,Ni) alloy, Fe0−0.040.0232.80.3331
Sx2, α-(Fe,Ni) alloy, Fe00.000.1026.81.0037
Db, Fe3+0.280.97-0.6017
5Ni5Cu/sodaliteSn, γ-(Fe,Ni) alloy, Fe00.00--0.4012
Sx1, α-(Fe,Ni) alloy, Fe00.010.0132.80.3424
Sx2, α-(Fe,Ni) alloy, Fe00.000.1026.91.0029
Sx3, Fe3O4, Fe3+tetra0.280.0049.00.401
Sx4, Fe3O4, Fe2.5+octa0.660.0045.00.5010
Db1, FeO, Fe2+1.001.10-0.8015
Db2, Fe3+0.290.80-0.609
Table 4. Catalytic conversion of LA to GVL on the zeolite-supported NiCu catalysts (reaction parameters for powder catalysts: 150 °C; 4 h; 30 atm H2; 21 mL of 0.2 M LA in water; 0.2 g catalyst and for 3D printed catalysts: 150 °C; 4 h; 30 atm H2; 42 mL of 0.4 M LA in water; 0.8 g catalyst).
Table 4. Catalytic conversion of LA to GVL on the zeolite-supported NiCu catalysts (reaction parameters for powder catalysts: 150 °C; 4 h; 30 atm H2; 21 mL of 0.2 M LA in water; 0.2 g catalyst and for 3D printed catalysts: 150 °C; 4 h; 30 atm H2; 42 mL of 0.4 M LA in water; 0.8 g catalyst).
SamplesConversion of LA, %Yield of GVL, %Yield of 4-Hydroxy Valeric Acid (HVLA), %
5Ni/sodalite37.031.06.0
5Ni1.5Cu/sodalite23.018.05.0
5Ni2.5Cu/sodalite72.0 (46.3 *)59.0 (41.8 *)13.0 (4.5 *)
5Ni5Cu/sodalite33.028.05.0
NiCu/sodalite-3D121.0 (15.6 *)19.0 (14.2 *)2.0 (1.4 *)
NiCu/sodalite-3D216.0 (9.0 *)14.0 (9.0 *)2.0
NiCu/sodalite-3D315.814.21.6
* Catalytic results for the spent catalyst after regeneration.
Table 5. Crystalline phases and their size (nm) in the spent catalysts, determined by XRPD method.
Table 5. Crystalline phases and their size (nm) in the spent catalysts, determined by XRPD method.
SampleNi0, nm(Ni1−xCux), nmCu0, nmCu2OSpinel Phase
NiFe2O4 or
CuFe2O4, nm
Fe0, nm
Spent 5Ni/sodalite5n.d.n.d.n.d.3414
Spent 5Ni1.5Cu/sodaliten.d.11n.d.Traces (<1%)2746
Spent 5Ni2.5Cu/sodaliten.d.14981033373
Spent 5Ni5Cu/sodaliten.d.1261823335
n.d.—not detectable.
Table 6. Crystalline phases of the studied 3D printed catalysts, as determined by XRPD method.
Table 6. Crystalline phases of the studied 3D printed catalysts, as determined by XRPD method.
Samples(Ni1−xCux), nmCu0, nmCu2O, nmFe0, nm
NiCu/Sodalite-3D17n.d.n.d.67
Spent NiCu/Sodalite-3D17Traces (<1%)35Traces (<1%)
NiCu/Sodalite-3D2842n.d.47
Spent NiCu/Sodalite-3D276446Traces (<1%)
NiCu/Sodalite-3D31042 57
Spent NiCu/Sodalite-3D397446Traces (<1%)
n.d.—not detectable.
Disclaimer/Publisher’s Note: The statements, opinions and data contained in all publications are solely those of the individual author(s) and contributor(s) and not of MDPI and/or the editor(s). MDPI and/or the editor(s) disclaim responsibility for any injury to people or property resulting from any ideas, methods, instructions or products referred to in the content.

Share and Cite

MDPI and ACS Style

Popova, M.; Mladenov, B.; Dimitrov, I.; Dimitrov, M.; Mitova, V.; Mitrev, Y.; Kovacheva, D.; Velinov, N.; Karashanova, D.; Boycheva, S. 3D Printed Ni–Cu Sodalite Catalysts for Sustainable γ-Valerolactone Production from Levulinic Acid—Effect of the Copper Content and the Method of Preparation. Processes 2025, 13, 72. https://doi.org/10.3390/pr13010072

AMA Style

Popova M, Mladenov B, Dimitrov I, Dimitrov M, Mitova V, Mitrev Y, Kovacheva D, Velinov N, Karashanova D, Boycheva S. 3D Printed Ni–Cu Sodalite Catalysts for Sustainable γ-Valerolactone Production from Levulinic Acid—Effect of the Copper Content and the Method of Preparation. Processes. 2025; 13(1):72. https://doi.org/10.3390/pr13010072

Chicago/Turabian Style

Popova, Margarita, Boian Mladenov, Ivan Dimitrov, Momtchil Dimitrov, Violeta Mitova, Yavor Mitrev, Daniela Kovacheva, Nikolay Velinov, Daniela Karashanova, and Silviya Boycheva. 2025. "3D Printed Ni–Cu Sodalite Catalysts for Sustainable γ-Valerolactone Production from Levulinic Acid—Effect of the Copper Content and the Method of Preparation" Processes 13, no. 1: 72. https://doi.org/10.3390/pr13010072

APA Style

Popova, M., Mladenov, B., Dimitrov, I., Dimitrov, M., Mitova, V., Mitrev, Y., Kovacheva, D., Velinov, N., Karashanova, D., & Boycheva, S. (2025). 3D Printed Ni–Cu Sodalite Catalysts for Sustainable γ-Valerolactone Production from Levulinic Acid—Effect of the Copper Content and the Method of Preparation. Processes, 13(1), 72. https://doi.org/10.3390/pr13010072

Note that from the first issue of 2016, this journal uses article numbers instead of page numbers. See further details here.

Article Metrics

Back to TopTop