Next Article in Journal
Hydrocarbon Source Rock Evaluation of the Lucaogou Shale in the Periphery of Bogeda Mountain (SE Junggar Basin, China) and Its Implications for Shale Oil Exploration: Insights from Organic Geochemistry, Petrology, and Kinetics Pyrolysis
Previous Article in Journal
Thermodynamic Analysis and Economic Assessment of Organic Rankine Cycle Integrated with Thermoelectric Generator Onboard Container Ship
 
 
Font Type:
Arial Georgia Verdana
Font Size:
Aa Aa Aa
Line Spacing:
Column Width:
Background:
Article

A Study for Estimating the Overall Heat Transfer Coefficient in a Pilot-Scale Indirect Rotary Dryer

Department of Chemical and Bioprocess Engineering, University of Santiago of Chile, Santiago 9170022, Chile
*
Author to whom correspondence should be addressed.
Processes 2024, 12(2), 357; https://doi.org/10.3390/pr12020357
Submission received: 12 January 2024 / Revised: 6 February 2024 / Accepted: 6 February 2024 / Published: 8 February 2024

Abstract

An experimental study and dimensional analysis of the effective heat transfer coefficient in a continuous-indirect rotatube dryer using forest biomass as the granular material isare developed in the present work. The study employed a factorial design 3 3 to investigate the effects of feed flow frequency (20–35–50 (Hz)), drum rotational velocity (6–8–10 (rpm)), and saturated vapor pressure (4–5–6 (bar)) on the heat transfer coefficient. During steady state conditions, the moisture content profiles and inlet and outlet temperatures were measured within the experimental region, and parameters, such as the effective heat transfer coefficient, solid retention change, and moisture content ratio were studied. The results showed that heat transfer was optimized with high solid feeding rates, low pressure, and low rotation, with solid feeding being the predominant factor. The moisture content profiles revealed a change in the hydrodynamic behavior, with the center point of the experimental region being the least optimal. The dimensional analysis yielded a Nu number as a function of Pe, Fr, and the feeding dimensionless number. A new dimensionless energy efficiency number improved the coefficient correlation from 85.88 (%) to 94.46 (%), indicating the developed model potential to predict dimensionless variables and scale continuous-indirect rotatube dryers.

1. Introduction

Biomass as a renewable energy resourceAs a renewable energy resource, biomass is attractive due to the decrease in dependence on fossil fuels and the contribution to reducing greenhouse gas emissions, as long as the quality of the biomass is adequate during the combustion process [1]. For this, it is necessary to manage a percentage of the reduced moisture content, for which the recommended amounts for a good burn do not exceed 10 (%) [2]. The search for and the selection of the appropriate drying technology for this type of biomass is essential both for obtaining the appropriate dry raw material for its transformation into biofuel (pellet) as well as the approach to the challenge of carbon neutrality. Continuous-indirect dryers are more attractive for high material loads and their direct industrial application to powder drying and granular solids. A study by Canales et al. (2001) [3], has reported that the heat transfers to the particles in the directly heated system with steam tubes comes mainly from the convection mode. Nhuchhen et al. (2016) [4] developed a process to evaluate the overall heat transfer coefficient of a cylindrical rotary reactor with flights operated with a constant wall temperature. Havlik and Dlouhý (2017) [5] explored energy-efficient biomass indirect drying, integrating it into power and heating systems. New methods for utilizing wet biomass and waste vapor heat with designed dryer and condenser prototypes were studied. The approach presented offers of enhanced energy efficiency, fuel savings, and the use of lower-grade biomass. Phiciato and Yaskuri (2019) [6] performed a dual-stage drying process due to the energy cost and particle size of lignite. In terms of thermal energy transfer, heat transport within a rotating drum presents the following two zones in the bed: a stagnant zone in the lower region and a mixing zone near the bed surface [7]. These dryers often use elevators along the drum to improve solids mixing through a lifting action [8], and it is possible to increase efficiency when the energy involved in the drying operation is recirculated to the system [9].
The drying operation in the process and bioprocess industry must be constantly reviewed and technologically updated, from their design elements to the operational aspects that allow the improvement of energy efficiency, the quality of dry products, and the promotion of the generation ofsustainable and productive ecosystems sustainable. In this context, rotary drying technology evolves in the face of new scenarios and challenges presented by production processes. Rotary dryers are commonly used for drying granular materials in large quantities due to their simplicity in construction and flexibility in operation; moreover, these equipmentunits can handle both wet and dry solids [10]. In terms of thermal energy transfer, heat transport within a rotating drum presents the following two zones in the bed: a stagnant zone in the lower region and a mixing zone near the bed’s surface [7]. These dryers often use elevators along the drum to improve the mixing of solids through a lifting action [8], and it is possible to increase efficiency when the energy involved in the drying operation is recirculated to the system [9]. Researchers have found that the levels of operating variables have an impact on solids residence and retention times, as well as on the flow behavior and the mixing of particles [11]. Additionally, the intrinsic characteristics and properties of solids, such as particle size and thermal properties, have been studied in [12]. In the last decade, tools and computational resources have been used to predict the behavior of rotary dryers using a discrete modeling approach for the solid phase [13], or a continuous representation [14,15].
Dimensional analysis is one of the most relevant studies since it provides useful information that is scalable and applicable to different types of steady and unsteady rotary dryers. Kovak et al. (1995) [16] developed an analysis on the axial dispersion of solid particles in a continuous rotary kiln related to the Péclet number. Vega et al. (2000) [17], performed a dimensionless analysis for an indirect batch rotary dryer. It was found that the effective heat transfer coefficient is a function of the system geometry (drum, tubes, and particle diameter), operating conditions (gravity, peripheral drum speed, and volumetric filling solid fraction), and the substrate physical properties (effective density, specific heat, and thermal conductivity of the dry bed). The authors proposed a correlation for the effective Nusselt number as a function of the Péclet and Froude dimensionless groups by analyzing data obtained from drying soy beans and fish meal. Mellman (2001) [18] presented an overview of the forms and the transition behavior of the transverse motion of free-flowing bed materials in un-baffled rotating cylinders relating it withto the Froude number. Waje et al. (2007) [11] describedthe dryer’s axial dispersion as a function of the Péclet number and residence time. Moreover, Figueroa et al. (2010) [19] studied the effect of the mixing rate on the heating rate of the granules and used the Péclet number to determine the dominant heating mechanism. Subsequently, Sunkara et al. (2013) [20] developed a mathematical model with the Froude number for a flighted rotating drum that determines the holdup and the cascading rate of the particles discharging from the flight surface. Tada et al. (2017) [21] used the Péclet number to determine the dominant heating mechanism ina granular bed and obtained that the rate of heat transport is characterized using the Nusselt number and a fluids-inspired relationship correlating this quantity with a Péclet number. Recently, Havlik and Dlouhý (2020) [22] comparatively studied the experimental drying characteristics of green wood chips and wet bark from open air storage with moisture contents ranging from 50 to 65 wt (%) in indirect dryers with drum and rotary configurations. In this study, a laboratory-scale indirect dryer was used to better understand the biomass drying process and to experimentally obtain the volumetric and square evaporation capacities [22,23]. Their study shed light on the biomass drying process and experimentally obtained the volumetric and square evaporation capacities. These capacities were used as scaling parameters, finally using the square evaporation capacity to design and build a pilot-scale rotary dryer.
The previously cited works and investigations have obtained correlations to estimate the heat transfer coefficients in indirect rotary dryers (continuous and discontinuous), grouping some of the variables in dimensionless form. The objective of this work is to evaluate the heat transfer coefficient in a pilot-scale indirect rotary drum dryer using sawdust as the substrate. The study comprises theoretical and experimental approaches aiming to develop a mathematical correlation for determining the effective heat transfer coefficient based on dimensionless numbers associated with the solid flow and heat transfer potential. Additionally, this study seeks to provide insights into the optimal operational conditions for drying sawdust using this indirect drying technology, which plays a crucial role in the production of carbon-neutral solid biofuels.
In the previously cited works and research, the dimensional analysis for obtaining correlations to estimate the heat transfer coefficients in indirect rotary dryers operating continuously has not been studied. The literature review highlights that there is only one study addressing the determination of the effective heat transfer coefficient and the formulation of a correlation for an indirect batch rotary dryer. Given the significant applications of the continuous operational mode of this dryer type, the investigation of the heat transfer becomes paramount. This study aims to evaluate the heat transfer coefficient in a pilot-scale indirect rotary drum dryer, utilizing sawdust as the substrate. The research incorporates both theoretical and experimental approaches with the objective of establishing mathematical correlations for determining the effective heat transfer coefficient based on dimensionless numbers associated with solid flow and/or heat transfer potential. Additionally, the study seeks to offer insights into the optimal operational conditions for drying sawdust using this indirect drying technology, which plays a crucial role in the production of carbon-neutral solid biofuels.

2. Mathematical Model

The mathematical modeling of coupled heat transfer mechanisms that takes take place in rotary drum dryers is rather complex. Conduction, convection, and radiation contribute to the heat transfer between the gas, the solid, and the steam, where the temperature varies with time in the radial, circumferential, and axial position of the drum. As the drum rotates, the materials undergo transverse motion as well as axial transport throughout the drum [7]. During this trajectory, the solids lose moisture which is transferred to the circulating air flow for subsequent removal from the equipment. The transverse motion in a rotary drum is influenced by its fill up level, rotational speed, drum diameter, inclination angle of the drum, properties of the material being processed, and the friction condition between the solid bed and the drum wall [18].

2.1. Assumptions

Mass and thermal energy conservation equations are based on a horizontal cylindrical drying equipment with a series of concentric tubes that transport the heat from the working fluid to the region between the tubes and to the main chamber. The equipment operates adiabatically and ina steady state. The interior of the solid bed is considered as the heat transfer controlling resistance.
The rotary dryer has a small angle relative to the horizontal, which aids to the slow particle movement along the chamber. The forest biomass changes its macroscopic form inside the dryer and fragments into granules, that facilitatefacilitating its mixing, and, consequently, moisture content and temperature homogenization. This assumption is based on the fact that the set of solid particles is similar to that of a fluid, and, therefore, can be treated mathematically as a continuous medium.
The dominant heat transfer mechanisms within the drying equipment are considered to be the following:
  • Convection fromthe working fluid tothe tube set;
  • Conduction throughthe metal walls;
  • Conduction fromthe metal walls tothe adjacent solid layer (first-contact solid layer);
  • Conduction fromthe first-contact solid layer tothe main mass;
  • Convection fromthe external surface ofthe dryer tothe external environment.

2.2. Conservations Equations

Figure 1 presents the schematic of the equipment divided into three regions based on the position of four available sampling points.
Macroscopic mass and energy balances on the drying equipment generate Equations (1) and (2).
m ˙ s X 1 = m ˙ s X 4 + m ˙ v
m ˙ s H s , 1 + h eff A T T W T s a t = m ˙ s H s , 4 + m ˙ v Δ H v
with m ˙ s as the mass flow of dry solid, X as the solid’s moisture content in dry basis, m ˙ v as the mass flow of evaporated water, H s as the humid solid enthalpy, h eff as the effective heat transfer coefficient, A T as the tubes total heat transfer area, T W as the temperature of the heating tubes that is assumed to be equal to that of the heating steam, T s a t as the saturation temperature of water, and Δ H v as the latent heat of vaporization.
The humid solid enthalpy is determined from Equation (3)
H s , i = c s , i + c w X i T s , i T , i = 1 , 4
where c s , c w are the specific heats of solid and water and T is the reference temperature.
Rearranging Equation (2), the effective heat transfer coefficient can be determined as follows:
h eff = m ˙ s H s 4 H s 1 + m ˙ v Δ H v A T T W T s a t
Water’s physical properties and the saturation temperature are computed via data interpolation of physical properties listed in [23].
Moreno (2005) [24] reports correlations of the specific heat of dry forest biomass as afunction of temperature, function valid for the temperaturestemperature range 273–373 (K).
c s , i = 1133 + 4.9 T s 273 , i = 1 , 4
The effective specific heat of the biomass is determined using Equation (6), taking into consideration the approximation c H 2 O w = 4184 (J/kg K).
c eff , i = c s , i + X i c w , i = 1 , 4
The biomass’ effective thermal conductivity is estimated from a correlation that depends on both the local temperature and the particle’s moisture content [24].
λ s , eff = 1.23 0.127 + 0.202 X ¯ + m T ¯ s 273
where X ¯ is calculated as the average between X 1 and X 4 , and parameter m is a function of the moisture content, see Table 1.

2.3. Effective Heat Transfer Coefficient

The heat flow transferred from the tube’s wall to the wet solid can be written in the form of Newton’s Law of Cooling.
Q = h eff A T T W T s a t
As derived by Schlünder et al. (1984) [25], the heat transfer coefficient (Equation (9)) from a surface at a constant temperature to the first layer of particles, h ws , depends on the gas thermal conductivity in the voids between the particles and the surface, on the particle diameter, and on the modified free path length of the gas molecules. The theory of heat penetration in a semi-infinite medium is used to describe the heat transport within the wet bed, represented by the coefficient h bed .
1 h eff = 1 h ws + 1 h bed
The penetration model has been studied and implemented successfully in different investigations and has advantages, such as universality, versatility, good performance, and appropriate consideration of the physical phenomena involved [17,21,26,27].

2.4. Buckingham’s Theorem

Vega et al. (2000) [17] performed a dimensionless analysis of the operating variables for an indirect batch rotary dryer. Experimentally, it was found that the effective heat transfer coefficient is function of the system geometry ( d ¯ p , d t ), operating variables ( v r , n, g, m ˙ s ) and physical properties of solid ( λ eff , ρ eff , c eff ). Applying the Buckingham’s Theorem the following relationship for the effective heat transfer coefficient was obtained
Similar to [17], a dimensionless analysis for the continuous-indirect rotary dryer was conducted, which found the effective heat transfer coefficient is a function of the system geometry ( d ¯ p , d t ), operating variables ( v r , n, g, m ˙ s ), and solids physical properties ( λ eff , ρ eff , c eff )
h eff d t k λ eff = f 1 v t d t α eff , S s / ( ρ eff A S ) v r n d c , d t d ¯ p , d t 3 g α eff 2
where α eff = λ eff / ρ eff c p , eff is the effective thermal diffusivity of solid particles, v t = v r D is the peripheral velocity of the drying chamber, and g is the gravitational acceleration and promotes the particles to fall against upward rotation and friction. The ratio between the tube diameter and the average particle diameter remained constant during dryer operation d t / d ¯ p = 8.79 .
The reorganization of the operational variables presented in Equation (10) allows their grouping into dimensionless numbers commonly used in process engineering
Nu eff = h eff d t k λ eff , Pe = v t d t 2 α eff , Fr = v r 2 ( d t / 2 ) g
Following [28], it is possible to define a new dimensionless relationship between the operational variables associated with the flow of solids, Π Feed which corresponds to the second term on the right of Equation (10).
Π Feed = S s / ( ρ eff A S ) v r n d c
here, A S is the outflow area with a value of 0.01 (m2) and S s / ( ρ eff A S ) is the volumetric flow rate of the solids.
Similarly, it is possible to define the fourth group of operational variables present in Equation (10), in the form
Pe 2 Fr = d t 3 g α eff 2
Finally, an effective heat transfer coefficient will be a function that contains three dimensionless numbers
Nu eff = f 2 Pe , Fr , Π Feed

2.5. Particle Characterization

A series of Tyler standard type sieves were used for the experimental determination of the average particle size. The particle size in each sieve was calculated as an arithmetic mean between the value of the sieve opening, where the mass of solids was retained, and the aperture size of the previous sieve.
d p , i = A b i + A b i 1 2
where A b corresponds to the opening size of each sieve.
The average particle diameter was computed with Equation (16)
d ¯ p = i n d p , i G i
with G i as the mass fraction of solids retained in each sieve.

3. Materials and Methods

3.1. Materials

Sawdust is a residue of forest biomass formed by a set of small solid particles. This material was characterized with a granulometric analysis and subsequently humidified homogeneously up to 65 (%) in a mixer. The granulometric analysis was carried out for a representative sample of 200 (g) using a sieving equipment that allowed stacking a series of standardized sieves with openings between 4.00 and 0.35 (mm). Using Equations (15) and (16), an average particle size of 1.573 (mm) was obtained. The biomass size distribution is presented in Figure 2, and statistically it was found that the data have a standard deviation of 0.1681 and a coefficient of variation of 10.69 (%).
The moisture content of the solid material was measured using a MB35 Halogen OHAUS® moisture analyzer.

3.2. Experimental Design

The experiments considered a 33 factorial design using the following variables: the dryer rotation speed v r , the solids feed flow f t , and the pressure of the heating steam p. Values of these factors are presented in Table 2.
Levels for variables v r and f t were determined based on the equipment design to achieve common residence times for this type of operation, facilitating contact between the solid and the surface of the tubes, obtaining uniformity on the solid’s flow at the outlet, and minimizing the effect of biomass agglomeration inside the dryer. Additionally, the levels of p were referred to the steam production capacity of the boiler installed in the Laboratory. The standardized effects of the experimental factors and their relevance within the drying operation (95 (%) confidence level) were computed using Statgraphics™ Centurion XVII statistical software.

3.3. Experimental Setup

The pilot-scale indirect rotary dryer was manufactured by ENERCOM® (Santiago, Chile), and is installed in the Unit Operations Laboratory of the Department of Chemical and Bioprocess Engineering of the University of Santiago de Chile, see Figure 3. The main drum of the equipment has a diameter of 0.41 (m), an axial evaporation length of 2.1 (m), and 78 internal tubes with 0.01715 (m) in diameter and 1.84 (m) in length. The rotary drum has a 2 (%) angle with respect to the horizontal axis, and the manufacturer reports a total heat transfer area of 10.41 ( m 2 ). The tube set is symmetrically distributed in concentric rows within the rotating drum, as shown in Figure 4. The equipment has internal risers to promote solids agitation. In addition, the unit has a HITACHI WJ200 frequency regulator for the engine, with which the rotation frequency can be modified between 4 and 11 (rpm), and a INVT feed flow regulator.

3.4. Experimental Procedure

  • Enable the inlet of saturated steam to the set of internal tubes by opening the valve;
  • Select the rotation speed on the controller and start the drum rotation;
  • Select the frequency of the feed flow and start loading the forest biomass;
  • Collect the dry biomass at the dryer’s outlet;
  • Verify steady state operation (biomass accumulation within the equipment is near zero).
To validate the steady state operation prior to each experimental run, the temperature and the amount of biomass at the outlet of the indirect dryer were monitored as follows:
  • The mass flow of sawdust at the outlet of the equipment was compared with the inlet flow (without steam heating). Steady state was reached when the difference between both mass flows was lower than 10 (%);
  • Subsequently, the tubes were heated with saturated steam and the temperature of the solid at the outlet of the equipment was recorded. Thermal steady state was reached when the temperature variation at the outlet was lower than 10 (%).
Once the steady state operation was reached, variables were adjusted to match the experimental design values from Section 3.2. The following list describes the set of measurements taken in triplicate during the execution of each experimental run considering a sampling time equal to 5 (min):
  • Inlet and outlet solid temperature;
  • Moisture content of biomass at positions 1 to 4 (see Figure 1);
  • Flow of condensate from moisture removed;
  • Bulk density of the biomass at the inlet and outlet (using the Archimedean principle).

4. Results and Discussion

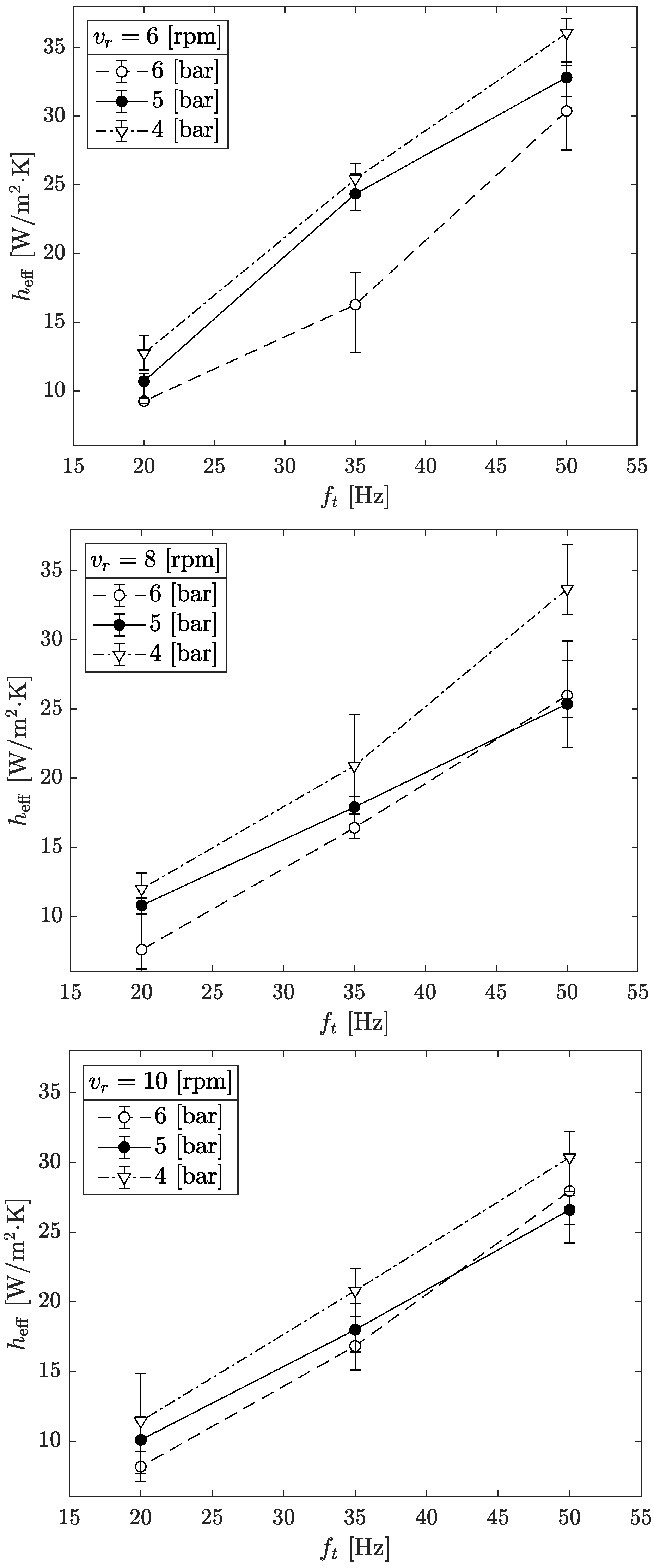
A variation in h eff determined as a function of the values of the operational variables is presented in Figure 5, where it can be seen that the obtained values fall within the range 6.77–36.29 (W/m2K). Experimentally, it was found that higher wet solid feed flows promote higher values of the effective heat transfer coefficient due to the increase in F v o l f t and m ˙ v . Furthermore, an increase in the vapor pressure of the heating tubes has an adverse effect on the h eff values. The effect of p on h eff is due to the fact that the enthalpic change in the dry solid is not proportional to the temperature difference between T W and T sat . These results are in agreement with Equation (4).
Removal of moisture from the solid material was favored when the highest values of p were used, removing approximately 30–75 (%) of the initial moisture content. It was also found that the evaporated water computed from Equation (1) was between 6.38 and 28.78 (kg/h), reaching its peak when the highest values of the operational variables were used. The values obtained for the h eff in this theoretical and experimental works are outside the range with respect to the values reported for industrial dryers [29]. This discrepancy is mainly due to the scale of the experimental equipment used in this study, which is classified as pilot-scale drying equipment.
Figure 6 presents the solids’ volume fraction retained in the drying equipment, Φ = V R / V T , obtained within the operating region as function of v r and f t . As expected, Φ resulted independent of p. For each value of v r , the solids fraction increases with the biomass feed flow. This phenomenon occurs given that increasing f t induces a greater transit of mass into the drum. An unexpected behavior was found for the lower rotation speed v r = 6 (rpm) and f t = 35 (Hz), with a peak at Φ = 4.5 (%), an effect which was diminished with the increase in drum rotation speed. With these results, it can be inferred that when the lowest value of v r was used, the biomass particles agglomerated within the equipment. For this reason, for a piece of drying equipment with similar characteristics to the one used in this study, it is recommended to work with the highest values of v r in order to promote good bed agitation.

4.1. Effective Heat Transfer Coefficient

The effect of the selected operational variables on the effective heat transfer coefficient was determined through a statistical analysis. Table 3 shows the effect values for each factor separately, their interactions, as well as their p-values.
These results show that the effect with the greatest significance is the solid feed flow (B). Furthermore, it is inferred that the statistically significant effects presented in descending order are B, C, A, and AA. Using the four effects with the highest statistical significance, it was possible to generate a regression equation for the effective heat transfer coefficient
h eff = 18.3759 + 9.8811 B 2.7917 C 1.4756 A + 1.6289 AA
where the values of the operation variables are specified in coded units (see Table 2).
The presence of a second-order effect (AA) indicates that the behavior of the effective heat transfer coefficient in the experimental region studied, is represented by a curved surface, whose minimum value is 18.55 (W/m2K), and is predicted by the model with A = 0.82 (about 9.64 (rpm)). The highest experimental result is obtained in the codified unit region (−1,+1,−1) with h eff = 36.33 (W/m2K), i.e., with A = −1 (6 (rpm)), B = +1 (50 (Hz)), and C = −1 (4 (bar)). In contrast, the lowest value was obtained in the coded unit region (0,−1,1) with h eff = 6.77 (W/m2K), i.e., with A = 0 (8 (rpm)), B = −1 (20 (Hz)), and C = −1 (4 (bar)). A good correlation of Equation (17) with experimental data was observed, with R2 = 97.57 (%) and RMSE = 1.67.
Wu et al. (2011) [30] observed that increasing rotary velocity can increase the particles agitation, and with it, the heat transfer until a limit of 40 (rpm). Then, the decrease in the heat transfer was the result of a change in the particles moving pattern. However, this behavior is not observed in the dryer with continuous feeding within the rotation range.

4.2. Moisture Content

The overall change in the solid moisture content MCC = X 1 X 4 , and its ratio with the inlet moisture content MCR = X 1 X 4 / X 1 , were the subject of statistical analysis. Table 4 shows the results obtained regarding the effects, their interactions, and the p-values.
The results indicate a higher effect of factors A and BC, specially especially factor A on the MCC within the experimental region, while for the MCR, the significant effects are AA, AC, and CC. It is possible to infer that the increased rotation of the equipment allows the solid main mass to be disaggregated, exposing a larger surface area, and facilitating the occurrence of the mass and energy transport phenomena. Using the two effects with the highest statistical significance, it was possible to generate regression equations for MCC and MCR
MCC = 1.10042 0.16776 A + 0.09056 BC
MCR = 0.74623 + 0.09935 AA + 0.06322 AC 0.09165 CC
The curve fit statistical parameters obtained for the Equations (18) and (19) are R2 = ( 68.93 , 70.77 ) (%) and RMSE = (0.38, 0.05), respectively. The correlation coefficients of both coded equations are not statistically relevant, so it was not possible to validate these models. Changes in the flow regime translate into a non-linear behavior of MCC and MCR, making it impossible to accurately interpolate the central point of the experimental region, see Figure 7 and Figure 8.

4.3. Dimensionless Moisture Profiles

The study of the rate of change in the moisture in the axial direction requires to determinethe determination of the influence of the operational variables. In the previous section, it was found that the rotation speed fluctuation is the most significant with respect to MCC and MCR, excluding from the analysis the incidence on the axial distribution of the moisture content.
In the study of the dimensionless moisture profile, it was observed that the dryer rotation speed v r is the variable with lessthe least average fluctuation for a drying operation at constant pressure. Therefore, the design 3 3 was transformed into a design 3 2 with triplicate, considering only the variables of feeding frequency and steam pressure f t and p in its three levels.
Figure 9 presents the axial distribution of dimensionless moisture content within the dryer. The highest rates of change in the axial profiles are presented inat the second sampling position ( X 2 ) , regarded as the solid material adaptation zone to the environment conditions controlled by rotation. It is possibly at this stage that a significant fraction of the superficial moisture is removed at a constant drying rate. For all the cases presented, the humidity profiles evolve with less steep slopes from the second position. This may be associated with the partial depletion of superficial moisture and the initiation of the moisture removal process from inside the solid particles. With this, it is inferred that there is a higher resistance to the mass transfer and the drying rate decreases. The feeding frequency that resulted in a product with lower moisture content at the dryer outlet was f t = 20 Hz for steam pressures of 4 and 5 bar, while a frequency of f t = 50 Hz was sought for 6 (bar) of steam pressure. Consistent with the results presented in Section 4, the highest rate of moisture removal is achieved when the highest values of the operational variables are used, reducing the moisture of the solid by up to 45 (%), achieving a peak evaporated water mass flow rate of 28.78 (kg/h) for f t = 50 (Hz) and p = 6 (bar). For a pressure of 5 (bar), a moisture reduction of up to 42 (%) was found for f t = 20 (Hz) ( m ˙ v = 9.25 (kg/h)) and 35 (%) for f t = 50 (Hz) ( m ˙ v = 23.34 (kg/h)), which demonstrates that to eliminate water to levels appropriate for forest-based biofuel consumption, a greater energy input from saturated steam will be necessary. Similarly, decreasing the steam pressure to 4 (bar) favors the final moisture reduction for lower feeding frequencies, reaching a moisture reduction of from 25 to 42 (%). These results are consistent with those reported in the literature, where higher evaporation rates are achieved using high feed rates of wet material and high vapor pressure, and where lower moisture contents in the dry biomass are achieved when the feed flow is reduced [22,31,32].

4.4. Empirical Correlation

Considering Equation (14) obtained from the dimensional analysis of the main operational variables, the functional relation proposed has the form Nu = B 0 Pe B 1 Fr B 2 Π Feed B 3 , where B 0 , B 1 , B 2 , and B 3 are parameters to be adjusted with the experimental data obtained. The resulting expression is presented below
Nu eff = 1.1593 · 10 2 Pe 0.7279 Fr 0.4767 Π Feed 1.0317
The agreement between the values of h eff obtained experimentally and those calculated from Equation (20), by means of a multiple linear regression to the logarithmic variables, was analyzed. The regression returned a value of 85.88 (%) for the correlation coefficient, 2.669 for RMSE, 0.0846 for the standard error, and 26 total degrees of freedom. For the h eff , a value of 3.448 for RMSE was obtained.
Figure 10 shows the graphical representation of the three dimensionless groups and their correlation. Regarding the dimensionless feed number, since its exponent in the relation is 1.0317, it can be inferred that the rate of change between Nu eff and Π feed is proportional. It is possible to identify that the correlation for Nu eff is grouped into three areas, each based on f t . Deviations in the data fit are gathered above the line in those cases where a higher vapor pressure p was used, and below the line in those where a lower value was used.
The Fr number, a ratio between the centrifugal force and the force of gravity, was found in the range of [2.1–5.8] · 10−4, which is indicative that the bed is in a slumping process [18], whereby the active layer remains slightly stable via agitation. Regarding the Pe number, the values were obtained in the range [834.9–1860.5], which gives an idea of the behavior of the plug flow of the solid and the low capacity of the material to conduct thermal energy. As for the Π Feed number, its values were found within the range of [0.077–0.321], within the range reported by Fan et al. (1961) [28].
From the results obtained, it is possible to conclude that the vapor pressure has a significant effect on the deviation with respect to the prediction of the value of h eff with three factors, and that this variable must be included in the correlation. For this reason, the difference between the temperatures T W and T s 1 was included, which is representative of the heat transfer potential that exists between the inner wall of the dryer and the bed of the particles, and the difference between the temperatures of T s a t and T s 1 is a measure of the energy requirement of the bed. The ratio between these temperature differences can be interpreted as the thermal efficiency [33], consequently, the heat dimensionless number is defined as follows:
Π Heat = T W T s 1 T s a t T s 1
Including the Π Heat number to the function of Nueff and performing a multiple linear regression through the logarithmic variables, it was possible to generate the following equation:
Nu eff = 8.1029 · 10 2 Pe 0.4624 Fr 0.3143 Π Feed 1.0008 Π Heat 3.3451
with Π Heat values found in the range [0.3352–0.3897].
The correlation between the values of h eff obtained experimentally and those calculated from Equation (22), returned a value of 94.46 (%) for the correlation coefficient, 1.814 for RMSE, 0.0542 for the standard error, and 26 total degrees of freedom. For the h eff , a value of 2.2071 for RMSE was obtained.
Figure 11 shows the new fit of the experimental data to the correlation constructed from four dimensionless numbers. Regarding the number Π Heat , it turned out to be the most influential in the heat transfer process, finding an impact on the power of Π Heat 3.3451 . This relationship agrees with the variation observed in h eff when different values of p were used. As shown earlier in Figure 5, the higher the heating vapor pressure, the more the wall temperature increases and h eff decrease. This result should be considered as a measure of the thermal efficiency of the drying process, in relation to the available thermal energy and its transfer to the particle bed.

5. Conclusions

A theoretical and experimental study on the effective heat transfer coefficient in a continuous-indirect dryer was performed.Considering the penetration model, macroscopic mass, and energy balances, the mathematical expression to calculate the effective heat transfer coefficient was obtained. Experimentally, it was found that higher wet biomass feed flows promote higher values of h eff , and an increase in the heating steam pressure and higher drum rotation has thean adverse effect. Through a statistical analysis, a function which included the operational variables and their interactions was obtained. The generated equation presented a good fit of data within the experimental region, and is reliable to obtain adequate values of the h eff . The axial moisture profiles of the solid were studied, and it was found that the highest rates of change are presented in the second sample position, and the profiles evolve with less steep slopes in the following positions. This decrease in the drying rate was due to the increase in the mass transfer resistance caused by the elimination of a large part of the surface moisture of the biomass particles.
Applying the Buckingham’s Theorem, it was possible to relate the effective Nueff number with the Pe, Fr, and Π Feed . The empirical correlation obtained has a data correlation of 85.88 (%). Subsequently, with the results from the statistical analysis, a fourth dimensionless number, Π Heat , was found to improve the existing data correlation by up to 94.46 (%). Dimensionless correlations generated between three and four dimensionless numbers were obtained for the prediction of h eff . A better correspondence with the experimental data was found in the correlation formed by four dimensionless groups with an adjustment coefficient of 94.46 (%), with theResults show that the number Π Heat turned out to be the most influential in the heat transfer process. With the correlations obtained, an optimal design and operation of continuous-indirect rotary dryers can be achieved, since computing accurate h eff can be used for instance to find the substrate appropriate for humidity removal rates and to perform energy efficiency analysis, promoting a more sustainable and quality-oriented operation.
For future work, the following could be considered: expand the study to test different types of biomass and other granular materials for assessing the validity of the obtained correlations; develop differential mathematical models to predict the heat and mass transfer rates, and through averaging techniques, validate the macroscopic results; conduct studies and tests on a larger scale or in industrial conditions to validate the applicability and scalability of the correlations developed in the current study.

Author Contributions

Conceptualization, P.D.-G. and L.H.-V.; methodology, P.D.-G. and I.D.; investigation, P.D.-G. and J.G.; data curation P.D.-G. and L.H.-V.; writing—original draft preparation, P.D.-G., L.H.-V., J.G., I.D. and I.F.; writing—review and editing, P.D.-G., L.H.-V. and I.F. All authors have read and agreed to the published version of the manuscript.

Funding

The APC was funded by the Facultad de Ingeniería, University of Santiago of Chile.

Data Availability Statement

Data are contained within the article.

Conflicts of Interest

The authors declare no conflicts of interest. The funders had no role in the design of the study; in the collection, analyses, or interpretation of data; in the writing of the manuscript; or in the decision to publish the results.

Abbreviations

A i Equipment area of i zone (m2)
A b i Aberture of i tyler grid (m)
c p , i Specific heat capacity of i phase (J/kgK)
dDiameter (m)
f t Feed flow frequency (Hz)
F v o l Volumetric feed flow (m3/s)
FrFroude dimensionless number
gAcceleration due to gravity (m/s2)
G i Mass fraction contained in the sieve i
H i Specific enthalpy in i phase (J/kg)
h i Heat transfer coefficient in i phase (W/m2s)
LEquipment length (m)
mSolid thermal conductivity correlation coefficient (W/mK2)
m ˙ Mass flow (kg/s)
NVaporized mass flow (kg/s)
nSlope of rotary dryer
NuNusselt dimensionless number
pSteam pressure (bar)
PePéclet dimensionless number
QTotal heat transferred (W)
S S Mass flow of dry solid (kg/s)
T i Temperature of i phase (K)
VVolume (m3)
v r Chamber rotation velocity (1/s)
v t Peripheral chamber velocity (m/s)
XMoisture content in dry basis
xMoisture content in wet basis
zLength (m)
Subscripts
bedFor the bed, for heat penetration
cChamber
effEffective
iSample position, e.g., 1, 2, 3, and 4.
pMean particle
RResidence
S s Solid phase
s a t Saturation
TTotal
vSteam phase
wsWall-to-first-layer
wWater
WHeating tubes external wall
Greek
α Thermal difussivity (m2/s)
Δ H v Vaporization enthalpy (J/kg)
λ Thermal conductivity (W/mK)
Φ Solid volume fraction of the dryer
Π Feed Feed dimensionless number
Π Heat Heat dimensionless number
ρ i Density of i phase (kg/m3)

References

  1. Peña, S. La Biomasa: Importancia, Tipos y Características y Formas de Preparación. 2016. Available online: https://www.researchgate.net/publication/311171316_La_biomasa_Importancia_tipos_y_caracteristicas_y_formas_de_preparacion (accessed on 30 January 2024).
  2. Irsen, X. La Humedad en la Biomasa: Herramientas de Medida y Control; Dienvic, Energética XXI: Madrid, Spain, 2016. [Google Scholar]
  3. Canales, E.R.; Bórquez, R.M.; Melo, D.L. Steady state modelling and simulation of an indirect rotary dryer. Food Control 2001, 12, 77–83. [Google Scholar] [CrossRef]
  4. Nhuchhen, D.R.; Basu, P.; Acharya, B. Investigation into overall heat transfer coefficient in indirectly heated rotary torrefier. Int. J. Heat Mass Transf. 2016, 102, 64–76. [Google Scholar] [CrossRef]
  5. Havlik, J.; Dlouhy, T. Integration of biomass indirect dryers into energy systems. J. Chem. Eng. Jpn. 2017, 50, 792–798. [Google Scholar] [CrossRef]
  6. Phiciato, P.; Yaskuri, D. Dual-stage drying process of lignite using pilot scale coal rotary dryer. Int. J. Coal Prep. Util. 2019, 39, 373–388. [Google Scholar] [CrossRef]
  7. Nafsun, A.; Herz, F. Experiments on the temperature distribution in the solid bed of rotary drums. Appl. Therm. Eng. 2016, 103, 1039–1047. [Google Scholar] [CrossRef]
  8. Lee, H.; Choi, S. Lifter design for enhanced heat transfer in a rotary kiln reactor. J. Mech. Sci. Technol. 2013, 27, 3191–3197. [Google Scholar] [CrossRef]
  9. Aziz, M.; Oda, T.; Kashiwagi, T. Enhanced high energy efficient steam drying of algae. Appl. Energy 2013, 109, 163–170. [Google Scholar] [CrossRef]
  10. Kunii, D.; Chisaki, T. Rotary Reactor Engineering, 1st ed.; Elsevier: Amsterdam, The Netherlands, 2008. [Google Scholar]
  11. Waje, S.; Thorat, B.; Mujumdar, A. Hydrodynamic characteristics of a pilot-scale screw conveyor dryer. Dry. Technol. 2007, 25, 609–616. [Google Scholar] [CrossRef]
  12. Nafsun, A.; Herz, F.; Liu, X. Influence of material thermal properties and dispersity on thermal bed mixing in rotary drums. Powder Technol. 2018, 331, 121–128. [Google Scholar] [CrossRef]
  13. Liu, X.; Hu, Z.; Wu, W.; Zhan, J.; Herz, F.; Specht, E. DEM study on the surface mixing and whole mixing of granular materials in rotary drums. Powder Technol. 2017, 315, 438–444. [Google Scholar] [CrossRef]
  14. Li, X.; Gao, L.; Yun, D.; Yang, L.; Geng, W.; Wu, J. A CFD modeling investigation for structure optimization of a rotary steam tube dryer. IOP Conf. Ser. Mater. Sci. Eng. 2018, 397, 012076. [Google Scholar] [CrossRef]
  15. Benedito, W.M.; Duarte, C.R.; de Souza Barrozo, M.A.; dos Santos, D.A. An investigation of CFD simulations capability in treating non-spherical particle dynamics in a rotary drum. Powder Technol. 2018, 332, 171–177. [Google Scholar] [CrossRef]
  16. Kohav, T.; Richardson, J.; Luss, D. Axial dispersion of solid particles in a continuous rotary kiln. AIChE J. 1995, 41, 2465–2475. [Google Scholar] [CrossRef]
  17. Vega, R.E.; Álvarez, P.I.; Canales, E.R. Dimensionless Correlation for the Heat Coefficient in a Batch-Indirect Rotary Dryer. Dry. Technol. 2000, 18, 2351–2367. [Google Scholar] [CrossRef]
  18. Mellmann, J. The transverse motion of solids in rotating cylinders—Forms of motion and transition behavior. Powder Technol. 2001, 118, 251–270. [Google Scholar] [CrossRef]
  19. Figueroa, I.; Vargas, W.L.; McCarthy, J.J. Mixing and heat conduction in rotating tumblers. Chem. Eng. Sci. 2010, 65, 1045–1054. [Google Scholar] [CrossRef]
  20. Sunkara, K.R.; Herz, F.; Specht, E.; Mellmann, J. Influence of flight design on the particle distribution of a flighted rotating drum. Chem. Eng. Sci. 2013, 90, 101–109. [Google Scholar] [CrossRef]
  21. Tada, É.; Bück, A.; Casciatori, F.; Tsotsas, E.; Thoméo, J. Investigation of heat transfer in partially filled horizontal drums. Chem. Eng. J. 2017, 316, 988–1003. [Google Scholar] [CrossRef]
  22. Havlík, J.; Dlouhý, T. Indirect Dryers for Biomass Drying-Comparison of Experimental Characteristics for Drum and Rotary Configurations. ChemEngineering 2020, 4, 18. [Google Scholar] [CrossRef]
  23. Cengel, Y.A.; Ghajar, A.J. Transferencia de Calor y Masa. Fundamentos y Aplicaciones, 4th ed.; McGraw Hill: New York, NY, USA, 2011. [Google Scholar]
  24. Moreno, R. Secado de partículas de biomasa forestal en un lecho fluidizado. In Memoria para Optar al Grado de Doctor en Materiales, Energética y Mecánica; Universidad de Valladolid: Valladolid, Spain, 2005. [Google Scholar]
  25. Schlünder, E.; Mollekopf, N. Vacuum contact drying of free flowing mechanically agitated particulate material. Chem. Eng. Process. Process. Intensif. 1984, 18, 93–111. [Google Scholar] [CrossRef]
  26. Shone, C.; Bravo, S. Mathematical modelling of indirect contact rotary dryers. Dry. Technol. 1998, 16, 1567–1583. [Google Scholar] [CrossRef]
  27. Tsotsas, E.; Kwapinska, M.; Saage, G. Modeling of Contact Dryers. Dry. Technol. 2007, 25, 1377–1391. [Google Scholar] [CrossRef]
  28. Fan, L.T.; Ahn, Y.K. Axial dispersion of solids in rotary solid flow systems. Appl. Sci. Res. 1961, 10, 465–470. [Google Scholar] [CrossRef]
  29. Mujumdar, A.S. Handbook of Industrial Drying, 4th ed.; CRC Press: Boca Raton, FL, USA, 2014. [Google Scholar]
  30. Wu, J.; Li, X.; Wang, H.; Shi, Y.; Chai, B. Experimental study on heat transfer coefficient in a rotary tube dryer. Asia-Pac. J. Chem. Eng. 2011, 6, 312–315. [Google Scholar] [CrossRef]
  31. Kovařík, P. Drying of Biomass with High Water Content. Ph.D. Thesis, Czech Technical University in Prague, Prague, Czech Republic, 2017. [Google Scholar]
  32. Havlík, J.; Dlouhý, T.; Pitel’, J. Drying Biomass with a High Water Content—The Influence of the Final Degree of Drying on the Sizing of Indirect Dryers. Processes 2022, 10, 739. [Google Scholar] [CrossRef]
  33. Gluesenkamp, K.R.; Boudreaux, P.; Patel, V.K.; Goodman, D.; Shen, B. An efficient correlation for heat and mass transfer effectiveness in tumble-type clothes dryer drums. Energy 2019, 172, 1225–1242. [Google Scholar] [CrossRef]
Figure 1. Scheme of the indirect rotary dryer that includes indexing of mass and energy flows.
Figure 1. Scheme of the indirect rotary dryer that includes indexing of mass and energy flows.
Processes 12 00357 g001
Figure 2. Particle size distribution of sawdust.
Figure 2. Particle size distribution of sawdust.
Processes 12 00357 g002
Figure 3. Continuous-indirect rotary dryer equipment.
Figure 3. Continuous-indirect rotary dryer equipment.
Processes 12 00357 g003
Figure 4. Rotary tubes diagram, (a) tube distribution, (b) tube set.
Figure 4. Rotary tubes diagram, (a) tube distribution, (b) tube set.
Processes 12 00357 g004
Figure 5. Evolution of h eff values for different levels of the variables f t , p, and v r .
Figure 5. Evolution of h eff values for different levels of the variables f t , p, and v r .
Processes 12 00357 g005
Figure 6. Φ as a function of f t for different values of v r .
Figure 6. Φ as a function of f t for different values of v r .
Processes 12 00357 g006
Figure 7. Main effects of the experimental factors of Δ X .
Figure 7. Main effects of the experimental factors of Δ X .
Processes 12 00357 g007
Figure 8. Main effects of the experimental factors of Δ X / X 1 .
Figure 8. Main effects of the experimental factors of Δ X / X 1 .
Processes 12 00357 g008
Figure 9. Dimensionless moisture profiles as function of f t and p.
Figure 9. Dimensionless moisture profiles as function of f t and p.
Processes 12 00357 g009aProcesses 12 00357 g009b
Figure 10. Experimental data and correlation obtained with three dimensionless groups.
Figure 10. Experimental data and correlation obtained with three dimensionless groups.
Processes 12 00357 g010
Figure 11. Experimental data and correlation obtained with four dimensionless groups.
Figure 11. Experimental data and correlation obtained with four dimensionless groups.
Processes 12 00357 g011
Table 1. Values of m coefficient of Equation (7) [24].
Table 1. Values of m coefficient of Equation (7) [24].
X (kg/kg) m × 10 4  (W/mK2)
0.01–0.293.5
0.30–0.598.1
0.60–0.8911.1
0.90–1.5016.3
Table 2. Operational variables levels considered in the experimental design.
Table 2. Operational variables levels considered in the experimental design.
Levels v r  (rpm) f t  (Hz)p (bar)
High (+1)10506
Mid (0)8355
Low (−1)6204
Table 3. Estimated effects for h eff and p-values.
Table 3. Estimated effects for h eff and p-values.
EffectEstimatedp-Value
Mean18.3759-
A: v r −2.951110.0018 *
B: f t 19.76220.0000 *
C:p−5.583330.0000 *
AA3.257780.0313 *
AB−1.846670.0771
AC1.20.2381
BB1.017780.4734
BC−0.5750.5657
CC0.654440.6433
* Significant effects.
Table 4. Estimated effects for moisture content change and ratio with p-values.
Table 4. Estimated effects for moisture content change and ratio with p-values.
X 1 X 4 X 1 X 4 / X 1
EffectEstimatedp-Value Estimatedp-Value
Mean1.1004-0.7462-
A: v r −0.33550.0001 *−0.03610.2453
B: f t 0.10080.14970.00610.8423
C:p−0.01500.82490.01330.6641
AA0.16990.16020.19870.0014 *
AB−0.01590.8486−0.01580.6730
AC0.01660.84170.12640.0031 *
BB0.18490.12850.02760.6025
BC0.18110.0408 *0.01540.6804
CC−0.07970.5005−0.18330.0026 *
* Significant effects.
Disclaimer/Publisher’s Note: The statements, opinions and data contained in all publications are solely those of the individual author(s) and contributor(s) and not of MDPI and/or the editor(s). MDPI and/or the editor(s) disclaim responsibility for any injury to people or property resulting from any ideas, methods, instructions or products referred to in the content.

Share and Cite

MDPI and ACS Style

Donoso-García, P.; Henríquez-Vargas, L.; González, J.; Díaz, I.; Fuentes, I. A Study for Estimating the Overall Heat Transfer Coefficient in a Pilot-Scale Indirect Rotary Dryer. Processes 2024, 12, 357. https://doi.org/10.3390/pr12020357

AMA Style

Donoso-García P, Henríquez-Vargas L, González J, Díaz I, Fuentes I. A Study for Estimating the Overall Heat Transfer Coefficient in a Pilot-Scale Indirect Rotary Dryer. Processes. 2024; 12(2):357. https://doi.org/10.3390/pr12020357

Chicago/Turabian Style

Donoso-García, Pablo, Luis Henríquez-Vargas, Juan González, Isaac Díaz, and Ismael Fuentes. 2024. "A Study for Estimating the Overall Heat Transfer Coefficient in a Pilot-Scale Indirect Rotary Dryer" Processes 12, no. 2: 357. https://doi.org/10.3390/pr12020357

APA Style

Donoso-García, P., Henríquez-Vargas, L., González, J., Díaz, I., & Fuentes, I. (2024). A Study for Estimating the Overall Heat Transfer Coefficient in a Pilot-Scale Indirect Rotary Dryer. Processes, 12(2), 357. https://doi.org/10.3390/pr12020357

Note that from the first issue of 2016, this journal uses article numbers instead of page numbers. See further details here.

Article Metrics

Back to TopTop