Study on Adsorption and Photocatalytic Properties of Zinc Ferrite
Abstract
:1. Introduction
2. Materials and Methods
2.1. Preparation of Zinc Ferrite, Titanium Dioxide, and Their Composites
2.2. Adsorption Experiments
2.3. Photocatalytic Experiments
3. Results and Discussion
3.1. Removal of Methyl Orange, Methylene Blue, and Amido Black 10B by Zinc Ferrite
3.1.1. Removal of Methyl Orange, Methylene Blue, and Amido Black 10B by Purified Zinc Ferrite
3.1.2. Removal of Methyl Orange, Methylene Blue, and Amido Black 10B by Synthetic Zinc Ferrite
3.1.3. Removal of Methyl Orange, Methylene Blue, and Amido Black 10B by Purchased Zinc Ferrite
3.2. Removal of Amido Black 10B by Purified Zinc Ferrite
3.2.1. Effect of the Particle Size of Purified Zinc Ferrite on the Removal of Amido Black 10B
3.2.2. Effect of the Dosage of Purified Zinc Ferrite on the Removal of Amido Black 10B
3.2.3. Effect of the Physical Mixing of Purified Zinc Ferrite with Titanium Dioxide on the Removal of Amido Black 10B
Effect of Titanium Dioxide Calcined at Different Temperatures
Effect of the Titanium Dioxide Dosage
Effect of the Initial pH of the Solution
3.2.4. Effect of Time
3.3. Effect of Zinc Ferrite on the Photocatalytic Degradation of Methylene Blue
3.3.1. Effect of Purified Zinc Ferrite Dosage
3.3.2. Effect of the Initial Concentration of the Solution
3.3.3. Effect of Solution pH
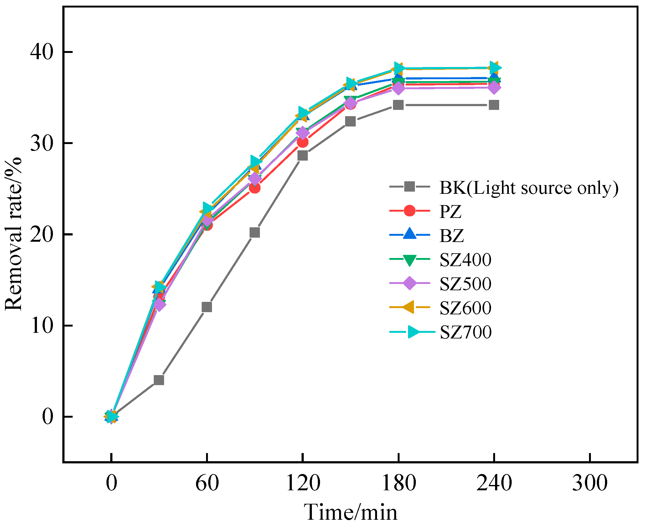
3.3.4. Comparison of the Photocatalytic Performance of Different Types of Zinc Ferrite toward Methylene Blue
3.4. Effect of Zinc Ferrite on the Photocatalytic Degradation of Methyl Orange
3.4.1. Effect of the Type of Zinc Ferrite
3.4.2. Effect of the Amount of Zinc Ferrite/Titanium Dioxide
3.4.3. Effect of the Initial Solution Concentration
3.4.4. Effect of Titanium Dioxide
4. Conclusions
- (1)
- The highest removal rates of amido black 10B by the three zinc ferrites ranged from 81.62% to 88.33%; those of methyl orange and methylene blue were about 1% and about 2%, respectively.
- (2)
- Titanium dioxide (0.5 g/L) prepared at different calcination temperatures was physically mixed with purified zinc ferrite (0.5 g/L) to improve the adsorption of amido black 10B (40 mg/L). The best removal effect was observed when using titanium dioxide calcined at 600 °C, and the removal rate of amido black 10B increased from 43.49% to 77.51%.
- (3)
- The optimal conditions for the photocatalytic degradation of methylene blue by zinc ferrite were as follows: a zinc ferrite catalyst dosage of 0.15 g, an initial solution concentration of 20 mg/L, and a pH of 6.0.
- (4)
- The photocatalytic degradation rate of methyl orange reached 100% after 180 min at the following optimal conditions: a zinc ferrite and titanium dioxide composite catalyst dosage of 0.15 g, an initial dye solution concentration of 20 mg/L, and a pH of 6.5.
Author Contributions
Funding
Data Availability Statement
Conflicts of Interest
References
- Liu, X.; Yang, Y.; Shi, X.; Li, K. Fast photocatalytic degradation of methylene blue dye using a low-power diode laser. J. Hazard. Mater. 2015, 283, 267–275. [Google Scholar] [CrossRef] [PubMed]
- Fatima, M.; Farooq, R.; Lindström, R.W.; Saeed, M. A review on biocatalytic decomposition of azo dyes and electrons recovery. J. Mol. Liq. 2017, 246, 275–281. [Google Scholar] [CrossRef]
- Mo, J.H.; Lee, Y.H.; Kim, J.; Jeong, J.Y.; Jegal, J. Treatment of dye aqueous solutions using nanofiltration polyamide composite membranes for the dye wastewater reuse. Dye. Pigment. 2008, 76, 429–434. [Google Scholar] [CrossRef]
- Greluk, M.; Hubicki, Z. Evaluation of polystyrene anion exchange resin for removal of reactive dyes from aqueous solutions. Chem. Eng. Res. Des. 2013, 91, 1343–1351. [Google Scholar] [CrossRef]
- Gong, Z.; Fu, T.Y.; Sun, H.F.; Zhao, X.; Cheng, Z.; Li, J. Research progress on treatment of printing and dyeing wastewater by advanced oxidation Technology. Hydrometall. China 2022, 41, 283–288. [Google Scholar]
- Azbar, N.; Yonar, T.; Kestioglu, K. Comparison of various advanced oxidation processes and chemical treatment methods for COD and color removal from a polyester and acetate fiber dyeing effluent. Chemosphere 2004, 55, 35–43. [Google Scholar] [CrossRef]
- Bai, W.Q. Study on Advanced Treatment of Printing and Dyeing Wastewater by Micro Electrolysis-Fenton Oxidation Combined with Biological Treatment. Master’s Thesis, Nanjing Agricultural University, Nanjing, China, 2017. [Google Scholar]
- Huang, W.; Cao, X.J.; Zhu, H.Z.; Tang, B.M. Research on physic adsorption and photocatalytic activity of TiO2/SiO2 with different molar content of SiO2. J. Wuhan Univ. Technol. 2015, 37, 25–31. [Google Scholar]
- Spagni, A.; Casu, S.; Grilli, S. Decolourisation of textile wastewater in a submerged anaerobic membrane bioreactor. Bioresour. Technol. 2012, 117, 180–185. [Google Scholar] [CrossRef] [PubMed]
- Liu, N.; Zheng, X.L.; Xie, X.H.; Sun, P.; Wang, L.; Su, H.M. Effect of oxygen on decolorization and degradation of azo dyes by mixed flora. Microbiol. China 2020, 47, 2359–2371. [Google Scholar]
- Tomei, M.C.; Pascual, J.S.; Angelucci, D.M. Analysing performance of real textile wastewater bio-decolourization under different reaction environments. J. Clean. Prod. 2016, 129, 468–477. [Google Scholar] [CrossRef]
- Qin, B.; Gu, J.C.; Yin, P. Research progresses on dye wastewater treatment technology. Environ. Prot. Chem. Ind. 2021, 41, 9–18. [Google Scholar]
- Xu, W.F.; Sun, L.; Yuan, X.J.; Xia, D.S. Preparation of nanometer zinc ferrite and its application in water treatment. Technol. Water Treat. 2020, 46, 6–10. [Google Scholar]
- Lemine, O.M.; Bououdina, M.; Sajieddine, M.; AAl-Saie, M.; Shafi, M.; Khatab, A.; Al-hilali, M.; Henini, M. Synthesis, structural, magnetic and optical properties of nanocrystalline ZnFe2O4. Phys. B Condens. Matter 2011, 406, 1989–1994. [Google Scholar] [CrossRef]
- Fan, G.; Gu, Z.; Yang, L.; Li, F. Nanocrystalline zinc ferrite photocatalysts formed using the colloid mill and hydrothermal technique. Chem. Eng. J. 2009, 155, 534–541. [Google Scholar] [CrossRef]
- Cai, C.; Zhang, Z.; Liu, J.; Shan, N.; Zhang, H.; Dionysiou, D.D. Visible light-assisted heterogeneous Fenton with ZnFe2O4 for the degradation of Orange II in water. Appl. Catal. B Environ. 2016, 182, 456–468. [Google Scholar] [CrossRef]
- Savunthari, K.V.; Shanmugam, S. Effect of co-doping of bismuth, copper and cerium in zinc ferrite on the photocatalytic degradation of bisphenol A. J. Taiwan Inst. Chem. Eng. 2019, 101, 105–118. [Google Scholar] [CrossRef]
- Li, P.; Liu, Y.; Xue, R.; Fan, X. Magnetic retrievable Ag/AgBr/ZnFe2O4 photocatalyst for efficient removal of organic pollutant under visible light. Appl. Organomet. Chem. 2020, 34, e5548. [Google Scholar] [CrossRef]
- Yang, J.; Huo, X.; Li, Z.; Ma, S. Study on properties of zinc ferrite, titanium dioxide and their composites. E3S Web Conf. 2023, 385, 04016. [Google Scholar] [CrossRef]



















| Main Material | Roasting Temperature/°C | Product | Product Number |
|---|---|---|---|
| Zinc calcine + H2SO4 | / | ZnFe2O4 + PbSO4 | PZ |
| Fe (NO3)3·9H2O + Zn (NO3)2·6H2O | 400 | ZnFe2O4 | SZ400 |
| Fe (NO3)3·9H2O + Zn (NO3)2·6H2O | 500 | ZnFe2O4 | SZ500 |
| Fe (NO3)3·9H2O + Zn (NO3)2·6H2O | 600 | ZnFe2O4 | SZ600 |
| Fe (NO3)3·9H2O + Zn (NO3)2·6H2O | 700 | ZnFe2O4 | SZ700 |
| TiOSO4 + NH3·H2O | 300 | TiO2 | T300 |
| TiOSO4 + NH3·H2O | 400 | TiO2 | T400 |
| TiOSO4 + NH3·H2O | 500 | TiO2 | T500 |
| TiOSO4 + NH3·H2O | 600 | TiO2 | T600 |
| TiOSO4 + NH3·H2O | 700 | TiO2 | T700 |
| TiOSO4 + NH3·H2O + 5%PZ | 400 | ZnFe2O4/TiO2 | T400/PZ (5%) |
| TiOSO4 + NH3·H2O + 5%PZ | 500 | ZnFe2O4/TiO2 | T500/PZ (5%) |
| TiOSO4 + NH3·H2O + 10%PZ | 500 | ZnFe2O4/TiO2 | T500/PZ (10%) |
| ZnFe2O4 | / | ZnFe2O4 | BZ |
Disclaimer/Publisher’s Note: The statements, opinions and data contained in all publications are solely those of the individual author(s) and contributor(s) and not of MDPI and/or the editor(s). MDPI and/or the editor(s) disclaim responsibility for any injury to people or property resulting from any ideas, methods, instructions or products referred to in the content. |
© 2023 by the authors. Licensee MDPI, Basel, Switzerland. This article is an open access article distributed under the terms and conditions of the Creative Commons Attribution (CC BY) license (https://creativecommons.org/licenses/by/4.0/).
Share and Cite
Yang, J.; Huo, X.; Li, Z.; Li, H.; Wang, T.; Ma, S. Study on Adsorption and Photocatalytic Properties of Zinc Ferrite. Processes 2023, 11, 1607. https://doi.org/10.3390/pr11061607
Yang J, Huo X, Li Z, Li H, Wang T, Ma S. Study on Adsorption and Photocatalytic Properties of Zinc Ferrite. Processes. 2023; 11(6):1607. https://doi.org/10.3390/pr11061607
Chicago/Turabian StyleYang, Jinlin, Xingnan Huo, Zongyu Li, Hengjun Li, Teng Wang, and Shaojian Ma. 2023. "Study on Adsorption and Photocatalytic Properties of Zinc Ferrite" Processes 11, no. 6: 1607. https://doi.org/10.3390/pr11061607
APA StyleYang, J., Huo, X., Li, Z., Li, H., Wang, T., & Ma, S. (2023). Study on Adsorption and Photocatalytic Properties of Zinc Ferrite. Processes, 11(6), 1607. https://doi.org/10.3390/pr11061607
