Thermogravimetric Analysis on Co-Gasification Characteristics of Sludge and Straw under CO2 Atmosphere
Abstract
1. Introduction
2. Experiments
2.1. Samples Description
2.2. Experimental Apparatus, Methods and Kinetic Method
3. Results and Discussion
3.1. Co-Pyrolysis Characteristics of Sludge and Straw in the Low-Temperature Region
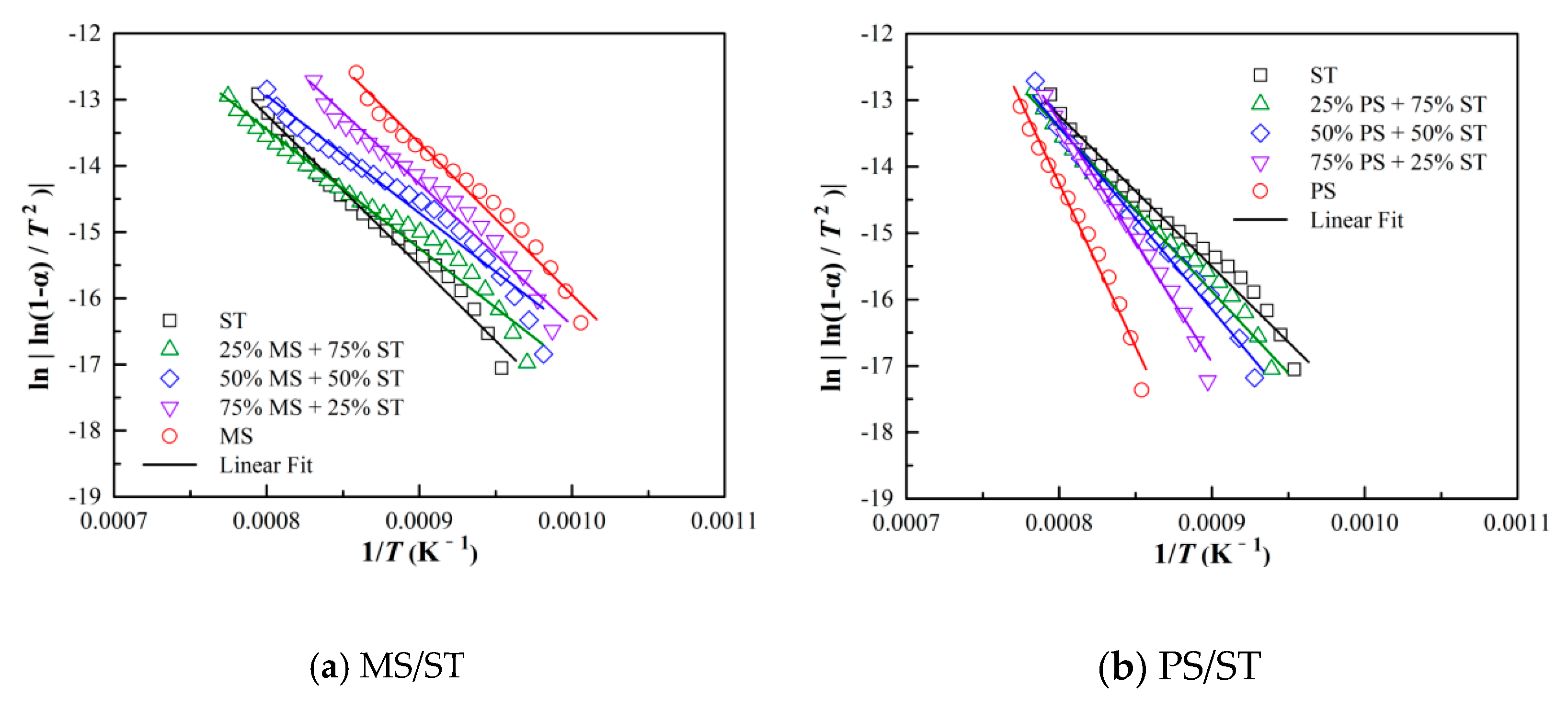
3.2. Kinetic Analysis of the Co-Pyrolysis Reaction of Sludge and Straw
3.3. Co-Gasification Characteristics in the High-Temperature Region
3.4. Kinetic Analysis of the Co-Gasification Reaction of Chars in the High-Temperature Region
3.5. Fourier Transform Infrared Spectroscopy
4. Conclusions
Author Contributions
Funding
Data Availability Statement
Acknowledgments
Conflicts of Interest
References
- Zhao, P.; Chen, H.; Ge, S.; Yoshikawa, K. Effect of the hydrothermal pretreatment for the reduction of NO emission from sewage sludge combustion. Appl. Energy 2013, 111, 199–205. [Google Scholar] [CrossRef]
- Li, M.; Xiao, B.; Wang, X.; Liu, J. Consequences of sludge composition on combustion performance derived from thermogravimetry analysis. Waste Manag. 2015, 35, 141–147. [Google Scholar] [CrossRef] [PubMed]
- Folgueras, M.B.; Alonso, M.; Díaz, R.M. Influence of sewage sludge treatment on pyrolysis and combustion of dry sludge. Energy 2013, 55, 426–435. [Google Scholar] [CrossRef]
- Gao, N.; Kamran, K.; Quan, C.; Williams, P.T. Thermochemical conversion of sewage sludge: A critical review. Prog. Energ. Combust. 2020, 79, 100843. [Google Scholar] [CrossRef]
- Fonts, I.; Gea, G.; Azuara, M.; Ábrego, J.; Arauzo, J. Sewage sludge pyrolysis for liquid production: A review. Renew. Sustain. Energ Rev. 2012, 16, 2781–2805. [Google Scholar] [CrossRef]
- Gai, C.; Chen, M.; Liu, T.; Peng, N.; Liu, Z. Gasification characteristics of hydrochar and pyrochar derived from sewage sludge. Energy 2016, 113, 957–965. [Google Scholar] [CrossRef]
- Kijo-Kleczkowska, A.; Środa, K.; Kosowska-Golachowska, M.; Musiał, T.; Wolski, K. Mechanisms and kinetics of granulated sewage sludge combustion. Waste Manag. 2015, 46, 459–471. [Google Scholar] [CrossRef] [PubMed]
- Li, A.; Han, H.; Hu, S.; Zhu, M.; Ren, Q.; Wang, Y.; Xu, J.; Jiang, L.; Su, S.; Xiang, J. A novel sludge pyrolysis and biomass gasification integrated method to enhance hydrogen-rich gas generation. Energ. Convers. Manag. 2022, 254, 115205. [Google Scholar] [CrossRef]
- Gao, M.; Xiao, Y.; Chen, Z.; Ding, L.; Gao, Y.; Dai, Z.; Yu, G.; Krzywanski, J.; Wang, F. Comparison of physicochemical properties and gasification reactivity of soot from entrained flow gasification processes. Chem. Eng. J. 2022, 450, 136660. [Google Scholar] [CrossRef]
- Samolada, M.C.; Zabaniotou, A.A. Comparative assessment of municipal sewage sludge incineration, gasification and pyrolysis for a sustainable sludge-to-energy management in Greece. Waste Manag. 2014, 34, 411–420. [Google Scholar] [CrossRef]
- Chen, G.B.; Wu, F.H.; Fang, T.L.; Lin, H.T.; Chao, Y.C. A study of Co-gasification of sewage sludge and palm kernel shells. Energy 2021, 218, 119532. [Google Scholar] [CrossRef]
- Sun, Y.; Nakano, J.; Liu, L.; Wang, X.; Zhang, Z. Achieving waste to energy through sewage sludge gasification using hot slags: Syngas production. Sci. Rep. 2015, 5, 11436. [Google Scholar] [CrossRef] [PubMed]
- Wang, T.; Chen, Y.; Li, J.; Xue, Y.; Liu, J.; Mei, M.; Hou, H.; Chen, S. Co-pyrolysis behavior of sewage sludge and rice husk by TG-MS and residue analysis. J. Clean. Prod. 2020, 250, 119557. [Google Scholar] [CrossRef]
- Wang, X.; Deng, S.; Tan, H.; Adeosun, A.; Vujanović, M.; Yang, F.; Duić, N. Synergetic effect of sewage sludge and biomass co-pyrolysis: A combined study in thermogravimetric analyzer and a fixed bed reactor. Energy Convers. Manag. 2016, 118, 399–405. [Google Scholar] [CrossRef]
- Rosha, P.; Ibrahim, H. Technical feasibility of biomass and paper-mill sludge co-gasification for renewable fuel production using Aspen Plus. Energy 2022, 258, 124883. [Google Scholar] [CrossRef]
- Lo, Y.P.; Prabu, S.; Chang, M.B.; Chiang, K.Y. Hydrogen production and pollutants emission characteristics by co-gasified of paper-mill sludge and automobile shredder residues in a commercial scale fluidized bed gasifier. Int. J. Hydrogen Energy 2023. [Google Scholar] [CrossRef]
- Cheng, Y.; Thow, Z.; Wang, C.H. Biomass gasification with CO2 in a fluidized bed. Powder Technol. 2016, 296, 87–101. [Google Scholar] [CrossRef]
- Ma, L.; Wang, T.X.; Liu, J.C.; Fang, Q.; Guo, A.; Zhang, C.; Chen, G. Effect of different conditions on the combustion interactions of blended coals in O2/CO2 mixtures. J. Energy Inst. 2019, 92, 413–427. [Google Scholar] [CrossRef]
- Ma, L.; Chen, X.; Fang, Q.; Zhang, C.; Chen, G.; Xia, J. Combustion interactions of blended chars under oxidation and gasification competition in oxy-fuel condition. J. Energy Eng. 2021, 147, 04021041. [Google Scholar] [CrossRef]
- Zhang, J.; Liu, J.; Evrendilek, F.; Zhang, X.; Buyukada, M. TG-FTIR and Py-GC/MS analyses of pyrolysis behaviors and products of cattle manure in CO2 and N2 atmospheres: Kinetic, thermodynamic, and machine-learning models. Energy Convers. Manag. 2019, 195, 346–359. [Google Scholar] [CrossRef]
- Fang, S.; Lin, Y.; Huang, Z.; Huang, H.; Chen, S.; Ding, L. Investigation of co-pyrolysis characteristics and kinetics of municipal solid waste and paper sludge through TG-FTIR and DAEM. Thermochim. Acta 2021, 700, 178889. [Google Scholar] [CrossRef]
- Jiang, Z.; Liu, Z.; Fei, B.; Cai, Z.; Yu, Y. The pyrolysis characteristics of moso bamboo. J. Anal. Appl. Pyrol. 2012, 94, 48–52. [Google Scholar] [CrossRef]
- Tong, C.; Yang, X.; Chen, G.; Zhang, Y.; Chen, L.; Zhou, Y.; He, T.; Jin, B. Experimental investigation for the combustion characteristics of blends of three kinds of coal. Fuel 2021, 300, 120937. [Google Scholar] [CrossRef]
- Yorulmaz, S.Y.; Atimtay, A.T. Investigation of combustion kinetics of treated and untreated waste wood samples with thermogravimetric analysis. Fuel Process. Technol. 2009, 90, 939–946. [Google Scholar] [CrossRef]
- Li, D.; Zhao, N.; Feng, Y.; Xie, Z. Thermogravimetric Analysis of coal semi-char co-firing with straw in O2/CO2 mixtures. Processes 2021, 9, 1421. [Google Scholar] [CrossRef]
- Wang, J.; Chen, J.; Liu, J.; Liu, H.; Wang, M.; Cheng, J. Synergistic effects of mixing waste activated carbon and coal in co-slurrying and CO2 co-gasification. Powder Technol. 2022, 395, 883–892. [Google Scholar] [CrossRef]












| Samples | Proximate Analysis (dry, wt%) | Ultimate Analysis (daf, wt%) | ||||||
|---|---|---|---|---|---|---|---|---|
| Volatile Matters | Ash | Fixed Carbon | C | H | O | N | S | |
| MS | 27.70 | 61.00 | 11.30 | 47.10 | 4.80 | 37.70 | 8.80 | 1.60 |
| PS | 81.97 | 5.80 | 12.23 | 43.81 | 9.51 | 44.69 | 1.26 | 0.73 |
| ST | 75.90 | 10.75 | 13.35 | 48.22 | 6.62 | 33.05 | 1.06 | 0.31 |
| Item | T Zone(°C) | Fi (%) | Ei (kJ/mol) | E (kJ/mol) | lnAi (s−1) | lnA(s−1) | R2 |
|---|---|---|---|---|---|---|---|
| (a) MS/ST | |||||||
| ST | 213–362 | 84.64 | 60.13 | 51.97 | 15.63 | 16.86 | 0.99854 |
| 362–484 | 15.36 | 7.03 | 23.58 | 0.99380 | |||
| 25%MS + 75%ST | 219–359 | 74.03 | 44.20 | 35.07 | 18.48 | 19.78 | 0.98494 |
| 359–476 | 25.97 | 9.05 | 23.49 | 0.99510 | |||
| 50%MS + 50%ST | 227–356 | 73.57 | 36.96 | 30.08 | 19.78 | 20.74 | 0.97546 |
| 356–474 | 26.43 | 10.91 | 23.41 | 0.99628 | |||
| 75%MS + 25%ST | 232–354 | 65.42 | 33.83 | 26.58 | 20.35 | 21.38 | 0.98021 |
| 354–473 | 34.58 | 12.86 | 23.33 | 0.99550 | |||
| 100%MS | 243–350 | 56.85 | 28.16 | 23.86 | 21.41 | 22.06 | 0.99511 |
| 350–472 | 43.15 | 18.19 | 22.91 | 0.99452 | |||
| (b) PS/ST | |||||||
| ST | 213–362 | 84.64 | 60.13 | 51.97 | 15.63 | 16.86 | 0.99854 |
| 362–484 | 15.36 | 7.03 | 23.58 | 0.99380 | |||
| 25%PS + 75%ST | 221–382 | 88.21 | 43.73 | 39.14 | 18.74 | 19.30 | 0.97465 |
| 382–462 | 11.79 | 4.83 | 23.48 | 0.958133 | |||
| 50%PS + 50%ST | 227–386 | 93.24 | 50.82 | 47.64 | 17.66 | 18.04 | 0.966465 |
| 386–430 | 6.76 | 3.72 | 23.33 | 0.913562 | |||
| 75%PS + 25%ST | 241–387 | 96.79 | 66.27 | 64.29 | 18.06 | 18.23 | 0.968190 |
| 387–414 | 3.21 | 4.68 | 23.29 | 0.912561 | |||
| 100%PS | 252–389 | 98.73 | 89.17 | 88.23 | 18.95 | 18.99 | 0.961830 |
| 389–410 | 1.27 | 15.24 | 22.18 | 0.98222 | |||
| T Zone(°C) | E (kJ/mol) | lnA(s−1) | R2 | |
|---|---|---|---|---|
| (a) MS/ST | ||||
| ST | 754–997 | 188.91 | 20.66 | 0.98112 |
| 25%MS + 75%ST | 736–1027 | 149.22 | 16.39 | 0.97226 |
| 50%MS + 50%ST | 729–983 | 147.43 | 16.71 | 0.98654 |
| 75%MS + 25%ST | 720–935 | 178.29 | 20.67 | 0.98135 |
| 100%MS | 701–894 | 190.71 | 22.72 | 0.98493 |
| (b) PS/ST | ||||
| ST | 754–997 | 188.91 | 20.66 | 0.98112 |
| 25%PS + 75%ST | 771–1011 | 204.47 | 22.05 | 0.97399 |
| 50%PS + 50%ST | 788–1005 | 228.59 | 24.49 | 0.98578 |
| 75%PS + 25%ST | 829–997 | 301.16 | 31.88 | 0.99165 |
| 100%PS | 888–1026 | 408.69 | 41.56 | 0.97802 |
Disclaimer/Publisher’s Note: The statements, opinions and data contained in all publications are solely those of the individual author(s) and contributor(s) and not of MDPI and/or the editor(s). MDPI and/or the editor(s) disclaim responsibility for any injury to people or property resulting from any ideas, methods, instructions or products referred to in the content. |
© 2023 by the authors. Licensee MDPI, Basel, Switzerland. This article is an open access article distributed under the terms and conditions of the Creative Commons Attribution (CC BY) license (https://creativecommons.org/licenses/by/4.0/).
Share and Cite
Zhou, A.; Ma, L. Thermogravimetric Analysis on Co-Gasification Characteristics of Sludge and Straw under CO2 Atmosphere. Processes 2023, 11, 1402. https://doi.org/10.3390/pr11051402
Zhou A, Ma L. Thermogravimetric Analysis on Co-Gasification Characteristics of Sludge and Straw under CO2 Atmosphere. Processes. 2023; 11(5):1402. https://doi.org/10.3390/pr11051402
Chicago/Turabian StyleZhou, Anli, and Lun Ma. 2023. "Thermogravimetric Analysis on Co-Gasification Characteristics of Sludge and Straw under CO2 Atmosphere" Processes 11, no. 5: 1402. https://doi.org/10.3390/pr11051402
APA StyleZhou, A., & Ma, L. (2023). Thermogravimetric Analysis on Co-Gasification Characteristics of Sludge and Straw under CO2 Atmosphere. Processes, 11(5), 1402. https://doi.org/10.3390/pr11051402
