A Three-Phase Relative Permeability Model for Heavy Oil Emulsion System
Abstract
1. Introduction
2. Emulsion Flow through a Single Capillary Tube
2.1. Single-Phase Flow in a Single Capillary Tube
2.2. Single-Phase Flow in a Single Capillary Tube
2.2.1. Case of a Line of Intermediate-Sized Spherical Droplets
2.2.2. Case of a Large Amount of Small-Sized Droplets
2.2.3. Case of Deformed Large-Sized Droplets
3. Relative Permeability Model and Pore Size Distribution Function
3.1. Relative Permeability Based on Capillary Bundle Model
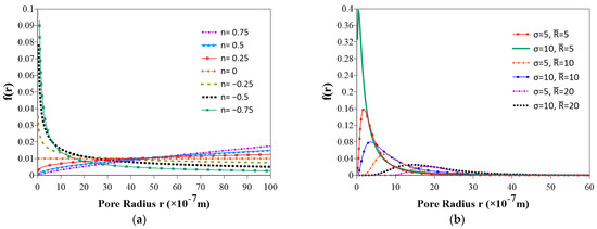
3.2. PSD Functions
4. Experimental Validation of the Relative Permeability Model
4.1. Experimental Setups
4.2. Numerical Simulation Using the Proposed Relative Permeability Model
5. Dimensionless Parameters Analysis
6. Conclusions
Author Contributions
Funding
Data Availability Statement
Conflicts of Interest
Nomenclature
| Nomenclature | Flow rate of the porous medium, | ||
| Water film thickness of deformed oil droplets in a capillary tube, | Radius of capillary tube, | ||
| Mean radius of log-normal PSD function, m | |||
| Average diameter of dispersed emulsion droplets, | Saturation of dispersed oil phase | ||
| Exponent of power law PSD function | Saturation of continuous oil phase | ||
| Fluid pressure, | Saturation of continuous water phase | ||
| Total flow rate of emulsion flow in a single capillary tube, | Dimensionless velocity of droplets | ||
| Dimensionless average velocity in capillary | |||
| Flow rate of single-phase fluid in a single capillary tube, | Greek symbols | ||
| Radical coordinate, | Ratio of distance between neigh-boring spheres to tube radius | ||
| Effective radius of small droplets suspension, | Viscosity of the fluid, | ||
| Dimensionless velocity | Oil viscosity, | ||
| Axial coordinate, | Water viscosity, | ||
| Cross area of the porous medium, | Ratio of droplets diameter to capillary diameter | ||
| Capillary number | |||
| Additional pressure drop coefficient | Dispersed phase volume fraction | ||
| Permeability of the porous medium, | Ratio of oil viscosity to water viscosity | ||
| Relative permeability of dispersed oil phase | Resistance factor of emulsion flow | ||
| Relative permeability of continuous oil phase | Porosity of the porous medium | ||
| Standard deviation of log-normal PSD function | |||
| Relative permeability of continuous water phase | Interfacial tension, | ||
| Length of the porous medium, | Contact angle between the non-wetting phase and the pore | ||
| Dimensionless pressure | |||
| Capillary pressure, | |||
| Pressure drop along the capillary tube, | |||
| Dimensionless pressure drop per droplet in capillary | |||
References
- Guo, K.; Li, H.; Yu, Z. In-situ heavy and extra-heavy oil recovery: A review. Fuel 2016, 185, 886–902. [Google Scholar] [CrossRef]
- Nagatsu, Y.; Abe, K.; Konmoto, K.; Omori, K. Chemical Flooding for Enhanced Heavy Oil Recovery via Chemical-Reaction-Producing Viscoelastic Material. Energy Fuels 2020, 34, 10655. [Google Scholar] [CrossRef]
- Santos, R.G.; Loh, W.; Bannwart, A.C.; Trevisan, O.V. An overview of heavy oil properties and its recovery and transportation methods. Braz. J. Chem. Eng. 2014, 31, 571–590. [Google Scholar] [CrossRef]
- Zhou, X.; Yuan, Q.; Peng, X.; Zeng, F.; Zhang, L. A critical review of the CO2 huff ‘n’ puff process for enhanced heavy oil recovery. Fuel 2018, 215, 813–824. [Google Scholar] [CrossRef]
- Dong, M.; Ma, S.; Liu, Q. Enhanced heavy oil recovery through interfacial instability: A study of chemical flooding for Brintnell heavy oil. Fuel 2009, 88, 1049–1056. [Google Scholar] [CrossRef]
- Lamas, L.; Botechia, V.; Schiozer, D.; Rocha, M.; Delshad, M. Application of polymer flooding in the revitalization of a mature heavy oil field. J. Pet. Sci. Eng. 2021, 204, 108695. [Google Scholar] [CrossRef]
- Liu, Q.; Dong, M.; Ma, S.; Tu, Y. Surfactant enhanced alkaline flooding for Western Canadian heavy oil recovery. Colloids Surfaces A Physicochem. Eng. Asp. 2007, 293, 63–71. [Google Scholar] [CrossRef]
- Panthi, K.; Weerasooriya, U.; Mohanty, K.K. Enhanced recovery of a viscous oil with a novel surfactant. Fuel 2020, 282, 118882. [Google Scholar] [CrossRef]
- Wei, J.; Li, J.; Shi, X.; Zhou, R. Combination of alkali–surfactant–polymer flooding and horizontal wells to maximize the oil recovery for high water cut oil reservoir. Energy Rep. 2021, 7, 5955–5964. [Google Scholar] [CrossRef]
- Druetta, P.; Raffa, P.; Picchioni, F. Chemical enhanced oil recovery and the role of chemical product design. Appl. Energy 2019, 252, 113480. [Google Scholar] [CrossRef]
- Ahmadi, M.; Chen, Z. Challenges and future of chemical assisted heavy oil recovery processes. Adv. Colloid Interface Sci. 2019, 275, 102081. [Google Scholar] [CrossRef] [PubMed]
- Kar, T.; Hascakir, B. Effect of solvent type on emulsion formation in steam and solvent-steam flooding processes for heavy oil recovery. Colloids Surfaces A Physicochem. Eng. Asp. 2021, 611, 125783. [Google Scholar] [CrossRef]
- Uzoigwe, A.C.; Marsden, S.S., Jr. Emulsion Rheology and Flow through Unconsolidated Synthetic Porous Media. In Proceedings of the Fall Meeting of the Society of Petroleum Engineers of AIME, Houston, TX, USA, 4–7 October 1970. Volume All Days, SPE-3004-MS. [Google Scholar] [CrossRef]
- McAuliffe, C.D. Oil-in-Water Emulsions and Their Flow Properties in Porous Media. J. Pet. Technol. 1973, 25, 727–733. [Google Scholar] [CrossRef]
- Soo, H.; Radke, C.J. Flow mechanism of dilute, stable emulsions in porous media. Ind. Eng. Chem. Fundam. 1984, 23, 342–347. [Google Scholar] [CrossRef]
- Khambharatana, F.; Thomas, S.; Ali, S.M.F. Macroemulsion Rheology and Drop Capture Mechanism During Flow in Porous Media. In Proceedings of the SPE International Oil and Gas Conference and Exhibition in China, Beijing, China, 2–6 November 1998. Volume All Days, SPE-48910-MS. [Google Scholar] [CrossRef]
- Alvarado, D.; Marsden, S.J. Flow of Oil-in-Water Emulsions through Tubes and Porous Media. Soc. Pet. Eng. J. 1979, 19, 369–377. [Google Scholar] [CrossRef]
- Wang, F.; Qu, Z.; Xue, Z. A study on emulsion flow in porous media with micromodel. J. Northwestern Univ. 2003, 33, 603–607. [Google Scholar]
- Abou-Kassem, J.; Ali, S.F. Modeling of Emulsion Flow In Porous Media. J. Can. Pet. Technol. 1995, 34, PETSOC-95-06-02. [Google Scholar] [CrossRef]
- Devereux, O.F. Emulsion flow in porous solids: II. experiments with a crude oil-in-water emulsion in porous sandstone. Chem. Eng. J. 1974, 7, 129–136. [Google Scholar] [CrossRef]
- Yu, L.; Ding, B.; Dong, M.; Jiang, Q. A new model of emulsion flow in porous media for conformance control. Fuel 2019, 241, 53–64. [Google Scholar] [CrossRef]
- Ding, B.; Dong, M.; Yu, L. A model of emulsion plugging ability in sandpacks: Yield pressure drop and consistency parameter. Chem. Eng. Sci. 2019, 211, 115248. [Google Scholar] [CrossRef]
- Soo, H.; Radke, C. A filtration model for the flow of dilute, stable emulsions in porous media—I. Theory. Chem. Eng. Sci. 1986, 41, 263–272. [Google Scholar] [CrossRef]
- Xuewen, L.; Wanli, K. Advances in crude oil emulsion stability and interfacial film. Oil-Gas Field Surf. Eng. 2003, 22, 7–8. [Google Scholar]
- Wei, B.; Hou, J.; Sukop, M.C.; Du, Q.; Wang, H. Flow behaviors of emulsions in constricted capillaries: A lattice Boltzmann simulation study. Chem. Eng. Sci. 2020, 227, 115925. [Google Scholar] [CrossRef]
- Bear, J. Dynamics of Fluids in Porous Media. Soil Sci. 1975, 120, 162–163. [Google Scholar] [CrossRef]
- Wang, H.; Skalak, R. Viscous flow in a cylindrical tube containing a line of spherical particles. J. Fluid Mech. 1969, 38, 75–96. [Google Scholar] [CrossRef]
- Thomas, H. The wall effect in capillary instruments: An improved analysis suitable for application to blood and other particulate suspensions. Biorheology 1962, 1, 41–56. [Google Scholar] [CrossRef]
- Hodges, S.R.; Jensen, O.E.; Rallison, J.M. The motion of a viscous drop through a cylindrical tube. J. Fluid Mech. 2004, 501, 279–301. [Google Scholar] [CrossRef]
- Bowen, W.; Welfoot, J.S. Modelling of membrane nanofiltration—Pore size distribution effects. Chem. Eng. Sci. 2002, 57, 1393–1407. [Google Scholar] [CrossRef]
- Yang, Y.; Liu, P.; Zhang, W.; Liu, Z.; Sun, H.; Zhang, L.; Zhao, J.; Song, W.; Liu, L.; An, S.; et al. Effect of the Pore Size Distribution on the Displacement Efficiency of Multiphase Flow in Porous Media. Open Phys. 2016, 14, 610–616. [Google Scholar] [CrossRef]
- Zhai, Q.; Rahardjo, H.; Satyanaga, A. A pore-size distribution function based method for estimation of hydraulic properties of sandy soils. Eng. Geol. 2018, 246, 288–292. [Google Scholar] [CrossRef]













| 0.6 | 0.9 | 1.2 | 0.6 | 0.9 | 1.2 | 0.6 | 0.9 | 1.2 | |
|---|---|---|---|---|---|---|---|---|---|
| 0.0649 | 0.0611 | 0.0605 | 0.1123 | 0.1081 | 0.1075 | 0.1663 | 0.1619 | 0.1613 | |
| 0.0249 | 0.0148 | 0.0133 | 0.0315 | 0.0202 | 0.0186 | 0.0374 | 0.0255 | 0.0239 | |
| 0.0167 | 0.0038 | 0.002 | 0.0182 | 0.0039 | 0.002 | 0.0191 | 0.004 | 0.002 | |
Disclaimer/Publisher’s Note: The statements, opinions and data contained in all publications are solely those of the individual author(s) and contributor(s) and not of MDPI and/or the editor(s). MDPI and/or the editor(s) disclaim responsibility for any injury to people or property resulting from any ideas, methods, instructions or products referred to in the content. |
© 2023 by the authors. Licensee MDPI, Basel, Switzerland. This article is an open access article distributed under the terms and conditions of the Creative Commons Attribution (CC BY) license (https://creativecommons.org/licenses/by/4.0/).
Share and Cite
Sun, Z.; Zhou, K.; Di, Y. A Three-Phase Relative Permeability Model for Heavy Oil Emulsion System. Processes 2023, 11, 1247. https://doi.org/10.3390/pr11041247
Sun Z, Zhou K, Di Y. A Three-Phase Relative Permeability Model for Heavy Oil Emulsion System. Processes. 2023; 11(4):1247. https://doi.org/10.3390/pr11041247
Chicago/Turabian StyleSun, Zezheng, Kang Zhou, and Yuan Di. 2023. "A Three-Phase Relative Permeability Model for Heavy Oil Emulsion System" Processes 11, no. 4: 1247. https://doi.org/10.3390/pr11041247
APA StyleSun, Z., Zhou, K., & Di, Y. (2023). A Three-Phase Relative Permeability Model for Heavy Oil Emulsion System. Processes, 11(4), 1247. https://doi.org/10.3390/pr11041247

