Next Article in Journal
Correction: Xu et al. Preparation of Long-Term Antibacterial SiO2-Cinnamaldehyde Microcapsule via Sol–Gel Approach as a Functional Additive for PBAT Film. Processes 2020, 8, 897
Previous Article in Journal
Adsorptive Removal of Boron by DIAION™ CRB05: Characterization, Kinetics, Isotherm, and Optimization by Response Surface Methodology
 
 
Font Type:
Arial Georgia Verdana
Font Size:
Aa Aa Aa
Line Spacing:
Column Width:
Background:
Article

Mechanical and Durability Properties of CCD-Optimised Fibre-Reinforced Self-Compacting Concrete

by
Gunachandrabose Sivanandam
1,* and
Sreevidya Venkataraman
2
1
Department of Civil Engineering, Sri Krishna Polytechnic College, Coimbatore 641042, Tamil Nadu, India
2
Department of Civil Engineering, Sri Krishna College of Technology, Coimbatore 641042, Tamil Nadu, India
*
Author to whom correspondence should be addressed.
Processes 2023, 11(2), 455; https://doi.org/10.3390/pr11020455
Submission received: 31 December 2022 / Revised: 12 January 2023 / Accepted: 27 January 2023 / Published: 2 February 2023
(This article belongs to the Section Materials Processes)

Abstract

:
The accelerated advancement of industrialization, urbanization, and technology produces an enormous amount of waste materials that are channelled into the environment, contaminating the soil, water and air. This exceedingly large volume of waste in the planet’s environment has made it challenging and difficult to handle; thus, it is urgent to facilitate alternative methods of waste disposal. Moreover, the consumption of concrete raw materials increases as a consequence of a sudden increase in concrete usage. In this study, printed circuit boards (PCB), cutting waste (e-waste) (0%, 5%, 10%, 15%, 20%) and recycled concrete aggregate (construction and demolition waste) (0%, 20%, 40%, 60%, 80%, 100%) replace the fine and coarse aggregate; this is utilised in the making of self-compacting concrete (SCC). To mitigate the impact of shrinkage and micro-cracks produced during loading, synthetic fibres (polypropylene fibres) (0%, 0.25%, 0.5%, 0.75%, 1%) are incorporated into the dense matrix of concrete. Based on the experiments conducted, it is concluded that the optimum percentages of e-waste, recycled aggregate and synthetic fibres are 10%, 60% and 0.5%, respectively. It is proposed to use response surface methodology for the statistical modelling of fibre-reinforced self-compacting concrete (FRSCC) ingredients, which will diminish the number of experiments conducted during optimisation. Experimental optimisation of ingredients was carried out by determining the workability properties (slump flow, L-Box, V-Funnel and Sieve test), strength properties (compressive, split tensile, flexural at 7, 14, 28 days of curing) and durability properties against chemical exposure (sulphuric and hydrochloric acid attack, sulphate attack at 29 and 90 days of immersion). In the statistical optimisation process, the central composite design (CCD) is utilised, and it is concluded that the optimum percentages of e-waste, recycled aggregate and synthetic fibres are 9.90%, 51.35% and 0.503%, respectively, as these produce a compressive strength (CS) of 47.02 MPa at the end of the 28th day of curing, whereas FRSCC created with experimentally optimised ingredients shows a strength of 46.79 MPa with the use of 60% of recycled aggregate, 10% of e-waste and 0.5% polypropylene fibre. Hence, it is observed that the CCD-optimised ingredients were the optimum dosage of ingredients based on the compressive strength values at 28 days. It is concluded that the FRSCC specimens created with CCD-optimised parameters show better resistance against loading and chemical exposure, as these show minimum weight and strength loss when compared to FRSCC with experimentally optimised parameters.

1. Introduction

It has been estimated, around the world, that the requirement of cement will be expected to skyrocket to 4.42 billion metric ton at the end of 2021, which accelerates every year at a rate of 0.3%. India has become the second-largest consumer of cement after China, registering 328 million metric tons (MMT) at the end of 2019, which is anticipated to reach 379 MMT in 2022. An increase in construction activities consumes enormous amounts of raw materials, producing drastic environmental impacts in various ways [1]. On the other hand, the worldwide market for aggregates was 51.7 billion tons at the end of 2019, with an annual growth rate of 5.2%. It is, therefore, essential that scientists, engineers, and researchers find new alternatives for the ingredients of concrete. Even though thousands of studies have been conducted all around the world, it is quite difficult to find a unique alternative based on the varying requirements [2].
As a result of thousands of studies, self-compacting concrete (SCC) experienced an early growth in the field of construction and is utilised in most high-rise constructions with exceptional deformability and segregation resistance [3] the prime advantage of adopting SCC in the field is to eliminate the use of vibrators which compact themselves among congested reinforcements [4]. Self-compacting ability in concrete was achieved because of the improved resistance to segregation between the aggregate and binder phase when the concrete flows through the complex forms of reinforcements. SCC has numerous advantages in the field of construction over the normal concrete, such as improved constructability, strength, durability and easier pumping without external vibrations through all areas of formwork [5,6]. However, SCC has a major drawback: the cost of construction is comparatively high when compared with normal concrete due to the use of auxiliary equipment for transportation and pumping [7,8].
e-Waste refers to electronic devices that are no longer used or desired, and are often thrown away or given away for reuse. These items can include computers, laptops, tablets, smartphones, TVs, and other electronic equipment. The rapid upgrading of technology produces excessive quantities of e-wastes (EWs) that are discarded directly in dump yards. The EWs do not decompose over time; therefore, these become suitable for use as treated materials. Around the world, India is the 5th biggest producer of EW and contributes 5% of the world’s overall EW generation. Over the years, numerous efforts have been undertaken to reduce the issues associated with the e-waste management and some of the researchers found that the use of treated e-wastes in concrete as aggregates is useful and reduces the problem of direct disposal of e-waste into the environment [9,10]. Using EW as a fine aggregate in concrete is a way to reuse and recycle e-waste, and it can also potentially reduce the demand for traditional aggregate materials, such as sand. PCBs are one of the most common EW, which are disintegrated into smaller pieces and proposed to be utilised as a fine aggregate, with a size of less than 4.75 mm, in concrete, and it is used to fill the voids between the larger coarse aggregate particles [11]. There are several potential benefits in using EW as a fine aggregate in concrete. These include the reuse and recycling of EW, reduced demand for traditional aggregate materials, reduction in cost, and improvements in the strength and performance of the resulting concrete. PCBs are ground, using mechanical grinding equipment that is operated electronically, and added into the concrete matrix [11].
The development of infrastructure was accompanied by new constructions with innovative and aesthetic appearances. Some of these constructions were built over the site of demolished structures. About 24% of the debris generated during demolition is dumped in landfills after the demolition of the structures; this is a practice that inevitably creates several socio-economic problems [12]. This concrete debris could be recycled and reused for certain activities at the construction site; they are proposed to be utilised as an alternative to coarse aggregate in concrete. In M40 grade concrete, the best results could be produced with a mix consisting of 15% RCA and 25% steel slag, which could reduce the amount of waste disposed of in the site [13,14].
The replacement of fine and coarse aggregates in concrete was partly or entirely replaced with crushed PCB waste (0% to 20% at an interval of 5%) and recycled concrete aggregate (0% to 100% at an interval of 20%), respectively, in SCC mixes of grade M30. The proposed idea might result in lightweight concrete because its self-weight is reduced, and reduction in self-weight of ingredients of concrete would not compromise the self-compacting nature of concrete [15]. The purpose of this study is to establish guidelines for the preparation of SCC mixes using fibres. The experimental design, contour and surface plots were used for predicting and optimising the parametric responses. The importance of this study is in the composition and proportion of the constituent materials in SCC.
While constructing high-rise structures, continuous or periodic application of loads on structures will cause serious damage and result in irreparable collapse. Addition of fibres in concrete increases the flexural strength and crack resistance against the periodic loadings [16]. Vibrations can also cause the concrete to shrink, which can be avoided by incorporating polypropylene fibres (PF), which are incorporated into the concrete mix at varying proportions (0% to 1% at an interval of 0.25%) [17,18]. Based on the characteristics of concrete and fibres, the nature and performance of fibre-reinforced concrete (FRC) may alter [19]. The conglomeration of fibres that hold a significant platform is fibre concentration, geometry, orientation, and distribution. Furthermore, the use of one type of fibre may only enhance the properties of FRC to a limited extent [20]. The use of fibres in concrete specimens significantly elevates the toughness indices and rigidity and enhances their overall performances [21].
The incorporation of three independent variables at varying levels will result in the execution of numerous experiments, which could aid in the pinpoint determination of significant results. In order to optimise the parameters, the response surface methodology (RSM) is predominantly used, a process in which the output response (dependent) is affected by several input parameters (independent) [22,23]. To identify the optimal operating conditions for the system specified in this study, CCD is employed, which is a full and fractional design, with the approximate relationship between input and output variables. The strength and durability properties of FRSCC from experimentally optimised and CCD-optimised mixes were compared with each other.

Research Significance

The construction industry and researchers have long been interested in finding ways to combine the positive benefits of different materials or techniques. Some recent developments in this area include fibre-reinforced concrete, self-compacting concrete, high-strength concrete, and self-curing concrete. The aim of this study is to find a way to combine the benefits of fibre-reinforced concrete and self-compacting concrete without sacrificing the performance of either. To achieve this, the researchers propose adding polypropylene fibres to self-compacting concrete mixes, which they believe will improve the strength of the material without hindering its ability to flow through complex, congested reinforcement areas. This approach could have significant benefits for the construction industry.

2. Materials

In this study, fibre-reinforced SCC (FRSCC) was created with a variety of ingredients that contributes to the specific characteristics of concrete. Generally, concrete is categorized into two phases: cement and aggregate phase. In the cement phase, OPC 53 grade acts as the binding agent, and fly ash (obtained from Mettur, Tamilnadu, thermal power plant) acts as a viscosity modifying agent. In the aggregate phase, aggregates consume more than 65% of the volume of concrete and make the concrete more rigid and compact. In this study, both fine and coarse aggregates were replaced partly or wholly with mechanically ground e-waste and recycled concrete aggregates, respectively.

2.1. Cement

Commercially available Portland cement of grade 53 compliant with the guidelines of IS 12269:2013, which has a high quicklime content, was utilised in this investigation [24]. The physical properties investigated in this investigation are tabulated in Table 1.

2.2. Fly Ash

Fly ash obtained from the combustion of coal as a by-product from the thermal power plant was utilised in this investigation, which conforms to the guidelines mentioned in IS 3812:2013 [25]. The physical properties of fly ash investigated in this study are tabulated in Table 2 and the element distribution values are shown in Table 3.

2.3. Fine Aggregate

Due to the rapid growth in urbanization and industrialization, alternative materials for fine and coarse aggregate must be found. A fine aggregate in concrete is considered as the element that binds everything together and makes the concrete act as an artificial rock. It is highly responsible for the improvement of workability, uniformity of mix, thermal expansion and strength, and reduces the shrinkage effect, bleeding and segregation. In this study, naturally available river sand sufficiently small to pass through a 4.75-milimetre IS sieve was used as the fine aggregate, which is replaced partly by mechanically crushed and ground e-waste (EW) conforming to the standards set out in IS 383:2016. This study examines the various properties of the fine aggregate utilised in this investigation, which are summarized in Table 4 [26].

2.4. Coarse Aggregate

Coarse aggregates create a solid and hard mass of concrete with cement and fine aggregates, which consumes the majority of volume in concrete. In this study, naturally available crushed granite rock stones sufficiently small to pass through a 20-milimetre sieve and retained on a 12.5-milimetre sieve were utilised in this investigation. In order to reduce the problems associated with the quarrying of aggregates, it is proposed to utilise the recycled concrete aggregate in concrete after consecutive operations of primary and secondary dismantling. Hence, crushed granite aggregates (CGA) are replaced partly or wholly with recycled concrete aggregate (RCA), which are compliant with IS 383:2016, and the properties examined in this investigation are illustrated in Table 5. Both the aggregates were from dust and other impurities [26].

2.5. Polypropylene Fibres

Addition of fibres in concrete enhances the strength and stiffness, thereby reducing the porosity and permeability. In this study, polypropylene fibre (Recron 3S) was used as the synthetic mono fibre in the creation of fibre-reinforced SCC with a length and aspect ratio of 12 mm and 400 mm, respectively (Supplementary Figure S1). This fibre is currently used by engineers as a short, discontinuous material for the manufacture of fibre-reinforced SCC. According to the calculation, fibre strength under axial tension and unit weight of fibre material are 655 MPa and 9.1 kN/m3.

2.6. Chemical Admixture

In order to achieve the required slump, the designed mixture proportion must have enough workability to fulfil the required guidelines. The addition of materials that are not conventionally used in concrete may reduce the workability of the fresh concrete. When fly ash was used, the effect of grain size and particle size distribution play a vital role in deciding the workability of the concrete. To meet the requirement, chemical admixtures were used to attain the desired slump. The optimum dosage of SP is dependent on the type of SP and the water-to-binder ratio (W/B). To modify the workability of concrete, CONPLAST SP430 was used in all cases where 3% cement weight was required.

2.7. Water

During this investigation, the mixing and hardening of concrete was carried out with locally available potable water, used in accordance with the guidelines mentioned in IS 456:2000, which is free from harmful quantities of oils, acids, bases, salt, sugar and organic matter [27].

3. Experimental Programme

3.1. Mix Proportions

By considering the four major aspects (filling and passing ability, segregation resistance, viscosity) of SCC, the mix design on FRSCC was conducted in agreement with IS 10262:2019 [28]. After consecutive trial batches of preparation, the mix proportion was finalized as 1:1.56:1.68 with a constant w/c ratio of 0.41. To alter the viscous nature of concrete, fly ash was added into the concrete matrix by 54% according to the weight of cement.

3.2. Specimen Preparation

In this study, different specimens of varying sizes were cast, including cube specimens (150 × 150 × 150 mm), cylindrical specimens (150 × 300 mm) and prism specimens (100 × 100 × 500 mm). It is proposed to replace fine and coarse aggregate with crushed e-waste and recycled concrete aggregate in varying levels of replacement [29]. For each mix, three specimens were cast and tested after the prescribed days of curing (7, 14, 28 days) and the acceptance criteria for each mix should be less than 15% of the average value. If the test results were higher than the acceptable limit, the test was repeated for that mix. The average value from each mix was used to evaluate the mechanical and durability properties.

3.3. Optimisation of Ingredients Using an Experimental Program

3.3.1. Optimisation of RCA Content in SCC

As part of the initial investigation, RCA content was replaced with natural coarse aggregate available in SCC, and river sand was used as the main material and without the addition of fibres. Fresh properties of SCC were assessed by conducting various tests, such as the slump flow test, L-Box text, Sieve test and V-Funnel test, in accordance with IS 10262:2019 [28]. Tests were conducted on fresh properties of SCC according to the guidelines of IS1199 (Part 6) and the observed results are tabulated in Table 6 [30].
The main characteristics of fresh SCC to flow into and fill all spaces within the formwork under its own weight can be observed. Workability of SCC can be influenced by several factors, including the size and shape of the coarse aggregate, the ratio of fine to coarse aggregate, the type and amount of admixtures used, and the water-to-cement ratio. Replacement of conventional coarse aggregate with RCA will reduce the self-weight of concrete mixes. This helps to increase the flowability and segregation resistance of the mixture, which allows it to flow and compact more easily. Slump flow describes the flowability of a fresh concrete mix in an unconfined condition. Without addition of RCA in SCC, it shows slump flow in the class of SF2, which is applicable in the construction of concrete walls and columns. Increasing percentages of RCA replacement in SCC will enhance the slump flow characteristics of fresh SCC. Full replacement of coarse aggregate with RCA will lead the concrete to flow inside the heavily reinforced structures and structures with complex shapes and form works with a slump flow class of SF3. Based on the visual observations, additional information on the segregation resistance and uniformity was obtained. It is found that fresh concrete has the ability to remain in homogeneous composition and, based on the segregation class of resistance, replacing percentages of RCA in SCC will modify the nature of concrete and transform the concrete from SR1 to SR2. Full replacement of coarse aggregate in SCC will be helpful in the applications with a confinement gap of less than 80 mm and a flow distance of more than 5 m. Based on the viscous nature of SCC, it is found that the concrete with V1 viscous class will have the ability to flow through the congested reinforcements. It is concluded that 100% replacement of coarse aggregate with RCA shows better results than the concrete mixes created with low or zero levels of RCA. Table 7 shows the strength characteristics of SCC created with varying percentages of RCA.
Unlike workability properties, strength properties of SCC mixes are gradually reduced over the varying replacement levels of RCA. It is also observed that it is possible to create an SCC mix by replacing the percentages of RCA either partially or completely (Figure 1). Commencing from 0% to 100%, each mix created with RCA complied with self-compatibility standards [31]. An increase in the percentage of RCA content in concrete will decrease the strength, elastic modulus, and thermal conductivity, while porosity and water absorption will be increased [32].
The strength properties of the concrete decreased consistently as the curing time increased. At 28 days of curing, the compressive strength of the concrete decreased by 2.2%, 4.5%, 6.6%, 9.7%, and 11.5% when the replacement of recycled concrete aggregate (RCA) content increased from 20% to 100% at intervals of 20%. According to IS 10262:2019, the target strength for M30 grade concrete is 38.25 MPa [28]. From Figure 2, it is also evident that the target strength could not be obtained at 80 and 100% replacement of RCA, but it resulted in 99% and 97% of target strength after the completion of the 28 days. A similar trend was observed in strength values against split tensile and flexural characteristics. Based on these findings, 60% replacement of RCA was considered the optimum replacement percentage for the further stages of the investigation, which yields 3.11% strength higher than the target strength expected at 28 days.

3.3.2. Optimisation of RCA Content in SCC

During the next stages of investigation, fine aggregate was replaced with varying percentages of crushed e-waste (EW), and polypropylene fibre was added at varying levels, whereas the RCA content was kept as constant at 60% [33]. The fresh properties of SCC were assessed by conducting various tests, such as the slump flow test, L-Box text, Sieve test and V-Funnel test in accordance with IS 10262:2019 [28]. The tests were conducted on fresh and hardened properties of SCC according to the guidelines of IS1199 (Part 6) and the observed results are tabulated in Table 8. The strength properties of FRSCC at 7, 14, and 28 days of curing were examined as per IS 516 (1959) [34].
By keeping the RCA content constant, fine aggregate was replaced with varying percentages of crushed e-waste; the addition of fibres into the SCC mixes does not compromise the self-compacting nature of concrete to some extent. Similar to conventional SCC, FRSCC was also formulated to create high flowability and resistance to segregation. The addition of fibres into the SCC mixes gradually reduces the rheological properties of SCC at a fresh state (Figure 3). However, the type, size and orientation of the fibres greatly affects the flowability of the mixture. On the other hand, the replacement of river sand with e-waste will comparatively reduce the self-weight of SCC mixes and reduce the porosity of concrete mixes. The slump flow characteristics of FRSCC denote that the slump classes of concrete mixes changes from SF2 to SF3 during the incorporation of EW and fibre content. A slump flow of 762 mm was observed in CC specimens, whereas the flow was reduced to 643 mm in FRSCC-1.0-0 specimens. A consistent decrease in slump flow of SCC by 1.1%, 3.8%, 6.4%, 8.8% is observed for the specimens created with 0.25%, 0.5%, 0.75%, 1.0% of PF, respectively, with optimised RCA content. Similar behaviour was observed in L-Box, V-Funnel and sieve tests. It is concluded that the SCC mixes can be produced with varying percentages of e-waste as fine aggregate and polypropylene fibres while keeping the RCA content constant at 60%.
From Table 9, it is observed that the self-compact nature of concrete is not affected by variations in EW and PF composition. The concrete mix FRSCC-0.5-10 reaches a compressive strength of 30.14 MPa in 7 days, whereas it reaches 41.82 MPa and 46.79 MPa at 14 days and 28 days, respectively. At this time, the performance of FRSCC-0.5-10 samples was better than CC by 10.8%. This trend remains more or less the same on the SCC mixes created with varying levels of EW and PF. At 28 days, CC mixes show 42.24 MPa of compressive strength, which was greatly affected by the addition and replacement of ingredients in SCC. From the trends in the graph (Figure 4), the initial addition of optimum RCA content reduces the 28-day compressive strength by 1.09%, whereas replacement of EW and addition of PF creates better bonding between the ingredients of concrete (Supplementary Figure S2). For 5% and 10% replacement of fine aggregate with EW with zero fibre content, this is 3.98% and 10.77% higher than the CC mixes at 28 days. However, a further increase in replacement of EW (15% and 20%) leads to a negative impact on the strength properties, which shows 6.61% and 2.60% higher strength values than the CC mixes. A similar trend was observed in split tensile and flexural strength properties of FRSCC mixes created with varying percentages of EW and PF with optimum RCA content. Both SCC and FRSCC have the ability to move and settle without external vibration and have a high degree of workability, making them easy to pour and shape into complex forms. However, FRSCC offers an added advantage in terms of mechanical strength and resistance to cracking due to the inclusion of fibres in the mix. Hence, it is concluded that based on the strength properties at all ages of curing, 10% replacement of crushed e-waste was considered the optimum value of replacement for a constant percentage of replacement with RCA.
The initial strength gain of mixes with a 0.5% addition of polypropylene fibre was higher when compared with the other mixes. The enhancement of strength properties at all ages of curing is due to the pozzolanic action of fly ash and earlier formation of calcium silicate hydrates. Fly ash is a siliceous argillaceous material with 59.02% SiO2 and 27.94% Al2O3. For a successful addition of fly ash to meet self-compacting ability criteria, we need it in the mix in a specific quantity. According to Gebretsadik, Belayhun et al. (2021) [35], ultrasonic pulse velocity (UPV) and resonance frequency (RF) measurements are used to evaluate the mechanical properties of FRC, especially for steel fibres. The study concluded that these non-destructive techniques can be useful for optimising the design of steel FRC systems, as well as for quality control and in situ monitoring of steel FRC structures [35].
In light of the test results, it is concluded that better results and yielded stability were observed when 10% EW replaces the fine aggregate in concrete, irrespective of the fibre concentration [36]. It is also observed that the target strength was achieved in all SCC mixes created with varying levels of EW and fibre content. After a 10% replacement level of EW, segregation occurs, causing a rapid decrease in strength [37]. According to Dhanraj et al. (2017) [38], EW is replaced with fine aggregate in concrete in order to reduce the weight and it can offer fine strength along with durability just as conventional concrete. Moreover, the inferred results indicate that the EW performs better, and can be used as a substitute for the fine aggregate portion of conventional concrete [15]. It is also observed that an addition of 0.5% PF enhances the strength of concrete by 10.8% compared to the the conventional mixes made without RCA, EW, and PF [39,40]. Likewise, the other strength properties, such as split tensile and flexural strengths, express the behaviour in the same way as compressive strength. Hence, it is concluded that the optimum amount of ingredients for FRSCC is 60% of RCA, 10% EW and 0.5% of PF, which pertains to the experimental investigations.

4. Statistical Models

A two-level statistical experiment was exclusively designed to assess the impact of two diverse levels for each variable on the pertinent properties of SCC. Using a two-step factorial approach, we tested each variable a minimum number of times. In this study, three key parameters (RCA, EW, PF) have been described, and test trials were created. Since the expected response does not vary linearly with the selected variable, and to allow quantification of the prediction of responses, central composite design (CCD) was chosen, where the response could be modelled linearly, interactively, fully, and quadratic [41,42]. The CCD model is an integral part of response surface methodology. CCD optimisation models have two prime advantage: they more accurate and do not require a three-level factorial experiment for building a 2nd-order quadratic model [43].
In light of the increasing error in response prediction, as the distance is increased from the centre of the modelled area, it is prudent to limit the practice of models to a range that is limited by values corresponding to limits (−α to +α). The parameters are carefully calibrated to achieve a CCD in which the effect of each factor has been carefully assessed at three diverse levels in coded values of −α, 0, +α. The strength of FRSCC at 28 days was given Equation (1), which is a full quadratic model [44,45].
CS = C0 + C1A + C2B + C3C + C4AB + C5AC + C6BC + C7A2 + C8B2 + C9C2
where C0 to C9 are regression coefficients, A, B, and C indicate independent variables which are considered input factors, and CS indicates dependent variables which are considered as output response.
The study was conducted according to the CCD to predict the coded values of the design range of input parameters (see Table 10), and the points were measured conferring to the design matrix; responses are shown in Table 11. Responses were expressed using a polynomial equation as a function of the independent variables of the three parameters in Equation (1).
Khayat et al. (2000) carried out a CCD model with five factors: w/c ratio, cement, viscosity modifier dosage, superplasticizer dosage, the volume of fine and coarse aggregate content varied. Concrete properties at 7 and 28 days were examined for fresh and hardened concrete [46].
As a result of the ANOVA for the quadratic model used in the CCD, the model’s F-value and p-value are 14.52 and less than 0.05 implies that the model is significant. In this case, A, B, C, A2, B2, and C2 are significant model terms. p-Values greater than 0.10 specify that the model terms are not significant [47]. If there are many insignificant model terms, the model reduction will expand the model. The predicted R2 of 0.6866 is a sensible agreement with the adjusted R2 of 0.8649, i.e., the variance is less than 0.2. Model precision measures the signal-to-noise ratio [Table 12]. A ratio greater than 4 is desirable in CCD, whereas the model shows 11.626, which is an adequate signal [48].
When the equation is written as a coded factor, it can be used to predict the response at certain levels of each factor. By default, the high and low levels of the factors are coded as +1 and −1, respectively. To categorize the comparative impact of factors over the factor coefficients, coded equations are used. The equation in terms of actual factors offers an indication about the response for given levels of each factor.
By comparing the predicted results with the actual results in Table 13 and analysing the data in Figure 5, it is possible to evaluate the accuracy of the proposed model or equation. The close correlation between the predicted and actual values suggests that the model has a strong relationship with the underlying data. This indicates that the proposed regression equation is a reliable representation of the relationships in the data. The contour and response surface plots are drawn against the input parameters such as RCA, EW, and PF content. They are useful to determine the optimum parameter responses and visualising the results of parameters in the statistical model so they can be better comprehended. The obtained plots are shown in the following figures that indicates the lowest compression strength are indicated in dark blue color, translation state from low to medium was indicated in light blue, green color indicates the medium compressive strength and peak compressive strength are indicates in red color.
The optimisation analysis was carried out using the developed mathematical regression model in order to obtain the optimal composition of RCA, EW and PF by considering the 28 days’ strength which is dependent on input variables. Table 13 summarizes the optimum solutions determined by the software according to the set of optimisation criteria. From Figure 6, the best solution of all the optimum solutions referred to the case of achieving the desired compressive strength at 28 days. While considering all three input factors, the desirability of achieving the target strength was merely close to 1. Based on the response surface plots and contour plots, the constituents of FRSCC were optimised with a highest desirability range of 0.94, which determines that 51.35% of RCA replacement, 9.90% of EW replacement, and 0.503% of PF addition exhibits improved results compared to the optimum results obtained from the experimental investigation. The optimised results obtained from CCD were experimentally validated again and shown in Table 14.
It is observed that the predicted results are well-correlated with the experimental results and provide a stronger validation of (P/E) = 1 ± 0.1 in compressive strength of FRSCC.
Overall, statistical analysis has several benefits compared to experimental analysis. One advantage is that it tends to be quicker and more cost-effective, and it can be used to analyse large amounts of data. Additionally, statistical analysis can be applied to data from a variety of sources, including observations and naturalistic settings, while experimental analysis may have ethical limitations or require controlled conditions.

5. Durability Studies on FRSCC

Irrespective of strength properties, it is essential to understand the behaviour of FRSCC under stimulated aggressive environments such as acid and sulphate exposure. A compressive strength test was conducted on specimens which are directly exposed to chemicals. There are several factors which decide the durability characteristics of concrete, such as mix design, quality of materials and workmanship, curing conditions, etc. After the prescribed period of curing, the specimens were immersed in chemical solutions for a period of 28 and 90 days. Borrero, Edgar et al. (2021) [49] investigated the effect of different curing regimes (such as wet curing, ambient and laboratory curing, moist and dry curing) on the durability and mechanical properties of concrete. They found that proper curing is an essential factor which can influence the strength and durability properties. They also found that the type of curing had a significant impact on the frost resistance and chloride penetration of the concrete specimens, and concluded that the wet-oven-curing regime resulted in the highest compressive strength and durability compared to other curing conditions [49].

5.1. Acid Attack Test

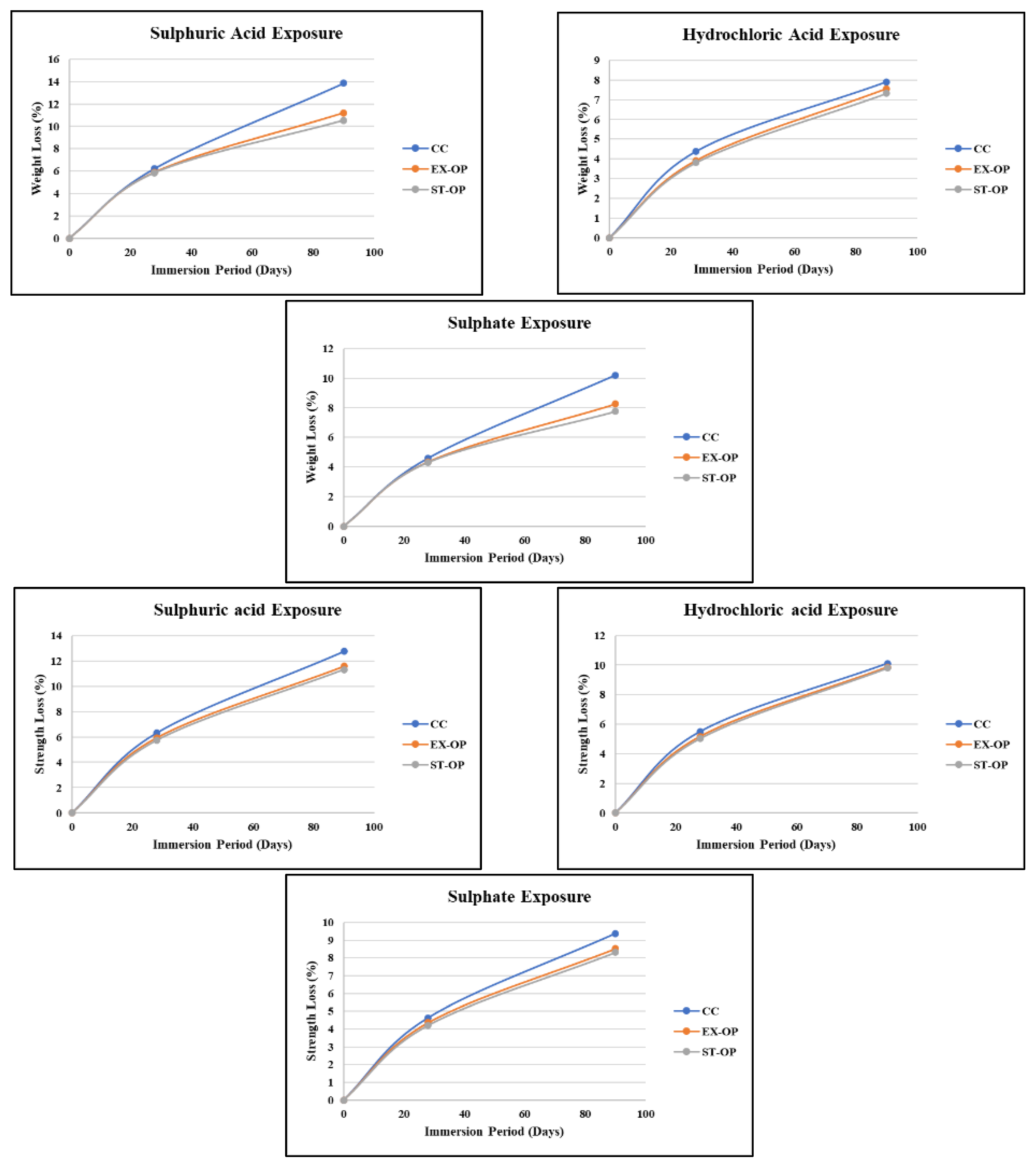
Acid attack test was conducted on specimens which are created with experimentally and statistically optimised ingredients and the results were compared with the behaviour of conventional concrete mixes; the test was carried out as per the guidelines mentioned in ASTM C642. Two different acidic exposures were created with the use of 2% sulphuric acid (H2SO4) and 2% hydrochloric acid (HCl) solutions [40]. The weight loss and strength loss assessment were performed after the successful immersion of specimens inside the solution. The observed results were tabulated in Table 15 and illustrated in Figure 7.
It is observed that the specimens created with ST-OP show better results against the acidic exposure when compared with the CC mixes. ST-OP shows a weight loss of 5.86% and 10.54% from the CC mixes for a period of 28 and 90 days of immersion in a sulphuric acid solution. On the other hand, EX-OP shows 5.91% and 11.22% from the CC mixes, which explains that the specimens created with both statistically and experimentally optimised produce excellent resistance against acidic exposure. Comparatively, more or less same strength loss was observed in both specimens with a standard deviation of ±0.18%. A similar trend was observed in specimens immersed in a HCl solution. ST-OP shows a weight loss of 3.91% and 7.56% from the CC mixes for a period of 28 and 90 days of immersion in a hydrochloric acid solution. In contrast, EX-OP shows 3.80% and 7.32% weight loss from the CC mixes. Strength loss values of specimens range between 0.04% and 0.1%.
The addition of fibres and replacement of fine and coarse aggregate with EW and RCA results in reduced weight loss against the acid exposure, accompanied by a reduced production of reaction compounds during the deterioration process. Primary compounds produced during the hydration process, resulting in the formation of secondary ettringite and calcium silicate hydrate gel, refined the pore structure, reduced the larger capillary pores to smaller ones and ultimately blocked these pores, playing a key role in resistance of the concrete to the ingression of harmful chemicals [40,50].

5.2. Sulphate Attack Test

A sulphate attack test was conducted on specimens which were created with experimentally and statistically optimised ingredients and the results were compared with the behaviour of conventional concrete mixes; the test was carried out as per the guidelines mentioned in ASTM C642. Sulphate solutions were created with the help of 2% sodium thiosulphate (Na2SO4). The weight loss and strength loss assessment were performed after the successful immersion of specimens inside the solution. The observed results were tabulated in Table 16 and illustrated in Figure 7.
Similarly to acidic exposure, a similar behaviour was exerted by the FRSCC specimens created with EX-OP and ST-OP ingredients against sulphate exposure. ST-OP shows a weight loss of 4.31% and 7.75% from the CC mixes for a period of 28 and 90 days of immersion in sulphate solution. In contrast, EX-OP shows values of 4.35% and 8.26% weight loss from the CC mixes. More or less the same strength loss was observed in both specimens with a standard deviation of ±0.14%. The intrusion of sulphate ions for a longer period reduces the surface capillary pores, which will result in comparatively reduced strength loss [51].
According to Figure 7, it appears that concrete mixes containing zero RCA, EW and PF (CC mixes) experience significant weight loss and reduced 28-day strength. However, when optimised ingredients are used, the strength and weight loss of the resulting concrete is significantly improved. It is believed that the use of these optimised ingredients enhances the strength and performance of the concrete by increasing the formation of calcium silicate hydrates, which helps to reduce the surface pores and decrease the infiltration of acids and sulphates. This leads to improved concrete performance.

6. Conclusions

The following are the conclusions inferred from the experimental investigation and statistical analysis performed on optimising the ingredients of FRSCC with fine aggregate replaced with EW, along with coarse aggregate replaced with RCA and polypropylene fibres.
  • Recycling and waste materials can be used to make SCC mixes without compromising their self-compacting ability properties such as flowability, passing ability, segregation resistance and viscosity.
  • Full replacement of coarse aggregate with RCA shows better results on workability properties than the concrete mixes devised with low or zero levels of RCA.
  • Addition of fibres into the SCC mixes is also possible without compromising the self-compacting ability nature of concrete.
  • At 28 days of curing, the compressive strength of the conventional concrete decreased by 2.2%, 4.5%, 6.6%, 9.7%, and 11.5% when the replacement of recycled concrete aggregate (RCA) content increased from 20% to 100% at intervals of 20%.
  • FRSCC-0.5-10 with a constant percentage of RCA reaches a compressive strength of 30.14 MPa in 7 days, whereas it reaches 41.82 MPa and 46.79 MPa at 14 days and 28 days, respectively. The optimum percentages of e-waste, recycled aggregate, and synthetic fibres are 10%, 60%, and 0.5%, respectively, considering the target strength into account.
  • One of the advantages of implementing the RSM models in the prediction analysis is that the obtained models are experimentally validated and the interaction between the input and output variables can be determined within a short duration.
  • Full quadratic models are capable of determining how constituent materials affect the properties of SCC in CCD.
  • The CCD model is suitable in exhibiting a smaller amount of fir loss when compared to the other models with an R2 value of 0.929 for the compressive strength of FRSCC.
  • Based on the CCD by RSM, the optimum percentages of e-waste, recycled aggregate, and synthetic fibres are 9.90%, 51.35%, and 0.503%, respectively, which shows 47.02 MPa strength at 28 days. It is also observed that predicted results are well correlated with the experimental results and provide a stronger validation of (P/E) = 1 ± 0.05 in compressive strength of FRSCC.
  • ST-OP specimens show better results against the acidic exposure when compared with the CC mixes, as they show a weight loss of 5.86% and 10.54% from the CC mixes for a period of 28 and 90 days of immersion in a sulphuric acid solution. On the other hand, EX-OP shows 5.91% and 11.22% from the CC mixes, which explains that the specimens created with both statistically and experimentally optimised methods produce excellent resistance against acidic exposure.
  • ST-OP shows a weight loss of 3.91% and 7.56% from the CC mixes for a period of 28 and 90 days of immersion in a hydrochloric acid solution. However, EX-OP shows 3.80% and 7.32% from the CC mixes.
  • ST-OP shows a weight loss of 4.31% and 7.75% from the CC mixes for a period of 28 and 90 days of immersion in a sulphate solution. On the other hand, EX-OP shows 4.35% and 8.26% from the CC mixes.

Shortcomings and Recommendations for Future Work

It has been observed that there are several potential drawbacks in using fibre-reinforced self-compacting concrete (FRSCC) with varying percentages of recycled concrete aggregate (RCA), e-waste (EW), and polypropylene fibres (PF). One of the main challenges is the difficulty in the placing and finishing of fibrous elements in the SCC mixes due to their thixotropic nature and reduced fluidity, which can increase the cost of production. Additionally, FRSCC may not be suitable for certain applications or structures, limiting its design options.
There are various directions for future research on fibre-reinforced self-compacting concrete (FRSCC). One important aspect to consider is the long-term performance of FRSCC, including its durability, corrosion resistance, thermal resistance, and aging behaviour. Additionally, further investigation is needed to identify the optimal types and amounts of fibres to use in order to achieve the desired mechanical properties and performance.

Supplementary Materials

The following supporting information can be downloaded at: https://www.mdpi.com/article/10.3390/pr11020455/s1. Figure S1 Materials used, Figure S2 Strength properties determination.

Author Contributions

Conceptualization, G.S. and S.V.; methodology, G.S.; software, G.S.; validation, G.S. and S.V.; formal analysis, G.S.; investigation, G.S.; resources, G.S.; data curation, G.S.; writing—original draft preparation, G.S.; writing—review and editing, G.S. and S.V.; visualization, G.S.; supervision, G.S. and S.V.; project administration, G.S.; funding acquisition, G.S. All authors have read and agreed to the published version of the manuscript.

Funding

This research received no external funding.

Data Availability Statement

All data used in this paper are given in the text.

Conflicts of Interest

The authors declare no conflict of interest.

References

  1. Kumar, D.S.; Rajeev, C. Development of self compacting concrete by use of Portland pozzolana cement, hydrated lime and silica fume. ISCA J. Eng. Sci. 2012, 1, 35–39. [Google Scholar]
  2. Rodrigues, F.A.; Joekes, I. Cement industry: Sustainability, challenges and perspectives. Environ. Chem. Lett. 2011, 9, 151–166. [Google Scholar] [CrossRef]
  3. Prasad, M.L.V.; Kumar, R.P.; Oshima, T. Development of analytical stress-strain model for glass fiber reinforced self compacting concrete. Int. J. Mech. Solids 2009, 4, 25–37. [Google Scholar]
  4. Chunchu, B.R.K.; Putta, J. Rheological and Strength Behavior of Binary Blended SCC Replacing Partial Fine Aggregate with Plastic E-Waste as High Impact Polystyrene. Buildings 2019, 9, 50. [Google Scholar] [CrossRef]
  5. Ghanbari, A.; Karihaloo, B.L. Prediction of the plastic viscosity of self-compacting steel fibre reinforced concrete. Cem. Concr. Res. 2009, 39, 1209–1216. [Google Scholar] [CrossRef]
  6. Al-Hadithi, A.I.; Noaman, A.T.; Mosleh, W.K. Mechanical properties and impact behavior of PET fiber reinforced self-compacting concrete (SCC). Compos. Struct. 2019, 224, 111021. [Google Scholar] [CrossRef]
  7. Ghosh, D.; Abd-Elssamd, A.; Ma, Z.J.; Hun, D. Development of high-early-strength fiber-reinforced self-compacting concrete. Constr. Build. Mater. 2021, 266, 121051. [Google Scholar] [CrossRef]
  8. Mohan, A.; Mini, K.M. Strength and durability studies of SCC incorporating silica fume and ultra fine GGBS. Constr. Build. Mater. 2018, 171, 919–928. [Google Scholar] [CrossRef]
  9. Simalti, A.; Singh, A. Comparative study on direct shear behavior of manufactured and recycled shredded tyre steel fiber reinforced self-consolidating concrete. J. Build. Eng. 2020, 29, 101169. [Google Scholar] [CrossRef]
  10. Ukpata, J.O.; Ephraim, M.E.; Akeke, G.A. Compressive strength of concrete using lateritic sand and quarry dust as fine aggregate. ARPN J. Eng. Appl. Sci. 2012, 7, 81–92. [Google Scholar]
  11. Ullah, S.; Qureshi, M.I.; Joyklad, P.; Suparp, S.; Hussain, Q.; Chaiyasarn, K.; Yooprasertchai, E. Effect of partial replacement of E-waste as a fine aggregate on compressive behavior of concrete specimens having different geometry with and without CFRP confinement. J. Build. Eng. 2022, 50, 104151. [Google Scholar] [CrossRef]
  12. Sua-Iam, G.; Chatveera, B. A study on workability and mechanical properties of eco-sustainable self-compacting concrete incorporating PCB waste and fly ash. J. Clean. Prod. 2021, 329, 129523. [Google Scholar] [CrossRef]
  13. Kotwal, S.; Singh, H.; Kumar, R. Experimental investigation of Steel Fibre reinforced Self Compacting Concrete (SCC) using recycled aggregates as partial replacement of coarse aggregates. Mater. Today Proc. 2022, 48, 1032–1037. [Google Scholar] [CrossRef]
  14. Aslani, F.; Hou, L.; Nejadi, S.; Sun, J.; Abbasi, S. Experimental analysis of fiber-reinforced recycled aggregate self-compacting concrete using waste recycled concrete aggregates, polypropylene, and steel fibers. Struct. Concr. 2019, 20, 1670–1683. [Google Scholar] [CrossRef]
  15. Sharba, A.A. The Efficiency of Steel Slag and Recycled Concrete Aggregate on the Strength Properties of Concrete. KSCE J. Civ. Eng. 2019, 23, 4846–4851. [Google Scholar] [CrossRef]
  16. Arul Prakash, T.A.; Natarajan, D.M.; Vadivel DT, S.; Vivek, K. Performance of Recycled Concrete Aggregate in Self Compacting Concrete (RCASCC). Int. J. Eng. Technol. 2018, 7, 1–4. [Google Scholar] [CrossRef]
  17. Castel, A.; Vidal, T.; Viriyametanont, K.; Francois, R. Effect of reinforcing bar orientation and loca-tion on bond with self-consolidating concrete. ACI Mater. J. 2006, 103, 559. [Google Scholar]
  18. Grünewald, S. Fibre reinforcement and the rheology of concrete. In Understanding the Rheology of Concrete; Woodhead Publishing: Sawston, UK, 2012; pp. 229–256. [Google Scholar] [CrossRef]
  19. Suchorab, Z.; Franus, M.; Barnat-Hunek, D. Properties of Fibrous Concrete Made with Plastic Optical Fibers from E-Waste. Materials 2020, 13, 2414. [Google Scholar] [CrossRef]
  20. Rani, E.; Kala, T.F. Investigation on Behavior of Basalt fibre Reinforced Concrete made with GGBFS, Concrete Debris and Optimization of Ingredients. Technology 2020, 11, 603–615. [Google Scholar]
  21. Dawood, E.T.; Ramli, M. Effects of the fibers on the properties of high strength flowing concrete. KSCE J. Civ. Eng. 2014, 18, 1704–1710. [Google Scholar] [CrossRef]
  22. Alqadi, A.N.S.; Bin Mustapha, K.N.; Naganathan, S.; Al-Kadi, Q.N.S. Uses of central composite design and surface response to evaluate the influence of constituent materials on fresh and hardened properties of self-compacting concrete. KSCE J. Civ. Eng. 2012, 16, 407–416. [Google Scholar] [CrossRef]
  23. Do, J. Muti-Objective Design Optimization of Self-Compacting Concrete using CCD Experimental Design and Weighted Multiple Objectives Considering Cost-Effectiveness. J. Korea Inst. Struct. Maint. Insp. 2020, 24, 26–38. [Google Scholar]
  24. IS12269; Indian Standard Designation. Specification for 53 Grade Ordinary Portland Cement. Bureau of Indian Standards: New Delhi, India, 2003.
  25. IS 3812; Specification for Pulverized fuel Ash, Part-1: For Use as Pozzolana in Cement, Cement Mortar and Concrete. Bureau of Indian Standards: New Delhi, India, 2013; pp. 1–12.
  26. IS 383; Coarse and Fine Aggregate for Concrete–Specification. Bureau of Indian Standards: New Delhi, India, 2016.
  27. IS 456; Plain and Reinforced Concrete-Code of Practice. Bureau of Indian Standards: New Delhi, India, 2000.
  28. IS 10262; Recommended Guidelines for Concrete Mix Design. Bureau of Indian Standards: New Delhi, India, 2019.
  29. Beigi, M.H.; Berenjian, J.; Omran, O.L.; Nik, A.S.; Nikbin, I.M. An experimental survey on combined effects of fibers and nanosilica on the mechanical, rheological, and durability properties of self-compacting concrete. Mater. Des. 2013, 50, 1019–1029. [Google Scholar] [CrossRef]
  30. IS 1199; Methods of Sampling and Analysis of Concrete. Bureau of Indian Standards: New Delhi, India, 1959.
  31. Okamura, H.; Ouchi, M. Self-compacting concrete (invited paper). J. Adv. Concr. Technol. 2003, 1, 5–15. [Google Scholar] [CrossRef]
  32. Wongkvanklom, A.; Posi, P.; Khotsopha, B.; Ketmala, C.; Pluemsud, N.; Lertnimoolchai, S.; Chindaprasirt, P. Structural Lightweight Concrete Containing Recycled Lightweight Concrete Aggregate. KSCE J. Civ. Eng. 2018, 22, 3077–3084. [Google Scholar] [CrossRef]
  33. More, H.; Aravind Sagar, B. An Experimental Laboratory Study on Utilisation of E-waste as a Partial Replacement of Fine Aggregates in Concrete. Int. J. Res. Eng. Technol. 2016, 5, 100–108. [Google Scholar]
  34. IS 516; Indian Standard Methods of Test for Strength of Concrete. Bureau of Indian Standards: New Delhi, India, 1959.
  35. Gebretsadik, B.; Jadidi, K.; Farhangi, V.; Karakouzian, M. Application of Ultrasonic Measurements for the Evaluation of Steel Fiber Reinforced Concrete. Eng. Technol. Appl. Sci. Res. 2021, 11, 6662–6667. [Google Scholar] [CrossRef]
  36. Manjunath, B.A. Partial Replacement of E-plastic Waste as Coarse-Aggregate in Concrete. Procedia Environ. Sci. 2016, 35, 731–739. [Google Scholar] [CrossRef]
  37. Ponikiewski, T. The rheology of fresh steel fibre reinforced self-compacting mixtures. ACEE Archit. Civ. Eng. Environ. 2011, 4, 65–72. [Google Scholar]
  38. Dhanraj, A.A.; Selvamony, C.; Joshuva, A. An experiment investigation on concrete by using e-waste as fine aggregate and enhanced the thermal insulation and ultrasonic properties. Int. J. Civ. Eng. Technol. 2017, 8, 392–399. [Google Scholar]
  39. Tamilselvan, K.; NBalasundaram; Karthik, V.; Suryarakash, S. An Experimental Investigation on the Strength Charac-teristics of Hybrid Fiber Reinforced Self Compacting Concrete. Pak. J. Biotechnol. 2018, 15, 957–960. [Google Scholar]
  40. Dinakar, P.; Babu, K.G.; Santhanam, M. Durability properties of high volume fly ash self compacting concretes. Cem. Concr. Compos. 2008, 30, 880–886. [Google Scholar] [CrossRef]
  41. Athiyamaan, V.; Ganesh, G.M. Statistical and detailed analysis on fiber reinforced self-compacting concrete con-taining admixtures-A state of art of review. In IOP Conference Series: Materials Science and Engineering; IOP Publishing: Bristol, UK, 2017; Volume 263, pp. 32–37. [Google Scholar]
  42. Elemam, W.E.; Abdelraheem, A.H.; Mahdy, M.G.; Tahwia, A.M. Optimizing fresh properties and compressive strength of self-consolidating concrete. Constr. Build. Mater. 2020, 249, 118781. [Google Scholar] [CrossRef]
  43. Elemam, W.E.; Abdelraheem, A.H.; Mahdy, M.G.; Tahwia, A.M. Prediction and Optimization of Self-Consolidating Concrete Properties. ACI Mater. J. 2022, 119, 91–104. [Google Scholar]
  44. Kandasamy, S.; Akila, P. Experimental analysis and modeling of steel fiber reinforced SCC using central composite design. Comput. Concr. 2015, 15, 215–229. [Google Scholar] [CrossRef]
  45. Mokhtarani, N.; Khodabakhshi, S.; Ayati, B. Optimization of photocatalytic post-treatment of composting leachate using UV/TiO2. Desalin. Water Treat. 2016, 57, 22232–22243. [Google Scholar] [CrossRef]
  46. Khayat, K.H. Optimization and performance of air-entrained, self-consolidating concrete. Mater. J. 2000, 97, 526–535. [Google Scholar]
  47. Jasiūnienė, E.; Cicėnas, V.; Grigaliūnas, P.; Rudžionis, Z.; Navickas, A.A. Influence of the rheological properties on the steel fibre distribution and orientation in self-compacting concrete. Mater. Struct. 2018, 51, 103. [Google Scholar] [CrossRef]
  48. Sathyan, D.; Anand, K.B.; Prakash, A.J.; Premjith, B. Modeling the Fresh and Hardened Stage Properties of Self-Compacting Concrete using Random Kitchen Sink Algorithm. Int. J. Concr. Struct. Mater. 2018, 12, 24. [Google Scholar] [CrossRef]
  49. Borrero, E.L.S.; Farhangi, V.; Jadidi, K.; Karakouzian, M. An Experimental Study on Concrete’s Durability and Mechanical Characteristics Subjected to Different Curing Regimes. Civ. Eng. J. 2021, 7, 676–689. [Google Scholar] [CrossRef]
  50. Alonso, M.C.; Sanchez, M.; Rodriguez, C.; Barragan, B. Durability of SCC reinforced with polymeric fibres: Interaction with environment and behaviour against high temperatures. In Proceedings of the 11th International Inorganic-Bonded Fibre Composites Conferences, Madrid, Spain, 5–7 November 2008; pp. 227–235. [Google Scholar]
  51. Al-Akhras, N.M. Durability of metakaolin concrete to sulfate attack. Cem. Concr. Res. 2006, 36, 1727–1734. [Google Scholar] [CrossRef]
Figure 1. Strength properties of SCC made with RCA.
Figure 1. Strength properties of SCC made with RCA.
Processes 11 00455 g001
Figure 2. Optimisation of RCA.
Figure 2. Optimisation of RCA.
Processes 11 00455 g002
Figure 3. SCC preparation.
Figure 3. SCC preparation.
Processes 11 00455 g003
Figure 4. Optimisation of EW and PF in SCC.
Figure 4. Optimisation of EW and PF in SCC.
Processes 11 00455 g004
Figure 5. Predicted vs. actual results for the regression equation.
Figure 5. Predicted vs. actual results for the regression equation.
Processes 11 00455 g005
Figure 6. Response surfaces and contour plots.
Figure 6. Response surfaces and contour plots.
Processes 11 00455 g006
Figure 7. Strength and weight loss against chemical exposure.
Figure 7. Strength and weight loss against chemical exposure.
Processes 11 00455 g007
Table 1. Cement properties.
Table 1. Cement properties.
PropertyBulk DensityConsistencySpecific GravitySpecific Surface Area (m2/kg)Setting TimeStrength
InitialFinal14th Day28th Day
Value1670 kg/m329.5%3.132951.25 h6.25 h45.77 MPa57.12 MPa
Table 2. Fly ash properties.
Table 2. Fly ash properties.
PropertyBulk DensityMoisture ContentResidue Retained on 45 µ SieveSpecific GravitySpecific Surface Area
Value1150 kg/m30.40%24.6%2.18480 m2/kg
Table 3. Chemical composition of cement and fly ash.
Table 3. Chemical composition of cement and fly ash.
OPC 53Fly Ash
CompositionValueCompositionValue
CaO64.22SiO259.02
SiO222.74Al2O327.94
Al2O34.71Fe2O38.30
Fe2O34.80MgO2.19
SO32.10LOI1.65
MgO0.95SO31.09
K2O0.76Na2O0.75
TiO20.33CaO0.07
ZrO20.01
Table 4. Fine aggregate properties.
Table 4. Fine aggregate properties.
PropertyDry Rodded Bulk DensityFineness ModulusGradation ZoneSpecific GravityWater Absorption
River sand1870 kg/m32.58II2.161.10%
e-waste795 kg/m32.95II1.480.30%
Table 5. Coarse aggregate properties.
Table 5. Coarse aggregate properties.
PropertyDry Rodded Bulk DensityFineness ModulusSpecific GravityWater Absorption
CGA1475 kg/m36.922.830.90%
RCA1280 kg/m36.702.492.70%
Table 6. Fresh properties of RCA content in SCC.
Table 6. Fresh properties of RCA content in SCC.
RCA Replacement (%)Slump Flow (mm)L-BoxSieve TestV-Funnel Test (s)
0683 (SF2)0.8717.1 (SR1)9.97 (V2)
20697 (SF2)0.9015.2 (SR1)8.6 (V2)
40705 (SF2)0.9113.8 (SR2)7.38 (V1)
60728 (SF2)0.9212.8 (SR2)7.31 (V1)
80747 (SF2)0.9312.1 (SR2)7.18 (V1)
100762 (SF3)0.9811.5 (SR2)6.9 (V1)
Table 7. Optimisation of RCA content in SCC.
Table 7. Optimisation of RCA content in SCC.
Mix IDCompressive Strength (MPa)Split Tensile Strength (MPa)Flexural Strength (MPa)
7th Day14th Day28th Day% Change7th Day14th Day28th Day7th Day14th Day28th Day
RCA0026.9837.2642.24-2.783.233.373.924.715.13
RCA2026.3936.4441.332.2% ↓2.753.193.323.884.665.08
RCA4025.7535.5540.34 4.5% ↓2.713.143.283.844.605.02
RCA6025.1634.7439.44 6.6% ↓2.683.103.243.804.564.97
RCA8024.3333.5938.169.7% ↓2.633.053.183.744.484.90
RCA10023.8232.8737.3711.5% ↓2.603.013.143.704.444.85
Table 8. Fresh properties of EW and fibre content in SCC.
Table 8. Fresh properties of EW and fibre content in SCC.
Mix IDIngredients (%)Slump Flow (mm)L-BoxSieve TestV-Funnel Test (s)
RCAPFEW
CC000762 (SF3)0.8711.5 (SR2)6.9 (V1)
FRSCC-0-06000705 (SF2)0.9213.8 (SR2)7.38 (V1)
FRSCC-0-56005716 (SF2)0.9212.9 (SR2)7.23 (V1)
FRSCC-0-1060010773 (SF3)0.9312.1 (SR2)7.1 (V1)
FRSCC-0-1560015789 (SF3)0.9511.4 (SR2)6.6 (V1)
FRSCC-0-2060020814 (SF3)0.9710.2 (SR2)6.24 (V1)
FRSCC-0.25-0600.250697 (SF2)0.8914.5 (SR2)7.93 (V1)
FRSCC-0.25-5600.255752 (SF2)0.9013.5 (SR2)7.77 (V1)
FRSCC-0.25-10600.2510768 (SF3)0.9212.7 (SR2)7.63 (V1)
FRSCC-0.25-15600.2515792 (SF3)0.9312.0 (SR2)7.09 (V1)
FRSCC-0.25-20600.2520801 (SF3)0.9510.7 (SR2)6.71 (V1)
FRSCC-0.5-0600.50678 (SF2)0.9015.4 (SR1)8.56 (V2)
FRSCC-0.5-5600.55733 (SF2)0.9214.4 (SR2)8.38 (V2)
FRSCC-0.5-10600.510748 (SF2)0.9513.5 (SR2)8.23 (V2)
FRSCC-0.5-15600.515771 (SF3)0.9712.7 (SR2)7.66 (V1)
FRSCC-0.5-20600.520784 (SF3)0.9811.4 (SR2)7.24 (V1)
FRSCC-0.75-0600.750660 (SF2)0.9216.4 (SR1)9.33 (V2)
FRSCC-0.75-5600.755713 (SF2)0.9415.5 (SR1)9.14 (V2)
FRSCC-0.75-10600.7510728 (SF2)0.9514.4 (SR2)8.97 (V2)
FRSCC-0.75-15600.7515751 (SF2)0.9713.6 (SR2)8.34 (V2)
FRSCC-0.75-20600.7520765 (SF3)0.9912.1 (SR2)7.89 (V1)
FRSCC-1.0-0601.00643 (SF1)0.9417.7 (SR1)10.26 (V2)
FRSCC-1.0-5601.05694 (SF2)0.9616.6 (SR1)10.05 (V2)
FRSCC-1.0-10601.010709 (SF2)0.9915.6 (SR1)9.87 (V2)
FRSCC-1.0-15601.015731 (SF2)1.0214.7 (SR2)9.17 (V2)
FRSCC-1.0-20601.020744 (SF2)1.0513.1 (SR2)8.68 (V2)
Table 9. Optimisation of EW and fibre content in SCC.
Table 9. Optimisation of EW and fibre content in SCC.
Mix IDCompressive Strength (MPa)Split Tensile Strength (MPa)Flexural Strength (MPa)
7th Day14th Day28th Day% Change7th Day14th Day28th Day7th Day14th Day28th Day
CC26.9837.2642.24-2.783.233.373.924.715.13
FRSCC-0-025.1634.7439.446.6% ↓2.683.103.243.804.564.97
FRSCC-0-525.8035.8140.115.0% ↓2.883.413.623.914.915.37
FRSCC-0-1026.8837.3141.781.1% ↓2.943.483.703.995.015.48
FRSCC-0-1525.9336.0040.324.5% ↓2.893.423.633.924.925.39
FRSCC-0-2025.2435.0439.267.1% ↓2.853.373.583.864.865.32
FRSCC-0.25-026.4736.7441.152.6% ↓2.923.453.673.964.975.44
FRSCC-0.25-527.2437.8042.330.2% ↑2.963.503.724.015.045.52
FRSCC-0.25-1028.2739.2443.924.0% ↑3.023.573.794.095.145.62
FRSCC-0.25-1527.0737.5742.070.4% ↓2.953.493.714.005.035.50
FRSCC-0.25-2026.3036.5040.883.2% ↓2.913.443.663.944.965.43
FRSCC-0.5-027.6538.3742.961.7% ↑2.983.533.754.045.085.56
FRSCC-0.5-528.6639.7844.525.4% ↑3.043.593.824.125.175.66
FRSCC-0.5-1030.1441.8246.7910.8% ↑3.123.683.914.225.305.80
FRSCC-0.5-1528.2039.1443.813.7% ↑3.013.563.794.085.135.62
FRSCC-0.5-2027.2237.7842.30.1% ↑2.963.503.724.015.045.52
FRSCC-0.75-026.6036.9241.352.1% ↓2.933.463.683.974.985.46
FRSCC-0.75-527.5838.2742.851.4% ↑2.983.523.744.045.075.55
FRSCC-0.75-1028.9940.2345.036.6% ↑3.063.613.844.145.205.69
FRSCC-0.75-1527.1337.6542.160.2% ↓2.963.503.714.015.035.51
FRSCC-0.75-2026.1936.3540.713.6% ↓2.903.433.653.944.945.41
FRSCC-1.0-025.5935.5239.795.8% ↓2.873.403.613.894.895.35
FRSCC-1.0-526.5336.8241.242.4% ↓2.923.463.673.964.985.45
FRSCC-1.0-1027.9038.7143.342.6% ↑3.003.543.764.065.105.59
FRSCC-1.0-1526.1036.2340.583.9% ↓2.903.433.643.934.945.41
FRSCC-1.0-2025.1934.9739.187.2% ↓2.853.373.583.864.855.31
Table 10. Coded values of design range of input parameters.
Table 10. Coded values of design range of input parameters.
FactorNameLimitsMeanStd. Dev.Coded Values
Min.Max.−α−101
ARCA (%)201006029.0220406080100
BEW (%)020107.2505101520
CPF (%)010.50.36300.250.50.751
R1CS—28th day (MPa)35.7247.5842.4175.3335.7239.0742.414547.58
Table 11. Design matrix and responses.
Table 11. Design matrix and responses.
StdRunInput FactorsOutput Response
A: RCA Replacement (%)B: EW Replacement (%)C: Fibre Addition (%)R1: CS @ 28th Day (MPa)
119200041.33
2161000037.37
3152020041.24
4810020035.72
517200138.69
631000139.15
7102020140.38
81310020138.26
9620100.542.79
105100100.540.82
1116000.542.96
12460200.542.30
1396010041.78
14146010143.34
152060100.546.79
161160100.547.58
17760100.546.81
181860100.546.52
19260100.547.33
201260100.546.95
Table 12. Summary of statistical model using CCD.
Table 12. Summary of statistical model using CCD.
ResponseStandard DeviationRegression Equation
PredictedAdjustedFinalCoded FactorsActual Factors
CS @ 28th day (MPa)0.68660.86490.9289+46.12 − 1.31A − 0.16B + 0.238C − 0.5175AB + 0.9775AC + 0.3175BC − 3A2 − 2.18B2 − 2.25C2+37.83 + 0.181A + 0.466B + 5.905C − 0.0013AB + 0.0489AC + 0.0635BC − 0.0019A2 − 0.0218B2 − 8.996C2
Table 13. Comparison of predicted vs. actual results.
Table 13. Comparison of predicted vs. actual results.
Input FactorsOutput Response (CS) (MPa)
A: RCA (%)B: EW (%)C: PF (%)Actual (A)Predicted (P)A/P
200041.3340.690.98
1000037.3736.930.99
2020041.2440.770.99
10020035.7234.930.98
200138.6938.581.00
1000139.1538.730.99
2020140.3839.930.99
10020138.2638.000.99
20100.542.7944.421.04
100100.540.8241.581.02
6000.542.9644.021.02
60200.542.343.701.03
6010041.7843.551.04
6010143.3444.031.02
60100.546.7946.040.98
60100.547.5846.040.97
60100.546.8146.040.98
60100.546.5246.040.99
60100.547.3346.040.97
60100.546.9546.040.98
Mean1.00
Standard deviation0.0224
Table 14. Experimental validation.
Table 14. Experimental validation.
Input ParametersOptimised ValuesOutput Response
Predicted (P)Experimental (E)P/E
RCA51.3546.2747.020.98
EW9.90
PF0.503
Table 15. Acid attack test results.
Table 15. Acid attack test results.
ExposureImmersion PeriodCCEX-OPST-OP
H2SO4Weight (kg)0th Day8.147.877.75
Weight Loss (%)28th day6.245.915.86
90th Day13.8711.2210.54
Strength (MPa)0th Day42.2446.7947.02
Strength Loss (%)28th day6.315.945.73
90th Day12.7511.5911.31
HClWeight (kg)0th Day8.147.877.75
Weight Loss (%)28th day4.373.913.80
90th Day7.907.567.32
Strength (MPa)0th Day42.2446.7947.02
Strength Loss (%)28th day5.505.185.04
90th Day10.119.879.81
EX-OP—experimentally optimised; ST-OP—statistically optimised.
Table 16. Acid attack test results.
Table 16. Acid attack test results.
ExposureImmersion PeriodCCEX-OPST-OP
Na2SO4Weight (kg)0th Day8.147.877.75
Weight Loss (%)28th day4.594.354.31
90th Day10.208.267.75
Strength (MPa)0th Day42.2446.7947.02
Strength Loss (%)28th day4.644.374.22
90th Day9.388.538.32
Disclaimer/Publisher’s Note: The statements, opinions and data contained in all publications are solely those of the individual author(s) and contributor(s) and not of MDPI and/or the editor(s). MDPI and/or the editor(s) disclaim responsibility for any injury to people or property resulting from any ideas, methods, instructions or products referred to in the content.

Share and Cite

MDPI and ACS Style

Sivanandam, G.; Venkataraman, S. Mechanical and Durability Properties of CCD-Optimised Fibre-Reinforced Self-Compacting Concrete. Processes 2023, 11, 455. https://doi.org/10.3390/pr11020455

AMA Style

Sivanandam G, Venkataraman S. Mechanical and Durability Properties of CCD-Optimised Fibre-Reinforced Self-Compacting Concrete. Processes. 2023; 11(2):455. https://doi.org/10.3390/pr11020455

Chicago/Turabian Style

Sivanandam, Gunachandrabose, and Sreevidya Venkataraman. 2023. "Mechanical and Durability Properties of CCD-Optimised Fibre-Reinforced Self-Compacting Concrete" Processes 11, no. 2: 455. https://doi.org/10.3390/pr11020455

APA Style

Sivanandam, G., & Venkataraman, S. (2023). Mechanical and Durability Properties of CCD-Optimised Fibre-Reinforced Self-Compacting Concrete. Processes, 11(2), 455. https://doi.org/10.3390/pr11020455

Note that from the first issue of 2016, this journal uses article numbers instead of page numbers. See further details here.

Article Metrics

Back to TopTop