Adsorptive Removal of Boron by DIAION™ CRB05: Characterization, Kinetics, Isotherm, and Optimization by Response Surface Methodology
Abstract
:1. Introduction
2. Materials
2.1. Resins and Reagents
2.2. Preparation of Standard Solutions
2.3. Characterization Methods
2.4. Batch Adsorption Studies and Analytical Methods
2.5. Analytical Methods
2.6. Response Surface Optimization RSM
2.7. Kinetic Modeling
2.8. Isotherm Models
3. Results and Discussions
3.1. Characterization
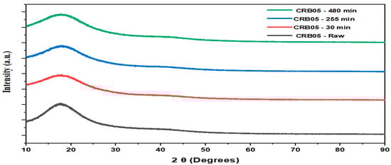
3.1.1. XRD
3.1.2. FTIR
3.1.3. FESEM
3.2. Optimizing Procedure
3.2.1. Representation of a Regression Model
3.2.2. Statistical Analysis of Variance (ANOVA)
3.2.3. The Influence of a Factor’s Correlation on a Response
3.3. Kinetic Studies
3.4. Isotherm
4. Conclusions
Author Contributions
Funding
Data Availability Statement
Acknowledgments
Conflicts of Interest
References
- Eljamal, O.; Maamoun, I.; Alkhudhayri, S.; Eljamal, R.; Falyouna, O.; Tanaka, K.; Kozai, N.; Sugihara, Y. Insights into boron removal from water using Mg-Al-LDH: Reaction parameters optimization & 3D-RSM modeling. J. Water Process. Eng. 2022, 46, 102608. [Google Scholar] [CrossRef]
- Birniwa, A.H.; Mohammad, R.E.A.; Ali, M.; Rehman, M.F.; Abdullahi, S.S.A.; Eldin, S.M.; Mamman, S.; Sadiq, A.C.; Jagaba, A.H. Synthesis of Gum Arabic Magnetic Nanoparticles for Adsorptive Removal of Ciprofloxacin: Equilibrium, Kinetic, Thermodynamics Studies, and Optimization by Response Surface Methodology. Separations 2022, 9, 322. [Google Scholar] [CrossRef]
- Kanoun, O.; Lazarević-Pašti, T.; Pašti, I.; Nasraoui, S.; Talbi, M.; Brahem, A.; Adiraju, A.; Sheremet, E.; Rodriguez, R.; Ben Ali, M.; et al. A Review of Nanocomposite-Modified Electrochemical Sensors for Water Quality Monitoring. Sensors 2021, 21, 4131. [Google Scholar] [CrossRef] [PubMed]
- Al-dhawi, B.N.S.; Kutty, S.R.M.; Ghaleb, A.A.S.; Almahbashi, N.M.Y.; Saeed, A.A.H.; Al-Mekhlafi, A.B.A.; Alsaeedi, Y.A.A.; Jagaba, A.H. Pretreated palm oil clinker as an attached growth media for organic matter removal from synthetic domestic wastewater in a sequencing batch reactor. Case Stud. Chem. Environ. Eng. 2022, 7, 100294. [Google Scholar] [CrossRef]
- Melliti, A.; Kheriji, J.; Bessaies, H.; Hamrouni, B. Boron removal from water by adsorption onto activated carbon prepared from palm bark: Kinetic, isotherms, optimisation and breakthrough curves modelling. Water Sci. Technol. 2020, 81, 321–332. [Google Scholar] [CrossRef]
- Usman, A.; Aris, A.; Labaran, B.; Darwish, M.; Jagaba, A. Effect of Calcination Temperature on the Morphology, Crystallinity, and Photocatalytic Activity of ZnO/TiO2 in Selenite Photoreduction from Aqueous Phase. J. New Mater. Electrochem. Syst. 2022, 25, 251–258. [Google Scholar] [CrossRef]
- Birniwa, A.H.; Abdullahi, S.S.; Yakasai, M.Y.; Ismaila, A. Studies on physico-mechanical behaviour of kenaf/glass fiber reinforced epoxy hybrid composites. Bull. Chem. Soc. Ethiop. 2021, 35, 171–184. [Google Scholar] [CrossRef]
- Wimmer, M.A.; Abreu, I.; Bell, R.W.; Bienert, M.D.; Brown, P.H.; Dell, B.; Fujiwara, T.; Goldbach, H.E.; Lehto, T.; Mock, H.; et al. Boron: An essential element for vascular plants. New Phytol. 2019, 226, 1232–1237. [Google Scholar] [CrossRef]
- Jagaba, A.H.; Kutty, S.R.M.; Baloo, L.; Noor, A.; Abubakar, S.; Lawal, I.M.; Umaru, I.; Usman, A.K.; Kumar, V.; Birniwa, A.H. Effect of Hydraulic Retention Time on the Treatment of Pulp and Paper Industry Wastewater by Extended Aeration Activated Sludge System. In Proceedings of the 2021 Third International Sustainability and Resilience Conference: Climate Change (IEEE 2021), Sakheer, Bahrain, 15–16 November 2021; pp. 221–224. [Google Scholar]
- Al-dhawi, B.; Kutty, S.R.; Almahbashi, N.; Noor, A.; Jagaba, A.H. Organics removal from domestic wastewater utilizing palm oil clinker (POC) media in a submerged attached growth system. Int. J. Civ. Eng. Technol. 2020, 11, 1–7. [Google Scholar]
- Tomaszewska, B.; Bodzek, M.J.D. Desalination of geothermal waters using a hybrid UF-RO process—Part I: Boron removal in pilot-scale tests. Desalination 2013, 319, 99–106. [Google Scholar] [CrossRef]
- Yaro, N.S.A.; Sutanto, M.H.; Habib, N.Z.; Napiah, M.; Usman, A.; Al-Sabaeei, A.M.; Rafiq, W. Feasibility Evaluation of Waste Palm Oil Clinker Powder as a Fillers Substitute for Eco-Friendly Hot Mix Asphalt Pavement. Int. J. Pavement Res. Technol. 2022, 1–14. [Google Scholar] [CrossRef]
- Jagaba, A.H.; Kutty, S.R.M.; Baloo, L.; Birniwa, A.H.; Lawal, I.M.; Aliyu, M.K.; Yaro, N.S.A.; Usman, A.K. Combined treatment of domestic and pulp and paper industry wastewater in a rice straw embedded activated sludge bioreactor to achieve sustainable development goals. Case Stud. Chem. Environ. Eng. 2022, 6, 100261. [Google Scholar] [CrossRef]
- Ipekçi, D.; Altıok, E.; Bunani, S.; Yoshizuka, K.; Nishihama, S.; Arda, M.; Kabay, N. Effect of acid-base solutions used in acid-base compartments for simultaneous recovery of lithium and boron from aqueous solution using bipolar membrane electrodialysis (BMED). Desalination 2018, 448, 69–75. [Google Scholar] [CrossRef]
- Sayed, K.; Baloo, L.; Kutty, S.R.B.; Al Madhoun, W.; Kankia, M.U.; Jagaba, A.H.; Singa, P.K. Optimization of palm oil mill effluent final discharge as biostimulant for biodegradation of tapis light crude petroleum oil in seawater. J. Sea Res. 2022, 188, 102268. [Google Scholar] [CrossRef]
- Yaro, N.S.A.; Napiah, M.; Sutanto, M.H.; Usman, A.; Mizwar, I.K.; Umar, A.M. Engineering Properties of Palm Oil Clinker Fine-Modified Asphaltic Concrete Mixtures. J. Eng. Technol. Sci. 2022, 54. [Google Scholar]
- Bangari, R.S.; Yadav, V.K.; Singh, J.K.; Sinha, N. Fe3O4-Functionalized Boron Nitride Nanosheets as Novel Adsorbents for Removal of Arsenic(III) from Contaminated Water. ACS Omega 2020, 5, 10301–10314. [Google Scholar] [CrossRef]
- Jagaba, A.; Kutty, S.; Hayder, G.; Baloo, L.; Noor, A.; Yaro, N.; Saeed, A.; Lawal, I.; Birniwa, A.; Usman, A. A Systematic Literature Review on Waste-to-Resource Potential of Palm Oil Clinker for Sustainable Engineering and Environmental Applications. Materials 2021, 14, 4456. [Google Scholar] [CrossRef]
- Akhoondi, A.; Feleni, U.; Bethi, B.; Idris, A.O.; Hojjati-Najafabadi, A. Advances in metal-based vanadate compound photocatalysts: Synthesis, properties and applications. Synth. Sinter. 2021, 1, 151–168. [Google Scholar] [CrossRef]
- Al-Sabaeei, A.M.; Al-Fakih, A.; Noura, S.; Yaghoubi, E.; Alaloul, W.; Al-Mansob, R.A.; Khan, M.I.; Yaro, N.S.A. Utilization of palm oil and its by-products in bio-asphalt and bio-concrete mixtures: A review. Constr. Build. Mater. 2022, 337, 127552. [Google Scholar] [CrossRef]
- Kameda, T.; Yamamoto, Y.; Kumagai, S.; Yoshioka, T. Analysis of F−removal from aqueous solutions using MgO. J. Water Process. Eng. 2018, 25, 54–57. [Google Scholar] [CrossRef]
- Jagaba, A.H.; Kutty, S.R.M.; Isa, M.H.; Ghaleb, A.A.S.; Lawal, I.M.; Usman, A.K.; Birniwa, A.H.; Noor, A.; Abubakar, S.; Umaru, I.; et al. Toxic Effects of Xenobiotic Compounds on the Microbial Community of Activated Sludge. ChemBioEng Rev. 2022, 9, 497–535. [Google Scholar] [CrossRef]
- Abdullahi, S.S.; Musa, H.; Habibu, S.; Birniwa, A.H.; Mohammad, R.E.A. Comparative study and dyeing performance of as-synthesized azo heterocyclic monomeric, polymeric, and commercial disperse dyes. Turk. J. Chem 2022, 46, 1–12. [Google Scholar] [CrossRef]
- Birniwa, A.H.; Abubakar, A.S.; Mahmud, H.N.M.E.; Kutty, S.R.M.; Jagaba, A.H.; Abdullahi, S.S.A.; Zango, Z.U. Application of Agricultural Wastes for Cationic Dyes Removal from Wastewater. In Textile Wastewater Treatment; Springer: Singapore, 2022; pp. 239–274. [Google Scholar]
- Jagaba, A.H.; Kutty, S.R.M.; Isa, M.H.; Affam, A.C.; Aminu, N.; Abubakar, S.; Noor, A.; Lawal, I.M.; Umaru, I.; Hassan, I. Effect of environmental and operational parameters on sequential batch reactor systems in dye degradation. In Dye Biodegradation, Mechanisms and Techniques; Springer: Berlin/Heidelberg, Germany, 2022; pp. 193–225. [Google Scholar]
- Yaro, N.S.A.; Sutanto, M.H.; Habib, N.Z.; Napiah, M.; Usman, A.; Al-Sabaeei, A.M.; Rafiq, W. Mixture Design-Based Performance Optimization via Response Surface Methodology and Moisture Durability Study for Palm Oil Clinker Fine Modified Bitumen Asphalt Mixtures. Int. J. Pavement Res. Technol. 2022, 1–28. [Google Scholar] [CrossRef]
- Yan, S.C.; Li, Z.S.; Zou, Z.G. Photodegradation of Rhodamine B and Methyl Orange over Boron-Doped g-C3N4 under Visible Light Irradiation. Langmuir 2010, 26, 3894–3901. [Google Scholar] [CrossRef]
- Jagaba, A.; Kutty, S.; Lawal, I.; Abubakar, S.; Hassan, I.; Zubairu, I.; Umaru, I.; Abdurrasheed, A.; Adam, A.; Ghaleb, A.; et al. Sequencing batch reactor technology for landfill leachate treatment: A state-of-the-art review. J. Environ. Manag. 2021, 282, 111946. [Google Scholar] [CrossRef]
- Abdullahi, S.S.; Musa, H.; Habibu, S.; Birniwa, A.H.; Mohammad, R.E.A. Facile synthesis and dyeing performance of some disperse monomeric and polymeric dyes on nylon and polyester fabrics. Bull. Chem. Soc. Ethiop. 2022, 35, 485–497. [Google Scholar] [CrossRef]
- Usman, A.; Sutanto, M.H.; Napiah, M.; Zoorob, S.E.; Yaro, N.S.A.; Khan, M.I. Comparison of performance properties and prediction of regular and gamma-irradiated granular waste polyethylene terephthalate modified asphalt mixtures. Polymers 2021, 13, 2610. [Google Scholar] [CrossRef]
- Kankia, M.U.; Baloo, L.; Danlami, N.; Samahani, W.N.; Mohammed, B.S.; Haruna, S.; Jagaba, A.H.; Abubakar, M.; Ishak, E.A.; Sayed, K. Optimization of Cement-Based Mortar Containing Oily Sludge Ash by Response Surface Methodology. Materials 2021, 14, 6308. [Google Scholar] [CrossRef]
- Birniwa, A.H.; Mahmud, H.N.M.E.; Abdullahi, S.S.; Habibu, S.; Jagaba, A.H.; Ibrahim, M.N.M.; Ahmad, A.; Alshammari, M.B.; Parveen, T.; Umar, K. Adsorption Behavior of Methylene Blue Cationic Dye in Aqueous Solution Using Polypyrrole-Polyethylenimine Nano-Adsorbent. Polymers 2022, 14, 3362. [Google Scholar] [CrossRef]
- Yaro, N.S.A.; Sutanto, M.H.; Habib, N.Z.; Napiah, M.; Usman, A.; Jagaba, A.H.; Al-Sabaeei, A.M. Application and circular economy prospects of palm oil waste for eco-friendly asphalt pavement industry: A review. J. Road Eng. 2022, 2, 309–331. [Google Scholar] [CrossRef]
- Jagaba, A.H.; Kutty, S.R.M.; Lawal, I.M.; Birniwa, A.H.; Affam, A.C.; Yaro, N.S.A.; Usman, A.K.; Umaru, I.; Abubakar, S.; Noor, A. Circular economy potential and contributions of petroleum industry sludge utilization to environmental sustainability through engineered processes—A review. Clean. Circ. Bioecon. 2022, 3, 100029. [Google Scholar] [CrossRef]
- Gazi, M.; Shahmohammadi, S. Removal of trace boron from aqueous solution using iminobis-(propylene glycol) modified chitosan beads. React. Funct. Polym. 2012, 72, 680–686. [Google Scholar] [CrossRef]
- Shuaib, M.; Abdulhamid, S.M.; Adebayo, O.S.; Osho, O.; Idris, I.; Alhassan, J.K.; Rana, N. Whale optimization algorithm-based email spam feature selection method using rotation forest algorithm for classification. SN Appl. Sci. 2019, 1, 390. [Google Scholar] [CrossRef]
- Al-dhawi, B.N.S.; Kutty, S.R.M.; Baloo, L.; Almahbashi, N.M.Y.; Ghaleb, A.A.S.; Jagaba, A.H.; Kumar, V.; Saeed, A.A.H. Treatment of synthetic wastewater by using submerged attached growth media in continuous activated sludge reactor system. Int. J. Sustain. Build. Technol. Urban Dev. 2022, 13, 2–10. [Google Scholar]
- Almahbashi, N.; Kutty, S.; Ayoub, M.; Noor, A.; Salihi, I.; Al-Nini, A.; Jagaba, A.; Aldhawi, B.; Ghaleb, A. Optimization of Preparation Conditions of Sewage sludge based Activated Carbon. Ain Shams Eng. J. 2020, 12, 1175–1182. [Google Scholar] [CrossRef]
- Birniwa, A.H.; Kehili, S.; Ali, M.; Musa, H.; Ali, U.; Kutty, S.R.M.; Jagaba, A.H.; Abdullahi, S.S.; Tag-Eldin, E.M.; Mahmud, H.N.M.E. Polymer-Based Nano-Adsorbent for the Removal of Lead Ions: Kinetics Studies and Optimization by Response Surface Methodology. Separations 2022, 9, 356. [Google Scholar] [CrossRef]
- Yaro, N.S.A.; Napiah, M.; Sutanto, M.H.; Usman, A.; Jagaba, A.H.; Umar, A.M.; Ahmad, A. Geopolymer utilization in the pavement industry-An overview. In IOP Conference Series: Earth and Environmental Science, Proceedings of the 6th International Conference on Civil and Environmental Engineering for Sustainability (IConCEES 2021), Online, 15–16 November, 2021; IOP Publishing: Bristol, UK, 2022; p. 012025. [Google Scholar]
- Saeed, A.A.H.; Harun, N.Y.; Sufian, S.; Bilad, M.R.; Zakaria, Z.Y.; Jagaba, A.H.; Ghaleb, A.A.S.; Mohammed, H.G. Pristine and magnetic kenaf fiber biochar for Cd2+ adsorption from aqueous solution. Int. J. Environ. Res. Public Health 2021, 18, 7949. [Google Scholar] [CrossRef]
- Hajialigol, S.; Masoum, S. Optimization of biosorption potential of nano biomass derived from walnut shell for the removal of Malachite Green from liquids solution: Experimental design approaches. J. Mol. Liq. 2019, 286, 110904. [Google Scholar] [CrossRef]
- Yaro, N.S.A.; Sutanto, M.H.; Habib, N.Z.; Napiah, M.; Usman, A.; Muhammad, A. Comparison of Response Surface Methodology and Artificial Neural Network approach in predicting the performance and properties of palm oil clinker fine modified asphalt mixtures. Constr. Build. Mater. 2022, 324, 126618. [Google Scholar] [CrossRef]
- Ugraskan, V.; Isik, B.; Yazici, O. Adsorptive removal of methylene blue from aqueous solutions by porous boron carbide: Isotherm, kinetic and thermodynamic studies. Chem. Eng. Commun. 2022, 209, 1111–1129. [Google Scholar] [CrossRef]
- Rosli, M.A.; Daud, Z.; Ridzuan, M.B.; Aziz, N.A.A.; Awang, H.B.; Adeleke, A.O.; Hossain, K.; Ismail, N. Equilibrium isotherm and kinetic study of the adsorption of organic pollutants of leachate by using micro peat-activated carbon composite media. Desalination Water Treat. 2019, 160, 185–192. [Google Scholar] [CrossRef]
- Chu, K.H. Revisiting the Temkin isotherm: Dimensional inconsistency and approximate forms. Ind. Eng. Chem. Res. 2021, 60, 13140–13147. [Google Scholar] [CrossRef]
- Shimizu, T.; Abe, M.; Noguchi, M.; Yamasaki, A. Removal of Borate Ions from Wastewater Using an Adsorbent Prepared from Waste Concrete (PAdeCS). ACS Omega 2022, 7, 35545–35551. [Google Scholar] [CrossRef] [PubMed]
- Jagaba, A.H.; Kutty, S.R.M.; Lawal, I.M.; Aminu, N.; Noor, A.; Al-Dhawi, B.N.S.; Usman, A.K.; Batari, A.; Abubakar, S.; Birniwa, A.H.; et al. Diverse sustainable materials for the treatment of petroleum sludge and remediation of contaminated sites: A review. Clean. Waste Syst. 2022, 2, 100010. [Google Scholar] [CrossRef]
- Sun, Q.; Li, J.; Wang, J. Effect of borate concentration on solidification of radioactive wastes by different cements. Nucl. Eng. Des. 2011, 241, 4341–4345. [Google Scholar] [CrossRef]
- Kankia, M.U.; Baloo, L.; Danlami, N.; Mohammed, B.S.; Haruna, S.; Abubakar, M.; Jagaba, A.H.; Sayed, K.; Abdulkadir, I.; Salihi, I.U. Performance of Fly Ash-Based Inorganic Polymer Mortar with Petroleum Sludge Ash. Polymers 2021, 13, 4143. [Google Scholar] [CrossRef]
- Gao, P.; Yin, Z.; Feng, L.; Liu, Y.; Du, Z.; Duan, Z.; Zhang, L. Solvothermal synthesis of multiwall carbon nanotubes/BiOI photocatalysts for the efficient degradation of antipyrine under visible light. Environ. Res. 2020, 185, 109468. [Google Scholar] [CrossRef]
- Venkatesan, J.; Ryu, B.; Sudha, P.; Kim, S.-K. Preparation and characterization of chitosan–carbon nanotube scaffolds for bone tissue engineering. Int. J. Biol. Macromol. 2012, 50, 393–402. [Google Scholar] [CrossRef]
- Yaro, N.S.A.; Bin Napiah, M.; Sutanto, M.H.; Usman, A.; Saeed, S.M. Modeling and optimization of mixing parameters using response surface methodology and characterization of palm oil clinker fine modified bitumen. Constr. Build. Mater. 2021, 298, 123849. [Google Scholar] [CrossRef]
- Mei, X.; Wang, J.; Yang, R.; Yan, Q.; Wang, Q. Synthesis of Pt doped Mg–Al layered double oxide/graphene oxide hybrid as novel NO x storage–reduction catalyst. RSC Adv. 2015, 5, 78061–78070. [Google Scholar] [CrossRef]
- Jagaba, A.H.; Kutty, S.R.M.; Noor, A.; Birniwa, A.H.; Affam, A.C.; Lawal, I.M.; Kankia, M.U.; Kilaco, A.U. A systematic literature review of biocarriers: Central elements for biofilm formation, organic and nutrients removal in sequencing batch biofilm reactor. J. Water Process Eng. 2021, 42, 102178. [Google Scholar] [CrossRef]
- Li, X.; Zhang, D.; Xiang, K.; Huang, G. Synthesis of polyborosiloxane and its reversible physical crosslinks. RSC Adv. 2014, 4, 32894–32901. [Google Scholar] [CrossRef]
- Ullah, S.; Bustam, M.A.; Al-Sehemi, A.G.; Assiri, M.A.; Kareem, F.A.A.; Mukhtar, A.; Ayoub, M.; Gonfa, G. Influence of post-synthetic graphene oxide (GO) functionalization on the selective CO2/CH4 adsorption behavior of MOF-200 at different temperatures; an experimental and adsorption isotherms study. Microporous Mesoporous Mater. 2020, 296, 110002. [Google Scholar] [CrossRef]
- Nekhunguni, P.M.; Tavengwa, N.T.; Tutu, H. Sorption of uranium (VI) onto hydrous ferric oxide-modified zeolite: Assessment of the effect of pH, contact time, temperature, selected cations and anions on sorbent interactions. J. Environ. Manag. 2017, 204, 571–582. [Google Scholar] [CrossRef]
- Jagaba, A.H.; Kutty, S.R.M.; Baloo, L.; Hayder, G.; Birniwa, A.H.; Taha, A.T.B.; Mnzool, M.; Lawal, I.M. Waste Derived Biocomposite for Simultaneous Biosorption of Organic Matter and Nutrients from Green Straw Biorefinery Effluent in Continuous Mode Activated Sludge Systems. Processes 2022, 10, 2262. [Google Scholar] [CrossRef]
- Mahato, J.K.; Gupta, S.K. Exceptional adsorption of different spectral indices of natural organic matter (NOM) by using cerium oxide nanoparticles (CONPs). Environ. Sci. Pollut. Res. 2021, 28, 45496–45505. [Google Scholar] [CrossRef]
- Ghaleb, A.A.S.; Kutty, S.R.M.; Ho, Y.-C.; Jagaba, A.H.; Noor, A.; Al-Sabaeei, A.M.; Almahbashi, N.M.Y. Response surface methodology to optimize methane production from mesophilic anaerobic co-digestion of oily-biological sludge and sugarcane bagasse. Sustainability 2020, 12, 2116. [Google Scholar] [CrossRef]
- Radhwan, H.; Shayfull, Z.; Farizuan, M.R.; Effendi, M.S.M.; Irfan, A.R. Optimization parameter effects on the quality surface finish of the three-dimensional printing (3D-printing) fused deposition modeling (FDM) using RSM. AIP Conf. Proc. 2019, 2129, 020155. [Google Scholar] [CrossRef]
- Jagaba, A.H.; Kutty, S.R.M.; Abubakar, S.; Birniwa, A.H.; Lawal, I.M.; Umaru, I.; Usman, A.K.; Yaro, N.S.A.; Al-Zaqri, N.; Al-Maswari, B.M.; et al. Synthesis, Characterization, and Performance Evaluation of Hybrid Waste Sludge Biochar for COD and Color Removal from Agro-Industrial Effluent. Separations 2022, 9, 258. [Google Scholar] [CrossRef]
- Wang, Z.; Jia, Y.; Liu, X.; Liao, L.; Wang, Z.; Wang, Z. Removal of boron in desalinated seawater by magnetic metal-organic frame-based composite materials: Modeling and optimizing based on methodologies of response surface and artificial neural network. J. Mol. Liq. 2022, 349, 118090. [Google Scholar] [CrossRef]
- Xue, S.; Tan, J.; Ma, X.; Xu, Y.; Wan, R.; Tao, H. Boron-doped activated carbon derived from Zoysia sinica for Rhodamine B adsorption: The crucial roles of defect structures. Flatchem 2022, 34, 100390. [Google Scholar] [CrossRef]
- Goren, A.; Okten, H. Energy production from treatment of industrial wastewater and boron removal in aqueous solutions using microbial desalination cell. Chemosphere 2021, 285, 131370. [Google Scholar] [CrossRef] [PubMed]
- Jagaba, A.H.; Kutty, S.R.M.; Naushad, M.; Lawal, I.M.; Noor, A.; Affam, A.C.; Birniwa, A.H.; Abubakar, S.; Soja, U.B.; Abioye, K.J.; et al. Removal of nutrients from pulp and paper biorefinery effluent: Operation, kinetic modelling and optimization by response surface methodology. Environ. Res. 2022, 214, 114091. [Google Scholar] [CrossRef] [PubMed]
- Guan, L.; Huang, C.; Han, D.; Zhu, L.; Mei, Y.; He, D.; Zu, Y. Reaction pathways of n-butane cracking over the MFI, FER and TON zeolites: Influence of regional differences in Brønsted acid sites. Microporous Mesoporous Mater. 2022, 330, 111605. [Google Scholar] [CrossRef]
- Lawal, I.M.; Bertram, D.; White, C.J.; Jagaba, A.H.; Hassan, I.; Shuaibu, A. Multi-criteria performance evaluation of gridded precipitation and temperature products in data-sparse regions. Atmosphere 2021, 12, 1597. [Google Scholar] [CrossRef]
- Pareek, P.; Yu, W.; Nguyen, H.D. Optimal Steady-State Voltage Control Using Gaussian Process Learning. IEEE Trans. Ind. Inform. 2020, 17, 7017–7027. [Google Scholar] [CrossRef]
- Yaro, S.N.A.; Sutanto, M.H.; Usman, A.; Jagaba, A.H.; Sakadadi, M.Y. The influence of waste rice straw ash as surrogate filler for asphalt concrete mixtures. Construction 2022, 2, 118–125. [Google Scholar] [CrossRef]
- Duran, H.; Yavuz, E.; Sismanoglu, T.; Senkal, B. Functionalization of gum arabic including glycoprotein and polysaccharides for the removal of boron. Carbohydr. Polym. 2019, 225, 115139. [Google Scholar] [CrossRef]
- Jagaba, A.H.; Kutty, S.R.M.; Noor, A.; Affam, A.C.; Ghfar, A.A.; Usman, A.K.; Lawal, I.M.; Birniwa, A.H.; Kankia, M.U.; Afolabi, H.K.; et al. Parametric optimization and kinetic modelling for organic matter removal from agro-waste derived paper packaging biorefinery wastewater. Biomass-Convers. Biorefinery 2022, 1–18. [Google Scholar] [CrossRef]
- Azimi, E.B.; Badiei, A.; Ghasemi, J.B. Efficient removal of malachite green from wastewater by using boron-doped mesoporous carbon nitride. Appl. Surf. Sci. 2018, 469, 236–245. [Google Scholar] [CrossRef]
- Tatarchuk, T.; Shyichuk, A.; Mironyuk, I.; Naushad, M. A review on removal of uranium(VI) ions using titanium dioxide based sorbents. J. Mol. Liq. 2019, 293, 111563. [Google Scholar] [CrossRef]
- Birniwa, A.H.; Abubakar, A.S.; Huq, A.O.; Mahmud, H.N.M.E. Polypyrrole-polyethyleneimine (PPy-PEI) nanocomposite: An effective adsorbent for nickel ion adsorption from aqueous solution. J. Macromol. Sci. Part A Pure Appl. Chem. 2021, 58, 206–217. [Google Scholar] [CrossRef]
- Chen, X.; Hossain, F.; Duan, C.; Lu, J.; Tsang, Y.F.; Islam, S.; Zhou, Y. Isotherm models for adsorption of heavy metals from water—A review. Chemosphere 2022, 307, 135545. [Google Scholar] [CrossRef] [PubMed]








| Parameter | Lower Limit | Upper Limit |
|---|---|---|
| pH | 2 | 7 |
| Boron initial concentration (mg/L) | 300 | 2000 |
| Contact time (min) | 30 | 480 |
| Adsorbent dose (mg/L) | 250 | 2000 |
| Run | Factor 1 | Factor 2 | Factor 3 | Factor 4 | Response |
|---|---|---|---|---|---|
| A: pH | B: Concentration of Boron | C: Contact Time | D: Adso. Dosage | Boron Residual | |
| (mg/L) | (min.) | (mg/L) | (mg/L) | ||
| 1 | 7 | 1150 | 30 | 1125 | 35 |
| 2 | 4.5 | 1150 | 255 | 1125 | 22 |
| 3 | 7 | 1150 | 255 | 250 | 38 |
| 4 | 4.5 | 1150 | 255 | 1125 | 22 |
| 5 | 4.5 | 1150 | 480 | 2000 | 15 |
| 6 | 4.5 | 2000 | 30 | 1125 | 35 |
| 7 | 4.5 | 2000 | 480 | 1125 | 18 |
| 8 | 4.5 | 1150 | 480 | 250 | 35 |
| 9 | 4.5 | 1150 | 30 | 250 | 40 |
| 10 | 7 | 300 | 255 | 1125 | 32 |
| 11 | 4.5 | 300 | 255 | 250 | 31 |
| 12 | 4.5 | 2000 | 255 | 250 | 37 |
| 13 | 2 | 1150 | 480 | 1125 | 20 |
| 14 | 2 | 300 | 255 | 1125 | 18 |
| 15 | 4.5 | 300 | 480 | 1125 | 22 |
| 16 | 4.5 | 1150 | 255 | 1125 | 25 |
| 17 | 2 | 1150 | 255 | 250 | 34 |
| 18 | 4.5 | 1150 | 30 | 2000 | 25 |
| 19 | 4.5 | 2000 | 255 | 2000 | 22 |
| 20 | 2 | 1150 | 30 | 1125 | 24 |
| 21 | 7 | 2000 | 255 | 1125 | 28 |
| 22 | 7 | 1150 | 480 | 1125 | 30 |
| 23 | 4.5 | 1150 | 255 | 1125 | 21 |
| 24 | 4.5 | 300 | 255 | 2000 | 20 |
| 25 | 7 | 1150 | 255 | 2000 | 27 |
| 26 | 4.5 | 1150 | 255 | 1125 | 25 |
| 27 | 2 | 1150 | 255 | 2000 | 15 |
| 28 | 2 | 2000 | 255 | 1125 | 20 |
| 29 | 4.5 | 300 | 30 | 1125 | 20 |
| Std. Dev. | 2.15 | R² | 0.9556 |
| Mean | 26.07 | Adj R² | 0.9112 |
| C.V. % | 8.25 | Pred R² | 0.7844 |
| Adeq Precision | 16.1532 |
| Source | Sum of Squares | df | Mean Square | F-Value | p-Value | |
|---|---|---|---|---|---|---|
| Model | 1395.03 | 14 | 99.64 | 21.52 | <0.0001 | significant |
| A-pH | 290.08 | 1 | 290.08 | 62.64 | <0.0001 | |
| B-Conc. of Boron | 24.08 | 1 | 24.08 | 5.20 | 0.0388 | |
| C-Contact time | 126.75 | 1 | 126.75 | 27.37 | 0.0001 | |
| D-Adso Dosage | 690.08 | 1 | 690.08 | 149.02 | <0.0001 | |
| AB | 9.00 | 1 | 9.00 | 1.94 | 0.1850 | |
| AC | 0.2500 | 1 | 0.2500 | 0.0540 | 0.8196 | |
| AD | 16.00 | 1 | 16.00 | 3.46 | 0.0842 | |
| BC | 90.25 | 1 | 90.25 | 19.49 | 0.0006 | |
| BD | 4.00 | 1 | 4.00 | 0.8638 | 0.3684 | |
| CD | 6.25 | 1 | 6.25 | 1.35 | 0.2648 | |
| A² | 23.83 | 1 | 23.83 | 5.15 | 0.0397 | |
| B² | 0.7207 | 1 | 0.7207 | 0.1556 | 0.6992 | |
| C² | 18.02 | 1 | 18.02 | 3.89 | 0.0686 | |
| D² | 112.61 | 1 | 112.61 | 24.32 | 0.0002 | |
| Residual | 64.83 | 14 | 4.63 | |||
| Lack of Fit | 50.83 | 10 | 5.08 | 1.45 | 0.3838 | not significant |
| Pure Error | 14.00 | 4 | 3.50 | |||
| Cor Total | 1459.86 | 28 |
| Kinetic Model | Parameter | |
|---|---|---|
| Pseudo-First Order Model | Qe | 1.289 |
| K1 | 0.0006 | |
| R2 | 0.997 | |
| Pseudo Second Order Model | qe | 4 |
| k2 | 0.129 | |
| R2 | 0.975 | |
| intraparticle − diffusion model | kdif | 0.456 |
| C | 15.3 | |
| R2 | 0.996 | |
| Elovich kinetic Model | B | 875 |
| A | 65.66 | |
| R2 | 0.910 |
| Isotherm Model | Parameter | |
|---|---|---|
| Langmuir | Qm (mg g−1) | 55 |
| Ka (L mg−1) | 3.1 | |
| R2 | 0.964 | |
| Freundlich | nf | 76.4 |
| Kf (L g−1) | 3.5 | |
| R2 | 0.990 | |
| Temkin | AT | 34 |
| bT | −1973.2 | |
| R2 | 0.998 |
Disclaimer/Publisher’s Note: The statements, opinions and data contained in all publications are solely those of the individual author(s) and contributor(s) and not of MDPI and/or the editor(s). MDPI and/or the editor(s) disclaim responsibility for any injury to people or property resulting from any ideas, methods, instructions or products referred to in the content. |
© 2023 by the authors. Licensee MDPI, Basel, Switzerland. This article is an open access article distributed under the terms and conditions of the Creative Commons Attribution (CC BY) license (https://creativecommons.org/licenses/by/4.0/).
Share and Cite
Al-dhawi, B.N.S.; Kutty, S.R.M.; Hayder, G.; Elnaim, B.M.E.; Mnzool, M.; Noor, A.; Saeed, A.A.H.; Al-Mahbashi, N.M.Y.; Al-Nini, A.; Jagaba, A.H. Adsorptive Removal of Boron by DIAION™ CRB05: Characterization, Kinetics, Isotherm, and Optimization by Response Surface Methodology. Processes 2023, 11, 453. https://doi.org/10.3390/pr11020453
Al-dhawi BNS, Kutty SRM, Hayder G, Elnaim BME, Mnzool M, Noor A, Saeed AAH, Al-Mahbashi NMY, Al-Nini A, Jagaba AH. Adsorptive Removal of Boron by DIAION™ CRB05: Characterization, Kinetics, Isotherm, and Optimization by Response Surface Methodology. Processes. 2023; 11(2):453. https://doi.org/10.3390/pr11020453
Chicago/Turabian StyleAl-dhawi, Baker Nasser Saleh, Shamsul Rahman Mohamed Kutty, Gasim Hayder, Bushra Mohamed Elamin Elnaim, Mohammed Mnzool, Azmatullah Noor, Anwar Ameen Hezam Saeed, Najib Mohammed Yahya Al-Mahbashi, Ahmed Al-Nini, and Ahmad Hussaini Jagaba. 2023. "Adsorptive Removal of Boron by DIAION™ CRB05: Characterization, Kinetics, Isotherm, and Optimization by Response Surface Methodology" Processes 11, no. 2: 453. https://doi.org/10.3390/pr11020453
APA StyleAl-dhawi, B. N. S., Kutty, S. R. M., Hayder, G., Elnaim, B. M. E., Mnzool, M., Noor, A., Saeed, A. A. H., Al-Mahbashi, N. M. Y., Al-Nini, A., & Jagaba, A. H. (2023). Adsorptive Removal of Boron by DIAION™ CRB05: Characterization, Kinetics, Isotherm, and Optimization by Response Surface Methodology. Processes, 11(2), 453. https://doi.org/10.3390/pr11020453

