In-Situ Hydrothermal Synthesis of Ag3PO4/g-C3N4 Nanocomposites and Their Photocatalytic Decomposition of Sulfapyridine under Visible Light
Abstract
1. Introduction
2. Materials and Methods
2.1. Materials
2.2. Preparation of Photocatalyst
2.2.1. Synthesis g-C3N4
2.2.2. Synthesis Ag3PO4/g-C3N4
2.3. Characterization
2.4. Photocatalytic Experiments
3. Results and Discussion
3.1. Characterization
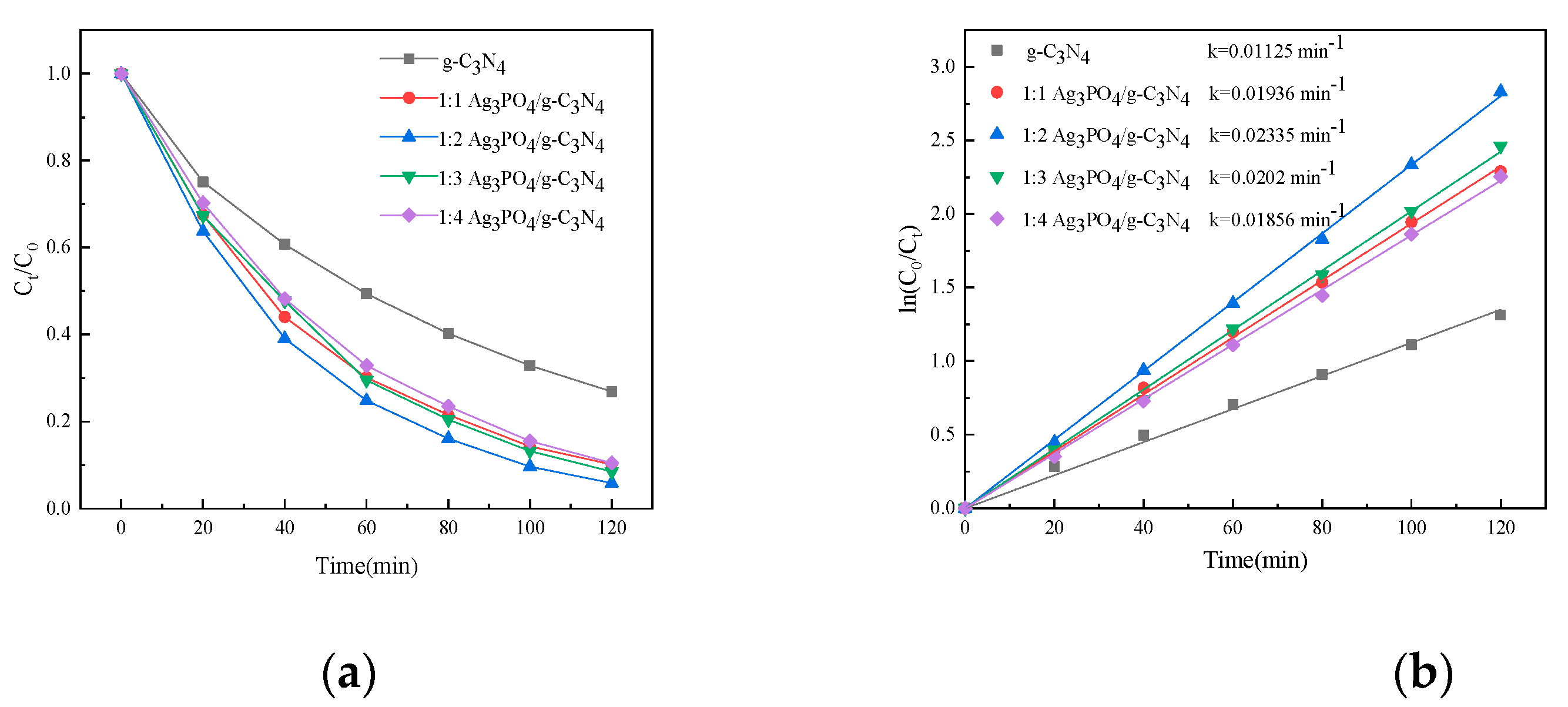
3.2. Photocatalyst Performance Analysis
3.3. Possible Photocatalytic Mechanism
4. Conclusions
Supplementary Materials
Author Contributions
Funding
Data Availability Statement
Acknowledgments
Conflicts of Interest
References
- Kraemer, S.A.; Ramachandran, A.; Perron, G.G. Antibiotic pollution in the environment: From microbial ecology to public policy. Microorganisms 2019, 7, 180. [Google Scholar] [CrossRef] [PubMed]
- Xie, H.; Du, J.; Chen, J. Concerted efforts are needed to control and mitigate antibiotic pollution in coastal waters of China. Antibiotics 2020, 9, 88. [Google Scholar] [CrossRef]
- Tian, M.; He, X.; Feng, Y.; Wang, W.; Chen, H.; Gong, M.; Liu, D.; Clarke, J.L.; van Eerde, A. Pollution by antibiotics and antimicrobial resistance in livestock and poultry manure in China, and countermeasures. Antibiotics 2021, 10, 539. [Google Scholar] [CrossRef]
- Danner, M.-C.; Robertson, A.; Behrends, V.; Reiss, J. Antibiotic pollution in surface fresh waters: Occurrence and effects. Sci. Total Environ. 2019, 664, 793–804. [Google Scholar] [PubMed]
- Gothwal, R.; Shashidhar, T. Antibiotic pollution in the environment: A review. Clean–Soil Air Water 2015, 43, 479–489. [Google Scholar]
- Larsson, D.J.; de Pedro, C.; Paxeus, N. Effluent from drug manufactures contains extremely high levels of pharmaceuticals. J. Hazard. Mater. 2007, 148, 751–755. [Google Scholar] [PubMed]
- Xu, J.; Xu, Y.; Wang, H.M.; Guo, C.S.; Qiu, H.Y.; He, Y.; Zhang, Y.; Li, X.C.; Meng, W. Occurrence of antibiotics and antibiotic resistance genes in a sewage treatment plant and its effluent-receiving river. Chemosphere 2015, 119, 1379–1385. [Google Scholar]
- Al-Maadheed, S.; Goktepe, I.; Latiff, A.B.A.; Shomar, B. Antibiotics in hospital effluent and domestic wastewater treatment plants in Doha, Qatar. J. Water Process Eng. 2019, 28, 60–68. [Google Scholar] [CrossRef]
- Wang, K.; Zhuang, T.; Su, Z.; Chi, M.; Wang, H. Antibiotic residues in wastewaters from sewage treatment plants and pharmaceutical industries: Occurrence, removal and environmental impacts. Sci. Total Environ. 2021, 788, 147811. [Google Scholar]
- Hendricks, R.; Pool, E.J. The effectiveness of sewage treatment processes to remove faecal pathogens and antibiotic residues. J. Environ. Sci. Health Part A Toxic/Hazard. Subst. Environ. Eng. 2012, 47, 289–297. [Google Scholar] [CrossRef]
- Rooklidge, S.J. Environmental antimicrobial contamination from terraccumulation and diffuse pollution pathways. Sci. Total Environ. 2004, 325, 1–13. [Google Scholar] [CrossRef] [PubMed]
- Batt, A.L.; Bruce, I.B.; Aga, D.S. Evaluating the vulnerability of surface waters to antibiotic contamination from varying wastewater treatment plant discharges. Environ. Pollut. 2006, 142, 295–302. [Google Scholar] [PubMed]
- Zhang, Y.; Zhao, Y.-G.; Maqbool, F.; Hu, Y. Removal of antibiotics pollutants in wastewater by UV-based advanced oxidation processes: Influence of water matrix components, processes optimization and application: A review. J. Water Process Eng. 2022, 45, 102496. [Google Scholar]
- Yi, X.-H.; Wang, T.-Y.; Chu, H.-Y.; Gao, Y.; Wang, C.-C.; Li, Y.-J.; Chen, L.; Wang, P.; Fu, H.; Zhao, C. Effective elimination of tetracycline antibiotics via photoactivated SR-AOP over vivianite: A new application approach of phosphorus recovery product from WWTP. Chem. Eng. J. 2022, 449, 137784. [Google Scholar]
- Peng, Y.; Tong, W.; Xie, Y.; Hu, W.; Li, Y.; Zhang, Y.; Wang, Y. Yeast biomass-induced Co2P/biochar composite for sulfonamide antibiotics degradation through peroxymonosulfate activation. Environ. Pollut. 2021, 268, 115930. [Google Scholar]
- Fan, B.; Tan, Y.; Wang, J.; Zhang, B.; Peng, Y.; Yuan, C.; Guan, C.; Gao, X.; Cui, S. Application of magnetic composites in removal of tetracycline through adsorption and advanced oxidation processes (AOPs): A review. Processes 2021, 9, 1644. [Google Scholar]
- Dehghani, S.; Jafari, A.J.; Farzadkia, M.; Gholami, M. Sulfonamide antibiotic reduction in aquatic environment by application of fenton oxidation process. Iran. J. Environ. Health Sci. Eng. 2013, 10, 29. [Google Scholar] [CrossRef]
- Nasseh, N.; Taghavi, L.; Barikbin, B.; Nasseri, M.A.; Allahresani, A. FeNi3/SiO2 magnetic nanocomposite as an efficient and recyclable heterogeneous fenton-like catalyst for the oxidation of metronidazole in neutral environments: Adsorption and degradation studies. Compos. Part B Eng. 2019, 166, 328–340. [Google Scholar]
- Feng, M.B.; Yan, L.Q.; Zhang, X.L.; Sun, P.; Yang, S.G.; Wang, L.S.; Wang, Z.Y. Fast removal of the antibiotic flumequine from aqueous solution by ozonation: Influencing factors, reaction pathways, and toxicity evaluation. Sci. Total Environ. 2016, 541, 167–175. [Google Scholar]
- Bai, X.; Chen, W.; Wang, B.; Sun, T.; Wu, B.; Wang, Y. Photocatalytic Degradation of Some Typical Antibiotics: Recent Advances and Future Outlooks. Int. J. Mol. Sci. 2022, 23, 8130. [Google Scholar]
- Zhang, Z.; Zada, A.; Cui, N.; Liu, N.; Liu, M.; Yang, Y.; Jiang, D.; Jiang, J.; Liu, S. Synthesis of ag loaded ZnO/BiOCl with high photocatalytic performance for the removal of antibiotic pollutants. Crystals 2021, 11, 981. [Google Scholar] [CrossRef]
- Bouyarmane, H.; El Bekkali, C.; Labrag, J.; Es-Saidi, I.; Bouhnik, O.; Abdelmoumen, H.; Laghzizil, A.; Nunzi, J.; Robert, D. Photocatalytic degradation of emerging antibiotic pollutants in waters by TiO2/Hydroxyapatite nanocomposite materials. Surf. Interfaces 2021, 24, 101155. [Google Scholar]
- González-Poggini, S.; Rosenkranz, A.; Colet-Lagrille, M. Two-dimensional nanomaterials for the removal of pharmaceuticals from wastewater: A critical review. Processes 2021, 9, 2160. [Google Scholar]
- Fujishima, A.; Honda, K. Electrochemical Photolysis of Water at a Semiconductor Electrode. Nature 1972, 238, 37–38. [Google Scholar] [PubMed]
- Zhou, P.; Meng, X.L.; Sun, T.H. Facile fabrication of In2O3/S-doped g-C3N4 heterojunction hybrids for enhanced visible-light photocatalytic hydrogen evolution. Mater. Lett. 2020, 261, 127159. [Google Scholar]
- Liu, J.Y.; Fang, W.J.; Wei, Z.D.; Qin, Z.; Jiang, Z.; Shangguan, W.F. Efficient photocatalytic hydrogen evolution on N-deficient g-C3N4 achieved by a molten salt post-treatment approach. Appl. Catal. B Environ. 2018, 238, 465–470. [Google Scholar]
- Li, J.Q.; Qi, Y.; Mei, Y.Q.; Ma, S.C.; Li, Q.; Xin, B.F.; Yao, T.J.; Wu, J. Construction of phosphorus-doped carbon nitride/phosphorus and sulfur co-doped carbon nitride isotype heterojunction and their enhanced photoactivity. J. Colloid Interface Sci. 2020, 566, 495–504. [Google Scholar]
- Miao, W.; Liu, Y.; Chen, X.Y.; Zhao, Y.X.; Mao, S. Tuning layered Fe-doped g-C3N4 structure through pyrolysis for enhanced Fenton and photo-Fenton activities. Carbon 2020, 159, 461–470. [Google Scholar]
- Yang, Y.M.; Guo, M.; Zhang, G.; Li, W.F. Tuning the electronic and magnetic properties of porous graphene-like carbon nitride through 3d transition-metal doping. Carbon 2017, 117, 120–125. [Google Scholar]
- Chen, X.F.; Jun, Y.S.; Takanabe, K.; Maeda, K.; Domen, K.; Fu, X.Z.; Antonietti, M.; Wang, X.C. Ordered Mesoporous SBA-15 Type Graphitic Carbon Nitride: A Semiconductor Host Structure for Photocatalytic Hydrogen Evolution with Visible Light. Chem. Mater. 2009, 21, 4093–4095. [Google Scholar]
- Ishida, Y.; Chabanne, L.; Antonietti, M.; Shalom, M. Morphology Control and Photocatalysis Enhancement by the One-Pot Synthesis of Carbon Nitride from Preorganized Hydrogen-Bonded Supramolecular Precursors. Langmuir 2014, 30, 447–451. [Google Scholar] [CrossRef]
- Sun, H.H.; Zou, C.J.; Tang, W.Y. Designing double Z-scheme heterojunction of g-C3N4/Bi2MoO6/Bi2WO6 for efficient visible-light photocatalysis of organic pollutants. Colloids Surf. A Physicochem. Eng. Asp. 2022, 654, 130105. [Google Scholar] [CrossRef]
- Li, X.C.; Feng, D.; He, X.Y.; Qian, D.Y.; Nasen, B.; Qi, B.C.; Fan, S.W.; Shang, J.W.; Cheng, X.W. Z-scheme heterojunction composed of Fe doped g-C3N4 and MoS2 for efficient ciprofloxacin removal in a photo-assisted peroxymonosulfate system. Sep. Purif. Technol. 2022, 303, 122219. [Google Scholar]
- Liu, G.; Niu, P.; Sun, C.; Smith, S.C.; Chen, Z.; Lu, G.Q.; Cheng, H.-M. Unique electronic structure induced high photoreactivity of sulfur-doped graphitic C3N4. J. Am. Chem. Soc. 2010, 132, 11642–11648. [Google Scholar] [PubMed]
- Han, E.X.; Li, Y.Y.; Wang, Q.H.; Huang, W.Q.; Luo, L.; Hu, W.Y.; Huang, G.F. Chlorine doped graphitic carbon nitride nanorings as an efficient photoresponsive catalyst for water oxidation and organic decomposition. J. Mater. Sci. Technol. 2019, 35, 2288–2296. [Google Scholar]
- Xu, X.Q.; Wang, S.M.; Hu, T.J.; Yu, X.F.; Wang, J.P.; Jia, C. Fabrication of Mn/O co-doped g-C3N4: Excellent charge separation and transfer for enhancing photocatalytic activity under visible light irradiation. Dye. Pigment. 2020, 175, 108107. [Google Scholar]
- Niu, P.; Zhang, L.; Liu, G.; Cheng, H.M. Graphene-like carbon nitride nanosheets for improved photocatalytic activities. Adv. Funct. Mater. 2012, 22, 4763–4770. [Google Scholar] [CrossRef]
- Du, F.Y.; Lai, Z.; Tang, H.Y.; Wang, H.Y.; Zhao, C.X. Construction of dual Z-scheme Bi2WO6/g-C3N4/black phosphorus quantum dots composites for effective bisphenol A degradation. J. Environ. Sci. 2023, 124, 617–629. [Google Scholar]
- Ye, R.; Fang, H.; Zheng, Y.-Z.; Li, N.; Wang, Y.; Tao, X. Fabrication of CoTiO3/g-C3N4 hybrid photocatalysts with enhanced H2 evolution: Z-scheme photocatalytic mechanism insight. ACS Appl. Mater. Interfaces 2016, 8, 13879–13889. [Google Scholar]
- Tao, W.; Wang, M.K.; Ali, R.; Nie, S.; Zeng, Q.L.; Yang, R.Q.; Lau, W.M.; He, L.; Tang, H.; Jian, X. Multi-layered porous hierarchical TiO2/g-C3N4 hybrid coating for enhanced visible light photocatalysis. Appl. Surf. Sci. 2019, 495, 143435. [Google Scholar]
- Manimozhi, R.; Mathankumar, M.; Prakash, A.P.G. Synthesis of g-C3N4/ZnO heterostructure photocatalyst for enhanced visible degradation of organic dye. Optik 2021, 229, 165548. [Google Scholar] [CrossRef]
- Zhang, W.; Zhou, L.; Shi, J.; Deng, H. Synthesis of Ag3PO4/G-C3N4 Composite with Enhanced Photocatalytic Performance for the Photodegradation of Diclofenac under Visible Light Irradiation. Catalysts 2018, 8, 45. [Google Scholar] [CrossRef]
- Katsumata, H.; Sakai, T.; Suzuki, T.; Kaneco, S. Highly Efficient Photocatalytic Activity of g-C3N4/Ag3PO4 Hybrid Photocatalysts through Z-Scheme Photocatalytic Mechanism under Visible Light. Ind. Eng. Chem. Res. 2014, 53, 8018–8025. [Google Scholar]
- Xu, J.W.; Gao, Z.D.; Han, K.; Liu, Y.M.; Song, Y.Y. Synthesis of Magnetically Separable Ag3PO4/TiO2/Fe3O4 Heterostructure with Enhanced Photocatalytic Performance under Visible Light for Photoinactivation of Bacteria. ACS Appl. Mater. Interfaces 2014, 6, 15122–15131. [Google Scholar] [CrossRef] [PubMed]
- Xia, F.; Cheng, B.; Jiang, J.Z.; Tang, H. Localized pi-conjugated structure and EPR investigation of g-C3N4 photocatalyst. Appl. Surf. Sci. 2019, 487, 335–342. [Google Scholar] [CrossRef]
- Reddy, K.R.; Reddy, C.V.; Nadagouda, M.N.; Shetti, N.P.; Jaesool, S.; Aminabhavi, T.M. Polymeric graphitic carbon nitride (g-C3N4)-based semiconducting nanostructured materials: Synthesis methods, properties and photocatalytic applications. J. Environ. Manag. 2019, 238, 25–40. [Google Scholar]
- Moreno, V.; Adnane, A.; Salghi, R.; Zougagh, M.; Ríos, Á. Nanostructured hybrid surface enhancement Raman scattering substrate for the rapid determination of sulfapyridine in milk samples. Talanta 2019, 194, 357–362. [Google Scholar] [CrossRef]
- Huang, J.S.; Zimmerman, A.R.; Chen, H.; Gao, B. Ball milled biochar effectively removes sulfamethoxazole and sulfapyridine antibiotics from water and wastewater. Environ. Pollut. 2020, 258, 113809. [Google Scholar]
- Peiris, C.; Gunatilake, S.R.; Mlsna, T.E.; Mohan, D.; Vithanage, M. Biochar based removal of antibiotic sulfonamides and tetracyclines in aquatic environments: A critical review. Bioresour. Technol. 2017, 246, 150–159. [Google Scholar]
- Choquet-Kastylevsky, G.; Vial, T.; Descotes, J. Allergic adverse reactions to sulfonamides. Curr. Allergy Asthma Rep. 2002, 2, 16–25. [Google Scholar] [CrossRef]
- Ji, J.; Shi, C.J.; Xu, L.; Zhang, K.; Zhang, Y.S.; Li, C.; Lichtfouse, E. Degradation of sulfapyridine antibiotics by chlorination in a pilot-scale water distribution system: Kinetics, THMs, and DFT studies. Environ. Sci. Water Res. Technol. 2022, 8, 2207–2215. [Google Scholar] [CrossRef]
- Mazhar, M.A.; Khan, N.A.; Ahmed, S.; Khan, A.H.; Hussain, A.; Rahisuddin; Changani, F.; Youse, M.; Ahmadi, S.; Vambol, V. Chlorination disinfection by-products in municipal drinking water—A review. J. Clean. Prod. 2020, 273, 123159. [Google Scholar] [CrossRef]
- Zhao, Z.H.; Fan, J.M.; Liu, W.H.; Xue, Y.Q.; Yin, S. In-situ hydrothermal synthesis of Ag3PO4/g-C3N4 composite and their photocatalytic decomposition of NOx. J. Alloys Compd. 2017, 695, 2812–2819. [Google Scholar] [CrossRef]
- Zhou, L.; Zhang, W.; Chen, L.; Deng, H.P. Z-scheme mechanism of photogenerated carriers for hybrid photocatalyst Ag3PO4/g-C3N4 in degradation of sulfamethoxazole. J. Colloid Interface Sci. 2017, 487, 410–417. [Google Scholar] [CrossRef] [PubMed]
- Yan, S.C.; Li, Z.S.; Zou, Z.G. Photodegradation Performance of g-C3N4 Fabricated by Directly Heating Melamine. Langmuir 2009, 25, 10397–10401. [Google Scholar] [CrossRef] [PubMed]
- Zhang, H.; Zhao, L.X.; Geng, F.L.; Guo, L.H.; Wan, B.; Yang, Y. Carbon dots decorated graphitic carbon nitride as an efficient metal-free photocatalyst for phenol degradation. Appl. Catal. B Environ. 2016, 180, 656–662. [Google Scholar] [CrossRef]
- Faisal, M.; Ismail, A.A.; Harraz, F.A.; Al-Sayari, S.A.; El-Toni, A.M.; Al-Assiri, M.S. Synthesis of highly dispersed silver doped g-C3N4 nanocomposites with enhanced visible-light photocatalytic activity. Mater. Des. 2016, 98, 223–230. [Google Scholar] [CrossRef]
- Lei, Y.; Huang, J.F.; Li, X.A.; Lv, C.Y.; Hou, C.P.; Liu, J.M. Direct Z-scheme photochemical hybrid systems: Loading porphyrin-based metal-organic cages on graphitic-C3N4 to dramatically enhance photocatalytic hydrogen evolution. Chin. J. Catal. 2022, 43, 2249–2258. [Google Scholar]
- Bavani, T.; Madhavan, J.; Preeyanghaa, M.; Neppolian, B.; Murugesan, S. Construction of direct Z-scheme g-C3N4/BiYWO6 heterojunction photocatalyst with enhanced visible light activity towards the degradation of methylene blue. Environ. Sci. Pollut. Res. 2022, 1–12. [Google Scholar] [CrossRef]
- Wang, H.; He, W.J.; Dong, X.A.; Wang, H.Q.; Dong, F. In situ FT-IR investigation on the reaction mechanism of visible light photocatalytic NO oxidation with defective g-C3N4. Sci. Bull. 2018, 63, 117–125. [Google Scholar] [CrossRef]
- Li, F.P.; Huang, Y.H.; Gao, C.Y.; Wu, X.Y. The enhanced photo-catalytic CO2 reduction performance of g-C3N4 with high selectivity by coupling CoNiSx. Mater. Res. Bull. 2021, 144, 111488. [Google Scholar] [CrossRef]
- Deonikar, V.G.; Reddy, K.K.; Chung, W.J.; Kim, H. Facile synthesis of Ag3PO4/g-C3N4 composites in various solvent systems with tuned morphologies and their efficient photocatalytic activity for multi-dye degradation. J. Photochem. Photobiol. A Chem. 2019, 368, 168–181. [Google Scholar] [CrossRef]
- Zhang, F.J.; Xie, F.Z.; Zhu, S.F.; Liu, J.; Zhang, J.; Mei, S.F.; Zhao, W. A novel photofunctional g-C3N4/Ag3PO4 bulk heterojunction for decolorization of Rh. B. Chem. Eng. J. 2013, 228, 435–441. [Google Scholar] [CrossRef]
- Cui, X.K.; Tian, L.; Xian, X.Z.; Tang, H.; Yang, X.F. Solar photocatalytic water oxidation over Ag3PO4/g-C3N4 composite materials mediated by metallic Ag and graphene. Appl. Surf. Sci. 2018, 430, 108–115. [Google Scholar] [CrossRef]
- Zhang, M.X.; Du, H.X.; Ji, J.; Li, F.F.; Lin, Y.C.; Qin, C.W.; Zhang, Z.; Shen, Y. Highly Efficient Ag3PO4/g-C3N4 Z-Scheme Photocatalyst for Its Enhanced Photocatalytic Performance in Degradation of Rhodamine B and Phenol. Molecules 2021, 26, 2062. [Google Scholar] [CrossRef]
- Vattikuti, S.V.P.; Police, A.K.R.; Shim, J.; Byon, C. In situ fabrication of the Bi2O3-V2O5 hybrid embedded with graphitic carbon nitride nanosheets: Oxygen vacancies mediated enhanced visible-light-driven photocatalytic degradation of organic pollutants and hydrogen evolution. Appl. Surf. Sci. 2018, 447, 740–756. [Google Scholar] [CrossRef]
- Nagajyothi, P.C.; Sreekanth, T.V.M.; Ramaraghavulu, R.; Devarayapalli, K.C.; Yoo, K.; Vattikuti, S.V.P.; Shim, J. Photocatalytic dye degradation and hydrogen production activity of Ag3PO4/g-C3N4 nanocatalyst. J. Mater. Sci. Mater. Electron. 2019, 30, 14890–14901. [Google Scholar] [CrossRef]
- Yu, H.T.; Quan, X.; Chen, S.; Zhao, H.M.; Zhang, Y.B. TiO2-carbon nanotube heterojunction arrays with a controllable thickness of TiO2 layer and their first application in photocatalysis. J. Photochem. Photobiol. A Chem. 2008, 200, 301–306. [Google Scholar] [CrossRef]
- Lim, J.; Monllor-Satoca, D.; Jang, J.S.; Lee, S.; Choi, W. Visible light photocatalysis of fullerol-complexed TiO2 enhanced by Nb doping. Appl. Catal. B Environ. 2014, 152, 233–240. [Google Scholar] [CrossRef]
- He, Y.M.; Zhang, L.H.; Teng, B.T.; Fan, M.H. New Application of Z-Scheme Ag3PO4/g-C3N4 Composite in Converting CO2 to Fuel. Environ. Sci. Technol. 2015, 49, 649–656. [Google Scholar] [CrossRef]
- Wang, W.; Cheng, B.; Yu, J.; Liu, G.; Fan, W. Visible-light photocatalytic activity and deactivation mechanism of Ag3PO4 spherical particles. Chem. Asian J. 2012, 7, 1902–1908. [Google Scholar] [CrossRef] [PubMed]
- Liu, H.; Li, D.; Yang, X.; Li, H. Fabrication and characterization of Ag3PO4/TiO2 heterostructure with improved visible-light photocatalytic activity for the degradation of methyl orange and sterilization of E. coli . Mater. Technol. 2019, 34, 192–203. [Google Scholar] [CrossRef]
- Xiang, Q.; Yu, J.; Jaroniec, M. Preparation and enhanced visible-light photocatalytic H2-production activity of graphene/C3N4 composites. J. Phys. Chem. C 2011, 115, 7355–7363. [Google Scholar] [CrossRef]
- Long, M.; Cai, W.M.; Cai, J.; Zhou, B.X.; Chai, X.Y.; Wu, Y.H. Efficient photocatalytic degradation of phenol over Co3O4/BiVO4 composite under visible light irradiation. J. Phys. Chem. B 2006, 110, 20211–20216. [Google Scholar] [CrossRef] [PubMed]
- Frazão, R.H.N.; Della Rocca, D.G.; Amorim, S.M.d.; Peralta, R.A.; Moura-Nickel, C.D.; de Noni, A., Jr.; Moreira, R.d.F.P.M. Plastic optical fibres applied on the photocatalytic degradation of phenol with Ag2MoO4 and ß-Ag2MoO4/Ag3PO4 under visible light. Environ. Technol. 2021, 42, 1271–1282. [Google Scholar] [CrossRef]
- Chen, L.; Xu, Y.; Chen, B. In situ photochemical fabrication of CdS/g-C3N4 nanocomposites with high performance for hydrogen evolution under visible light. Appl. Catal. B Environ. 2019, 256, 117848. [Google Scholar] [CrossRef]
- Kundu, A.; Sharma, S.; Basu, S. Modulated BiOCl nanoplates with porous g-C3N4 nanosheets for photocatalytic degradation of color/colorless pollutants in natural sunlight. J. Phys. Chem. Solids 2021, 154, 110064. [Google Scholar] [CrossRef]
- Cao, W.R.; An, Y.T.; Chen, L.F.; Qi, Z.W. Visible-light-driven Ag2MoO4/Ag3PO4 composites with enhanced photocatalytic activity. J. Alloys Compd. 2017, 701, 350–357. [Google Scholar] [CrossRef]








Disclaimer/Publisher’s Note: The statements, opinions and data contained in all publications are solely those of the individual author(s) and contributor(s) and not of MDPI and/or the editor(s). MDPI and/or the editor(s) disclaim responsibility for any injury to people or property resulting from any ideas, methods, instructions or products referred to in the content. |
© 2023 by the authors. Licensee MDPI, Basel, Switzerland. This article is an open access article distributed under the terms and conditions of the Creative Commons Attribution (CC BY) license (https://creativecommons.org/licenses/by/4.0/).
Share and Cite
Li, K.; Chen, M.; Chen, L.; Zhao, S.; Xue, W.; Han, Z.; Han, Y.; Zhang, F.; Yan, Y.; Dong, Y. In-Situ Hydrothermal Synthesis of Ag3PO4/g-C3N4 Nanocomposites and Their Photocatalytic Decomposition of Sulfapyridine under Visible Light. Processes 2023, 11, 375. https://doi.org/10.3390/pr11020375
Li K, Chen M, Chen L, Zhao S, Xue W, Han Z, Han Y, Zhang F, Yan Y, Dong Y. In-Situ Hydrothermal Synthesis of Ag3PO4/g-C3N4 Nanocomposites and Their Photocatalytic Decomposition of Sulfapyridine under Visible Light. Processes. 2023; 11(2):375. https://doi.org/10.3390/pr11020375
Chicago/Turabian StyleLi, Ke, Miaomiao Chen, Lei Chen, Songying Zhao, Wencong Xue, Zixuan Han, Yanchao Han, Fuguo Zhang, Yu Yan, and Yanhong Dong. 2023. "In-Situ Hydrothermal Synthesis of Ag3PO4/g-C3N4 Nanocomposites and Their Photocatalytic Decomposition of Sulfapyridine under Visible Light" Processes 11, no. 2: 375. https://doi.org/10.3390/pr11020375
APA StyleLi, K., Chen, M., Chen, L., Zhao, S., Xue, W., Han, Z., Han, Y., Zhang, F., Yan, Y., & Dong, Y. (2023). In-Situ Hydrothermal Synthesis of Ag3PO4/g-C3N4 Nanocomposites and Their Photocatalytic Decomposition of Sulfapyridine under Visible Light. Processes, 11(2), 375. https://doi.org/10.3390/pr11020375
