Integrated Collection of Patient-Reported Outcomes and Experiences in Children with Kidney and Hematological Diseases: A Pilot Study
Abstract
1. Introduction
2. Materials and Methods
2.1. Study Design and Setting
- Patients younger than 18 years of age;
- Diagnosis of hematological malignancy or severe hematological disease (three or more months after diagnosis) or chronic kidney disorders (children with chronic kidney disease stage 3–5, chronic glomerulopathies, rare kidney diseases, or those on kidney replacement therapy; six or more months after diagnosis).
- Response rate—the ratio of sent and completed questionnaires;
- Completion time—time from the first answered question to the submission of the questionnaire;
- Questionnaire completion rate—the proportion of fully completed questionnaires (no missing responses).
2.2. Study Organization and Structure
2.3. PREM and PROM Questionnaires
2.4. Psychometric Evaluation
2.5. Statistical Analysis
3. Results
3.1. Characteristics of Studied Population
3.2. Response and Questionnaire Completion Rates
3.3. Completion Time
3.4. Results of Patient-Reported Outcomes
3.5. Results of Patient-Reported Experiences
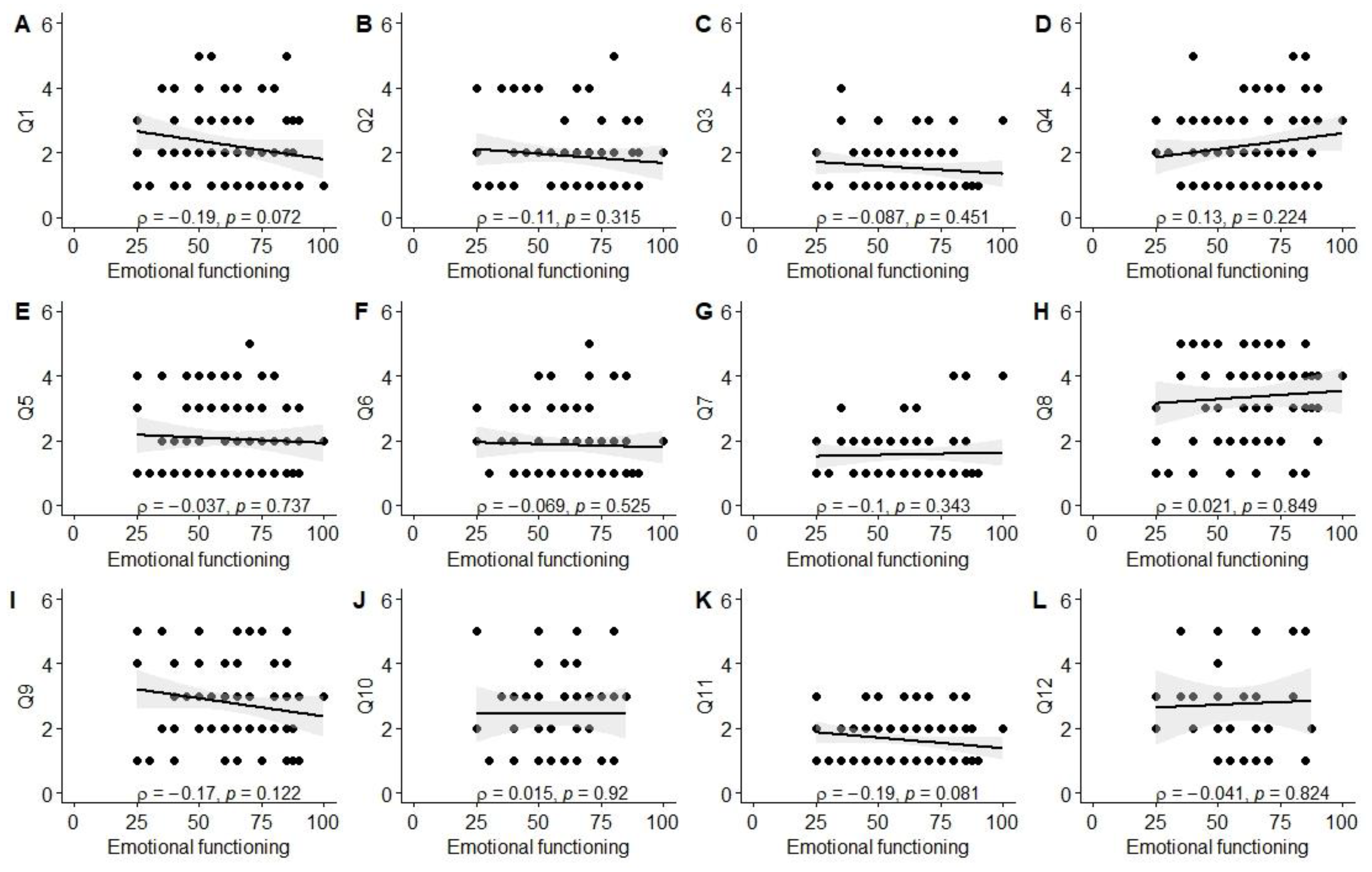
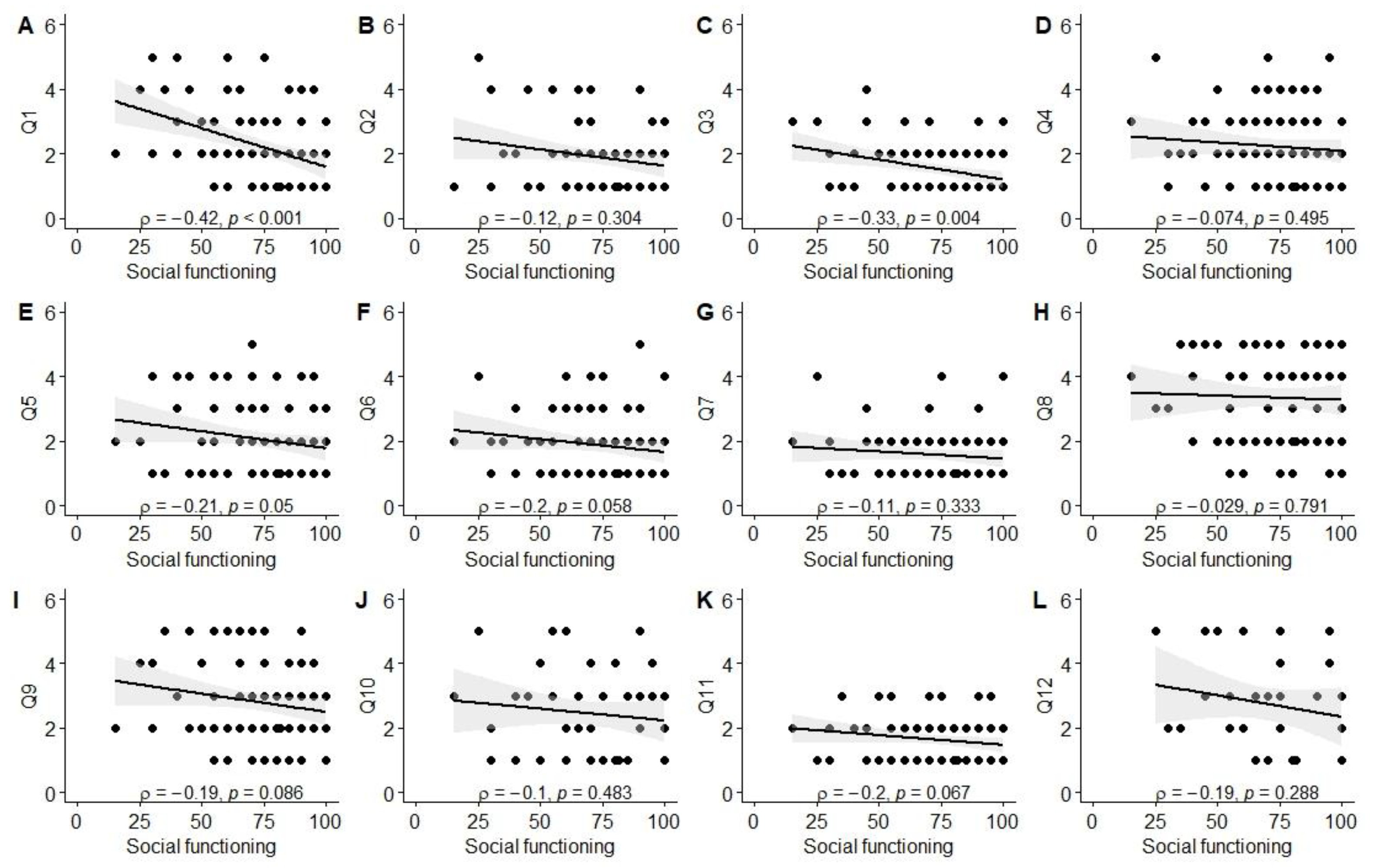
3.6. Association between Proxy- and Children-Reported Outcomes and Experiences
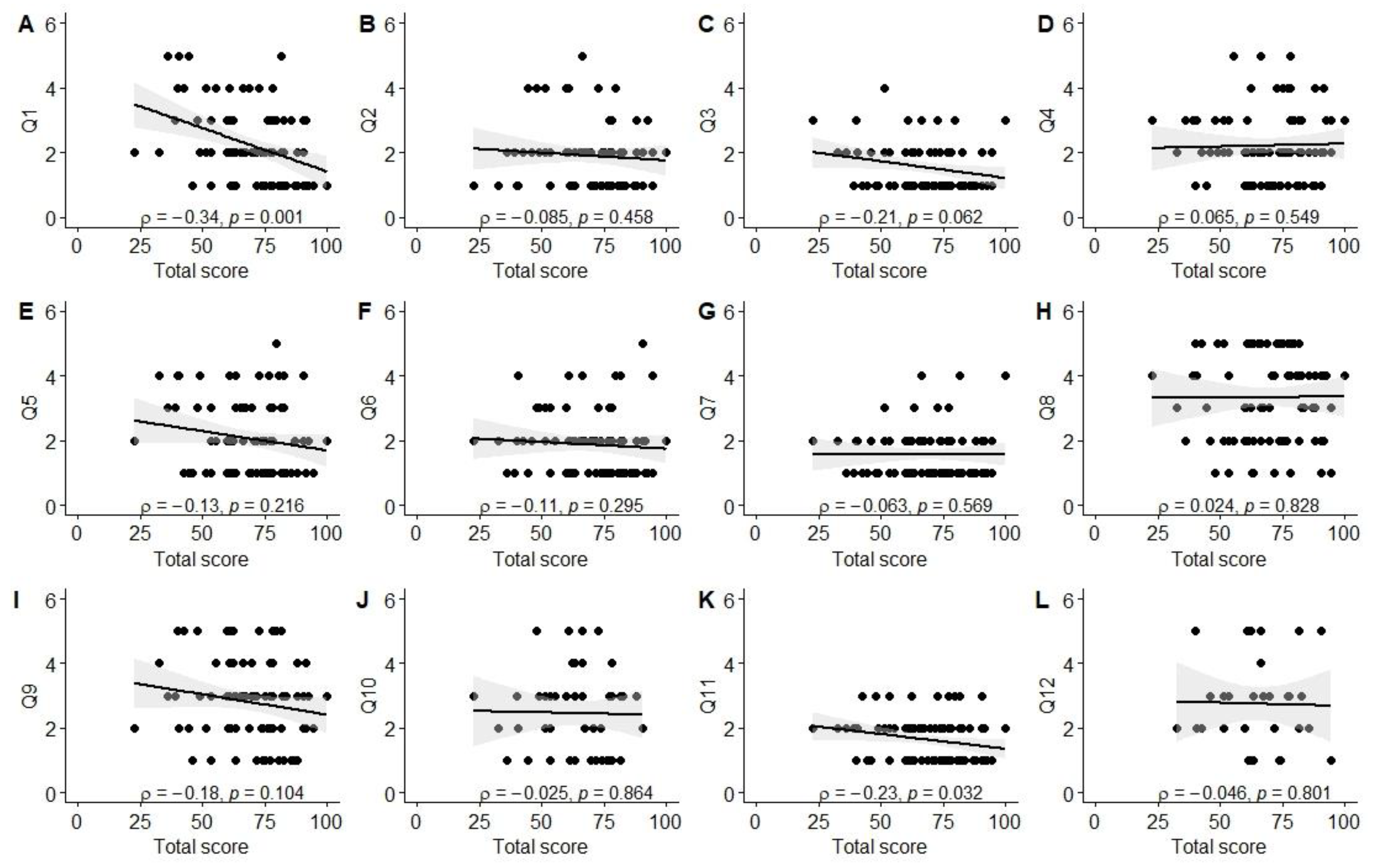
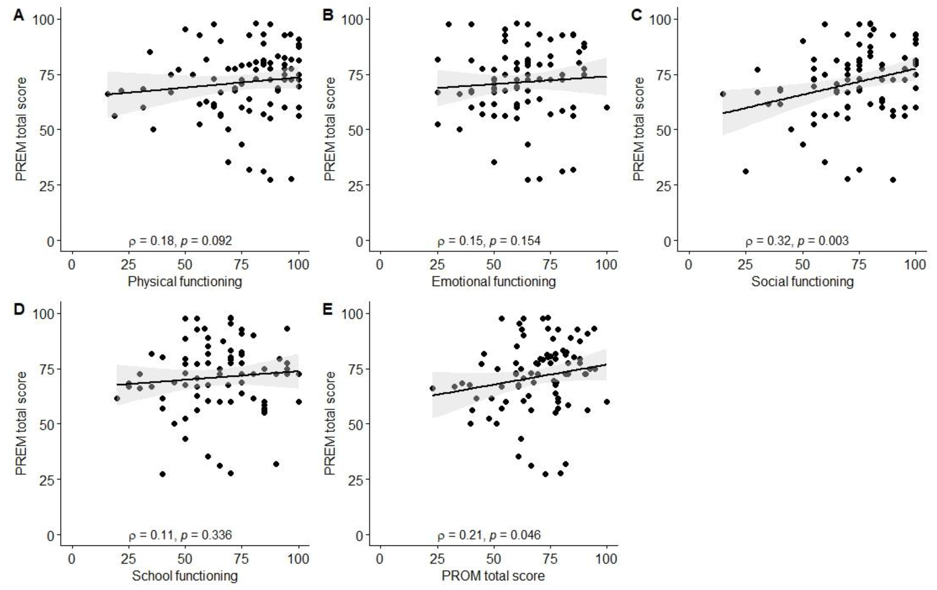
3.7. Association between PROM and PREM Scores
4. Discussion
Author Contributions
Funding
Institutional Review Board Statement
Informed Consent Statement
Data Availability Statement
Conflicts of Interest
Appendix A
| Q1 | Doctors and nurses at my outpatient clinic * are friendly. Family physician/pediatrician, nurse and other staff members at my outpatient clinic are nice and try to make me feel good. |
| |
| Q2 | Attending the outpatient clinic does not scare me. When I visit my family physician/pediatrician, the clinic environment does not frighten me and I feel comfortable and safe. |
| |
| Q3 | Doctors, nurses, and receptionists at the Santaros ** outpatient clinic/daycare clinic are friendly and helpful. When I see a doctor in the hospital or day hospital, I feel good. They take care of me and explain about upcoming procedures and tests. |
| |
| Q4 | I was explained about my illness in an easy to understand way. I was explained about my condition, results of my tests and how I will be treated. |
| |
| Q5 | During my admission(s) in the hospital, I felt that I was cared for. When I was admitted to the hospital, doctors, nurses and other staff members were friendly, tried to help me and made me feel good. |
| |
| Q6 | I received help to continue my normal everyday activities. I was given an opportunity to continue my education while being in the hospital or at home. I received help to continue my education in a different way in case this was required. |
| |
| Q7 | I felt that during my rehabilitation I received help to become stronger. I generally liked my rehabilitation process. I felt that there was an effort made to make me feel good, to restore my strength and my mood. |
| How long ago was your child’s disease diagnosed? | |
| |
| When was the last time your child was admitted to the hospital? | |
| |
| Q1 | The process from the onset of symptoms to diagnosis establishment was smooth. Since the onset of the first symptoms, we had no difficulty getting to our doctor, other specialists and specialized tests. |
| |
| Q2 | The environment of the primary care outpatient * clinic is child- and parent-friendly. The staff at the clinic is friendly, tries to understand our needs and is always ready to help. We did not experience negative attitudes or inappropriate behavior and the clinic environment is designed to make the child feel good. |
| |
| Q3 | The environment of the Santaros ** outpatient clinic is child- and parent-friendly. The staff at the clinic is friendly, tries to understand our needs and is always ready to help. We did not experience negative attitudes or inappropriate behavior and the clinic environment is designed to make the child feel good. |
| |
| Q4 | Family physician/pediatrician is involved in the treatment of my child’s condition. Family physician/pediatrician and nurses are knowledgeable about my child’s condition, can provide requested information and try to help us. |
| |
| Q5 | I have not encountered any technical problems in healthcare service provision. I did not encounter issues during referral, electronic prescription or drug reimbursement procedures for my child. |
| |
| Q6 | I have received sufficient information about my child’s condition. Following the diagnosis of my child’s disease, I received sufficient information about my child’s condition and its management. |
| |
| Q7 | The environment of the hospital’s in-patient departments is child- and parent-friendly. The staff at the in-patient departments is friendly, tries to understand our needs and is always ready to help. We did not experience negative attitudes or inappropriate behavior and the clinic environment is designed to make the child feel good. |
| |
| Q8 | We have been offered professional psychological help. We were provided professional psychological support, including in-patient treatment. |
| |
| Q9 | I received sufficient information about available social services. After the diagnosis and during treatment, I received sufficient information about all additional social services, sick-leave process, disability procedures and other assistance options. |
| |
| Q10 | Options were provided to continue my child’s education. During the stays in hospital, as well as during the outpatient treatment (if school attendance was not possible), my child was given the opportunity to study in order to keep up with peers. |
| |
| Q11 | I received sufficient information about the treatment of my child’s condition at home. Clear information about further management of my child was provided and included recommendations for everyday living at home, medication administration, as well as contact information. |
| |
| Q12 | During rehabilitation my child received the best possible care to help him/her recover and get stronger. |
| |
| Cronbach Alpha | 95% Confidence Interval | ||
|---|---|---|---|
| Upper | Lower | ||
| PROM (parents) | |||
| Age group (years) | |||
| 0–1 | - | - | - |
| 2–4 | 0.631 | 0.531 | 0.719 |
| 5–7 | 0.916 | 0.902 | 0.929 |
| 8–12 | 0.909 | 0.900 | 0.917 |
| 13–18 | 0.953 | 0.946 | 0.959 |
| PREM (parents) | |||
| All | 0.856 | 0.829 | 0.881 |
| Disease group | |||
| Kidney | 0.792 | 0.739 | 0.839 |
| Hematological | 0.902 | 0.873 | 0.927 |
| Age group (years) | |||
| 0–1 | - | - | - |
| 2–4 | 0.554 | 0.304 | 0.742 |
| 5–7 | 0.94 | 0.906 | 0.965 |
| 8–12 | 0.885 | 0.854 | 0.912 |
| 13–18 | 0.782 | 0.679 | 0.863 |
| Child’s gender | |||
| Girls | 0.928 | 0.905 | 0.948 |
| Boys | 0.77 | 0.713 | 0.82 |
| PROM Questionnaires | |||
| Overall | Total (n = 450) | Kidney disease (n = 122) | Hematological disease (n = 97) |
| 109 (49.8%) | 66 (54.1%) | 43 (44.3%) | |
| Parents | Total (n = 176) | Kidney disease (n = 91) | Hematological disease (n = 85) |
| 94 (53.4%) | 54 (59.3%) | 40 (47.1%) | |
| Children | Total (n = 43) | Kidney disease (n = 31) | Hematological disease (n = 12) |
| 15 (34.9%) | 12 (38.7%) | 3 (25.0%) | |
| PROM questionnaires | |||
| Overall response rate | Total (n = 231) | Kidney disease (n = 128) | Hematological disease (n = 103) |
| 121 (52.4%) | 74 (57.8%) | 47 (45.6%) | |
| Parents | Total (n = 188) | Kidney disease (n = 97) | Hematological disease (n = 91) |
| 104 (55.3%) | 62 (63.9%) | 42 (46.2%) | |
| Children | Total (n = 43) | Kidney disease (n = 31) | Hematological disease (n = 12) |
| 17 (39.5%) | 12 (38.7%) | 5 (41.7%) | |
| PROM Parents | ||||||||||
|---|---|---|---|---|---|---|---|---|---|---|
| Completion Time | Disease Group | Age Group (Years) | Child’s Gender | |||||||
| Total (n = 94) | Kidney disease (n = 54) | Hematological disease (n = 40) | 0–1 (n = 0) | 2–4 (n = 12) | 5–7 (n = 17) | 8–12 (n = 40) | 13–18 (n = 25) | Girls (n = 34) | Boys (n = 60) | |
| Median (IQR) | 3.1 (2.3–4.0) | 3.1 (2.3–3.8) | 3.2 (2.3–4.4) | - | 3.5 (2.3–4.1) | 2.8 (2.2–3.7) | 3.0 (2.4–3.8) | 3.4 (2.2–4.5) | 3.4 (2.7–5.0) | 2.9 (2.2–3.8) |
| Min–max | 1.3–17.8 | 1.3–12.8 | 1.3–17.8 | - | 1.7–7.4 | 1.3–10.6 | 1.7–11.6 | 1.3–17.8 | 1.5–17.8 | 1.3–12.8 |
| PREM parents | ||||||||||
| Disease group | Age group (years) | Child’s gender | ||||||||
| Total (n = 104) | Kidney disease (n = 62) | Hematological disease (n = 42) | 0–1 (n = 7) | 2–4 (n = 13) | 5–7 (n = 16) | 8–12 (n = 42) | 13–18 (n = 26) | Girls (n = 42) | Boys (n = 62) | |
| Median (IQR) | 3.2 (2.4–4.1) | 3.3 (2.4–4.1) | 3.0 (2.5–4.2) | 3.2 (2.7–4.0) | 2.8 (2.5–3.2) | 2.8 (2.3–3.9) | 3.3 (2.6–4.1) | 3.1 (2.3–4.3) | 3.3 (2.5–4.4) | 3.1 (2.4- 3.9) |
| Min–max | 1.5–14.7 | 1.5–14.7 | 1.6–7.8 | 2.5–4.7 | 2.4–6.4 | 1.6–6.8 | 1.9–14.7 | 1.5–8.0 | 1.5–14.7 | 1.5–10.6 |
| PROM Children | |||||||
| Completion Time | Disease Group | Child’s Gender | |||||
| Total (n = 15) | Kidney disease (n = 12) | Hematological disease (n = 3) | 8–12 (n = 6) | 13–18 (n = 9) | Girls (n = 8) | Boys (n = 7) | |
| Median (IQR) | 2.4 (1.6–2.9) | 2.2 (1.6–2.9) | 2.6 (2.1–2.7) | 2.9 (2.2–3.0) | 2.2 (1.5–2.8) | 2.7 (2.0–2.9) | 2.0 (1.4–2.7) |
| Min–max | 1.4–7.0 | 1.4–7.0 | 1.6–2.8 | 1.7–6.3 | 1.4–7.0 | 1.5–7.0 | 1.4–6.3 |
| PREM children | |||||||
| Completion time | Disease group | Age group (years) | Child’s gender | ||||
| Total (n = 17) | Kidney disease (n = 12) | Hematological disease (n = 5) | 8–12 (n = 5) | 13–18 (n = 12) | Girls (n = 8) | Boys (n = 9) | |
| Median (IQR) | 1.5 (1.0–2.5) | 1.3 (1.0–2.5) | 2.0 (1.5–2.4) | 2.6 (1.4–2.9) | 1.3 (1.0–2.2) | 1.4 (1.0–2.1) | 2.2 (1.2–2.6) |
| Min-max | 0.7–3.1 | 0.7–3.1 | 1.0–2.9 | 1.3–3.1 | 0.7–2.9 | 0.7–2.9 | 0.9–3.1 |






References
- Bull, C.; Teede, H.; Watson, D.; Callander, E.J. Selecting and Implementing Patient-Reported Outcome and Experience Measures to Assess Health System Performance. JAMA Health Forum 2022, 3, e220326. [Google Scholar] [CrossRef] [PubMed]
- Kingsley, C.; Patel, S. Patient-Reported Outcome Measures and Patient-Reported Experience Measures. BJA Educ. 2017, 17, 137–144. [Google Scholar] [CrossRef]
- Weldring, T.; Smith, S.M.S. Article Commentary: Patient-Reported Outcomes (PROs) and Patient-Reported Outcome Measures (PROMs). Health Serv. Insights 2013, 6, HSI-S11093. [Google Scholar] [CrossRef] [PubMed]
- Fønhus, M.S.; Dalsbø, T.K.; Johansen, M.; Fretheim, A.; Skirbekk, H.; Flottorp, S.A. Patient-Mediated Interventions to Improve Professional Practice. Cochrane Database Syst. Rev. 2018, 9, CD012472. [Google Scholar] [CrossRef]
- Chen, J.; Ou, L.; Hollis, S.J. A Systematic Review of the Impact of Routine Collection of Patient Reported Outcome Measures on Patients, Providers and Health Organisations in an Oncologic Setting. BMC Health Serv. Res. 2013, 13, 211. [Google Scholar] [CrossRef]
- Detmar, S.B.; Muller, M.J.; Schornagel, J.H.; Wever, L.D.V.; Aaronson, N.K. Health-Related Quality-of-Life Assessments and Patient-Physician Communication: A Randomized Controlled Trial. JAMA 2002, 288, 3027–3034. [Google Scholar] [CrossRef]
- Boyce, M.B.; Browne, J.P. Does Providing Feedback on Patient-Reported Outcomes to Healthcare Professionals Result in Better Outcomes for Patients? A Systematic Review. Qual. Life Res. 2013, 22, 2265–2278. [Google Scholar] [CrossRef]
- Dorr, M.C.; Van Hof, K.S.; Jelsma, J.G.M.; Dronkers, E.A.C.; Baatenburg De Jong, R.J.; Offerman, M.P.J.; De Bruijne, M.C. Quality Improvements of Healthcare Trajectories by Learning from Aggregated Patient-Reported Outcomes: A Mixed-Methods Systematic Literature Review. Health Res. Policy Sys. 2022, 20, 90. [Google Scholar] [CrossRef]
- Doyle, C.; Lennox, L.; Bell, D. A Systematic Review of Evidence on the Links between Patient Experience and Clinical Safety and Effectiveness. BMJ Open 2013, 3, e001570. [Google Scholar] [CrossRef]
- Jamieson Gilmore, K.; Corazza, I.; Coletta, L.; Allin, S. The Uses of Patient Reported Experience Measures in Health Systems: A Systematic Narrative Review. Health Policy 2023, 128, 1–10. [Google Scholar] [CrossRef]
- Mattson, G.; Kuo, D.Z.; Committee on Psychosocial Aspects of Child and Family Health; Council on Children with Disabilities; Yogman, M.; Baum, R.; Gambon, T.B.; Lavin, A.; Esparza, R.M.; Nasir, A.A.; et al. Psychosocial Factors in Children and Youth with Special Health Care Needs and Their Families. Pediatrics 2019, 143, e20183171. [Google Scholar] [CrossRef] [PubMed]
- McCabe, E.; Rabi, S.; Bele, S.; Zwicker, J.D.; Santana, M.J. Factors Affecting Implementation of Patient-Reported Outcome and Experience Measures in a Pediatric Health System. J. Patient Rep. Outcomes 2023, 7, 24. [Google Scholar] [CrossRef] [PubMed]
- Meirte, J.; Hellemans, N.; Anthonissen, M.; Denteneer, L.; Maertens, K.; Moortgat, P.; Van Daele, U. Benefits and Disadvantages of Electronic Patient-Reported Outcome Measures: Systematic Review. JMIR Perioper. Med. 2020, 3, e15588. [Google Scholar] [CrossRef] [PubMed]
- Liamputtong, P. Focus Group Methodology: Principles and Practice; SAGE Publications, Ltd.: London, UK, 2011; ISBN 978-1-84787-909-7. [Google Scholar]
- Stewart, D.; Shamdasani, P.; Rook, D. Focus Groups; SAGE Publications, Ltd.: Thousand Oaks, CA, USA, 2007; ISBN 978-0-7619-2583-5. [Google Scholar]
- Rabiee, F. Focus-Group Interview and Data Analysis. Proc. Nutr. Soc. 2004, 63, 655–660. [Google Scholar] [CrossRef] [PubMed]
- Bele, S.; Teela, L.; Zhang, M.; Rabi, S.; Ahmed, S.; Van Oers, H.A.; Gibbons, E.; Dunnewold, N.; Haverman, L.; Santana, M.J. Use of Patient-Reported Experience Measures in Pediatric Care: A Systematic Review. Front. Pediatr. 2021, 9, 753536. [Google Scholar] [CrossRef] [PubMed]
- Wray, J.; Terrell, K.; Kelly, P.; Chesters, H.; Gibson, F.; Oldham, G. 67 Use of Patient-Reported Experience Measures (PREMs) and Patient-Reported Outcome Measures (PROMs) in Routine Hospital Care of Children and Young People: A Scoping Literature Review. Arch. Dis. Child. 2023, 108, A25–A26. [Google Scholar]
- Guilabert, M.; Martínez-García, A.; Sala-González, M.; Solas, O.; Mira, J.J. Results of a Patient Reported Experience Measure (PREM) to Measure the Rare Disease Patients and Caregivers Experience: A Spanish Cross-Sectional Study. Orphanet J. Rare Dis. 2021, 16, 67. [Google Scholar] [CrossRef]
- Arsiwala, T.; Afroz, N.; Kordy, K.; Naujoks, C.; Patalano, F. Measuring What Matters for Children: A Systematic Review of Frequently Used Pediatric Generic PRO Instruments. Ther. Innov. Regul. Sci. 2021, 55, 1082–1095. [Google Scholar] [CrossRef]
- Pronk, Y.; Pilot, P.; Brinkman, J.M.; Van Heerwaarden, R.J.; Van Der Weegen, W. Response Rate and Costs for Automated Patient-Reported Outcomes Collection Alone Compared to Combined Automated and Manual Collection. J. Patient Rep. Outcomes 2019, 3, 31. [Google Scholar] [CrossRef]
- Pronk, Y.; Van Der Weegen, W.; Vos, R.; Brinkman, J.-M.; Van Heerwaarden, R.J.; Pilot, P. What Is the Minimum Response Rate on Patient-Reported Outcome Measures Needed to Adequately Evaluate Total Hip Arthroplasties? Health Qual. Life Outcomes 2020, 18, 379. [Google Scholar] [CrossRef]
- Karava, V.; Goutou, S.; Dotis, J.; Kondou, A.; Charela, E.; Dadoudi, O.; Eleftheriadis, T.; Stefanidis, I.; Printza, N. Fatigue and Quality of Life in Children with Chronic Kidney Disease. Children 2022, 9, 1414. [Google Scholar] [CrossRef] [PubMed]
- Varni, J.W.; Burwinkle, T.M.; Katz, E.R.; Meeske, K.; Dickinson, P. The PedsQLTM in Pediatric Cancer: Reliability and Validity of the Pediatric Quality of Life InventoryTM Generic Core Scales, Multidimensional Fatigue Scale, and Cancer Module. Cancer 2002, 94, 2090–2106. [Google Scholar] [CrossRef] [PubMed]
- Cremeens, J.; Eiser, C.; Blades, M. Factors Influencing Agreement between Child Self-Report and Parent Proxy-Reports on the Pediatric Quality of Life InventoryTM 4.0 (PedsQLTM) Generic Core Scales. Health Qual. Life Outcomes 2006, 4, 58. [Google Scholar] [CrossRef] [PubMed]
- Anderson, J.T.; Cowan, J.; Condino-Neto, A.; Levy, D.; Prusty, S. Health-Related Quality of Life in Primary Immunodeficiencies: Impact of Delayed Diagnosis and Treatment Burden. Clin. Immunol. 2022, 236, 108931. [Google Scholar] [CrossRef] [PubMed]
- Fuchs, V.; Kurppa, K.; Huhtala, H.; Mäki, M.; Kekkonen, L.; Kaukinen, K. Delayed Celiac Disease Diagnosis Predisposes to Reduced Quality of Life and Incremental Use of Health Care Services and Medicines: A Prospective Nationwide Study. United Eur. Gastroenterol. J. 2018, 6, 567–575. [Google Scholar] [CrossRef] [PubMed]
- Robinson, K.M.; Christensen, K.B.; Ottesen, B.; Krasnik, A. Diagnostic Delay, Quality of Life and Patient Satisfaction among Women Diagnosed with Endometrial or Ovarian Cancer: A Nationwide Danish Study. Qual. Life Res. 2012, 21, 1519–1525. [Google Scholar] [CrossRef]
- Meijer, S.A.; Sinnema, G.; Bijstra, J.O.; Mellenbergh, G.J.; Wolters, W.H.G. Social Functioning in Children with a Chronic Illness. J. Child Psychol. Psychiatry 2000, 41, 309–317. [Google Scholar] [CrossRef]
- Sherman-Bien, S.A.; Malcarne, V.L.; Roesch, S.; Varni, J.W.; Katz, E.R. Quantifying the Relationship among Hospital Design, Satisfaction, and Psychosocial Functioning in a Pediatric Hematology Oncology Inpatient Unit. HERD 2011, 4, 34–59. [Google Scholar] [CrossRef]
- Douglas, C.H.; Douglas, M.R. Patient-Friendly Hospital Environments: Exploring the Patients’ Perspective. Health Expect 2004, 7, 61–73. [Google Scholar] [CrossRef]
- Christiansen, H.L.; Bingen, K.; Hoag, J.A.; Karst, J.S.; Velázquez-Martin, B.; Barakat, L.P. Providing Children and Adolescents Opportunities for Social Interaction as a Standard of Care in Pediatric Oncology: Social Interactions Standard in Pediatric Cancer. Pediatr. Blood Cancer 2015, 62, S724–S749. [Google Scholar] [CrossRef]
- Husson, O.; Mols, F.; Van De Poll-Franse, L.V. The Relation between Information Provision and Health-Related Quality of Life, Anxiety and Depression among Cancer Survivors: A Systematic Review. Ann. Oncol. 2011, 22, 761–772. [Google Scholar] [CrossRef]
- Ching, H.L.; Burke, V.; Stuckey, B.G.A. Quality of Life and Psychological Morbidity in Women with Polycystic Ovary Syndrome: Body Mass Index, Age and the Provision of Patient Information Are Significant Modifiers. Clin. Endocrinol. 2007, 66, 373–379. [Google Scholar] [CrossRef] [PubMed]
- Husson, O.; Oerlemans, S.; Mols, F.; Smeets, R.E.H.; Poortmans, P.M.; Van De Poll-Franse, L.V. Satisfaction with Information Provision Is Associated with Baseline but Not with Follow-up Quality of Life among Lymphoma Patients: Results from the PROFILES Registry. Acta Oncol. 2014, 53, 917–926. [Google Scholar] [CrossRef] [PubMed]
- Lamers, R.E.D.; Cuypers, M.; Husson, O.; Vries, M.; Kil, P.J.M.; Ruud Bosch, J.L.H.; Poll-Franse, L.V. Patients Are Dissatisfied with Information Provision: Perceived Information Provision and Quality of Life in Prostate Cancer Patients. Psycho Oncol. 2016, 25, 633–640. [Google Scholar] [CrossRef] [PubMed]







| Number of Questionnaires and Response Rates | |||
|---|---|---|---|
| Overall | Total (n = 450) | PROM (n = 219) | PREM (n = 231) |
| 230 (51.1%) | 109 (49.8%) | 121 (52.4%) | |
| Parents | Total (n = 364) | PROM (n = 176) | PREM (n = 188) |
| 198 (54.4%) | 94 (53.4%) | 104 (55.3%) | |
| Children | Total (n = 86) | PROM (n = 43) | PREM (n = 43) |
| 32 (37.2%) | 15 (34.9%) | 17 (39.5%) | |
| Characteristic | Overall (n = 104) | Kidney Disease (n = 62) | Hematological Disease (n = 42) | p-Value |
|---|---|---|---|---|
| How long ago was your child’s disease diagnosed? | <0.001 1 | |||
| Less than 1 year ago | 18 (17.3%) | 9 (14.5%) | 9 (21.4%) | |
| 1–2 years ago | 33 (31.7%) | 10 (16.1%) | 23 (54.8%) | |
| 3 or more years ago | 53 (51.0%) | 43 (69.4%) | 10 (23.8%) | |
| When was the last time your child was admitted to the hospital? | 0.002 2 | |||
| My child has not been admitted to the hospital | 5 (4.8%) | 4 (6.5%) | 1 (2.4%) | |
| Less than 1 year ago | 49 (47.1%) | 20 (32.3%) | 29 (69.0%) | |
| 1–2 years ago | 31 (29.8%) | 22 (35.5%) | 9 (21.4%) | |
| 3 or more years ago | 19 (18.3%) | 16 (25.8%) | 3 (7.1%) |
Disclaimer/Publisher’s Note: The statements, opinions and data contained in all publications are solely those of the individual author(s) and contributor(s) and not of MDPI and/or the editor(s). MDPI and/or the editor(s) disclaim responsibility for any injury to people or property resulting from any ideas, methods, instructions or products referred to in the content. |
© 2023 by the authors. Licensee MDPI, Basel, Switzerland. This article is an open access article distributed under the terms and conditions of the Creative Commons Attribution (CC BY) license (https://creativecommons.org/licenses/by/4.0/).
Share and Cite
Ažukaitis, K.; Puronaitė, R.; Vaitkevičienė, G.E.; Trinkūnas, J.; Jankauskienė, A.; Jankauskienė, D. Integrated Collection of Patient-Reported Outcomes and Experiences in Children with Kidney and Hematological Diseases: A Pilot Study. Children 2023, 10, 1245. https://doi.org/10.3390/children10071245
Ažukaitis K, Puronaitė R, Vaitkevičienė GE, Trinkūnas J, Jankauskienė A, Jankauskienė D. Integrated Collection of Patient-Reported Outcomes and Experiences in Children with Kidney and Hematological Diseases: A Pilot Study. Children. 2023; 10(7):1245. https://doi.org/10.3390/children10071245
Chicago/Turabian StyleAžukaitis, Karolis, Roma Puronaitė, Goda Elizabeta Vaitkevičienė, Justas Trinkūnas, Augustina Jankauskienė, and Danguolė Jankauskienė. 2023. "Integrated Collection of Patient-Reported Outcomes and Experiences in Children with Kidney and Hematological Diseases: A Pilot Study" Children 10, no. 7: 1245. https://doi.org/10.3390/children10071245
APA StyleAžukaitis, K., Puronaitė, R., Vaitkevičienė, G. E., Trinkūnas, J., Jankauskienė, A., & Jankauskienė, D. (2023). Integrated Collection of Patient-Reported Outcomes and Experiences in Children with Kidney and Hematological Diseases: A Pilot Study. Children, 10(7), 1245. https://doi.org/10.3390/children10071245

