Abstract
A novel sensitive and selective electrochemiluminescence (ECL) sensor using nitrogen-doped graphyne as the platform was proposed for kanamycin (KAN) detection. First, nitrogen-doped graphyne nanomaterial (1N-GY) with high conductivity was synthesized using a high-energy ball milling method. Compared with ordinary graphyne, the addition of nitrogen atoms can improve the conductivity of the material and reduce the electronic migration energy barrier. Then it was used as a substrate material of the ECL sensor, not only increasing the conductivity of the biosensor but also improving the sensitivity of the ECL sensor by providing more immobilization space for the luminescent probe of Nafion-coated mesoporous silica adsorbed Ru(bpy)32+ (mSiO2@Nafion@Ru(bpy)32+). On this basis, mSiO2@Nafion@Ru(bpy)32+ functionalized DNA probes were used as luminescent and capture probes to specifically recognize different concentrations of KAN to produce ECL signals. Under optimal conditions, the proposed ECL sensor exhibited good linearity (10−12–10−6 M KAN) and a low detection limit of 1.08 pM. The prepared biosensor with good stability and selectivity successfully detected KAN in honey and milk samples, with spiked recovery rates ranging from 98% to 111.79%. This method not only expands the application of 1N-GY as a novel graphitic material in ECL biosensors but also provides an effective way to check antibiotics in dairy products.
1. Introduction
Food safety remains one of the major global challenges, and kanamycin (KAN) is favored by the agriculture and farming industries due to its broad antimicrobial spectrum, low price, and ability to promote animal growth and development [1,2]. KAN is an unmetabolizable broad-spectrum soluble aminoglycoside antibiotic. Its overuse has led to significant accumulation in soil, water, animals, and humans [3]. When KAN residues in food of animal origin enter the human body, it can destroy the intestinal flora, inhibit the myocardium, and cause toxicity, kidney damage, and anaphylactic shock [4]. Therefore, the European Union has established the following maximum residue limits (MRLs) for KAN in food of animal origin: milk 150 mg/kg (around 300 nM) [5]. There are multiple ways available for detecting residual KAN, such as high-performance liquid chromatography (HPLC) [6], microfluidic chip technology (MCT) [7], surface plasmon resonance (SPR) [8], fluorescence spectrometry (FS) [9,10], and colourimetric [11], among others. However, HPLC technology is complicated to operate and costly; the latter, such as FS, is less resistant to interference and has a high background signal. Therefore, the development of a highly selective and sensitive residual KAN detection method is of great significance for protecting ecosystems and maintaining human health.
Electrochemiluminescence (ECL) is a detection method that combines electrochemical methods and chemiluminescence, with the advantages of good selectivity, wide linear range, low background signals, high sensitivity, simple operation, etc., and has been extensively applied in agricultural and veterinary drug residue detection [12]. Liu et al. used a new method to prepare carboxylated graphitic carbon nitride with Zinc Selenide (gC3N4-COOH/ZnSe) nanocomposites and used them as carriers for ECL aptasensors, with ferrocene-labeled DNA (Fc-DNA) as a signal quencher to detect KAN residues [13]. To detect sulfadiazine, a new ECL resonance energy transfer (ECL-RET) method was designed, which uses a novel ECL emitter cerium ion-coordinated pyrene-based ligand (CPM, Ce-TBAPy) as a donor, and the acceptor is cobalt-based metal–organic framework decorated with gold-platinum nanoparticles (Co-MOF@AuPt), and constructed an “on-off-on” type ECL aptasensor [14]. Zhao et al. designed a novel two-potential ECL molecularly imprinted sensor based on a Zn-MOF signaling probe based on a multifunctional organometallic framework (MOF) with tunable optical properties for trace detection of chloramphenicol (CAP) in honey [15].
In the design of ECL biosensors, the selection of the biorecognition element is crucial, such as in aptamer-based sensors, because it determines the sensor’s sensitivity, selectivity, and overall performance. Compared to antibodies, aptamers can be rapidly synthesized chemically, offering advantages such as short production cycles and low costs [16]. Furthermore, aptamers exhibit high physical and thermal stability, permitting long-term storage at room temperature [17]. In addition, they can be modified by a variety of functional groups. Therefore, aptamers have been widely employed as biorecognition elements in biosensors [18,19].
In the ECL system, Ru(bpy)32+ is often used as a luminescent probe due to its good stability, high luminescence efficiency, good biocompatibility, and good electrochemical performance. Meanwhile, Ru(bpy)32+/tripropylamine (TPrA) is an excellent ECL system, which is widely used in ECL biosensors [20,21]. The luminescent reagent Ru(bpy)32+ binds electrostatically on the electrode surface and is easily dislodged, so Nafion reagent is often added to immobilize the luminescent reagent by means of cation exchange properties [22]. Mesoporous silica nanoparticles (mSiO2) with a large specific surface area, pore volume, and good biocompatibility can adsorb more Ru(bpy)32+, improving luminescence efficiency [23,24]. On this basis, luminescent probes were prepared to specifically detect the antibiotic by the KAN aptamer that can specifically bind to KAN.
Electrode surface functionalization with nanomaterials boosts ECL sensitivity while promoting efficient electron transfer kinetics. Carbon nanomaterials such as graphyne nanomaterial (GY) and graphyne oxide nanomaterial (GYO) are commonly used to modify electrodes [25,26]. GY is a new type of two-dimensional net-like carbon material, which is composed of a unique sp2-sp hybrid carbon network with a characteristic conjugated structure. The regular distribution of alkyne units in the molecular plane endows the material with superior electron transport performance [27,28]. Compared with other conventional carbon materials, the synthesis of GY is controllable: by precisely adjusting different synthesis conditions, the chemical properties, morphology, and porosity of the material’s surface can be designed in a targeted manner, providing an ideal platform for constructing ECL sensors [29].
In this work, the nitrogen doping of GY was quantitatively and precisely oriented at the atomic level. The doping of nitrogen atoms induced defects that increased the intrinsic conductivity of the material and lowered the electron migration barrier by increasing the carrier concentration and tuning the energy band structure, resulting in excellent catalytic activity [30]. When constructing aptamer-based sensors, gold nanoparticles (AuNPs) are often introduced into the sensing interface to play a key role: the aptamer employed has been modified at its 5′ terminus with a thiol group (-SH) capable of forming an Au-S bond with AuNPs, not only stabilizing the aptamer structure and maintaining biological activity, but also significantly improving the probe loading capacity of the sensing interface; On the other hand, AuNPs exhibit excellent electrocatalytic activity and conductivity, effectively accelerating the rate of electron transfer between ECL luminescent probes and electrode surface, thereby reducing interference during detection. This enables them to synergistically collaborate with aptamers to achieve specific recognition and detection [31,32].
In this research, a novel ECL biosensor based on 1N-GY with luminescent probe mSiO2@Nafion@Ru(bpy)32+ was successfully developed to detect KAN residues in food. Among them, 1N-GY served as a carrier material, enhancing biosensor conductivity and offering an extended surface area for immobilizing additional luminescent moieties; mSiO2@Nafion@Ru(bpy)32+-Apt DNA was used as a luminescence and trapping probe for the generation of ECL signals and for the specific recognition of KAN. Consequently, an ultrasensitive biosensor was successfully fabricated for KAN detection in food samples, demonstrating favorable analytical characteristics. The ECL biosensor exhibited good sensitivity and selectivity in real sample detection with a linear range of 1 × 10−12–1 × 10−6 M and a detection limit of 1.08 pM.
2. Materials and Methods
2.1. Materials
Purchased calcium carbide (CaC2), pyridine, anhydrous ethanol, nitric acid (HNO3), sodium chloride (NaCl) and potassium persulphate (K2S2O8) were from Xilong Scientific Co. (Guangdong, China). Potassium chloride (KCl) and disodium phosphate (Na2HPO4) were purchased from Shanghai Sangong Biological Company Co. (Shanghai, China). Purchased tri-n-propylamine (TPrA) was from Shanghai McLean Biochemical Technology Co. (Shanghai, China). Purchased hydrated tetrachloroauric acid (HAuCl4·3H2O) from Sinopharm Chemical Reagent Co. (Shanghai, China). Purchased bovine serum albumin (BSA), perfluorosulfonic acid (Nafion), and terpyridine ruthenium (Ru(bpy)32+) were from Sigma Aldrich (Shanghai, China) Trading Co. Purchased mesoporous silica (mSiO2) from JCNANO Technology Co., Ltd. (Nanjing, China). Aureomycin (AM), Chloramphenicol (CAP), Tetracycline (TE), Streptomycin (SM) were purchased from Beijing Solepol Research Co. (Beijing, China). Kanamycin (KAN) was purchased from Beijing Puxitang Biotechnology Co. Shengong Bioengineering Co., Ltd. (Beijing, China) synthesized aptamers: cDNA (5′-HS-G TCG GCT TAG CCT CAA CCC CCA-3′), Apt DNA (5′-TGG GGG TTG AGG CTA AGC CGA C-3′) according to the literature [33].
2.2. Equipments
In CHI 660e, an electrochemical workstation for the cyclic voltammetry (CV) and electrochemical impedance spectroscopy (EIS) measurements using a traditional three-electrode system with a glassy carbon electrode working electrode, a platinum wire auxiliary electrode, and a saturated calomel electrode (SCE) reference electrode. ECL measurements were performed using an MPI-E ECL analysis system (Xi’an Remix Analytical Instruments Co., Ltd., Xi’an, China), and the study was conducted using a standard three-electrode system, with the working electrode and auxiliary electrode being the same as those mentioned above, and a silver chloride reference electrode (Ag/AgCl) (Tianjin Aida Hengsheng Technology Development Co., Ltd., Tianjin, China). The elemental distribution of 1N-GY was studied using transmission electron microscopy (TEM, JEM-2100F) (Thermo Fisher Scientific, Waltham, MA, USA) and scanning electron microscopy (SEM, JSM-6700F) (Carl, Zeiss AG, Oberkochen, Germany). X-ray Photoelectron Spectroscopy (XPS) measurements were carried out by X-ray Diffraction (XPS, ESCALAB250Xi) (Thermo Fisher Scientific, Waltham, MA, USA). The Master water purifier produced ultrapure water for all experiments. Particle size analysis of 1N-GY was performed using a laser particle size analyzer (zetasizer nano ZS90) (Malvern lnstruments Ltd., Malvern, UK).
2.3. Preparation of 1N-GY
Mechanochemical synthesis was used to prepare 1N-GY, and the material was prepared by high-energy ball milling under argon protection, using calcium carbide (CaC2) and pyridine. Here were the steps: 1.5 g CaC2, 0.5 mL of pyridine and 20 g of 5 mm zirconia grinding balls were mixed together in a ZrO2-lined ball milling jar, and the reaction was mechanically driven by a planetary ball mill at a speed of 600 rpm for a continuous period of 16 h in a cyclic mode of 30 min of ball milling/15 min of cooling. The post-reaction products were acid-washed with 1 M HNO3 to remove the residual CaC2, which was then sequentially washed using deionized water and anhydrous ethanol to eliminate organic residues, before vacuum drying (80 °C, 12 h), which afforded the precursors. Afterwards, the material was dispersed in ethanol by ultrasonic dispersion for 1 h. After centrifugation and secondary drying at 80 °C, the monolayer 1N-GY samples were produced. By modulating the type of nitrogen source.
2.4. Preparation of mSiO2@Nafion@Ru(bpy)32+-Apt DNA
2 mg of mSiO2 was combined with 1 mL of 0.5% Nafion and sonicated for several minutes to obtain mSiO2@Nafion. 1 mL 20 mM Ru(bpy)32+ was added, the magnetic stirrer was turned on, and the substance was centrifuged after sufficient stirring in an ice-water bath. The substance was washed with PBS to obtain mSiO2@Nafion@Ru (bpy)32+, which was uniformly dispersed in 1 mL of PBS. Then, 500 μL of 500 nM Apt-DNA and 500 μL of mSiO2@Nafion@Ru(bpy)32+ were stirred thoroughly in ice-water, and the luminescent probe was washed by centrifugation with PBS for three times to obtain the luminescent probe, mSiO2@Nafion@Ru(bpy)32+-Apt DNA.
2.5. Biosensor Preparation and ECL Measurement
Before modifying the glassy carbon electrode (GCE), alumina powder was used to implement polishing treatment on the surface, and electrode was sequentially washed by ultrasonic washing using ethanol and ultrapure water (3 min), and 4 mL of 2 mg/mL 1N-GY were gently added dropwise onto the electrode surface after being blown dry by nitrogen; Gold nanoparticles were modified onto the surface of 1N-GY/GCE by electrochemical deposition in 1% HAuCl4 solution, and the deposition process lasted for 50 s and was dried at room temperature; 6 μL of 500 nM cDNA was immobilized on the electrode and refrigerated at 4 °C. After incubation, the excess cDNA was gently rinsed. The non-specific binding site was closed with 1% w/v BSA for 1 h at ambient temperature, and 6 μL of the prepared luminescent probe mSiO2@Nafion@Ru(bpy)32+-Apt DNA was immobilized on the electrode, followed by incubation at 37 °C for 1 h to facilitate cDNA binding. The KAN/probe/BSA/cDNA/AuNPs/1N-GY/GCE ECL sensor was successfully fabricated by dropwise addition of KAN and incubation at 37 °C (1 h). The ECL signals of prepared electrodes were measured at 0.75 mM TPrA with the photomultiplier tube operated at 600 V and a magnification of 3x.
3. Results and Discussion
3.1. ECL Biosensor Fabrication and Luminescence Mechanism
Figure 1 shows the ECL biosensor construction and KAN detection theory. As shown in Figure 1, by ball milling pyridine with calcium carbide, CaC2, the carbon in the acetylene bond of CaC2 undergoes electrophilic substitution with the six-membered ring, forming a benzene ring structure linked by acetylene bonds, ultimately yielding 1N-GY material doped with a single nitrogen atom. Then, a luminescent capture probe specifically recognizing KAN was constructed: mSiO2 and Nafion were subjected to ultrasonic treatment for several minutes, then stirred and mixed with Ru(bpy)32+ in an ice-water bath. The resulting product was centrifuged and washed. The composite was reacted with Apt-DNA in an ice-water bath, followed by three rounds of centrifugation and washing, ultimately yielding the mSiO2@Nafion@Ru(bpy)32+-Apt DNA luminescent probe. Ru(bpy)32+ in mSiO2@Nafion@Ru(bpy)32+-Apt DNA acts as an ECL luminescent material and produces a high-intensity electrochemical luminescence signal in the presence of the co-reagent TPrA. A biosensor was constructed using the 1N-GY prepared above and luminescent probe of mSiO2@Nafion@Ru(bpy)32+-Apt DNA. 1N-GY was modified onto the GCE surface, followed by the modification of AuNPs. After cDNA addition and 4 °C incubation, PBS rinsing preceded BSA blocking of nonspecific sites at ambient temperature. BSA is commonly employed to block non-specific binding sites during biosensor construction. It can physically adsorb and cover non-specific sites without interfering with the recognition of the aptamer and its target. Since BSA is a protein, it is prone to inactivation at high temperatures, so the reaction temperature must be carefully controlled. Finally, the probe (mSiO2@Nafion@Ru(bpy)32+-Apt DNA) was modified onto its surface and incubated at 37 °C to bind and fix it to the cDNA. When KAN is present, the binding affinity of Apt DNA to KAN is higher than that to cDNA, resulting in competitive displacement. With rising KAN concentration, the ECL signal was weakened by increasing the number of probes separated from the electrode surface.
Figure 1.
Schematic diagram of the assembly process of the ECL biosensor based on 1N-GY for KAN detection. Inset is a schematic diagram of the preparation process of 1N-GY and mSiO2@Nafion@Ru(bpy)32+-Apt DNA probe.
The application of a potential is key to achieving luminescence. By applying a potential within the range of 0.2 V to 1.25 V. When the potential reaches 1.1 V, Ru(bpy)32+ is oxidized to Ru(bpy)33+, the Ru(bpy)33+ reacts with the TPrA* radical to form the excited state Ru(bpy)32+*. Due to the instability of the excited state, photons are emitted when it returns to the ground state, thereby generating the ECL signal. The ECL mechanism is illustrated in Figure 2 and Equations (1)–(5).
mSiO2@Nafion@Ru(bpy)32+ − e− → mSiO2@Nafion@Ru(bpy)33+
TPrA − e− → TPrA+*
TPrA+* → TPrA* + H+
mSiO2@Nafion@Ru(bpy)33+ + TPrA* → mSiO2@Nafion@Ru(bpy)32+* + TPrA
mSiO2@Nafion@Ru(bpy)32+* → mSiO2@Nafion@Ru(bpy)32+ + hv
Figure 2.
ECL luminescence mechanism of proposed mSiO2@Nafion@Ru(bpy)32+ probe.
3.2. Characterization of 1N-GY
As shown in Figure 3A, 1N-GY has a two-dimensional planar network structure with an alkene bond inserted between two benzene rings (one carbon atom in the benzene ring replaced by a nitrogen atom) in a GY structure. The microstructure of 1N-GY with continuous, compact thin film lamellae is shown in Figure 3B, TEM and SEM image in Figure 3C, which is similar to the structure in the literature [34]. Further analysis of the chemical bonds on the surface of 1N-GY using XPS. In Figure 3D, the characteristic peaks of the elements oxygen (O), carbon (C), and nitrogen (N) can be observed in the complete spectrum of XPS. The observed characteristic peaks of O1s are due to the adsorption of oxygen from the air during the synthesis of 1N-GY. As shown in Figure 3E, the presence of high characteristic peaks as C-C sp2 in the C1s diagram indicates that 1N-GY is a sp2 hybridized carbon as the main backbone, and its structure shows a six-membered ring-conjugated carbon network, which is a planar conjugation property of carbon elements that facilitates electronic conduction. The presence of only the Pyrazine-N peak with a binding energy of 399.3 eV can be detected in Figure 3F, suggesting that the nitrogen atoms are mainly embedded in the six-membered ring structure and not in other forms such as pyridine, pyrrole, or graphitic nitrogen.
Figure 3.
(A) Diagrams for the structure of pristine 1N-GY. (B) TEM images of 1N-GY. (C) SEM images of 1N-GY. (D) XPS survey spectrum of 1N-GY. XPS analysis of C 1s of 1N-GY (E). XPS analysis of N 1s of 1N-GY (F).
Meanwhile, we performed dynamic light scattering (DLS) analysis to determine the particle size of 1N-GY. As shown in Figure 4A, the particle size of 1N-GY is approximately 431 nm. Finally, by studying the absorption spectrum of 1N-GY, the band gap was calculated to be 0.71 eV based on the Tauc curve diagram of 1N-GY. The narrow band gap of 1N-GY confers it with metallic properties (Figure 4B). In contrast, the band gap of GDY is 1.33 eV, making it an intrinsic semiconductor material [27]. Nitrogen doping enhances the material’s conductivity.
Figure 4.
(A) DLS measurement of 1N-GY. (B) UV-Vis absorption spectrum of 1N-GY, and the inset is the Tauc plot curve corresponding to 1N-GY.
3.3. Characterization of mSiO2
mSiO2 nanoparticles constitute a vital component of luminescent probes. Their microstructures were characterized using SEM at various magnification levels. The mSiO2 nanoparticles exhibit a spherical morphology (Figure 5A,B). Corresponding EDS mapping images (Figure S1A,B) reveal that these nanoparticles are primarily composed of two elements, silicon and oxygen, with a relatively uniform elemental distribution.
Figure 5.
SEM images of mSiO2 (A,B) under different magnifications.
3.4. Characterization of the ECL Biosensors
The different stages of the modified electrodes were characterized by CV in Figure 6A. Can be found that the peak current intensity of the bare electrode (curve a) is less than that of the 1N-GY/GCE (curve b), which may be due to the fact that 1N-GY facilitates the fast transfer of electrons and thus improves the conductivity. The electrode surface is modified with gold nanoparticles, which also have high conductivity and low resistance, which makes them (curve c) generate higher redox peak currents than 1N-GY/GCE (curve b), indicating that AuNPs/1N-GY has a good conductive ability. The cDNA was added, which blocked the conduction of electrons, leading to the peak current dropping slightly (curve d). Added Bovine serum albumin (BSA) to close unbound sites, which further blocked the current transfer, as BSA is a large molecule of protein that causes the peak current to drop (curve e). After adding the mSiO2@Nafion@Ru(bpy)32+-Apt DNA probe (curve f), because the materials that make up the probe are non-conductive, the current dropped further. When KAN appeared (curve g), the probe specifically identified KAN, resulting in partial detachment of the capture probe, and the peak current increased slightly.
Figure 6.
(A) CV curves in the 0.1 M KCl containing 5 mM [Fe(CN)6]3− solution and (B) EIS curves in the 10 mM [Fe(CN)6]3−/4− (1:1) containing 0.1 M KCl: (a) bare GCE, (b) 1N-GY/GCE, (c) Au/1N-GY/GCE, (d) cDNA/Au/1N-GY/GCE, (e) BSA/cDNA/Au/1N-GY/GCE, (f) mSiO2@Nafion@Ru(bpy)32+-Apt DNA/BSA/cDNA/Au/1N-GY/GCE, (g) KAN/mSiO2@Nafion@Ru(bpy)32+-Apt DNA/BSA/cDNA/Au/1N-GY/GCE. (C) The ECL-time and ECL-potential (D) curves of: (a) bare GCE, (b) 1N-GY/GCE, (c) Au/1N-GY/GCE, (d) cDNA/Au/1N-GY/GCE, (e) BSA/cDNA/Au/1N-GY/GCE, (f) mSiO2@Nafion@Ru(bpy)32+-Apt DNA/BSA/cDNA/Au/1N-GY/GCE, (g) KAN/mSiO2@Nafion@ Ru(bpy)32+-Apt DNA/BSA/cDNA/Au/1N-GY/GCE in 0.75 mM TPrA (pH 7.4).
The electrochemical impedance spectra (EIS) of the modified electrodes for different situations are characterized in Figure 6B. As shown in curve a of Figure 6B, the resistance of the bare electrode is relatively low (curve a, Rct = 216 Ω). After gradually modifying 1N-GY and AuNPs, Rct gradually decreases, primarily due to the excellent conductivity of 1N-GY and AuNPs (curve b, Rct = 26 Ω; curve c, Rct = 11 Ω). Following the gradual incubation of cDNA, BSA, and probes, Rct gradually increases, which is attributed to the lower conductivity of DNA and probes, and BSA being a large molecular protein (curve d, Rct = 34 Ω; curve e, Rct = 525 Ω; curve f, Rct = 1287 Ω). After introducing KAN, KAN successfully binds to the probe, causing some probes to detach, resulting in a decrease in Rct (curve g, Rct = 1129 Ω). The EIS figures are consistent with the CV results, which indicate that the construction process of the ECL biosensor is viable.
Moreover, Figure 6C shows ECL curves of modified electrodes under various conditions. When the electrode surface was modified with AuNPs/1N-GY (curve c), ECL intensity was the same as that of the bare electrode. There was also no significant change in ECL intensity when cDNA (curve d) and BSA (curve e) were added dropwise to the electrode surface, suggesting that AuNPs/1N-GY, cDNA, and BSA do not have ECL signals. After dropping the mSiO2@Nafion@Ru(bpy)32+-Apt DNA probe (curve f) onto the surface of the electrode, the appearance of the ECL signal indicates that the mSiO2@Nafion@Ru(bpy)32+-Apt DNA produces ECL intensity. When joining KAN (curve g), the ECL signal decreased from 13,000 to 7000. Figure 6D displays the potential curve for mSiO2@Nafion@Ru(bpy)32+, with its signal peak occurring at +1.1 V. The successful fabrication of ECL biosensors was further confirmed.
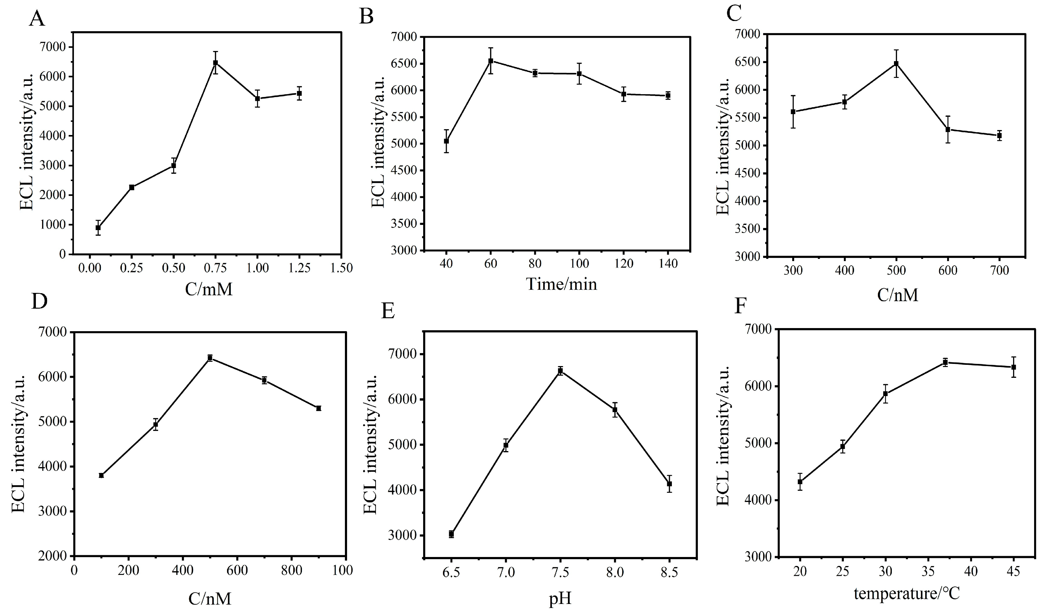
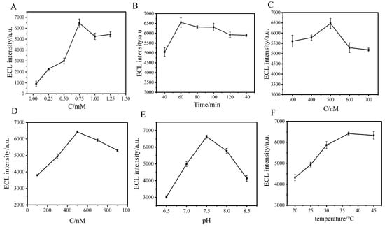
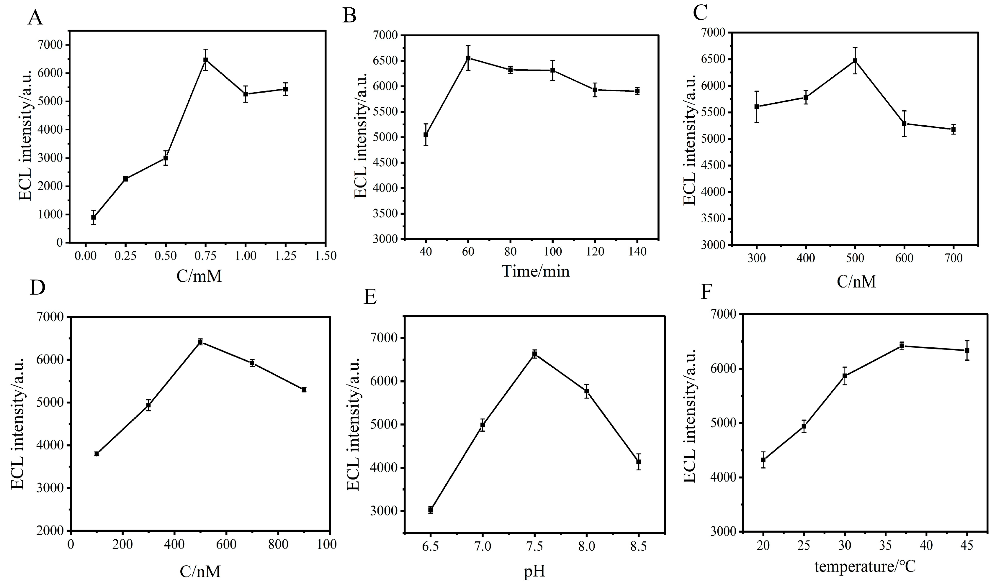
3.5. Optimization of Experimental Parameters
The experimental conditions, such as TPrA concentration, incubation time, aptamer concentration, and scanning rate, were optimized to improve the ECL biosensor that has been constructed. mSiO2@Nafion@Ru(bpy)32+-Apt DNA will be catalyzed by TPrA. We optimize the ECL biosensor by adjusting the TPrA concentration in Figure 7A. It was found that as the concentration of TPrA increased to reach 0.75 mM, ECL intensity reached a peak followed by a slight decrease, which may be due to the fact that the catalytic effect of TPrA on the capture probe reached its maximum. The incubation time of KAN and mSiO2@Nafion@Ru(bpy)32+-Apt DNA probes also had great effects on the ECL intensity, and Figure 7B demonstrates progressive ECL enhancement with incubation time, reaching saturation at 60 min without subsequent signal amplification. The reason may be attributed to the fact that all aptamers bound to the target within the 60 min incubation period, thereby reaching saturation. The aptamer concentration affects the detection capability of the ECL sensor (Figure 7C), by incubating with aptamers at varying concentrations (300 nM to 700 nM) to evaluate the sensor’s response to KAN. The results were as follows: when aptamer concentrations ranged from 300 nM to 500 nM, the ECL intensity increased with rising aptamer concentration. At 500 nM, the ECL reached its maximum value, after which the ECL intensity began to decline. This is because, at excessively low concentrations, insufficient binding between the aptamer and target leads to a low ECL signal. At excessively high concentrations, the ECL signal also slightly decreases, potentially due to excessive aptamer accumulation on the electrode surface. Therefore, the optimal aptamer concentration is 500 nM. The luminescent probe mSiO2@Nafion@Ru(bpy)32+-Apt DNA was introduced by binding cDNA to Apt DNA incubated on the electrode surface. The combined between cDNA and Apt DNA significantly influences the ECL signal, necessitating optimization of the cDNA concentration. As shown in Figure 7D, increasing the cDNA concentration from 100 nM to 500 nM progressively enhanced the ECL signal. However, when the concentration was raised to 700 nM, the ECL intensity slightly decreased. This indicates that 500 nM cDNA saturated the Apt-DNA hybridization efficiency on the electrode surface. The slight decline at higher concentrations may result from excessive cDNA adsorption on the electrode surface. Therefore, the optimal incubation concentration for cDNA is 500 nM. The pH of the reaction solution affects the stability of the aptamer. Therefore, the pH of the reaction solution is optimized. As shown in Figure 7E, the ECL signal is strongest at pH 7.5. This is primarily because excessively acidic or alkaline conditions impair the binding between cDNA and aptamer DNA. The incubation temperature of cDNA with mSiO2@Nafion@Ru(bpy)32+-Apt DNA may also influence binding efficiency. Consequently, incubation temperature was optimized (Figure 7F). As the temperature increased, the ECL signal peaked at 37 °C. At lower temperatures, molecular motion slows, resulting in poorer binding efficiency. Conversely, excessively high temperatures readily inactivate BSA within the ECL biosensor. Consequently, the optimal incubation temperature is established as 37 °C.
Figure 7.
Parameter optimization of proposed ECL sensor using 1N-GY: (A) TPrA concentration; (B) incubation time; (C) aptamer concentration; (D) cDNA concentration; (E) reaction solution pH; (F) incubation temperature for cDNA and mSiO2@Nafion@Ru(bpy)32+-Apt DNA.
3.6. A Study of the Electrochemical Behavior on Electrode Surfaces
Under optimal conditions, the effect of scan rate on the modified electrode was investigated via cyclic voltammetry (Figure S2A,B). In 0.01 M PBS solution, the CV signals of the KAN/mSiO2@Nafion@Ru(bpy)32+-Apt DNA/BSA/cDNA/Au/1N-GY/GCE modified electrode were examined at different scan rates (100–300 mV/s). As shown in Figure S2B, the redox peak current exhibited a good linear relationship with the square root of the scan rate, indicating that electron transfer on this modified electrode is diffusion-controlled. The 100 mV/s is selected for further experiment.
3.7. Performance Analysis of ECL Biosensor
Under optimal conditions, to evaluate ECL sensor detection performance, different concentrations of KAN standards were measured to determine their detection performance. As shown in Figure 8A, within the concentration range of 10−6 to 10−12 M, the ECL signal gradually rose as the KAN concentration decreased. With the standard concentration of KAN added, an increase in the number of luminescent probes detached from the sensing interface leads to a decrease in ECL intensity. Therefore, at concentrations ranging from 10−6 to 10−12 M, the ECL signal exhibited a linear response to KAN concentration, as shown in Figure 8B. The linear equation is IECL =9211.457 − 1040.463 LgKAN (R2 = 0.9988) and limit of detection (LOD) of 1.08 pM. (LOD = 3σ/k, σ: relative standard deviation of blank samples; k: slope of the standard curve). Compared with previous reports in Table S1, the LOD for KAN detection by colorimetry was 9 pM, and the LOD for KAN detection by fluorescence was 22.6 nM. The low LOD and wider linear range of the ECL biosensor are attributed to the excellent electrical conductivity, expansive surface area, and favorable biocompatibility of 1N-GY [34].
Figure 8.
(A) ECL corresponding to different KAN concentrations: (a)–(g) 10−6–10−12 moL/L, (h) 0 moL/L. (B) Linear diagram of KAN concentration and ECL intensity.
3.8. Stability, Specificity, and Reproducibility Analysis of ECL Biosensor
Stability, specificity, and reproducibility are key factors for ECL performance. According to the best conditions, we evaluate the stability of ECL sensors modified with different KAN concentrations. As shown in Figure 9A, we performed eight ECL scans: after 8 consecutive scans in a 0.75 mM TPrA solution, the ECL intensity of the modified electrode incubated with KAN at a concentration of 1 × 10−6 was approximately 6000 a.u. every cycle, and the ECL intensity of the modified electrode incubated with KAN at a concentration of 1 × 10−10 was approximately 1000 a.u. every cycle. The relative standard deviation (RSD) of the ECL signals from the modified electrode containing 1 × 10−6 M KAN was 1.47%, and the RSD of the ECL signal with 1 × 10−10 M KAN in the modified electrode was only 0.75%, this means that the ECL biosensor has great stability.
Figure 9.
(A) Stability of ECL biosensors based on 1N-GY. ECL biosensors were prepared under optimal conditions and incubated with different concentrations of KAN: (a) 10−6 M, (b) 10−10 M, and (c) 0 M; (B) Specificity of ECL biosensors. Under optimal conditions, biosensors were prepared and incubated with different antibiotics at a concentration of 10−6 M: CHL, CAP, TET, STR, and KAN; (C) Repeatability of ECL biosensors. Five ECL biosensors were incubated with KAN at a concentration of 10−6 M under optimal conditions.
To test the specificity of the constructed ECL biosensors, the modified electrodes were incubated with a variety of similar antibiotics, such as chlortetracycline (CHL), chloramphenicol (CAP), tetracycline (TET), and streptomycin (STR), respectively, under optimal conditions. ECL intensity of the electrode without KAN modification was recorded as a blank value, as I0, and the ECL intensity after modification with different antibiotics was recorded as I. The value of the change in ECL was calculated. The ECL signal decreased significantly after incubation of the modified electrode with KAN, as shown in Figure 9B, whereas that of biosensors incubated with other antibiotics remained stable, suggesting that the constructed biosensor has great specificity for KAN detection.
To verify the sensor’s repeatability, five electrodes with a KAN concentration of 1 × 10−6 were prepared under the same experimental conditions. In Figure 9C, the relative standard deviation (RSD) of the ECL signal was merely 1.78%, indicating that this ECL sensor exhibits excellent repeatability. It demonstrates that the constructed ECL biosensor is viable.
3.9. Real Sample Analysis
To evaluate the ability of the constructed ECL sensor to detect KAN in actual samples, pure milk and honey samples from a supermarket in Hainan were selected as actual samples for spiking and recovery. The milk and honey samples were prepared using the sample processing procedure described in the literature [35,36]. The results of the spiked recovery rate are shown in Table 1; the recoveries of the prepared ECL sensors ranged from 98% to 111.79% with RSD between 2.03% to 7.58%. The calculated recovery results indicate that the aptasensor has good KAN detection capability in processed milk and honey matrices. The efficiency of the adopted sample processing procedure remains to be confirmed in future work with various brands of milk and honey to confirm quantitative recovery of kanamycin from these products.
Table 1.
Spiked recovery experiments of the proposed ECL sensor in honey and milk samples.
4. Conclusions
A novel ECL aptamer biosensor was developed to sensitively detect KAN residues in honey and milk. 1N-GY nanomaterial was synthesized via a high-energy ball milling process and applied as the ECL platform. Prepared nanomaterial significantly enhanced sensor conductivity and sensitivity by facilitating increased loading of luminescent capture probes. Meanwhile, the functionalized detection probe, mSiO2@Nafion@Ru(bpy)32+-Apt DNA, demonstrated high specificity and sensitivity toward KAN, exhibiting a concentration-dependent ECL signal enhancement inversely proportional to target analyte levels. Through systematic optimization of experimental parameters, the ECL biosensor achieved an extended linear detection range and a low detection limit. Validation studies confirmed exceptional stability and selectivity for KAN detection in complex food samples (milk and honey), establishing a robust analytical platform for monitoring antibiotic residues in food products. Notwithstanding these advancements, the reliance on the toxic co-reactant TPrA presents notable limitations. Subsequent research must prioritize the development of environmentally benign luminescent materials and co-reactant systems to mitigate biological hazards and reduce ecological risks.
Supplementary Materials
The following supporting information can be downloaded at: https://www.mdpi.com/article/10.3390/chemosensors14030076/s1, Figure. S1. The corresponding EDS elemental mapping images of Si and O (A, B), Figure S2. (A) CV curves of KAN/mSiO2@Nafion@Ru(bpy)32+-Apt DNA/BSA/cDNA/Au/1N-GY/GCE at different scan rates (100-300 mV s−1); (B) A linear relationship between the square root of the scan rate and the current density. Table S1. Comparison with other detection methods of KAN. In Table S1, the detection range and LOD of this work are compared with those of FRET [37], colorimetric [38], photoelectrochemical [39,40], fluorescence [41].
Author Contributions
Y.L.: writing the original draft, investigation, and visualization. T.H. and Y.C.: investigation, validation. H.C.: conceptualization, project administration, resources, funding acquisition, supervision. D.Y. and G.X.: methodology, review, and editing. All authors have read and agreed to the published version of the manuscript.
Funding
This work was funded by the National Natural Science Foundation of China (grant numbers 22364014, 22204096), Key Laboratory of Tropical Fruits and Vegetables Quality and Safety for State Market Regulation (No. KF-2023001).
Institutional Review Board Statement
Not applicable.
Informed Consent Statement
Not applicable.
Data Availability Statement
The original contributions presented in this study are included in the article/Supplementary Materials. Further inquiries can be directed to the corresponding authors.
Conflicts of Interest
The authors declare no conflicts of interest.
References
- Li, H.; Cai, Q.; Bai, M.; Jie, G. Novel Dual-Potential Color-Resolved Luminophore Ru(bpy)32+-Doped CdSe QDs for Bipolar Electrode Electrochemiluminescence Biosensing. Anal. Chem. 2024, 97, 953–961. [Google Scholar] [CrossRef] [PubMed]
- Wang, X.; Zhang, F.; Xia, J.; Yan, Z.; Wang, Z. A Novel Self-Enhanced ECL-RET Aptasensor Based on the Bimetallic MOFs with Homogeneous Catalytic Sites for Kanamycin Detection. Anal. Chim. Acta 2024, 1304, 342524. [Google Scholar] [CrossRef]
- Cheng, S.; Liu, H.; Zhang, H.; Chu, G.; Guo, Y.; Sun, X. Ultrasensitive Electrochemiluminescence Aptasensor for Kanamycin Detection Based on Silver Nanoparticle-Catalyzed Chemiluminescent Reaction Between Luminol and Hydrogen Peroxide. Sens. Actuators B 2020, 304, 127367. [Google Scholar] [CrossRef]
- Zhong, C.; Zhang, C.; Yang, Y.; Liang, X.; Pang, Q.; Zhou, L.; Chen, P. Synergistic Effect of Photoelectrochemical Aptasensor Based on Staggered Gap ZnO/BiFeO3 Heterojunction Coupled with cDNA-CdS Sensitizer Enabling Ultrasensitive Assay of Kanamycin. Food Chem. 2024, 437, 137877. [Google Scholar] [CrossRef]
- Ma, L.; Sun, N.; Tu, C.; Zhang, Q.; Diao, A. Design of an Aptamer—Based Fluorescence Displacement Biosensor for Selective and Sensitive Detection of Kanamycin in Aqueous Samples. RSC Adv. 2017, 7, 38512–38518. [Google Scholar] [CrossRef]
- Zhang, X.; Wang, J.; Wu, Q.; Li, L.; Yang, H. Determination of Kanamycin by High Performance Liquid Chromatography. Molecules 2019, 24, 1902. [Google Scholar] [CrossRef] [PubMed]
- Wang, X.; Xing, G.; Li, N.; Xie, Y.; Lin, L. An Integrated Microfluidic Device for the Simultaneous Detection of Multiple Antibiotics. Chin. Chem. Lett. 2023, 34, 108110. [Google Scholar] [CrossRef]
- Cija-Arenas, N.; Kirchner, E.M.; Hirsch, T.; Fernández-Romero, J.M. Development of an Aptamer-Based SPR-Biosensor for the Determination of Kanamycin Residues in Foods. Anal. Chim. Acta 2021, 1169, 338631. [Google Scholar] [CrossRef]
- Li, Y.; Si, Q.; Liu, C.; Huang, Z.; Chen, Q.; Jiao, T.; Chen, X.; Chen, Q.; Wei, J. Construction of a Self-Sufficient DNA Circuit for Amplified Detection of Kanamycin. Food Chem. 2023, 418, 136048. [Google Scholar] [CrossRef]
- Xu, S.; Li, L.; Lin, D.; Yang, L.; Wang, Z.; Jiang, C. Rare-Earth Ions Coordination Enhanced Ratiometric Fluorescent Sensing Platform for Quantitative Visual Analysis of Antibiotic Residues in Real Samples. Chin. Chem. Lett. 2023, 34, 107997. [Google Scholar] [CrossRef]
- Li, J.; Liu, Y.; Lin, H.; Chen, Y.; Chen, L. Label-Free Exonuclease I-assisted Signal Amplification Colorimetric Sensor for Highly Sensitive Detection of Kanamycin. Food Chem. 2021, 347, 128988. [Google Scholar] [CrossRef] [PubMed]
- Chen, F.; Luo, L.; Liu, J.; Xing, Y.; Yang, X.; Xue, Y.; Ouyang, X. Ultralow Potential Cathodic Electrochemiluminescence Aptasensor for Detection of Kanamycin Using Copper Nanoribbons as Coreaction Accelerator. ACS Sens. 2024, 9, 5906–5914. [Google Scholar] [CrossRef]
- Liu, X.; Cheng, J.; Mao, C.; Wu, M.; Chen, J.; Jin, B. Highly Sensitive Electrochemiluminescence Aptasensor Based on a g-C3N4-COOH/ZnSe Nanocomposite for Kanamycin Detection. Microchem. J. 2022, 172, 106928. [Google Scholar] [CrossRef]
- Long, Y.; Liu, J.; Wu, Y.; Fu, L.; Bai, L. A Novel “on-off-on” Electrochemiluminescence Aptasensor Based on Resonance Energy Transfer as Signal Amplification Strategy for Ultrasensitive Detection of Sulfadiazine in Different Samples. Food Chem. 2024, 456, 140025. [Google Scholar] [CrossRef]
- Zhao, Y.; Wang, R.; Wang, Y.; Jie, G.; Zhou, H. Dual-Channel Molecularly Imprinted Sensor Based on Dual-Potential Electrochemiluminescence of Zn-MOFs for Double Detection of Trace Chloramphenicol. Food Chem. 2023, 413, 135627. [Google Scholar] [CrossRef] [PubMed]
- Prabhu, S.; Liu, G. Cutting-Edge Sensor Technologies for Exosome Detection: Reviewing Role of Antibodies and Aptamers. Biosensors 2025, 15, 511. [Google Scholar] [CrossRef] [PubMed]
- Puumala, L.S.; Grist, S.M.; Morales, J.M.; Bickford, J.R.; Chrostowski, L.; Shekhar, S.; Cheung, K.C. Biofunctionalization of Multiplexed Silicon Photonic Biosensors. Biosensors 2023, 13, 53. [Google Scholar] [CrossRef]
- Li, H.; Cai, Q.; Xue, Y.; Jie, G. HOF-101-Based Dual-Mode Biosensor for Photoelectrochemical/Electrochemiluminescence Detection and Imaging of Oxytetracycline. Biosens. Bioelectron. 2024, 245, 115835. [Google Scholar] [CrossRef]
- Majdinasab, M.; Hayat, A.; Marty, J.L. Aptamer-Based Assays and Aptasensors for Detection of Pathogenic Bacteria in Food Samples. Trends Anal. Chem. 2018, 107, 60–77. [Google Scholar] [CrossRef]
- Zhang, Y.; Yan, L.; Tian, L.; Guo, Q.; Sang, M.; Dou, S.; Li, F.; Yang, Q.; Sun, X.; Guo, Y.; et al. Electrochemiluminescent Biosensor Based on AuNPs@PEI/MWCNTs and OMC@Ru(bpy)32+ for the Detection of Vibrio Parahaemolyticus. Electrochim. Acta 2024, 480, 143932. [Google Scholar] [CrossRef]
- Zhang, R.; Zhong, X.; Chen, A.-Y.; Liu, J.-L.; Li, S.-K.; Chai, Y.-Q.; Zhuo, Y.; Yuan, R. A Novel Ru(bpy)2(cpaphen)2+/TPrA/TiO2 Ternary ECL System: An Efficient Platform for the Detection of Glutathione with Mn2+ as Substitute Target. Anal. Chem. 2019, 91, 3681–3686. [Google Scholar] [CrossRef]
- Xiong, X.; Zhang, P.; Lu, Y.; He, S.; Zhang, Y.; Jia, N. A Dual-Signal Electrochemiluminescence Immunosensor Based on Ru(bpy)32+@3D-Foam Graphene and SnS2 Dots for Sensitive Detection of Gastric Cancer Biomarker CA 72-4. Talanta 2021, 221, 121644. [Google Scholar] [CrossRef]
- Liu, Q.; Bai, W.; Guo, Z.; Zheng, X. Enhanced Electrochemiluminescence of Ru(bpy)32+-Doped Silica Nanoparticles by Chitosan/Nafion Shell@Carbon Nanotube Core-Modified Electrode. Luminescence 2021, 36, 642–650. [Google Scholar] [CrossRef] [PubMed]
- Cao, H.; Hu, X.; Hu, C.; Zhang, Y.; Jia, N. A Novel Solid-State Electrochemiluminescence Sensor for Melamine with Ru(bpy)32+/Mesoporous Silica Nanospheres/Nafion Composite Modified Electrode. Biosens. Bioelectron. 2013, 41, 911–915. [Google Scholar] [CrossRef]
- Zhang, Y.; Xie, Q.; Xia, Z.; Gui, G.; Deng, F. Graphdiyne Oxides as New Modifier for the Simultaneous Electrochemical Detection of Phenolic Compounds. J. Electroanal. Chem. 2020, 863, 114058. [Google Scholar] [CrossRef]
- Liu, J.; Shen, Y.; Wang, G.; Xiang, Y.; Guo, Y.; Sun, X.; Liu, Y. Highly-Sensitive Electrochemiluminescence Biosensor for Detection of Inosine Monophosphate in Meat Based on Graphdiyne/AuNPs/Luminol Nanocomposites. Food Sci. Hum. Wellness 2023, 12, 1149–1156. [Google Scholar] [CrossRef]
- Gao, N.; Zeng, H.; Wang, X.; Zhang, Y.; Zhang, S.; Cui, R.; Zhang, M.; Mao, L. Graphdiyne: A New Carbon Allotrope for Electrochemiluminescence. Angew. Chem. Int. Ed. 2022, 61, e202204485. [Google Scholar] [CrossRef]
- Xie, C.; Wang, N.; Li, X.; Xu, G.; Huang, C. Research on the Preparation of Graphdiyne and Its Derivatives. Chem. Eur. J. 2020, 26, 569–583. [Google Scholar] [CrossRef]
- Zhao, N.; Li, J.; Chang, X.; Zheng, W.; Zhang, J.; Liu, X. Synthesis and Application of Graphdiyne-Based Materials for Advanced Chemical Sensors. Coord. Chem. Rev. 2024, 521, 216171. [Google Scholar] [CrossRef]
- Zou, L.; Zhu, Y.; Cen, W.; Jiang, X.; Chu, W. N-Doping in Graphdiyne on Embedding of Metals and Its Effect in Catalysis. Appl. Surf. Sci. 2021, 557, 149815. [Google Scholar] [CrossRef]
- Wang, D.; Liang, Y.; Su, Y.; Shang, Q.; Zhang, C. Sensitivity Enhancement of Cloth-Based Closed Bipolar Electrochemiluminescence Glucose Sensor Via Electrode Decoration with Chitosan/Multi-Walled Carbon Nanotubes/Graphene Quantum Dots-Gold Nanoparticles. Biosens. Bioelectron. 2019, 130, 55–64. [Google Scholar] [CrossRef] [PubMed]
- Qiao, X.; Han, R.; Xu, X.; Lv, M.; Hou, Y.; Luo, X. A Robust Nonfouling Electrochemical Biosensor with Both Filtering and Antifouling Strategies for Cortisol Detection in Human Blood. Chin. Chem. Lett. 2025, 37, 111598. [Google Scholar] [CrossRef]
- Chen, J.; Li, Z.; Ge, J.; Yang, R.; Zhang, L.; Qu, L.-B.; Wang, H.-Q.; Zhang, L. An Aptamer-Based Signal-on Bio-Assay for Sensitive and Selective Detection of Kanamycin A by Using Gold Nanoparticles. Talanta 2015, 139, 226–232. [Google Scholar] [CrossRef] [PubMed]
- Niu, K.; Gao, J.; Wu, L.; Lu, X.; Chen, J. Nitrogen-Doped Graphdiyne as a Robust Electrochemical Biosensing Platform for Ultrasensitive Detection of Environmental Pollutants. Anal. Chem. 2021, 93, 8656–8662. [Google Scholar] [CrossRef]
- Li, F.; Guo, Y.; Wang, X.; Sun, X. Multiplexed Aptasensor Based on Metal Ions Labels for Simultaneous Detection of Multiple Antibiotic Residues in Milk. Biosens. Bioelectron. 2018, 115, 7–13. [Google Scholar] [CrossRef]
- Ye, T.; Xu, Y.; Chen, H.; Yuan, M.; Cao, H.; Hao, L.; Wu, X.; Yin, F.; Xu, F. A Trivalent Aptasensor by Using DNA Tetrahedron as Scaffold for Label-Free Determination of Antibiotics. Biosens. Bioelectron. 2024, 251, 116127. [Google Scholar] [CrossRef]
- Deng, J.; Liu, Y.; Lin, X.; Lyu, Y.; Qian, P.; Wang, S. A Ratiometric Fluorescent Biosensor Based on Cascaded Amplification Strategy for Ultrasensitive Detection of Kanamycin. Sens. Actuators B 2018, 273, 1495–1500. [Google Scholar] [CrossRef]
- Zhao, T.; Chen, Q.; Wen, Y.; Bian, X.; Tao, Q.; Liu, G.; Yan, J. A Competitive Colorimetric Aptasensor for Simple and Sensitive Detection of Kanamycin Based on Terminal Deoxynucleotidyl Transferase-Mediated Signal Amplification Strategy. Food Chem. 2022, 377, 132072. [Google Scholar] [CrossRef]
- Zhang, C.; Zhou, L.; Peng, J. Blue-Light Photoelectrochemical Aptasensor for Kanamycin Based on Synergistic Strategy by Schottky Junction and Sensitization. Sens. Actuators. B 2021, 340, 129898. [Google Scholar] [CrossRef]
- Liu, X.; Liu, P.; Tang, Y.; Yang, L.; Li, L.; Qi, Z.; Li, D.; Wong, D.K.Y. A Photoelectrochemical Aptasensor Based on a 3D Flower-Like TiO2-MoS2-Gold Nanoparticle Heterostructure for Detection of Kanamycin. Biosens. Bioelectron. 2018, 112, 193–201. [Google Scholar] [CrossRef] [PubMed]
- Wang, X.; Zhang, W.; Gao, X.; Sun, Z.; Sun, X.; Guo, Y.; Li, F.; Boboriko, N.E. Fluorescent Aptasensor Based on DNA-AgNCs Emitting in the Visible Red Wavelength Range for Detection of Kanamycin in Milk. Sens. Actuators B 2022, 360, 131665. [Google Scholar] [CrossRef]
Disclaimer/Publisher’s Note: The statements, opinions and data contained in all publications are solely those of the individual author(s) and contributor(s) and not of MDPI and/or the editor(s). MDPI and/or the editor(s) disclaim responsibility for any injury to people or property resulting from any ideas, methods, instructions or products referred to in the content. |
© 2026 by the authors. Licensee MDPI, Basel, Switzerland. This article is an open access article distributed under the terms and conditions of the Creative Commons Attribution (CC BY) license.








