Abstract
Nitrosamine impurities have provoked numerous global medicine recalls due to their possible presence during drug manufacturing or storage. Regarding formulation of nitrosamine impurities, a key risk involves reactions between nitrosating agents (nitrite) in excipients and vulnerable amines as impurities or degradants. Rapid detection across various sample types is essential to support pharmaceutical manufacturing. In this study, two methods were developed to detect nitrite in excipients and crucial secondary amines in active ingredient metformin hydrochloride at trace levels, respectively. The former method was developed based on the reaction of nitrite ions with 2,3-diaminonaphthalene to form 1-[H]-naphthotriazole (NAT), whereas the latter was based on amine tosylation. Mass spectrometric conditions were optimized using electrospray ionization in the positive mode. Multiple reaction monitoring transitions were determined at m/z 170 → 115 for NAT, and m/z 200.1 → 91 for dimethylamine (DMA) and 228.1 → 91 for diethylamine (DEA). These methods were validated using selected eight excipients or metformin hydrochloride in terms of specificity, linearity, accuracy, precision, robustness, limit of quantification (LOQ), and limit of determination according to the ICH guidelines. The results of the validation were within the acceptable criteria. Applicability of the methods was evaluated using 170 pharmaceutical samples donated by industries. The nitrite content in the excipients ranged from <LOQ to 4.74 ppm, with observed levels 1.3 to 6 times higher than the average (0.8 ppm) in the samples. The DMA levels in the metformin hydrochloride were within the limit (500 ppm) but varied significantly (0.2–209.2 ppm) among manufacturers. DEA was detected at lower levels (0.7–0.9 ppm). To mitigate the nitrosamine content in the metformin products, the excipient compositions were investigated by selecting those with low nitrite levels. As the types of impurities detected have become increasingly diverse and detection cycles have become more frequent, the requirement for preemptive safety management to relieve public anxiety is essential for regulatory aspects. Nitrite and secondary amines are crucial precursors to N-nitrosamine, and the suggesting approach could be a means to mitigate N-nitrosamine contamination.
1. Introduction
In 2018, the European Medicines Agency (EMA) announced the recall of products containing valsartan, an active pharmaceutical ingredient (API) used to treat hypertension, due to the detection of N-nitrosodimethylamine (NDMA) and N-nitrosodiethylamine (NDEA) impurities, which are genotoxic carcinogens defined by the International Council for Harmonization of Technical Requirements for Pharmaceuticals for Human Use (ICH) M7 [1,2]. Similarly, other regulatory authorities suspended products containing related sartans from the market and conducted investigations [3,4,5]. Further, NDMA was detected in ranitidine and nizatidine, histamine 2 blockers used for certain gastrointestinal disorders, and metformin (an anti-diabetic agent), in 2019 [6,7,8,9]. Owing to this, global regulatory authorities promptly addressed these findings to protect patients from the risk of ingesting mutagenic carcinogens. South Korea investigated 973 batches of domestically distributed metformin API, as well as 34 imported and 254 locally manufactured drug products. It then banned the sale of 31 products that exceeded its criteria for acceptable intake (AI) [10]. Nitrosamine impurities are potential carcinogens that can be formed during the manufacturing and storage of pharmaceuticals, requiring strict control by regulatory agencies according to ICH M7 [2], even at trace levels, because of their potential risk to humans. The main causes of NDMA or NDEA formation are the reactions of trace amounts of dimethylamine (DMA) or diethylamine (DEA) following the breakdown of solvents (e.g., dimethylformamide) in manufacturing processes, the inclusion of synthetic raw materials, or contamination of the synthetic processes with added or contaminated nitrites under acidic conditions [11]. Recently, a rapid increase in concerns over nitrosamine drug substance-related impurities (NDSRIs) has emerged in global pharmaceutical industries and regulatory authorities [12,13]. NDSRIs are nitrosamines that are structurally similar to the API itself, with the addition of a nitroso (NO) group to form NO-API. These impurities are reportedly formed by reactions between free amines derived from APIs and nitrosating agents (e.g., nitrite); therefore, the control of nitrite or amines in drugs is a significant challenge in the pharmaceutical industry [13]. Korean regulatory authorities have focused on domestically controlling NDSRIs, including N-nitroso sitagliptin amine (NTTP), N-nitrosorasagiline, N-nitrosotamsulosin, and N-nitrosoatenolol.
The U.S. Food and Drug Administration (FDA) and EMA have focused on ensuring the safety of pharmaceuticals by assessing the risks of nitrosamine impurities in APIs and drug products, providing acceptable daily intake limits, and taking necessary measures to reduce or prevent impurities within acceptable levels. The U.S. FDA issued the guidance document “Control of Nitrosamine Impurities in Human Drugs” in September 2020, providing information to mitigate the formation of nitrosamines in drugs [14]. In addition, the agency recently updated this guidance in September 2024, stating that the primary causes of NDSRI formation during manufacturing or the storage of pharmaceuticals are nitrite impurities in excipients Reflecting relevant information, the updated AIs of NDSRIs were provided [15]. Since August 2020, the EMA has provided a general information and Q&A document on nitrosamines to pharmaceutical marketing authorization holders. The document was recently revised in July 2024 to address the principles, methodologies, and scope for managing nitrosamines, including NDSRIs, in pharmaceuticals [16]. To mitigate nitrosamine formation, the aforementioned regulatory bodies recommend monitoring nitrite impurities, qualifying excipient suppliers, and evaluating the potential for nitrite in each batch. Nitrite can also be present in small amounts in various excipients, such as preservatives, dyes, and stabilizers, and can act as a precursor to nitrosamines when it reacts with secondary amines under acidic conditions [16,17,18]. In China, the China National Medical Products Administration (NMPA) also issued technical guidelines for the assessment and control of N-nitrosamine impurities in chemical drugs in 2020. These guidelines outlined potential sources of nitrosamine formation and provided control strategies, including concepts of control, acceptable limits, analytical method development, and risk management throughout the product lifecycle [19]. Furthermore, the 2020 edition of the Chinese Pharmacopoeia incorporated principles for the control of genotoxic impurities, which were consistent with ICH M7(R1) and address the definition, formation pathways, risk assessment, and approaches to setting acceptable limits for genotoxic impurities [20].
Nitrite analysis of pharmaceuticals has commonly been carried out using ion chromatography (IC) equipped with either a conductivity detector or mass spectrometry (MS) [21,22]. The IC system was known to be able to detect and quantify nitrite at low concentrations, in the range of ppm to ppb. In recent studies related to NDMA in drugs, IC-based analysis has frequently been performed to determine levels of nitrite in excipients or water for pharmaceutical use [23,24]. However, according to a domestic survey, there was a limitation that several small companies lack IC instruments to analyze nitrite. As efforts to mitigate NDSRIs, nitrite testing has been required and included in several regulatory guidelines [15,16]. Therefore, pharmaceutical industries such as excipient suppliers and drug manufacturers are recommended to prepare to control nitrite levels in their products. Since MS has become widely adopted in the industries due to nitrosamine testing, most companies maintain liquid chromatography–mass spectrometry (LC-MS/MS) or gas chromatography–mass spectrometry (GC-MS/MS). This MS system can offer the advantage of achieving ppb-level sensitivity for quantitate nitrite, coupling a simple derivatization protocol. The analytical method was selected based on convenience, sensitivity, and feasibility of using internal standards (ISTDs); MS was used for its suitability in isotope measurement, with 15N-nitrite chosen as the ISTD. To enhance analytical systems beyond IC, several studies have focused on the derivatization of nitrite [25,26,27,28,29,30,31,32]. Analytical methods utilizing derivatization reactions to develop quantitative techniques for trace amounts of nitrite present in excipients were reviewed and are summarized in Table 1A. The 1-[H]-naphthotriazole (NAT) method was selected for nitrite analysis because of its stability during derivatization, enhanced accuracy of the analytical results, sensitivity, and selectivity. Nitrite ions produce the fluorescent substance NAT after reacting with 2,3-diaminonaphthalene (DAN) under acidic conditions. Liquid chromatography (LC) is also considered more suitable than gas chromatography for determining non-volatile nitrites [33]. In the previous study that used LC-MS/MS to analyze nitrite, derivatization was conducted in the presence of sulfuric acid and potassium hydroxide [29]. The drawback of this method is that sulfuric acid is non-volatile and can lead to sulfate formation, potentially causing corrosion or contamination of the ion source or quadrupole of the mass spectrometer. In particular, sulfate can decrease analytical efficiency and cause signal suppression in electrospray ionization (ESI). Therefore, the derivatization method used in this study included hydrochloric acid for reaction initiation and sodium hydroxide for termination; acetonitrile (ACN) was employed to separate the aqueous layer. The selected derivatization process is depicted in Figure 1A.
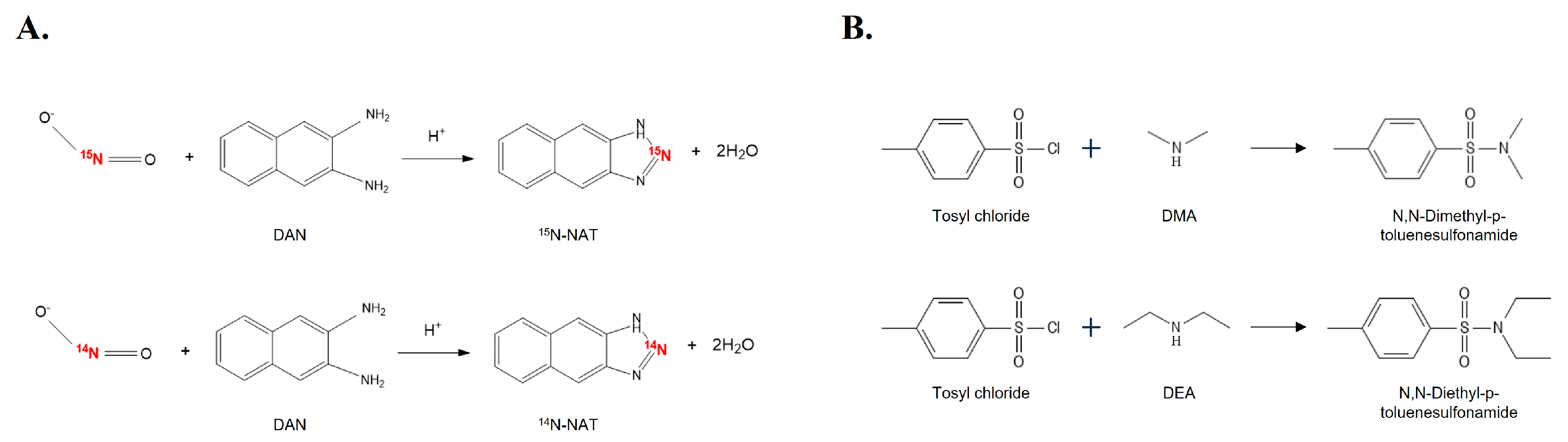
Figure 1.
Derivatization of analytes, nitrite (A) and dimethyl-/diethyl amine (B), selected in the study; A, nitrite reacts with DAN under acidic conditions to form a fluorescent compound called NAT; B, reaction between tosyl acid and amines forms toluene sulfonamide. DAN, 2,3-diaminonaphthalene; DEA, diethylamine; DMA, dimethylamine; NAT, 1-[H]-naphthotriazole.
Metformin hydrochloride is a representative drug substance that contains nitrosamine impurities such as NDMA. It is generally synthesized by reacting DMA hydrochloride and 2-cyanoguanidine, which can produce small residues of DMA in the final product [34]. Secondary amines such as DMA are known to be highly reactive with NO donors to form nitrosamines, especially in acidic environments. This reaction can also occur in basic media under specific conditions, such as photochemical activation or in the presence of catalysts [35]. The residual DMA, acting as a secondary amine, can form NDMA by reacting with nitrosating agents (e.g., nitrite) in the excipients. To evaluate the potential formation of nitrosamines in metformin APIs, an analytical method for the key secondary amines, DMA and DEA, was developed in this study. DEA was additionally selected as the precursor to the potential formation of NDEA owing to its class 1 category as defined in ICH M7 and its regulatory aspects [16]. For DMA, a metformin monograph in the European Pharmacopoeia (EP) was reviewed, in which metformin Impurity F is defined as DEA hydrochloride [36]. The derivatization methods for amines described in the EP include reagents such as dansyl chloride (Dns-Cl), (9H-Fluoren-9-yl) methyl carbonochloridate (Fmoc-Cl), and p-toluenesulfonyl chloride (tosyl chloride; TsCl) (Table 1B) [35,36,37,38,39,40,41,42]. Tosyl chloride was selected for the derivatization reaction because of its high reactivity with the nitrogen atom of amines and its stability in the tosylated amine structure (Figure 1B). To this end, an LC-MS/MS analytical method was developed based on a previous study [38] using tosyl chloride as the derivatization reagent. Although LC-FLD (fluorescence detector) is commonly used for amine analysis in gas chromatography (GC), IC, and LC, the LC-MS/MS method was selected considering its usability in the industries and to ensure method sensitivity, specificity, and accuracy. Although amines can be analyzed using IC, the use of LC-MS/MS systems, which are already widely implemented in the pharmaceutical industry for NDMA detection, offers practical advantages. By utilizing existing instrumentation, amines can be quantified with high sensitivity without the need for additional analytical equipment.
As previously described, to effectively mitigate nitrosamine formation in pharmaceuticals, concurrent control of nitrite and amine precursors is essential, as they can react under acidic conditions to form nitrosamines. It has been demonstrated that simultaneous quantification of these precursors can improve nitrosamine risk assessment [43]. Analytical methods employing IC have been reported for dual detection of nitrite and amines to mitigate nitrosamines [21,34]. In this context, the aim of this study was to establish highly sensitive and precise analytical methods to identify and quantify nitrite in excipients, which is the primary cause of NDSRIs and nitrosamine formation, as well as to identify the major secondary amines, DMA and DEA, in metformin hydrochloride. As nitrite or secondary amines remain in trace amounts in pharmaceutical excipients or APIs, an accurate and reliable method is crucial for their quantification and identification. Both analytical methods for nitrite or the two amines were developed using LC-MS/MS and validated in compliance with ICH Q2(R1) validation of analytical procedures [44]. The study findings demonstrate the usefulness of mitigating pharmaceutical impurities and provide reliable testing methods for the pharmaceutical industry.
Table 1.
Comparison of the derivatization methods in the references to determine nitrite and amines.
Table 1.
Comparison of the derivatization methods in the references to determine nitrite and amines.
| A-Nitrite | ||||
| Ref. | Sample | Derivatization reagent | Derivatization process and mechanism | Analytical methods |
| [25] | Sea water | Triethyloxoniumtetrafluoroborate | NO2−(aq) + Et3O+(aq) → EtONO(g) + Et2O NO3−(aq) + Et3O+(aq) → EtONO2(g) + Et2O | HS-GC/MS |
| [26] | Urine/plasma | Pentafluorobenzyl bromide | ![]() | GC-ECNICI-MS |
| [27] | Meat | Triethyloxoniumtetrafluoroborate | NO2−(aq) + Et3O+(aq) → EtONO(g) + Et2O NO3−(aq) + Et3O+(aq) → EtONO2(g) + Et2O | HS-GC/MS |
| [28] | Urine/fecal excretion | DAN | ![]() | LC-MS/MS |
| [29] | Excipients | DAN | ![]() | UPLC-MS |
| [30] | Food/environmental | DAN | ![]() | GC–MS LC-FLD |
| [31] | Biological sample | Pentafluorobenzyl bromide | ![]() | GC-MS |
| [32] | Sea water | DAN | ![]() | LC-FLD |
| B-Amines | ||||
| Ref. | Sample | Derivatization reagent | Derivatization process and mechanism | Analytical methods |
| [36] | Metformin | DNFB | ![]() | LC-UV |
| [37] | Metformin | DNFB | ![]() | UV |
| [35] | Metformin | 4-Nitrobenzoyl chloride | ![]() | LC-UV |
| Non-derivatization method | N.A. | IC | ||
| [38] | Wine/beer | Tosyl chloride | ![]() | LC-MS/MS |
| [39] | Beer | Tosyl chloride | ![]() | LC-MS/MS |
| [40] | Amino acid | Dansyl-Cl, o-phthalaldehyde (OPA), Fmoc-Cl, Dabsyl-Cl, Marfey’s reagent | N.A. | LC-MS/MS |
| [41] | Fruit juice/ alcoholic beverage | 1-naphthylisothiocyanate | ![]() | LC-UV |
| [42] | Water | Non-derivatization method | N.A. | UFLC-MS/MS |
DAN, 2,3-diaminonaphthalene; DEA, diethylamine; DMA, dimethylamine; DNFB, 1-Fluoro 2,4-Dinitrobenzene; GC–ECNICI–MS, gas chromatography–electron capture negative ionization mass spectrometry; GC–MS, gas chromatography–mass spectrometry; HS–GC/MS, headspace gas chromatography–mass spectrometry; IC, ion chromatography; LC–FLD, liquid chromatography–fluorescence detector; LC–MS/MS, liquid chromatography–mass spectrometry; LC–UV, liquid chromatography–ultraviolet detector; N.A., not available; NAT, 1-[H]-naphthotriazole; UFLC–MS/MS, ultra-fast liquid chromatography–tandem mass spectrometry; UPLC–MS, ultra-performance liquid chromatography–mass spectrometry; UV, ultraviolet spectrophotometry.
2. Materials and Methods
2.1. Chemicals and Reagents
Nitrite (99.8%) was purchased from Merck (Darmstadt, Germany), while Nitrite-d4 (98%, ISTD) was purchased from Cambridge Isotope Laboratories, Inc. (Tewksbury, MA, USA). DMA (100.0%) and DEA (99.59%) were purchased from Chem Service Inc. (West Chester, PA, USA). DAN was purchased from Tokyo Chemical Industry Co. Ltd. (Tokyo, Japan). ACN and water used for nitrite and amine method development were purchased from Merck (Darmstadt, Germany) and Supelco (Bellefonte, PA, USA), respectively. Formic acid (0.1%) and sodium hydroxide were purchased from Thermo Fisher Scientific (Waltham, MA, USA). Boric acid and tosyl chloride were purchased from Sigma Aldrich (Louis, MO, USA). Methanol (99.9%) was purchased from Samchun Chemicals Co., Ltd. (Seoul, Republic of Korea). For method validation, seven excipients [microcrystalline cellulose (MCC), magnesium stearate (MS), colloidal silicon dioxide (CSD), lactose monohydrate (LM), sodium stearyl fumarate (SSF), hypromellose (hydroxypropyl methylcellulose (HPMC)), and sodium carboxymethyl cellulose (CMC)] purchased from Merck (Darmstadt, Germany) were analyzed, in addition to a croscarmellose sodium (CCS) sample donated by a local drug distributor. Eight excipients and metformin hydrochloride APIs donated by domestic drug distributors were used to confirm the applicability of these methods (Table 2). The donated and purchased samples, which were within their shelf life, were used in the experiments. Amber containers were used during all the processes, including sample preparation.
Table 2.
List of samples, excipients, and metformin API, donated by 23 pharmaceutical companies.
2.2. Analytical Method for Determination of Nitrite in Excipients
2.2.1. Preparation of the Nitrite Standard Stock Solutions
To prepare the standard stock solutions, the nitrite (NaNO2) standard was accurately weighed (15 mg) into a 100 mL volumetric flask and diluted to volume with water to obtain a target concentration of 1.5 mg/L. 15N-NaNO2 was accurately weighed (15 mg) and diluted with water to obtain a target concentration of 1.5 mg/L; this solution was employed as the ISTD.
2.2.2. Preparation of a DAN Solution
DAN (15.8 mg) was accurately weighed into a 100 mL volumetric flask, dissolved in ACN, and made up to 100 mL with ACN to achieve (i) 0.02 and (ii) 0.01 mmol/L concentrations. The prepared solutions were stored at 4 °C in the dark and used within 2 weeks.
2.2.3. Optimization of DAN Derivatization
Derivatization involves the conversion of nitrite to nitrous acid (HNO2) under acidic conditions, which is unstable and decomposes into water and NO. NO reacts with the amino group (-NH2) of DAN to form NAT. HCl, a strong acid, maximizes the reaction rate, and 0.1–0.5 mol/L HCl stabilizes nitrous acid formation when nitrite reacts with DAN [45]. Therefore, HCl and NaOH were used to terminate the reaction under the same conditions. The DAN concentration and reaction time conditions were studied in the ranges of 0.02, 0.1, 0.5, 1.0, and 5.0 mmol/L, and 10, 20, 30, 40, 50, and 60 min, respectively, during the optimization stage.
2.2.4. Preparation of Nitrite Standards and Sample Solutions for Validation
For determination of method linearity, standard solutions were prepared at concentrations of 0.5, 1, 2, 5, 10, and 20 μg/L. The standard stock and internal standard solutions were added to volumetric flasks, as shown in Table S1. For MCC, MS, CSD, LM, and SSF, 1 mL DAN solution (0.02 mmol/L) was added, whereas for HPMC, CMC, and CCS, 5 mL DAN solution (0.01 mmol/L) was added into the flask, along with 4 mL of 1 mol/L HCl, and the mixture was shaken gently for 10 min. To complete the reaction, 1 mL (5 mol/L) sodium hydroxide was added to the flask with 9 mL and 5 mL ACN, respectively. Following centrifugation for 10 min at 4000 rpm, an aliquot (5 mL) of the supernatant was carefully collected and diluted to 10 mL with water. All the solutions were filtered using 0.2 μm membrane PTFE filters. The initial filtrate was discarded after each filtration, and the residual filtered solutions were used as the standard solutions for linearity.
For accuracy, three spiked sample solutions were prepared at three nitrite levels of 1, 5, and 20 μg/L for each excipient, and the 5 μg/L spiked solution was used as the solution for precision. The limit of detection (LOD) and limit of quantitation (LOQ) were calculated using standard solutions for linearity.
2.2.5. Preparation of Excipient Sample Solutions
The excipient sample (100 mg) was accurately weighed into a volumetric flask, and the ISTD solution was added (0.1 mL). For MCC, MS, CSD, LM, and SSF, 1 mL DAN solution (0.02 mmol/L) was added, whereas for HPMC, CMC, and CCS, 5 mL DAN solution (0.01 mmol/L) was added to the flask, along with 4 mL of 1 mol/L HCl, and the mixture was shaken gently for 10 min. To complete the derivative reaction, 1 mL (5 mol/L) sodium hydroxide was added to the flask with 9 and 5 mL ACN, respectively. Following centrifugation for 10 min at 4000 rpm, an aliquot (5 mL) of the supernatant was carefully collected and diluted to 10 mL with water. All the solutions were filtered using 0.2 μm membrane PTFE filters. The initial filtrate was discarded after each filtration, and the residual filtered solutions were used as the analytes.
2.2.6. Instrumental Conditions
The analytical method was developed and validated using LC (Shimadzu Nexera X2, Kyoto, Japan) coupled with MS (SCIEX QTRAP 5500, Framingham, MA, USA). Chromatographic separations were performed on a High Strength Silica (HSS) T3 column (2.1 × 100 mm, 1.8 µm; Waters, Milford, MA, USA); the column temperature was set at 40 °C and the flow rate was 0.4 mL/min. The mobile phase was composed of 0.1% formic acid in water (solvent A) and ACN (solvent B). The gradient elution was composed as follows: 0.0–4.0 min, B: 35%; 4.01–6.0 min, B: 95%; and 6.01–10.0 min, B: 35%. The acquisition times were limited to 1.5–3.5 min using a divert valve to avoid exposing the mass analyzer to excipients, and solvent collection was switched to waste mode except during the defined acquisition times. An injection volume of 2 μL was used in this study.
The QTRAP 5500 mass spectrometer was operated with an ESI source, which was prepared to the positive ion mode for examining the nitrite derivative 14N-NAT and 15N-NAT (ISTD). The ion spray voltage and temperature were adjusted to 5500 V and 500 °C, respectively. The pressures of the curtain and collision gases were set to 35 psi and medium, respectively. The multiple reaction monitoring (MRM) transitions for the quantitation ions included the following: m/z 170 → 115 (quant ion) and m/z 170 → 88.9 (qual ion) for 14N-NAT and m/z 171 → 115 for 15N-NAT. The decluttering potentials (DPs) were fixed at 146 V for 14N-NAT and 51 V for 15N-NAT. The collision energy (CE) values for the product ions of 14N-NAT, m/z 115 and 88.9, and 15N-NAT, m/z 115, were 31, 59, and 33 eV, respectively. The analytical conditions are summarized in Table S2A.
2.2.7. Selection of Excipients
Excipients were selected from drug products associated with nitrosamine contamination (e.g., sartans, sitagliptin, fluoxetine, rasagiline, duloxetine, and varenicline), and frequency of the usage in the national market place was counted (Table S3). Among them, the most commonly used eight excipients were selected: MS, MCC, CSD, HPMC, CCS, LM, SSF, and CMC.
2.2.8. Method Validation
The analytical method was validated in accordance with ICH Q2 (R1) guidelines for specificity, linearity, LOD, LOQ, precision, accuracy, and robustness. The specificity was demonstrated by comparing chromatograms of derivatized blank solutions, standard solutions, blank matrix samples, and matrix samples spiked with known concentrations of nitrite to assess the absence of interference peaks at the same retention times. The specificity and/or selectivity of the method was demonstrated by comparing chromatograms of a blank solution (50% ACN), eight blank matrix samples (MCC, MS, CSD, LM, SSF, HPMC, CMC, and CCS), standard solutions, and eight excipient samples spiked with known concentrations of 5 μg/L of nitrite to assess the absence of interference peaks at the same retention times. The linearity was assessed by analyzing six concentration levels (0.5–20 μg/L) of standard solutions for nitrite. The LOD and LOQ were calculated using the standard deviation (σ) of the y-intercept and the slope (S) of the calibration curve, using the formulas LOD = 3.3σ/S and LOQ = 10σ/S. The precision was evaluated as intra- and inter-day reproducibility using six replicates of eight different excipients spiked at 5 μg/L nitrite; the precision (intra-/inter-day) was expressed as the percentage relative standard deviation (RSD). The accuracy of the method was calculated using spiked samples at three concentrations, namely 0.5, 5, and 20 μg/L nitrite (which corresponds to 0.1, 1, and 4 µg/g, respectively) for the eight excipients. The accuracy was analyzed using the recovery values (%) and their corresponding SDs, as well as linear regression analysis to evaluate the relationship between expected and determined values [29,46]. Robustness was assessed by evaluating the impact of minor variations in analytical conditions, including column temperature (±2 °C), flow rate (±0.05 mL/min), and sample stability over 6, 12, and 24 h at room temperature.
2.2.9. System Suitability
Two microliters (2 μL) of a 5 μg/L standard solution were tested six times under the described conditions, and the RSDs of the nitrite peak areas divided by the peak area of the ISTD were confirmed to be ≤10%.
2.3. Analytical Method for the Determination of DMA and DEA in Metformin Hydrochloride
2.3.1. Preparation of DMA and DEA Standard Stock Solutions
DMA standard stock solution (10.0 mg/L) was prepared by mixing 10 μL of 10,000 ppm DMA with water up to 10 mL. DEA standard stock solution (10.0 mg/L) was prepared by diluting 1000 μL of 99.5% DEA with 99.0 mL ACN and mixing 10 μL of the dilution with water up to 10 mL.
2.3.2. Preparation of DMA and DEA Standards and Sample Solutions for Validation
Standard solutions for linearity were prepared at concentration of 5, 10, 20, 50, and 100 μg/L DMA and DEA. The DMA and DEA standard stock solutions were added to 15 mL volumetric flasks to prepare the series of concentrations for linearity. Then, 250 μL borate buffer and 500 μL tosyl chloride were added to the flasks. After mixing well, the mixtures were incubated in a shaking water bath for 2 h at 50 °C and 200 rpm. After derivatization, each solution was diluted to a final volume of 10 mL in methanol. The initial filtrate was discarded after each filtration, and the residual filtered solutions were used as the analytes.
For accuracy, three spiked sample solutions were prepared at concentrations of 5, 20, and 100 μg/L DMA and DEA for the metformin API. The 20 μg/L DMA and DEA spiked solution was used as the precision solution. The LOD and LOQ for DMA and DEA were calculated based on the σs and r2 values of the calibration curves obtained from the linearity evaluation.
2.3.3. Preparation of Metformin Sample Solutions
Metformin hydrochloride (10 mg) was accurately weighed into individual 15 mL volumetric flasks and mixed with water (0.5 mL). Then, 250 μL borate buffer was added to one flask and 500 μL tosyl chloride the other. After mixing well, each solution was incubated in a shaking water bath for 2 h at 50 °C and 200 rpm. Following derivatization, each solution was diluted to a final volume of 10 mL with methanol. All solutions were filtered using 0.2 μm nylon filters. The initial filtrate was discarded after each filtration, and the residual filtered solutions were used as the analytes.
2.3.4. Instrumental Conditions
Standard and sample solutions were analyzed by LC (OSAKA SODA Nanospace, Osaka, Japan) coupled with MS (SCIEX QTRAP 6500+, Framingham, MA, USA). The chromatographic separations were performed using a Unison UK-C18 column (2.0 × 100 mm, 3 µm; Imtakt, Kyoto, Japan); the column temperature was set to 40 °C and the flow rate was 0.3 mL/min. The mobile phase comprised 0.1% formic acid in water (solvent A) and 0.1% formic acid in ACN (solvent B). The gradient elution was set as follows: 0.0–1.0 min, B: 20%; 5.0–8.0 min, B: 90%; and 8.1–12.0 min, B: 20%. The acquisition times were limited as 4.5–6.3 min, using a divert valve to switch to the solvent waste at all other times. An injection volume of 2 μL was used in this study.
The QTRAP 6500+ mass spectrometer was operated with an ESI source, which was prepared to positive ion mode for DMA and DEA analyses. The ion spray voltage and temperature were adjusted to 5500 V and 500 °C, respectively. The pressures of the curtain and collision gases were set to 45 and 8 psi, respectively. The MRM transitions for the quantitation ions included the following: m/z 200.1 → 91 for DMA, and 228.1 → 91 for DEA. The CE and DP were fixed to 28 eV and 36 V for DMA and 23 eV and 34 V for DEA. The analytical conditions used are listed in Table S2B.
2.3.5. Method Validation
The analytical method was validated in accordance with ICH Q2 (R1) guidelines for specificity, linearity, LOD, LOQ, precision, accuracy, and robustness. The specificity was demonstrated by comparing chromatograms of derivatized blank solutions, standard solutions, blank matrix samples, and matrix samples spiked with known concentrations of DMA and DEA to assess the absence of interference peaks at the same retention times. The linearity was assessed by analyzing five concentration levels (5–100 μg/L) of standard solutions for DMA and DEA. The LOD and LOQ were calculated using the standard deviation (σ) of the y-intercept and the slope (S) of the calibration curve, using the formulas LOD = 3.3σ/S and LOQ = 10σ/S. The precision was evaluated as intra- and inter-day reproducibility using six replicates of metformin HCl samples spiked at 20 μg/L DMA and DEA; the precision (intra-/inter-day) was expressed as the %RSD. The accuracy of the method was calculated using spiked samples at three concentrations, viz. 5, 20, and 100 μg/L DMA and DEA (which corresponds to 5, 20, and 100 µg/g, respectively) for metformin hydrochloride. The accuracy was analyzed using the recovery values (%) and their corresponding SDs, as well as linear regression analysis to evaluate the relationship between the expected and determined values [29,46]. Robustness was assessed by evaluating the impact of minor variations in analytical conditions, including column temperature (±2 °C) and sample stability over 6, 12, and 24 h at room temperature.
2.3.6. System Suitability
Two microliters (2 μL) of a 20 μg/L standard solution were tested six times under the described conditions, and the RSDs of the DMA and DEA peak areas of the standard solutions were confirmed to be ≤10%.
2.4. Application of the Analytical Methods Using Marketed Products
The developed analytical methods were applied to analyze nitrite in excipients and amines in metformin distributed domestically, thereby confirming real-world applicability. Differences in the results between the excipients and manufacturing sites were compared. Nitrite and amines were determined in excipient and metformin samples (n = 170) donated by domestic pharmaceutical manufacturers (n = 23).
3. Results and Discussion
3.1. Optimization and Validation of Analytical Method for Determination of Nitrite in Excipients
3.1.1. Optimization of Derivatization Procedure
The derivatization reaction was optimized by comparing the concentration of the DAN solution and reaction time based on the nitrite peak area. The concentration of the DAN solution increased from 0.02 to 5.0 mmol/L, causing the peak area of NAT (nitrite) to increase, and it saturated at concentrations from 1.0 to 5.0 mmol/L (Figure S1A). The NAT peak was detected in the derivatized blank solution, and the lowest DAN solution concentration (0.02 mmol/L) was set to minimize its influence. For some excipients such as HPMC, CMC, and CCS, the DAN solution concentration was lowered (0.01 mmol/L) and its volume was increased to 5 mL to optimize derivatization as a second method. The reaction time was then compared from 10 to 60 min at 10 min intervals, showing no significant change in the peak area of the analyte. Based on these results, the derivatization time was set to 10 min. The concentrations of HCl for the acidic conditions and NaOH for terminating the reaction were set to produce reproducible results and minimize the influence of the NAT peak in the blank solutions (Figure S1B).
3.1.2. Correction of 15N-NAT Intensity
Given that derivatized 15N-NAT (ISTD; 15N-nitrite) and 14N-NAT (analyte; nitrite) differ by a single positive mass unit, 14N-NAT could theoretically interfere with 15N-NAT mass quantification. In the MRM mode, the intensity of the daughter ion (m/z 115) of 15N-NAT can falsely be increased by natural isotopes, 13C (1.082%), 2H (0.012%), and 15N (0.369%), in the CHN3 group of 14N-NAT, and the theoretical contribution is calculated to be 2.201% (=15N × 3 + 2H + 13C) [42]. For accurate quantification of the ISTD (15N-NAT), the measured intensity of 15N-NAT was corrected by subtracting the contribution (%) of the signal intensity resulting from 14N-NAT (Figure 2) [28].
Figure 2.
Correction of ISTD (15N-NAT) responses due to the contribution of the natural isotopes in 14N-NAT; compositions of natural isotopes (15N, 2H, and 13C) were reported as 0.369, 0.012, and 1.082% (total 2.201%), respectively, in the references [28,42]. ISTD, internal standard; NAT, 1-[H]-naphthotriazole.
3.1.3. Method Validation
The specificity test showed that no interfering peaks were observed for nitrite within the quantification range when analyzing the blank, standard (5 ng/mL nitrite), blank sample (MCC, MS, CSD, LM, SSF, HPMC, CMC, and CCS), or spiked sample (5 ng/mL nitrite) solutions (Figure S2). Since nitrite was detected in all the blank sample matrices, appropriate corrections were applied during quantitative calculations. Linearity was determined using standard solutions at concentrations of 0.5, 1, 2, 5, 10, and 20 ng/mL, with three replicates for each concentration. Calibration curves were established using the absolute calibration method and the r2 was calculated using the least-squares method. The results reported r2 values of 0.9990–0.9999 for nitrite during linearity evaluation, surpassing the acceptable threshold of 0.995. The LOQ and LOD based on the calibration curve σs were calculated as follows: for MCC, MS, CSD, LM, and SSF, the LOQ was 0.43 ng/mL (which corresponds to 0.09 µg/g) and the LOD was 0.14 ng/mL (which corresponds to 0.03 µg/g); for HPMC, the LOQ was 0.36 ng/mL (which corresponds to 0.07 µg/g) and the LOD was 0.12 ng/mL (which corresponds to 0.02 µg/g); and for CMC and CCS, the LOQ was 0.57 ng/mL (which corresponds to 0.11 µg/g) and the LOD was 0.19 ng/mL (which corresponds to 0.04 µg/g).
Accuracy was calculated at three different concentrations within the quantification range using three replicates per concentration. The overall recovery rates of nitrite were as follows: 95.7 ± 4.3% for MS, 97.9 ± 3.4% for MCC, 98.1 ± 5.8% for CSD, 104.0 ± 7.8% for LM, 100.4 ± 8.4% for SSF, 108.5 ± 5.3% for HPMC, 101.4 ± 3.8% for CCS, and 103.7 ± 6.8% for CMC. All the measured accuracy values were within the acceptance criteria of 80–120%. To evaluate the accuracy of the method, the experimentally determined concentrations of nitrite (x) were compared with the corresponding nominal concentrations (y) using linear regression analysis, based on the equation y = a⋅x + b. Strong linear correlations were observed for nitrite (MS, a = 0.996 ± 0.005; MCC, a = 0.976 ± 0.008; CSD, a = 1.018 ± 0.006; LM, a = 1.02 ± 0.007; SSF, a = 1.01 ± 0.007; HPMC, a = 1.111 ± 0.015; CCS, a = 1.028 ± 0.016; CMC, a = 1.06 ± 0.028), confirming the method’s accuracy. The slope (a) and intercept (b) were statistically tested against their theoretical values (a = 1, b = 0). The test statistic for the null hypothesis that the slope equals zero (ta) showed a statistically significant difference (* p < 0.001), indicating that the slopes were significantly different from zero and supporting a strong linear relationship. In contrast, the intercepts (tb) were not significantly different from zero, further confirming the reliability and accuracy of the method for the quantification of nitrite in the excipient samples (Table S4).
Precision was evaluated using six replicates of the spiked test solutions over three consecutive days. The %RSD values of nitrite for intra-day and inter-day were 1.5–2.0% for MS, 1.0–2.6% for MCC, 2.0–2.9% for CSD, 2.0–2.3% for LM, 2.1–4.8% for SSF, 1.0–6.5% for HPMC, 0.6–4.7% for CCS, and 1.5–4.7% for CMC. The precision results satisfied the acceptance criterion of %RSD < 10. Descriptive statistical data for the precision evaluation are provided in Table S5.
The robustness of this method was evaluated under various conditions. After 6, 12, and 24 h, the solution stabilities [% recovery (%RSD)] of nitrite were 99.2 (1.7), 97.8 (1.4), and 99.2 (1.0), respectively. A variation of ±2 °C (38 and 42 °C) in the column oven temperature resulted in %RSD of 1.1–3.4%, while a variation of ±0.05 mL/min (0.35–0.45 mL/min) gave %RSD of 1.6–2.1%. The robustness results showed %RSD below 15%. The total validation results highlight the accuracy, precision, linearity, and robustness of the developed method, confirming its dependability for quantifying nitrite in the tested matrices. The validation results are listed in Table 3.
Table 3.
Results of method validation of analytical methods for nitrite in excipients.
Compared with a previous similar study [29], the analytical method developed and validated in this study enables highly sensitive and accurate quantification of nitrite impurities in eight different types of excipients using LC-MS/MS with ISTD. The LC-MS/MS employed in this study can provide better sensitivity and enhanced selectivity compared to UPLC-MS by reducing matrix interferences. Due to the incorporation of ISTD, the method may be adaptable to the analysis of other excipients with additional validation. Although a direct comparison is limited due to differences in analytical conditions, the present method showed comparable or improved results (e.g., LOQ: 0.09–0.11 ppm) compared with the previous study (e.g., LOQ: 0.2 ppm). Other studies employing FLD have shown that it was suitable for screening nitrite contents [30,32]. However, in our intra-lab study, the HPLC-FLD method was not reproducible to quantitate nitrite in the excipients, indicating that it may not be suitable for pharmaceutical quality control purposes. There is a limitation of this method in that it has not yet been validated for povidone and crospovidone excipients, requiring further evaluation for broader application.
3.2. Optimization and Validation of Analytical Method for the Determination of DMA and DEA in Metformin Hydrochloride
3.2.1. Derivatization Optimization
To optimize the derivatization process, the sample preparation procedure was tested based on the amount of tosyl chloride (400, 500, and 600 μL). The analyte peak area increased with the amount of tosyl chloride solution from 400 to 500 μL but showed a decreasing trend at 600 μL. Therefore, although no significant changes were observed with the amount of tosyl chloride solution added during derivatization, 500 μL, which showed the largest peak area, was selected as the optimal amount for sample preparation (Figure S3).
3.2.2. Method Validation
Validation of the analytical method confirmed its reliability and robustness for the quantification of DMA and DEA in metformin hydrochloride API. DMA and DEA were detected in all the samples (Figure S4), and the correction values obtained from the blank sample solution were applied in the final calculation. Excluding the detection of DMA and DEA in each sample, no interfering peaks were observed in the quantification range when the blank (derivatized), blank sample, standard (20 ng/mL DMA and DEA), and spiked test solutions were compared. Linearity was determined across concentration ranges of 5–100 ng/mL for DMA and DEA using three replicates per concentration. Additionally, the calibration curves established using the peak areas of the analytes demonstrated high correlation coefficients (r2 = 1.000 for DMA and 0.999 for DEA), all exceeding the acceptable threshold of 0.995. The LOQ and LOD were calculated based on the calibration curve σs. Consequently, the LOQ for DMA was determined to be 1.8 ng/mL (which corresponds to 1.8 µg/g), and the LOD was 0.6 ng/mL (which corresponds to 0.6 µg/g), while the results for DEA were 2.2 ng/mL (which corresponds to 2.2 µg/g) and 0.7 ng/mL (which corresponds to 0.7 µg/g), respectively.
Accuracy was calculated at three different concentrations, 5, 20, and 100 μg/L DMA and DEA (which corresponds to 5, 20, 100 µg/g) for metformin hydrochloride, within the quantification range using three replicates for each concentration. The overall recoveries of DMA and DEA were 100.3 ± 3.5 and 97.3 ± 7.1%, respectively. All the measured accuracy values were within the acceptance criteria of 80–120%. To evaluate the accuracy of the method, the experimentally determined concentrations of DMA and DEA (x) were compared with the corresponding nominal concentrations (y) using linear regression analysis, based on the equation y = a⋅x + b. Strong linear correlations were observed for both DMA and DEA (DMA, a = 1.005 ± 0.009; DEA, a = 1.064 ± 0.014), confirming the method’s accuracy. The slope (a) and intercept (b) were statistically tested against their theoretical values (a = 1, b = 0). The test statistic for the null hypothesis that the slope equals zero (ta) showed a statistically significant difference (* p < 0.001), indicating that the slopes were significantly different from zero and supports a strong linear relationship. In contrast, the intercepts (tb) were not significantly different from zero, further confirming the reliability and accuracy of the method for the quantification of DMA and DEA in pharmaceutical samples (Table S6).
The precision of the method was assessed using six replicates of spiked test solutions over 3 days. The %RSD values for intra-day and inter-day were 1.1–2.3% for DMA and 1.7–3.2% for DEA. The precision results satisfied the acceptance criterion of %RSD < 10. Descriptive statistical data for the precision evaluation are provided in Table S7.
As previously mentioned, the robustness of the method was established by testing solution stability and effects of the column oven temperature. The solution stabilities of DMA and DEA were evaluated after 6, 12, and 24 h, and the % recovery (%RSD) between the analyte areas at each time was 100.1 (0.6), 105.9 (4.9), and 102.6 (3.7) for DMA, and 98.4 (1.1), 101.6 (1.9), and 97.8 (1.9)% for DEA, respectively. A column oven temperature change of ±2 °C (38 and 42 °C) produced a rate change of 1.8% for DMA and 1.5% for DEA. The robustness results showed %RSD below 15%. The total validation results established the accuracy, precision, linearity, and robustness of the method, confirming its dependability for quantifying DMA and DEA in the tested matrix. The validation results were summarized in Table 4.
Table 4.
Results of method validation of analytical methods for DMA and DEA in metformin HCl.
Compared with previous similar studies, the analytical method developed and validated in this study allows for reliable and sensitive quantification of DMA and DEA impurities in metformin HCl using LC-MS/MS. In a previous similar study [47], an analytical method for DMA analysis of metformin was developed using LC-MS/MS coupled with a HILIC column. However, HILIC-based approaches may not be compatible with routine pharmaceutical laboratories and their applicability to other amines has not been clearly demonstrated. In other previous studies, DMA was determined by UV after derivatization [35,36]. LC-MS/MS in this study showed more sensitive quantification of amines with LOQ (1.8 ppm for DMA; 2.2 ppm for DEA) than previous studies (10–15 ppm for DMA). The analytical method proposed in this study addressed these limitations by employing tosyl chloride derivatization and LC-MS/MS. Although it was reported that tosyl chloride was well-suited to LC-MS/MS analysis and facilitates the determination of various types of amines, even in complex food matrices [38], the method was not tested on drug-specific amines related to NDSRIs, which are highly diverse; thus, future studies may extend its applicability to these compounds.
3.3. Application of the Developed Methods for the Detection of Nitrite and Amines in Pharmaceutical Substances
The developed LC-MS/MS analytical methods were used to quantify the content of nitrite in excipients and secondary amines in metformin hydrochloride APIs. Nitrite was determined in eight different excipients (MCC, MS, CSD, LM, SSF, HPMC, CMC, and CCS) donated by pharmaceutical companies, and the differences were compared. The nitrite content detected in the excipients ranged from <LOQ to 4.74 μg/g (ppm), indicating variability depending on excipient type. Although the nitrite levels in all the excipient samples did not exceed the acceptable limit (70 µg/g) for food, relatively high nitrite levels were observed at 1.3 to 6 times higher than the overall average of 0.76 µg/g (ppm) in MCC, CMC, and MS (Figure 3A). When analyzing the high values in these three excipients, there was a trend that the samples showing high nitrite levels were produced by the same company in each excipient group (gray rectangle in Figure 3A; the same symbol represents the same company).
Figure 3.
Case study to confirm applicability of the developed methods detecting nitrite and dimethyl-/diethylamine in the pharmaceutical samples; (A), relatively high nitrite levels were observed in microcrystalline cellulose (MCC), sodium carboxymethyl cellulose (CMC), and magnesium stearate (MS); (B), DMA and DEA levels in the metformin HCl samples. CCS, croscarmellose sodium; CMC, sodium carboxymethyl cellulose; CSD, colloidal silicon dioxide; DEA, diethylamine; DMA, dimethylamine; HPMC, hypromellose; LM, lactose monohydrate; LOD, limit of detection; LOQ, limit of quantitation; MCC, microcrystalline cellulose; MS, magnesium stearate; SSF, sodium stearyl fumarate.
Twenty metformin hydrochloride samples donated by domestic pharmaceutical manufacturers were analyzed. DMA, a residual material from the synthetic process, was detected in the range of 0.15–209.19 µg/g (ppm) in the drug substances, while DEA was generally detected at lower levels (0.73–0.89 µg/g (ppm)) (Figure 3B). The DMA level in metformin hydrochloride was below the acceptable criteria (0.05%; 500 µg/g (ppm)) as impurity F described in the EP monograph. Significant differences were observed among the manufacturers of the substances. In addition, there were variations among batches from the same manufacturer. According to a recent study, small amounts of DMA and DEA react with nitrite to form NDMA and NDEA, respectively [48,49]. By applying the approach suggested by Berardi et al. [50], the level of NDMA formation in metformin drug products can be investigated by adjusting the composition of the excipients and their nitrite levels. If the minimum and maximum nitrite levels in the excipients are applied in certain conditions [metformin tablet compositions (%w/w): metformin HCl, 48.5%; MCC, 10%; HPMC, 36%; CCM, 4.9%; MS, 0.6%], the formation levels of nitrosamines could change more than tenfold between the minimum and maximum (21 ng and 233.18 ng), potentially exceeding the NDMA limit (96 ng/day) in the case of latter (Figure 4). As mentioned in the paper [50], theoretical calculation values have limitations applying to the actual manufacturing process, so that could be utilized for developing a control strategy. In summary, to reduce nitrosamine levels in metformin drug products, suitable excipients with low nitrite levels and raw materials with low levels of secondary amines, such as DMA/DEA, should be selected.
Figure 4.
Predictive levels of NDMA (%) in the case of selecting excipients containing the minimum or maximum amount of nitrite. The NDMA level could be reduced about tenfold with proper excipient selection.
4. Conclusions
In this study, two methods were developed and validated for the analysis of nitrite in the most frequently used excipients and crucial secondary amines in metformin hydrochloride. These methods were developed according to ICH Q2(R1) guidelines, including the evaluation of specificity, accuracy, precision, and linearity. LC-MS/MS was used to develop methods suitable for the determination of small traces of nitrite or amines in pharmaceutical ingredients. The application of mass spectrometry in the trace analysis of contaminants across diverse matrices has been widely reported, supporting its versatility in both targeted and non-targeted approaches [51,52]. Consequently, these methods were capable of analyzing the levels of each nitrosamine precursor and were used to determine impurities below the required acceptable daily intake per maximum daily dose of each pharmaceutical sample, in accordance with the ICH M7 guidelines. The developed LC-MS/MS method also demonstrated superior sensitivity and selectivity for quantification of nitrite in various excipients and amines in metformin API compared with previous studies. Recently, as the types of impurities detected have become increasingly diverse and detection cycles have become more frequent, the requirement for preemptive safety management to relieve public anxiety is increasing. Recent guidelines [16,17,18] have addressed the control of nitrite levels, and although specific regulatory limits have not yet been established, the method developed in this study may serve as a valuable tool for nitrite and amine reduction efforts for supporting drug manufacturing in the pharmaceutical industry.
Supplementary Materials
The following supporting information can be downloaded at: https://www.mdpi.com/article/10.3390/chemosensors13080307/s1, Table S1. Series of nitrite standard solutions for the validation study to confirm linearity. Table S2. The analytical conditions of LC-MS/MS to determine nitrite in excipients and DMA and DEA in metformin HCl. Table S3. Frequency of excipients usage related to nitrosamine issues of the drug products. Table S4. Results of linear regression analysis on accuracy of analytical methods for nitrite in excipients. Table S5. Results of precision of analytical methods for nitrite in excipients. Table S6. Results of linear regression analysis on accuracy of analytical methods for DMA and DEA in Metformin HCl. Table S7. Results of precision of analytical methods for DMA and DEA in Metformin HCl. Figure S1. Optimizing derivatization conditions on the DAN reagent’s concentration (A) and reacting time (B); A, the areas of nitrite peaks’ comparison on DAN concentrations (0.02, 0.1, 0.5, 1.0 and 5.0 mmol/L); B, the areas of nitrite peaks’ comparison on reacting time (10, 20, 30, 40, 50 and 60 min); DAN, 2,3-diaminonaphthalene. Figure S2. Mass chromatogram of the nitrite in the solvent, blank solutions, and spiked solutions; sample blanks and spiked sample solutions of eight excipients were displayed in the figure. Nitrite peaks observed slightly in the all blank were corrected in the stage of recovery calculation; BLK, blank; CCS, croscarmellose sodium; CMC, sodium carboxymethyl cellulose; CSD, colloidal silicon dioxide; HPMC, hypromellose; LM, lactose monohydrate; MCC, microcrystalline cellulose; MS, magnesium stearate; NAT, 1-[H]-naphthotriazole; SSF, sodium stearyl fumarate; STD, standard solution. Figure S3. Optimization of derivatization conditions using the tosyl chloride. The areas of DMA and DEA peaks were compared in the figure following the amount of reacting solution (400, 500, and 600 μL); DEA, diethylamine; DMA, dimethylamine. Figure S4. Mass chromatogram on the DMA and DEA in the specificity test for blank solution and spiked samples (metformin HCl). DMA and DEA peaks observed slightly in the all blank (BLK) were corrected in the stage of recovery calculation; BLK, blank; DMA, dimethylamine; DEA, diethylamine; STD, standard solution.
Author Contributions
Conceptualization, I.A., P.S.K., B.-H.L., Y.M.L. and K.H.S.; Formal analysis, I.A., S.L., M.J.J. and Y.J.; Investigation, I.A.; Methodology, I.A., S.L., M.J.J. and Y.J.; Resources, J.Y.K., M.K. and P.S.K.; Supervision, I.A. and K.H.S.; Writing—original draft, I.A.; Writing—review and editing, S.L., M.J.J., Y.J., J.Y.K., M.K., B.-H.L., Y.M.L. and K.H.S. All authors have read and agreed to the published version of the manuscript.
Funding
This research was supported by a grant from the Korean Ministry of Food and Drug Safety between 2023 and 2024 (Grant number 23194MFDS086).
Data Availability Statement
Data will be made available on request.
Conflicts of Interest
The authors declare that they have no competing financial interests or personal relationships that may have influenced the work reported in this study.
References
- European Medicines Agency. Update on Review of Recalled Valsartan Medicines: Preliminary Assessment of Possible Risk to Patients. 2018. Available online: https://www.ema.europa.eu/en/documents/press-release/update-review-recalled-valsartan-medicines_en.pdf (accessed on 11 July 2025).
- The International Council for Harmonisation of Technical Requirements for Pharmaceuticals for Human Use. M7(R2) Assessment and Control of DNA Reactive (Mutagenic) Impurities in Pharmaceuticals to Limit Potential Carcinogenic Risk. 2023. Available online: https://database.ich.org/sites/default/files/ICH_M7%28R2%29_Guideline_Step4_2023_0216_0.pdf (accessed on 11 July 2025).
- U.S. Food and Drug Administration. Updates and Press Announcements on Angiotensin II Receptor Blocker (ARB) Recalls (Valsartan, Losartan, and Irbesartan). 2018–2019. Available online: https://www.fda.gov/drugs/drug-safety-and-availability/fda-updates-and-press-announcements-angiotensin-ii-receptor-blocker-arb-recalls-valsartan-losartan (accessed on 11 July 2025).
- Health Canada. Several Drugs Containing Valsartan Being Recalled Due to Contamination with a Potential Carcinogen. 2018. Available online: https://recalls-rappels.canada.ca/en/alert-recall/several-drugs-containing-valsartan-being-recalled-due-contamination-potential (accessed on 11 July 2025).
- Ministry of Food and Drug Safety. Announcement of Results of Investigation Regarding Concerns over Use of Valsartan Manufactured by Zhejiang Huahai. 2018. Available online: https://www.korea.kr/briefing/pressReleaseView.do?newsId=156280000 (accessed on 11 July 2025).
- European Medicines Agency. EMA Confirms Recommendation to Suspend All Ranitidine Medicines in the EU. 2020. Available online: https://www.ema.europa.eu/en/documents/press-release/suspension-ranitidine-medicines-eu_en.pdf (accessed on 11 July 2025).
- U.S. Food and Drug Administration. Updates and Press Announcements on NDMA in Zantac (Ranitidine). 2019–2020. Available online: https://www.fda.gov/drugs/drug-safety-and-availability/fda-updates-and-press-announcements-ndma-zantac-ranitidine (accessed on 11 July 2025).
- European Medicines Agency. EMA Update on Metformin Diabetes Medicines. 2019. Available online: https://www.ema.europa.eu/en/documents/press-release/ema-update-metformin-diabetes-medicines_en.pdf (accessed on 11 July 2025).
- U.S. Food and Drug Administration. Updates and Press Announcements on NDMA in Metformin. 2019–2021. Available online: https://www.fda.gov/drugs/drug-safety-and-availability/fda-updates-and-press-announcements-ndma-metformin (accessed on 11 July 2025).
- Ministry of Food and Drug Safety. The Temporary Ban on the Manufacturing and Sale of 31 Metformin Diabetes Treatment Products. 2020. Available online: https://www.korea.kr/briefing/pressReleaseView.do?newsId=156391976 (accessed on 11 July 2025).
- European Medicines Agency. Assessment Report: Nitrosamine Impurities in Human Medicinal Products. 2020. Available online: https://www.ema.europa.eu/en/documents/opinion-any-scientific-matter/nitrosamines-emea-h-a53-1490-assessment-report_en.pdf (accessed on 11 July 2025).
- Cioc, R.C.; Joyce, C.; Mayr, M.; Bream, R.N. Formation of N-nitrosamine drug substance related impurities in medicines: A regulatory perspective on risk factors and mitigation strategies. Org. Process Res. Dev. 2023, 27, 1736–1750. [Google Scholar] [CrossRef]
- Dube, S.; Naik, M.; Rajendran, S. Nitrosamine drug substance-related impurities (NDSRI): A new challenge in pharmaceutical manufacturing. Int. J. Pharm. Sci. 2020, 29, 335–348. [Google Scholar]
- U.S. Food and Drug Administration. Guidance for Industry: Control of Nitrosamine Impurities in Human Drugs. 2024. Available online: https://www.fda.gov/media/141720/download (accessed on 11 July 2025).
- U.S. Food and Drug Administration. Guidance for Industry: Recommended Acceptable Intake Limits for Nitrosamine Drug Substance-Related Impurities (NDSRIs). 2023. Available online: https://www.fda.gov/media/170794/download (accessed on 11 July 2025).
- European Medicines Agency. Nitrosamines EMEA-H-A5(3)-1490 Questions and Answers for Marketing Authorisation Holders/Applicants. 2024. Available online: https://www.ema.europa.eu/en/documents/opinion-any-scientific-matter/nitrosamines-emea-h-a53-1490-questions-answers-marketing-authorisation-holders-applicants-chmp-opinion-article-53-regulation-ec-no-726-2004-referral-nitrosamine-impurities-human-medicinal-products_en.pdf (accessed on 11 July 2025).
- U.S. Food and Drug Administration. Updates on Possible Mitigation Strategies to Reduce the Risk of Nitrosamine Drug Substance-Related Impurities in Drug Products. 2021. Available online: https://www.fda.gov/drugs/drug-safety-and-availability/updates-possible-mitigation-strategies-reduce-risk-nitrosamine-drug-substance-related-impurities (accessed on 11 July 2025).
- R Shah, R.; Patel, S.; Yadav, A. Nitrite contamination in pharmaceutical ingredients and the risk of nitrosamine formation: Importance of monitoring and control. Int. J. Pharm. Qual. Assur. 2020, 25, 105–113. [Google Scholar]
- Guideline for Nitrosamine Impurities in China—West. Available online: https://www.westpharma.com/blog/2020/december/guideline-for-nitrosamine-impurities-in-china (accessed on 11 July 2025).
- China National Medical Products Administration. Guiding Principles for the Control of Genotoxic Impurities. Chin. Pharmacopoeia 2020, 4, 9306. Available online: https://chp.health-china.com/ (accessed on 11 July 2025).
- Hu, J.; Christison, T.; Rohrer, J. Determination of dimethylamine and nitrite in pharmaceuticals by ion chromatography to assess the likelihood of nitrosamine formation. Heliyon 2021, 7, e06179. [Google Scholar] [CrossRef]
- Siu, D.C.; Henshall, A. Ion chromatographic determination of nitrate and nitrite in meat products. J. Chromatogr. A 1998, 804, 157–160. [Google Scholar] [CrossRef] [PubMed]
- Zhu, K.; Kerry, M.; Serr, B.; Mintert, M. Parts per billion of nitrite in microcrystalline cellulose by ion chromatography mass spectrometry with isotope labeled internal standard. J. Pharm. Biomed. Anal. 2023, 235, 115648. [Google Scholar] [CrossRef] [PubMed]
- Suresh Kumar, A.B.; Dey, D.; Balaji, T.S.; Karthik, H.; Sathishkumar, K.; McDaid, P.; Fitzpatrick, B.; Awasthi, A.; Davies, S.; Dirat, O. Nitrite in Pharmaceutical Manufacturing Water: Development of an Ultra-Sensitive Analytical Method, Typical Data, and Discussion of Potential Nitrosamine Formation in Drug Substance and Drug Product from Water. Org. Process Res. Dev. 2024, 28, 2614–2622. [Google Scholar] [CrossRef]
- Pagliano, E.; Meija, J.; Mester, Z. High-precision quadruple isotope dilution method for simultaneous determination of nitrite and nitrate in seawater by GCMS after derivatization with triethyloxonium tetrafluoroborate. Anal. Chim. Acta 2014, 824, 36–41. [Google Scholar] [CrossRef]
- Hanff, E.; Lützow, M.; Kayacelebi, A.A.; Finkel, A.; Maassen, M.; Yanchev, G.R.; Haghikia, A.; Bavendiek, U.; Buck, A.; Lücke, T.; et al. Simultaneous GC-ECNICI-MS measurement of nitrite, nitrate and creatinine in human urine and plasma in clinical settings. J. Chromatogr. B 2017, 1047, 207–214. [Google Scholar] [CrossRef]
- Luckovitch, N.; Pagliano, E. A reference isotope dilution headspace GC/MS method for the determination of nitrite and nitrate in meat samples. Int. J. Food Sci. Technol. 2020, 55, 1110–1118. [Google Scholar] [CrossRef]
- Hu, C.W.; Chang, Y.J.; Yen, C.C.; Chen, J.L.; Muthukumaran, R.B.; Chao, M.R. 15N-labelled nitrite/nitrate tracer analysis by LC-MS/MS: Urinary and fecal excretion of nitrite/nitrate following oral administration to mice. Free Radic. Biol. Med. 2019, 143, 193–202. [Google Scholar] [CrossRef]
- Jireš, J.; Douša, M. Nitrites as precursors of N-nitrosation in pharmaceutical samples—A trace level analysis. J. Pharm. Biomed. Anal. 2022, 213, 114677. [Google Scholar] [CrossRef] [PubMed]
- Akyüz, M.; Ata, Ş. Determination of low level nitrite and nitrate in biological, food and environmental samples by gas chromatography–mass spectrometry and liquid chromatography with fluorescence detection. Talanta 2009, 79, 900–904. [Google Scholar] [CrossRef]
- Tsikas, D. GC-MS analysis of biological nitrate and nitrite using pentafluorobenzyl bromide in aqueous acetone: A dual role of carbonate/bicarbonate as an enhancer and inhibitor of derivatization. Molecules 2021, 26, 7003. [Google Scholar] [CrossRef]
- Carré, M.C.; Mahieuxe, B.; André, J.C.; Viriot, M.L. Fluorimetric nitrite analysis using 2,3-diaminonaphthalene: An improvement of the method. Analusis 1999, 27, 835–838. [Google Scholar] [CrossRef]
- Reynolds, J.G.; Britton, M.D.; Belsher, J.D. A review of sodium nitrite solubility in water and physical properties of the saturated solutions. J. Chem. Eng. Data 2021, 66, 2931–2941. [Google Scholar] [CrossRef]
- Schlingemann, J.; Boucley, C.; Hickert, S.; Bourasseau, L.; Walker, M.; Celdran, C.; Chemarin, T.; Pegues, C.; Fritzsche, M.; Keitel, J.; et al. Avoiding N-nitrosodimethylamine formation in metformin pharmaceuticals by limiting dimethylamine and nitrite. Int. J. Pharm. 2022, 620, 121740. [Google Scholar] [CrossRef] [PubMed]
- Fukuda, S.; Kondo, K.; Fukumoto, S.; Takenaka, N.; Uchikawa, O.; Yoshida, I. N-nitrosodimethylamine formation in metformin drug products by the reaction of dimethylamine and atmospheric NO2. Org. Process Res. Dev. 2023, 27, 2123–2133. [Google Scholar] [CrossRef]
- European Directorate for the Quality of Medicines. European Pharmacopoeia (Ph. Eur.) Monograph 00931: Metformin Hydrochloride, 11th ed.; Council of Europe: Strasbourg, France, 2023; Available online: https://pheur.edqm.eu/home (accessed on 11 July 2025).
- Sharma, R.; Saluja, M.S. Spectrophotometric determination of dimethylamine in metformin hydrochloride via derivatization with 1-fluoro 2,4-dinitrobenzene. SFS 2022, 8, 261–266. [Google Scholar]
- Nalazek-Rudnicka, K.; Wasik, A. Development and validation of an LC-MS/MS method for the determination of biogenic amines in wines and beers. Monatsh Chem. 2017, 148, 1685–1696. [Google Scholar] [CrossRef] [PubMed]
- Nalazek-Rudnicka, K.; Kubica, P.; Wasik, A. Discrepancies in determination of biogenic amines in beer samples by reversed phase and hydrophilic interaction liquid chromatography coupled with tandem mass spectrometry. Microchem. J. 2020, 159, 105574. [Google Scholar] [CrossRef]
- Lkhagva, A.; Shen, C.C.; Leung, Y.S.; Tai, H.C. Comparative study of five different amine-derivatization methods for metabolite analyses by liquid chromatography-tandem mass spectrometry. J. Chromatogr. A 2020, 1610, 460536. [Google Scholar] [CrossRef] [PubMed]
- Jain, A.; Gupta, M.; Verma, K.K. Salting-out assisted liquid–liquid extraction for the determination of biogenic amines in fruit juices and alcoholic beverages after derivatization with 1-naphthylisothiocyanate and high-performance liquid chromatography. J. Chromatogr. A 2015, 1422, 60–72. [Google Scholar] [CrossRef] [PubMed]
- Wu, Q.; Shi, H.; Ma, Y.; Adams, C.; Eichholz, T.; Timmons, T.; Jiang, H. Determination of secondary and tertiary amines as N-nitrosamine precursors in drinking water system using ultra-fast liquid chromatography–tandem mass spectrometry. Talanta 2015, 131, 736–741. [Google Scholar] [CrossRef]
- Moser, J.; Ashworth, I.W.; Harris, L.; Hillier, M.C.; Nanda, K.K.; Scrivens, G. N-Nitrosamine Formation in Pharmaceutical Solid Drug Products: Experimental Observations. J. Pharm. Sci. 2023, 112, 1255–1267. [Google Scholar] [CrossRef]
- The International Council for Harmonisation of Technical Requirements for Pharmaceuticals for Human Use. Q2(R1) Validation of Analytical Procedures: Text and Methodology. 2005. Available online: https://database.ich.org/sites/default/files/Q2%28R1%29%20Guideline.pdf (accessed on 11 July 2025).
- Elwers, S.; Schütze, T.; Putzka, H. Fluorescent derivatization of nitrite by 2,3-diaminonaphthalene in acidic solutions. J. Anal. Chem. 2001, 56, 1049–1054. [Google Scholar]
- Atiqi, R.; Iersel, C.V.; Cleophas, T.J. Accuracy assessments of quantitative diagnostic tests for clinical research. Int. J. Clin. Pharmacol. Ther. 2009, 47, 153–158. [Google Scholar] [CrossRef]
- Douša, M.; Jireš, J. HILIC-MS determination of dimethylamine in the active pharmaceutical ingredients and in the dosage forms of metformin. J. Pharm. Biomed. Anal. 2020, 191, 113573. [Google Scholar] [CrossRef]
- Fukuda, S.; Hoshiyama, T.; Kondo, K.; Uchikawa, O. Development of a simultaneous analytical method for amines corresponding to 10 typical nitrosamines. ACS Omega 2024, 10, 325–333. [Google Scholar] [CrossRef]
- Wichitnithad, W.; Nantaphol, S.; Noppakhunsomboon, K.; Rojsitthisak, P. An update on the current status and prospects of nitrosation pathways and possible root causes of nitrosamine formation in various pharmaceuticals. SPJ 2023, 31, 295–311. [Google Scholar] [CrossRef] [PubMed]
- Berardi, A.; Jaspers, M.; Dickhoff, B.H.J. Modeling the impact of excipients selection on nitrosamine formation towards risk mitigation. Pharmaceutics 2023, 15, 2015. [Google Scholar] [CrossRef]
- Voronov, S.; Sakir, M.; Fatta-Kassinos, D.; Vasquez, M.I. Suspect Screening and Semi-Quantification of Macrolide Antibiotics in Municipal Wastewater by HPLC–Precursor Ion Scan Tandem Mass Spectrometry. Chemosensors 2023, 11, 44. [Google Scholar] [CrossRef]
- Liu, H.; Li, Y.; Xiang, Y.; Cao, H.; Li, Y. Simultaneous Determination of Trace Matrine and Oxymatrine Pesticide Residues in Tea by Magnetic Solid-Phase Extraction Coupled with Liquid Chromatography–Tandem Mass Spectrometry. J. Anal. Test. 2024, 8, 245–250. [Google Scholar] [CrossRef]
Disclaimer/Publisher’s Note: The statements, opinions and data contained in all publications are solely those of the individual author(s) and contributor(s) and not of MDPI and/or the editor(s). MDPI and/or the editor(s) disclaim responsibility for any injury to people or property resulting from any ideas, methods, instructions or products referred to in the content. |
© 2025 by the authors. Licensee MDPI, Basel, Switzerland. This article is an open access article distributed under the terms and conditions of the Creative Commons Attribution (CC BY) license (https://creativecommons.org/licenses/by/4.0/).















