Abstract
In this work, we designed a novel and simple electrochemical approach for the determination of daidzein antioxidant (Dz) in peanut oil samples. The Dz determination was based on anodic stripping linear voltammetry using screen-printed graphene electrodes (SPGEs) activated in acidic media, where a strong adsorption of Dz on activated graphene was obtained. In this regard, electroanalytical parameters such as the scan rate, supporting electrolyte, pH, and accumulation step were optimized to ensure the best conditions for the selective and sensitive Dz quantification. The electrochemical method developed for the determination of Dz exhibits a linear behavior of the anodic peak current in the concentration range from 0.05 to 1 μM, with a limit of detection of 0.012 μM. The electrochemical sensor demonstrated to the capacity to quantify Dz in peanut oil samples at low concentrations without the necessity of an extensive sample pretreatment. Therefore, the electrochemical method proposed can be used as a new portable analytical tool for the in situ quality control of peanut oil samples.
1. Introduction
Daidzein (4′,7-dihydroxyisoflavone, Dz) is a natural isoflavone that can be found mainly in leguminous plants, and it is very important due to the they therapeutic properties of several diseases such as oxidative stress, cancer, and obesity, among others [1,2,3]. Also, Dz exhibits a range of pharmacologic activities such as antioxidant, anti-diabetic, anti-inflammatory, nephroprotective, neuroprotective, and antihyperlipidemic effects [4]. Dz is predominantly found in a range of plant sources such as red clover (Trifolium pratense), soybean (Glycine max), alfalfa (Medicago sativa), and other members of the legume family (Leguminosae) [4]. Dz is composed of two hydroxyl groups, in which the first hydroxyl group is present at the seventh position of the benzopyran ring, while the second hydroxyl group is located at the fourth position of the attached phenyl ring. Its chemical structure is shown in Figure S1 (in the Supplementary Material). Considering the importance of Dz and its multiple health benefits, it is very important to develop sensitive analytical methods that allow the quantification of Dz in real samples.
The determination of Dz in real samples has mostly been carried out by gas chromatography (GC) with mass spectrometry detection (GC-MS) or tandem mass spectrometry (GC-MS/MS) [5,6,7], high-performance liquid chromatography (HPLC), or ultra-performance liquid chromatography (UPLC) with diode array detection. Also, Dz has been detected by spectrophotometric photodiode array/fluorescence (FLR) detection systems and mass spectrometry detection, among others [8,9,10,11]. These methods have some disadvantages, such as multistage sample preparation, time-consuming analysis, expert operators, expensive instrumentation, a high carbon footprint, etc. [12].
On the other hand, electrochemical methods are a very good alternative for the development of analytical methods for the determination of Dz, because they offer a high degree of accuracy, precision, sensitivity, and selectivity; the possibility of working with small equipment in field operations; low cos; and ease of sample preparation. On the other hand, electrochemical sensors are a potential alternative to conventional methods of food safety and control analysis. Some advanced sensors offer alternative methods to achieve the trace analysis of food safety hazards and control analysis in the complex food matrix [13,14]. In addition, electrochemical methods are naturally suited to conform to most of the principles involved in green chemistry [15,16,17]. However, at present, there are only a few reports regarding Dz determination by electrochemical sensors. Fernandes et al. [18] studied the electrochemical behavior of Dz using a glassy carbon electrode (GCE) and different pH values by using cyclic voltammetry (CV), differential pulse voltammetry (DPV), and square wave voltammetry (SWV). The limit of detection (LOD) obtained through SWV was 0.08 µM. Also, the electrochemical determination of Dz in pharmaceutical tablets was carried out with GCE modified with a multiwall carbon nanotube (MWCNT/GCE) by linear sweep voltammetry (LSV) [19]. The proposed method achieved an LOD of 0.72 µM. Carbon paste electrodes (CPEs) modified with ZrOCl2 into graphite powder were used for the determination of Dz in pueraria, pharmaceutical preparations, and human uric samples. LSV was used as an electrochemical technique, where an LOD of 0.01 µM was obtained [20]. Dz content was determined in daidzein tablets and pueraria samples by an electrochemical sensor based on MWCNT vertically arrayed on a GCE surface by Langmuir–Blodgett technology. LSV was selected the electrochemical technique, achieving an LOD of 0.08 µM [21]. Fu et al. [22] developed an electrochemical sensor based on GCE modified with SnO2, a poly (diallyldimethylammonium chloride) solution (PDDA), and reduced graphene oxide (GR) (SnO2-PDDA-GR/GCE). The electrochemical determination of Dz was carried out by LSV, and the LOD was 6.70 × 10−3 µM. The sensor was applied for the determination of Dz in traditional Chinese medicine (pueraria lobata) and Daidzein tablets. An electrochemical sensor for Dz determination based on a molecular imprinted polymer (MIP) prepared by the electropolymerization of o-phenylenediamine (o-PD) on the surface of poly (sodium 4-styrenesulfonate)-reduced graphene oxide (PSS-rGO)-modified GCE (PSS-rGO/GCE) was successfully applied in human serum and pueraria. The electrochemical determination of Dz was carried out by DPV and the LOD was 5.0 × 10−4 µM. To the best of our knowledge, this is the work that reports the lowest LOD [23]. Moreover, a GCE was modified with nanocomposites containing conductive polyaniline nanotubes (PANInts) and carbon nano-onions (CNOs). The electrochemical response of Dz was examined in two buffers by LSV, and the LOD achieved was 0.77 µM [24]. ZnO nanorods (ZnONRs) growing on carbon fiber paper (CFP) and functionalized with silver nanoparticles (AgNPs) (AgNP/ZnONR@CFP) were used for Dz determination in real extracts from Japanese honeysuckle, soybean, and Chrysanthemum morifolium by DPV, and the LOD achieved was 0.066 µM [25]. Finally, a composite electrode based on ZnO nanorods, carbon fiber paper, CuO nanowires, and Ag nanoparticles (AgNP-CuONW/ZnONR@CFP) was used for the simultaneous determination of Dz and puerarin by DPV. The sensor exhibited an LOD of 4 nM for Dz and was used to detect puerarin and Dz in traditional Chinese medicine samples [26]. A common factor of this approach is the use of electrodes based on carbonaceous materials due to the lower oxidation potential necessary for the oxidation of Dz. However, the sensor described in the previous paragraph requires electrodes modified with complex nano- and micro-structures. A simple alternative is the use of unmodified screen printed electrodes (SPEs). SPEs are portable devices that integrate (in most cases) three conventional electrodes (work, reference, and counter electrodes) of the electrochemical cell in a planar configuration [27,28]. SPEs have been used in different research fields, and many of them have been summarized in very interesting reviews [28,29,30,31,32,33]. SPEs have a large number of advantages, such as portability, fast response, low cost, simplicity (user friendly), high accuracy, low consumption of reagents, and a reduced environmental impact, amount others.
In this work, we report the results of an electroanalytical method to determine Dz in edible oil samples for the first time. The method is based on the use of pretreated screen-printed graphene electrodes as electrochemical sensors. The screen-printed graphene electrodes combined with linear sweep voltammetry were used. In addition, we determined and quantitated the presence of Dz in edible peanut oil samples for the first time using screen-printed graphene electrodes in a reliable and inexpensive way.
2. Materials and Methods
2.1. Reagents and Solutions
All reagents were of analytical grade and used as received. For more details, they are described in Supplementary Materials (Section S1).
2.2. Apparatus and Software
Voltammetric and impedimetric measurements were performed with a PalmSens4 potentiostat (PalmSens, Amsterdam, The Netherlands) using the manufacturer’s electrochemical analysis software (PSTrace 5.11, Amsterdam, The Netherlands). When it was necessary, an external electrode Ag/AgCl, 3 M KCl (BAS, RE-5B, West Lafayette, IN, USA) and a homemade platinum wire were used as reference and counter electrodes, respectively. The SPGE connection to the electrochemical workstation was lab-made. The SPEs were manufactured in accordance with our previous reports [34,35,36].
Scanning Electron Microscopy (SEM) images were obtained with a Field Emission Gun Scanning Electron Microscopy (FE-SEM, Zeiss, ΣIGMA model; Oberkochen, Baden-Württemberg, Germany).
2.3. Procedure
Anodic stripping linear sweep voltammetry (ASLSV) was the electrochemical technique selected to carried out the Dz measurements. Prior to each experiment, the SPGE surface was pretreated by cyclic voltammetry in the potential range from 0.3 V to 2.0 V at a scan rate (v) of 0.100 V s−1 in a 0.5 M H2SO4 aqueous solution for 10 consecutive cycles according to the protocol developed by González-Sánchez et al. [37]. The accumulation of Dz on the SPGE surface was performed at open circuit potential (OPC) for 30 min. The OCP value for the SPGE in PBS, pH 2, is close to 0.120 V.
LS voltammograms were recorded in the potential range from 0.0 V to 1.2 V at a scan rate of 1.0 V s−1. All the measurements were carried out at room temperature in non-deaerated solutions, where 75 μL of solution was dropped on the SPGE surface.
2.4. Edible Oil and Peanut Paste Samples
Peanut oil samples were purchased at a local supermarket. They were stored at room temperature and protected from the light. The solutions of Dz were prepared following the procedure reported previously by us [38,39]. Briefly, 1.00 g of samples was dissolved in 5 mL of a solution formed by a binary mixture of petroleum ether + EtOH (3:1), and the solution was sonicated for 5 min. Then, an aliquot of 200 µL of this solution was diluted at a final volume of 2.00 mL with PBS, pH 2.00, and electrochemical measurements were carried out.
3. Results and Discussion
3.1. Electrochemical Measurements of SPGEs
3.1.1. Electrochemical Behavior of Dz
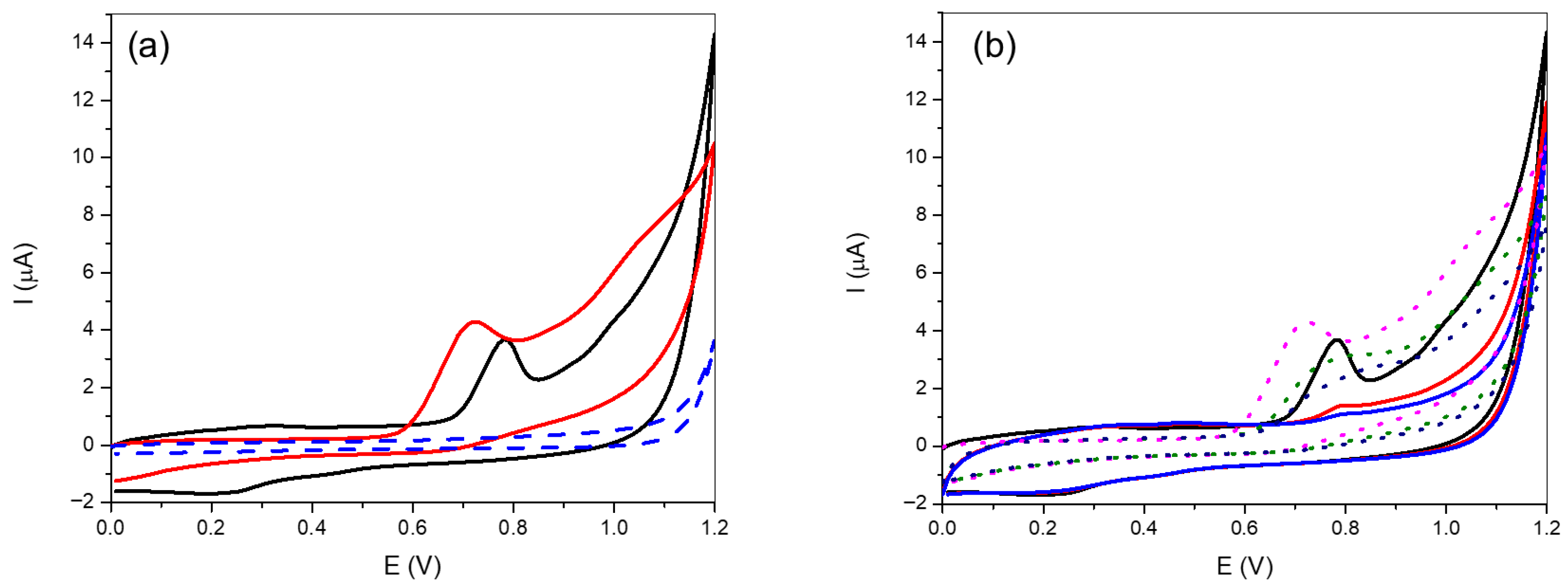
In order to elucidate the electrochemical behavior of Dz on the SPGE, cyclic voltammograms were performed. Figure 1a shows cyclic voltammograms (CVs) recorded using SPGEs in blank solution (PBS, pH 2.00, dotted blue line), in 1.0 × 10−4 M of Dz after an accumulation time (tacc) of 60 min at open circuit potential (OCP) (red line), and in the blank solution after accumulating Dz for 60 min by applying OCP in a Dz solution of 1.0 × 10−4 M (black line). Dz exhibits a main oxidation peak centered at 0.720 V (vs. pseudo-reference of Ag/AgCl) in the Dz solution, while adsorbed Dz shows a peak centered at 0.780 V in the blank solution. The reason for the anodic peak potential difference is based on the different experimental conditions of both cyclic voltammograms. When the cyclic voltammogram was recorded in a solution of Dz (red line), the electro-oxidation of Dz was governed by a mixed control, i.e., adsorptive and diffusional control, while the blank line corresponds only to electro-oxidation of adsorbed Dz on the electrode surface, where a narrow peak with lower current was observed. In both cases, when the potential sweep was reversed, the corresponding reduction peak did not appear, which is consistent with an electrochemical process involving kinetic complications coupled to the anodic charge transfer. However, for adsorbed Dz, in the cathodic scan, a wide peak close to 0.2 V is observed due to the reduction of a product formed in the direct scan.
Figure 1.
(a) Cyclic voltammograms recorded in the blank solution formed for PBS, pH 2 (dotted blue line), Dz solution after a tacc of 60 min at OCP recorded in the presence of DZ (red line), and Dz in the blank solution after the accumulation for 60 min at OCP (black line). (b) Successive cyclic voltammograms of 1 × 10−4 M Dz in PBS pH 2.0 on the SPGE in the presence of DZ (dotted lines) and for Dz adsorbed during 60 min at OCP recorded in the blank solution (continuous lines). CDz* = 1.00 × 10−4 M. v = 0.100 V s−1.
Figure 1b shows the consecutive (three cycles) voltammograms recorded on the SPGEs for a solution of Dz (dotted lines) under the same experimental conditions as shown in Figure 1a and for the adsorbed Dz measured in the blank solution (continuous lines). In both cases, after the first cycle, a decrease in the oxidation peak current is observed due to the partial blocking of the electrode surface by the polymerization of the Dz oxidation product [18,24].
3.1.2. Effect of the Supporting Electrolyte and pH on Electrochemical Behavior
As Dz has two hydroxyl groups, we also studied how the supporting electrolyte and pH affect the electrochemical response of Dz. In this sense, cyclic voltammetry was performed for 1.0 × 10−4 M Dz solutions prepared using different supporting electrolytes, including 0.1 M H2SO4, 0.1 M HClO4, and phosphate buffer solutions in the pH range from 2 to 10. Figure S2a (Supplementary Material) shows the cyclic voltammograms recorded. These results demonstrate that a higher peak current was observed in pH 2.0 compared to other reaction media. In addition, the potential peak is shifted to higher values when the pH decreased, and at a lower pH, the hydroxyl groups were protonated. Figure S2b shows the relationship between the anodic peak potentials (Ep,a) and pH for the Dz electro-oxidation. The value of the slope is −0.053 V and is very close to the theoretical value of −0.059 V, expected when the same number of electrons and protons are involved in the electrode process. These results are consistent with those reported in the literature and with the electrochemical behavior of phenolic compounds [21,22].
3.1.3. Effect of the Scan Rate in Cyclic Voltammetry
Cyclic voltammetries for Dz 1.0 × 10−4 M on the SPGE for a scan rate between 0.005 and 0.250 V s−1 in PBS (pH 2.0) are shown in Figure S3a (Figure S3 in Supplementary Material). The anodic peak current (Ia,p) for the Dz oxidation peak increases as the scan rate increases. Figure S3b shows the Ia,p vs. v plot, where a proportional increase in Ia,p with the increases in v is observed. These results suggest that the electron transfer process is controlled mainly by adsorption [40]. As posited by Laviron [40] in their methodology for irreversible couples, it is feasible to ascertain the kinetic parameters and compute the electron transfer number under the assumption of an alpha equal to 0.5. The electron transfer number (n) was derived from the slope of the linear portion of the plot of Ea,p as a function of log v. Figure S3c presents the graph of Ea,p versus log v, from which an approximate n of 2 is derived. This value is consistent with those obtained by other authors [20,21,22].
3.2. Generation of Activated Screen-Printed Graphene Electrodes (aSPGEs)
3.2.1. Activation of SPGEs by Different Methods
Screen-printed electrodes can be activated by different pretreatments. Examples of such pretreatments include electrochemical treatment [41], oxygen plasma treatment [42], mechanical activation [43], and others. The objective of these pretreatments is to enhance electro-transfer properties and improve sensitivity to compounds of interest. The mechanisms through which these enhancements occur may include increased hydrophilicity of the surface, an increase in carbon-oxygen functional groups on the surface, and/or the removal of surface contaminants [37,41,42,43]. In this work, the electrodes were pretreated in three different ways: (1) pre-anodization in a saturated Na2CO3 solution at 1.2 V (vs. Ag/AgCl pseudo-reference) for 5 min [44], (2) soaking in 0.5 M NaOH for 60 min [45], and (3) cyclic voltammetry in 0.5 M H2SO4 (10 cycles, 0.100 V s−1) in the potential window of −0.3 V to 2.0 V (vs. Ag/AgCl pseudo-reference) [37]. Figure S4 (Figure S4 in the Supplementary Material) shows the cyclic voltammograms of Dz 1.0 × 10−4 M on the SPGE activated (aSPGE) with pretreatments (a) 1, (b) 2, and (c) 3. As shown in Figure S4, the pretreatment that resulted in the most significant enhancement of the Dz signal was the electro-oxidation in the H2SO4 solution Consequently, this pretreatment was employed in the present study. Figure S5 displays the average (eight replicas) of the response of Dz on the SPGE and aSPGE. The activation pretreatment not only increases the value of the anodic peak current but also improves signal reproducibility. The massive electro-oxidation of graphene forms oxygenated groups in the defects of the graphene, which allows a strong adsorption of Dz on activated surface.
3.2.2. Electrochemical Characterization of the Electrode Surface of aSPGE
It was expected that the activation of the surface of the electrode would be responsible for the enhancement in the Dz electrochemical response. The electro-oxidation of graphene in an acidic medium produces oxygenated species upon its surface. To determine the presence of these oxygenated groups, an electrochemical characterization of the SPGE and aSPGE was performed using ammonium iron (II) sulfate as the probe. This salt is sensitive to carbonyl and hydroxyl groups on electrodes [35,43]. Therefore, when there is a high density of oxygenated groups on an electrode, an increase in oxidation and reduction currents as well as decreases in the difference between the anodic and cathodic potential peaks (ΔEp) should be observed. Figure 2a shows the cyclic voltammetry obtained in 1.0 × 10−3 M ammonium iron (II) sulfate + 0.1 M HClO4 on the SPGE (red line) and the aSPGE (black line). The SPGE exhibits a large ΔEp (~0.623 V), whereas the aSPGE shows a significant decrease in ΔEp (~0.164 V). In addition, the anodic and cathodic currents increased when the aSPGE was used. These results are evidence that electrochemical oxidation in acidic media induces oxygenated species upon the electrode surface [46].
Figure 2.
(a) Cyclic voltammograms recorded in 1.0× 10−3 M ammonium iron (II) sulfate + 0.1 M HClO4 and (b) 1 × 10−3 M potassium hexacyanoferrate (II) + 0.1 M KCl using an SPGE (red line) and aSPGE (black line). v: 0.05 V s−1. (c) Nyquist plots obtained for the redox probe potassium hexacyanoferrate (II)/potassium hexacyanoferrate (III) on the SPGE (red dots) and aSPGE (black dots). The red and black lines correspond to the fitting of the experimental data using the Randles equivalent circuit (inset). (d) SEM images of I, II SPGE and I′, II″ aSPGE at different magnifications.
Also, the change in the electroactive area of the aSPGE respect to the SPGE was analyzed. The electroactive area was determined using 1 × 10−3 M potassium hexacyanoferrate (II) + 0.1 M KCl as the redox probe [47]. Figure 2b shows the cyclic voltammetry of the SPGE (red line) and the aSPGE (black line) that was obtained. Using the Randles–Ševcik equation, the electroactive areas were determined at different scan rates in the range between 0.005 and 0.250 V s−1 [47]. The electroactive areas calculated were (0.041 ± 0.001) cm2 and (0.063 ± 0.001) cm2 for the SPGE and aSPGE, respectively, considering a diffusion coefficient of potassium hexacyanoferrate (II) of 0.75 × 105 cm2 s−1 [40].
Figure 2c shows that electrochemical impedance spectroscopy (EIS) was used to monitor the electrode–solution interface changes of the pretreated electrodes. Nyquist plots were obtained for the redox probe potassium hexacyanoferrate (II)/potassium hexacyanoferrate (III). To obtain the charge transfer (Rct) values, impedance spectra were fitted using a Randles equivalent circuit [40]. In the Nyquist plots, the semicircles observed at high frequencies indicate the Rct in the electrode–solution interface. It is evident that the activation pretreatment of SPGEs led to an increase in Rct due to the oxidation of the graphene surface. The electrochemical activation in the acidic medium used produces a substantial enhancement in the Rct value from 482.2 Ω to 163.9 Ω (with an error value close to 3%) when the aSPGR is compared with respect to SPGE. The enhanced Rct of the aSPGE can be attributed to the reduced conductivity properties of the graphene ink. In conclusion, the activation of the SPGE was shown to cause a slight increase in the electroactive area, with a higher density of carbonyl groups on the electrode surface, which led to an increase in the charge transfer resistance due to the discontinuity of the conjugation of molecular orbitals of graphene by the formation of oxygenated groups.
The surface topology of the SPGE and aSPGE was analyzed using SEM (Figure 2d). The presence of more micropores on the electrodes that were activated was identified. This observation has been replicated by other researchers, who have also noted an increase in porosity following electrochemical activation [37,41].
3.3. Selection of Electrochemical Technique
We used three different stripping voltammetry electrochemical techniques to detect Dz: linear sweep (LSSV), differential pulse (DPSV), and square wave (SWSV). The adsorption conditions in all cases were Eacc = OCP, tacc = 60 min on the aSPGE and 1 × 10−4 M of Dz in PBS, pH 2.00. The scan rate used in all cases was 0.050 V s−1 in a potential range from 0.0 to 1.2 V. The experimental parameters of the pulse technique were as follows: for DPSV, step potential = 10 mV, pulse width = 50 ms, pulse period = 200 ms, and pulse amplitude = 50 mV; for SWSV, step potential = 2 mV, square wave amplitude = 40 mV, and frequency = 25 Hz. Figure S6 (Supplementary Material) displays the voltammograms obtained for each technique. Linear voltammetry is an electrochemical technique that is not able to discriminate capacitive currents. However, as demonstrated in Figure S6, it has been demonstrated that this technique does show a higher current for the Dz discharge, with a better definition of the peak. Therefore, the electrochemical technique chosen to determine Dz was linear sweep voltammetry.
3.4. Optimization of the Linear Sweep Stripping Voltammetry Parameters
As described in Section 3.1.3, the Dz oxidation is an electron transfer process controlled mainly by adsorption. So, the attention was then turned on the effect of Dz pre-concentration conditions on electrodes, such as accumulation potential (Eacc) and tacc. In this regard, the effect of Eacc was studied on the response of 1 × 10−4 M of Dz in PBS, pH 2.00, on the aSPGE by applying a tacc of 60 min. The Eacc studied was open circuit potentials (OCPs) of −0.12, 0, 0.12, 0.27, and 0.42 V. Figure S7a (Supplementary Material) shows the Ia,p vs. Eacc plot. As can be seen in Figure S7a, the Eacc has an effect on the Dz electro-oxidation signal related to the higher Dz concentration adsorbed on the electrode, and the optimal value in terms of a bigger Ip,a was Eacc = OCP, which was close to 0.120 V. So, this Eacc value was used to quantify Dz.
On the other hand, the effect of tacc was studied at the Eacc previously selected on the response of 1 × 10−6 M of Dz in PBS, pH 2.00, on the aSPGE for accumulation times of 5, 10, 15, 20, 30, 45, and 60 min in an ultrasound bath. Figure S7b shows the Ia,p vs. tacc plot. As expected, an increase in the tacc resulted in an increase in the Ia,p, reaching a maximum at 30 min. Consequently, 30 min was identified as the optimal accumulation time.
Finally, the effect of the scan rate on the response for 1 × 10−6 M of Dz in PBS, pH 2.00, on the aSPGE (Eacc = OCP, tacc = 30 min) was studied in a range from 0.1 to 1.0 V s−1. Figure S7c (Supplementary Material) shows the linear sweep voltammograms obtained at different values of v. As expected, an increase in v resulted in an increase in the current. Consequently, v = 1.0 V s−1 was identified as the optimal v.
3.5. Analytical Parameters
Figure 3a,b shows linear sweep stripping voltammograms and the corresponding correlation plot for increasing concentrations of Dz obtained on the aSPGE under the optimal conditions determined previously. As it is shown, the resulting calibration plot is non-linear over the 0.05–100 μM range for Dz due to a saturation of Dz on the electrode. Figure 3c displays a linear range from 0.05 to 1 μM, with a slope of 11.80 ± 1.01 μA/μM. The calibration equation and the correlation coefficient for the linear fitting were Ia,p = (3.29 ± 1.39) × 10−7 + (11.80 ± 1.01) × 12CDz* and r = 0.9891, respectively. The detection and quantification limits were 0.012 μM and 0.06 μM, estimated as 3 and 10 times the Sy/x/slope, respectively [48]. The repeatability of Dz determination using the aSPGE was calculated as the percentage of the relative standard deviation (RSD) of six independent measurements performed for 0.05, 0.5, and 1 μM Dz solutions, where the values calculated were 2.41, 3.41, and 2.23 for the three concentrations, respectively. The reproducibility of aSPGE was evaluated by running six calibration curves obtained from six aSPGE runs conducted on different days. The repeatability of the process was not a primary concern in this instance given the utilization of a single instance of the aSPGE due to its disposable nature. The percent relative standard deviation was 7.4% for the reproducibility. The results demonstrate that the aSPGE shows a good performance for Dz determination.
Figure 3.
(a) Linear sweep voltammograms recorded in PBS, pH 2.00, containing different Dz concentrations. (b) Relation between anodic peak current and Dz concentration in a wide range of concentrations. (c) The corresponding calibration plot obtained from LS voltammograms of (a). The accumulation conditions were tacc = 30 min, Eacc = OCP. v = 1 V s−1.
3.6. Application of the Electrochemical Method to the Analysis of Edible Peanut Oil Samples
The proposed electrochemical method was then applied to the determination of Dz in edible peanut oil samples as a quality control parameter. The presence of Dz was found to be negligible in all commercial samples that were analyzed. Consequently, untreated edible peanut oil samples were spiked with varying quantities of Dz (see Section 2.4) and analyzed in triplicate. The results obtained are presented in Table 1. The recovery percentages exhibited a range from 97% to 104%.
Table 1.
Recovery assays of Dz in spiked Argentinian edible peanut oil samples.
3.7. Comparison with Other Electrochemical Methods
Table 2 displays the comparison between the electrochemical method proposed for us and other methods found in the literature. As can be seen, it has recently been reported that a number of electrochemical methods have been utilized for the determination of Dz in matrices of different nature, employing modified electrodes based on different materials. Our sensor did not demonstrate an enhancement of figures of merits in comparison to other electrochemical methods (see Table 2); however, several advantages can be evidently identified. These advantages include a reduced reagent consumption (75 µL per sample), the absence of an electrode cleaning stage, the feasibility of decentralized analysis, and the utilization of a simple, disposable unmodified electrode for Dz determination.
Table 2.
Comparison between this proposed electrochemical method and other methods found in the literature.
3.8. Greenness Assessment of the Proposed Method
Another advantage of the electrochemical sensor developed to determine Dz in peanut oil samples is the environmental sustainability. Therefore, the electrochemical determination used to determine Dz based on the electrochemical sensor was evaluated through the greenness metric approach [49]. Also, the blue applicability grade index (BAGI) tool was used, which evaluates the practicality of an analytical method from the consideration of main attributes such as the type of analysis, the number of analytes that are simultaneously determined, the analytical technique and required analytical instrumentation, the number of samples that can be simultaneously treated, the sample preparation, the number of samples that can be analyzed per hour, the type of reagents and materials used in the analytical method, the requirement for preconcentration, the automation degree, and the amount of sample. When the total BAGI score is higher than 60, the analytical method can be considered “practical” [50].
Figure 4 shows pictograms depicting the overall scores and the performance of the individual criterion according to a color scale obtained for the proposed method for both metrics.
Figure 4.
(a) Green assessment of the proposed method using the AGREE metric and (b) BAGI index pictogram for the proposed method.
As is illustrated, the great majority of the individual scores satisfied the “greenness” criterion, with an overall score of 0.77. The lowest possible score was obtained in the absence of bio-generated reagents (score of 10). However, a simple pretreatment step (dilution of the peanut products) and a reduced volume of electrochemical cells (0.075 mL) have been shown to enhance the performance of the method. The BAGI score of 77.5 that was assigned to our method demonstrates its good applicability.
4. Conclusions
In this study, we examined the potential of screen-printed graphene electrodes as a portable electrochemical sensing tool for the determination of daidzein. This investigation involved the utilization of both commercial reagents and peanut oil samples, offering a comprehensive approach to the analysis. Various electrochemical activation pretreatments of graphene screen-printed electrodes were tested to enhance the analytical signal of daidzein oxidation. Linear sweep voltammetry was utilized as the electrochemical technique of choice. This technique has been demonstrated to offer a number of distinct advantages, including the ease of application and interpretation of results.
Following a rigorous examination of the available evidence, it is concluded that the electrochemical method is both accurate and precise. Therefore, we believe that the proposed method is a reliable alternative for the quantification of daidzein in peanut products with the aim of performing quality control assays.
Supplementary Materials
The following supporting information can be downloaded at https://www.mdpi.com/article/10.3390/chemosensors13080304/s1, Figure S1: Chemical structure of daidzein; Figure S2: (a) Cyclic voltammograms in different reaction media for Dz on SPGEs; CDz* = 1.0 × 10−4 M and v = 0.100 V s−1. (b) A plot of the anodic peak potential (Ea,p) vs. pH. CDz* = 1.00 × 10−4 M; v = 0.100 V s−1. The linear regression equation was Ep,a (V) = (0.93 ± 0.01) − (0.053 ± 0.001) pH (r = 0.997). All experiments were recorded at room temperature without a previous accumulation stage; Figure S3: (a) Cyclic voltammograms at different v (from 0.005 to 0.250 V s−1) for 1.0 × 10−4 M Dz in PBS, pH 2.0, at SPGE after a tacc = 60 min at OCP; (b) plot of Ia,p vs. v, (Ia,p = (8.39 ± 0.26) × 10−6 A s V−1 + (7.64 ± 2.97) × 10−8), r = 0.998. (c) plot of Ea,p as a function of log v, (Ea,p = (0.847 ± 0.003) + (0.0583 ± 0.001), r = 0.996); Figure S4: Cyclic voltammograms for 1.0 × 10−4 M Dz in PBS, pH 2.0, at SPGE after pretreatment with (a) saturated Na2CO3, (b) 0.5 M NaOH, and (c) 0.5 M H2SO4 (dotted red line is the response in the blank solution). In all cases black dotted lines represent the response for Dz without any pretreatment of the electrode surface; Figure S5: Average response of the anodic peak current 1.0 × 10−4 M Dz in PBS, pH 2.0 at SPGE and aSPGE. v = 0.100 V s−1, tacc = 60 min OCP; Figure S6: Linear (black line), differential pulse (red line) and square wave (blue line) voltammograms for Dz at aSPGE and they corresponding blank signals (dotted lines). CDz* = 1.00 × 10−4 M; v = 0.050 V s−1; Figure S7: (a) Effect of accumulation potential on the response for 1 × 10−4 M of Dz in PBS, pH 2.00, at aSPGE during an accumulation time of 60 min. (b) Effect of accumulation time obtained at the Eacc = OCP, on the response of 1 × 10−6 M of Dz in PBS, pH 2.00, at aSPGE. (c) Effect of the scan rate on the response for 1 × 10−6 M of Dz in PBS, pH 2.00, at aSPGE (Eacc =OCP, tacc = 30 min).
Author Contributions
Conceptualization, A.M.G., S.N.R. and G.D.P.; methodology, A.M.G. and G.D.P.; software, M.A.C. and R.D.A.; validation, R.C., H.F. and C.E.B.; formal analysis, A.M.G. and G.D.P.; investigation, A.M.G., R.C., R.D.A. and M.A.C.; resources, A.M.G. and G.D.P.; data curation, H.F., R.C., S.N.R., C.E.B. and G.D.P.; writing—original draft preparation, G.D.P.; writing—review and editing, A.M.G., F.J.A. and G.D.P.; visualization, A.M.G., H.F., F.J.A. and G.D.P.; supervision A.M.G. and G.D.P.; project administration, A.M.G. and G.D.P.; funding acquisition, A.M.G. and G.D.P. All authors have read and agreed to the published version of the manuscript.
Funding
This research was funded by CONICET (Consejo Nacional de Investigaciones Científicas y Técnicas) grant number PIP 11220200100960CO, and Agencia Nacional de Promoción Científica y Tecnológica grant number PICT 2021-I-INVI-00485. No APC charges were applied.
Data Availability Statement
The data that support the findings of this study are available on request from the corresponding author.
Acknowledgments
The authors are grateful to CONICET (Consejo Nacional de Investigaciones Científicas y Técnicas) (PIP 11220200100960CO). G.D.P. gives thanks for the financial support from Agencia Nacional de Promoción Científica y Tecnológica PICT 2021-I-INVI-00485. M.A.C. and R.D.A. give thanks to CONICET for the doctoral fellowships.
Conflicts of Interest
The authors declare no conflict of interest.
References
- Singh, S.; Grewal, S.; Sharma, N.; Behl, T.; Gupta, S.; Anwer, K.; Vargas-De-La-Cruz, C.; Mohan, S.; Bungau, S.G.; Bumbu, A. Unveiling the Pharmacological and Nanotechnological Facets of Daidzein: Present State-of-the-Art and Future Perspectives. Molecules 2023, 28, 1765. [Google Scholar] [CrossRef]
- Krishna, S.S.; Kuriakose, B.B.; Lakshmi, P.K. Effects of phytoestrogens on reproductive organ health. Arch. Pharmacal Res. 2022, 45, 849–864. [Google Scholar] [CrossRef]
- Yamagata, K.; Yamori, Y. Potential Effects of Soy Isoflavones on the Prevention of Metabolic Syndrome. Molecules 2021, 26, 5863. [Google Scholar] [CrossRef]
- Ahmad, S.; Ahsan, F.; Ansari, J.A.; Mahmood, T.; Shamim, A.; Bano, S.; Tiwari, R.; Ansari, V.A.; Shafiurrahman; Kesari, M. A review on daidzein as food supplement: Exploring its phytopharmacological and preclinical status. Efood 2024, 5, e70008. [Google Scholar] [CrossRef]
- Morton, M.; Arisaka, O.; Miyake, A.; Evans, B. Analysis of phyto-oestrogens by gas chromatography-mass spectrometry. Environ. Toxicol. Pharmacol. 1999, 7, 221–225. [Google Scholar] [CrossRef]
- Kuo, H.-W.; Ding, W.-H. Trace determination of bisphenol A and phytoestrogens in infant formula powders by gas chromatography–mass spectrometry. J. Chromatogr. A 2004, 1027, 67–74. [Google Scholar] [CrossRef] [PubMed]
- Benedetti, B.; Di Carro, M.; Mirasole, C.; Magi, E. Fast derivatization procedure for the analysis of phytoestrogens in soy milk by gas chromatography tandem mass spectrometry. Microchem. J. 2018, 137, 62–70. [Google Scholar] [CrossRef]
- Mitani, K.; Narimatsu, S.; Kataoka, H. Determination of daidzein and genistein in soybean foods by automated on-line in-tube solid-phase microextraction coupled to high-performance liquid chromatography. J. Chromatogr. A 2003, 986, 169–177. [Google Scholar] [CrossRef]
- Wang, Y.; Yao, Y.; An, R.; You, L.; Wang, X. Simultaneous determination of puerarin, daidzein, baicalin, wogonoside and li-quiritin of GegenQinlian decoction in rat plasma by ultra-performance liquid chromatography–mass spectrometry. J. Chromatogr. B 2009, 877, 1820–1826. [Google Scholar] [CrossRef]
- Hosoda, K.; Furuta, T.; Ishii, K. Simultaneous determination of glucuronic acid and sulfuric acid conjugated metabolites of daidzein and genistein in human plasma by high-performance liquid chromatography. J. Chromatogr. B 2010, 878, 628–636. [Google Scholar] [CrossRef] [PubMed]
- Redruello, B.; Guadamuro, L.; Cuesta, I.; Álvarez-Buylla, J.R.; Mayo, B.; Delgado, S. A novel UHPLC method for the rapid and simultaneous determination of daidzein, genistein and equol in human urine. J. Chromatogr. B 2015, 1005, 1–8. [Google Scholar] [CrossRef]
- Jornet-Martínez, N.; Moliner-Martínez, Y.; Molins-Legua, C.; Campíns-Falcó, P. Trends for the Development of In Situ Analy-sis Devices. Encycl. Anal. Chem. 2017, 1–23. [Google Scholar] [CrossRef]
- Gu, Y.; Li, Y.; Ren, D.; Sun, L.; Zhuang, Y.; Yi, L.; Wang, S. Recent advances in nanomaterial-assisted electrochemical sensors for food safety analysis. Food Front. 2022, 3, 453–479. [Google Scholar] [CrossRef]
- Li, Y.; Chen, X.; Lin, Y.; Yang, Y.; Zhang, L.; Zhao, P.; Wang, C.; Fei, J.; Xie, Y. Detection of catechins in tea beverages using a novel electrochemical sensor based on cyclodextrin nanosponges composite. Efood 2023, 4, e64. [Google Scholar] [CrossRef]
- Ibanez, J.G.; Fitch, A.; Frontana-Uribe, B.A.; Vasquez-Medrano, R. Green Electrochemistry. In Encyclopedia of Applied Electrochemistry; Kreysa, G., Ota, K.-i., Savinell, R.F., Eds.; Springer: New York, NY, USA, 2014; pp. 964–971. [Google Scholar]
- Wang, J. Real-Time Electrochemical Monitoring: Toward Green Analytical Chemistry. Accounts Chem. Res. 2002, 35, 811–816. [Google Scholar] [CrossRef]
- Berkel, C.; Özbek, O. Green Electrochemical Sensors, Their Applications and Greenness Metrics Used: A Review. Electroanalysis 2024, 36, e202400286. [Google Scholar] [CrossRef]
- Fernandes, I.P.G.; Oliveira, S.C.B.; Ghalkhani, M.; Shahrokhian, S.; Oliveira-Brett, A.M. Electrochemical Oxidation Mechanisms of the Antioxidants Daidzein and 7-Hydroxy-4-chromone. Electroanalysis 2012, 24, 618–626. [Google Scholar] [CrossRef]
- Cai, Z.; Gan, J.N.; Lu, D.F.; Zhang, X. Electrochemical Behaviours of Daidzein at Multi-Wall Carbon Nanotubes Modified Glassy Carbon Electrode. Asian J. Chem. 2012, 24, 4986–4990. [Google Scholar]
- Li, Y.; Li, Y.; Gao, J.; Wang, L.; Zou, L.; Ye, B. A Novel Strategy of Electrochemically Treated ZrOCl2 Doped Carbon Paste Electrode for Sensitive Determination of Daidzein. Electroanalysis 2015, 27, 1719–1725. [Google Scholar] [CrossRef]
- Wang, L.; Li, Y.; Wang, Q.; Zou, L.; Ye, B. The construction of well-aligned MWCNTs-PANI Langmuir–Blodgett film modified glassy carbon electrode and its analytical application. Sens. Actuators B Chem. 2016, 228, 214–220. [Google Scholar] [CrossRef]
- Fu, Y.; Wang, L.; Duan, Y.; Zou, L.; Ye, B. Facile synthesized SnO2 decorated functionalized graphene modified electrode for sensitive determination of daidzein. Talanta 2017, 168, 1–9. [Google Scholar] [CrossRef] [PubMed]
- Liang, Y.; Qu, C.; Yang, R.; Qu, L.; Li, J. Molecularly imprinted electrochemical sensor for daidzein recognition and detection based on poly(sodium 4-styrenesulfonate) functionalized graphene. Sens. Actuators B Chem. 2017, 251, 542–550. [Google Scholar] [CrossRef]
- Olejnik, P.; Gniadek, M.; Echegoyen, L.; Plonska-Brzezinska, M.E. A Nanocomposite Containing Carbon Nano-onions and Polyaniline Nanotubes as a Novel Electrode Material for Electrochemical Sensing of Daidzein. Electroanalysis 2021, 33, 1107–1114. [Google Scholar] [CrossRef]
- Zhang, Z.; Zuo, Y.; Fan, Y.; Wang, X.; Wang, C.; Yang, S.; Zhao, X.; Wang, M.; Xu, R. In situ fabrication of Ag nanoparticles modified vertically-grown ZnO nanorods on carbon fiber paper electrode for simultaneous detection of luteolin, daidzein and baicalein. Colloids Surfaces A Physicochem. Eng. Asp. 2024, 694, 134118. [Google Scholar] [CrossRef]
- Liu, J.; Ai, Q.; Zuo, Y.; Zhao, X.; Wu, Q.; Wang, M.; Chen, J. Simultaneous Electrochemical Detection of Puerarin and Daidzein by Ag Nanoparticles and CuO Nanowires Coated ZnO Nanorod Arrays Self-Supporting Electrode. ChemElectroChem 2025, 12, e202400592. [Google Scholar] [CrossRef]
- Couto, R.A.S.; Lima, J.L.F.C.; Quinaz, M.B. Recent developments, characteristics and potential applications of screen-printed electrodes in pharmaceutical and biological analysis. Talanta 2016, 146, 801–814. [Google Scholar] [CrossRef]
- Li, M.; Li, D.-W.; Xiu, G.; Long, Y.-T. Applications of screen-printed electrodes in current environmental analysis. Curr. Opin. Electrochem. 2017, 3, 137–143. [Google Scholar] [CrossRef]
- Paimard, G.; Ghasali, E.; Baeza, M. Screen-printed electrodes: Fabrication, modification, and biosensing applications. Chemosensors 2023, 11, 113. [Google Scholar] [CrossRef]
- Azeredo, N.F.B.; Santos, M.S.F.; Sempionatto, J.R.; Wang, J.; Angnes, L. Screen-Printed Technologies Combined with Flow Analysis Techniques: Moving from Benchtop to Everywhere. Anal. Chem. 2022, 94, 250–268. [Google Scholar] [CrossRef]
- Sher, M.; Faheem, A.; Asghar, W.; Cinti, S. Nano-engineered screen-printed electrodes: A dynamic tool for detection of virus-es. TrAC Trends Anal. Chem. 2021, 143, 116374. [Google Scholar] [CrossRef] [PubMed]
- Negahdary, M.; Ameku, W.A.; Santos, B.G.; Lima, I.d.S.; de Oliveira, T.G.; França, M.C.; Angnes, L. Recent electrochemical sensors and biosensors for toxic agents based on screen-printed electrodes equipped with nanomaterials. Microchem. J. 2023, 185, 108281. [Google Scholar] [CrossRef]
- Rubino, A.; Queirós, R. Electrochemical determination of heavy metal ions applying screen-printed electrodes based sensors. A review on water and environmental samples analysis. Talanta Open 2023, 7, 100203. [Google Scholar] [CrossRef]
- Randviir, E.P.; Brownson, D.A.C.; Metters, J.P.; Kadara, R.O.; Banks, C.E. The fabrication, characterisation and electrochemical investigation of screen-printed graphene electrodes. Phys. Chem. Chem. Phys. 2014, 16, 4598–4611. [Google Scholar] [CrossRef] [PubMed]
- Pierini, G.D.; Foster, C.W.; Rowley-Neale, S.J.; Fernández, H.; Banks, C.E. A facile electrochemical intercalation and micro-wave assisted exfoliation methodology applied to screen-printed electrochemical-based sensing platforms to impart im-proved electroanalytical outputs. Analyst 2018, 143, 3360–3365. [Google Scholar] [CrossRef] [PubMed]
- Pierini, G.D.; Maccio, S.A.; Robledo, S.N.; Ferrari, A.G.-M.; Banks, C.E.; Fernández, H.; Zon, M.A. Screen-printed electrochemical-based sensor for taxifolin determination in edible peanut oils. Microchem. J. 2020, 159, 105442. [Google Scholar] [CrossRef]
- González-Sánchez, M.; Gómez-Monedero, B.; Agrisuelas, J.; Iniesta, J.; Valero, E. Electrochemical performance of activated screen printed carbon electrodes for hydrogen peroxide and phenol derivatives sensing. J. Electroanal. Chem. 2019, 839, 75–82. [Google Scholar] [CrossRef]
- Robledo, S.N.; Zachetti, V.G.L.; Zon, M.A.; Fernández, H. Quantitative determination of tocopherols in edible vegetable oils using electrochemical ultra-microsensors combined with chemometric tools. Talanta 2013, 116, 964–971. [Google Scholar] [CrossRef]
- Robledo, S.N.; Tesio, A.Y.; Ceballos, C.D.; Zon, M.A.; Fernández, H. Electrochemical ultra-micro sensors for the determination of synthetic and natural antioxidants in edible vegetable oils. Sens. Actuators B Chem. 2014, 192, 467–473. [Google Scholar] [CrossRef]
- Bard, A.J.; Faulkner, L.R. Electrochemical Methods: Fundamentals and Applications; Wiley: Hoboken, NJ, USA, 2000. [Google Scholar]
- González-Sánchez, M.I.; Gómez-Monedero, B.; Agrisuelas, J.; Iniesta, J.; Valero, E. Highly activated screen-printed carbon electrodes by electrochemical treatment with hydrogen peroxide. Electrochem. Commun. 2018, 91, 36–40. [Google Scholar] [CrossRef]
- Wang, S.; Chang, K.; Yuan, C. Enhancement of electrochemical properties of screen-printed carbon electrodes by oxygen plasma treatment. Electrochim. Acta 2009, 54, 4937–4943. [Google Scholar] [CrossRef]
- Cumba, L.R.; Foster, C.W.; Brownson, D.A.C.; Smith, J.P.; Iniesta, J.; Thakur, B.; Carmo, D.R.D.; Banks, C.E. Can the mechanical activation (polishing) of screen-printed electrodes enhance their electroanalytical response? Analyst 2016, 141, 2791–2799. [Google Scholar] [CrossRef]
- Cui, G.; Yoo, J.H.; Lee, J.S.; Yoo, J.; Uhm, J.H.; Cha, G.S.; Nam, H. Effect of pre-treatment on the surface and electrochemical properties of screen-printed carbon paste electrodes. Analyst 2001, 126, 1399–1403. [Google Scholar] [CrossRef]
- Huang, Y.M.; Settu, K.; Tsai, J.Z. Chemically-Treated Screen-Printed Graphene Electrode for Electrochemical Sensing. In Proceedings of the 2020 IEEE International Conference on Consumer Electronics—Taiwan (ICCE-Taiwan), Taoyuan, Taiwan, 28–30 September 2020; pp. 1–2. [Google Scholar]
- Chen, P.; McCreery, R.L. Control of Electron Transfer Kinetics at Glassy Carbon Electrodes by Specific Surface Modification. Anal. Chem. 1996, 68, 3958–3965. [Google Scholar] [CrossRef]
- Trachioti, M.G.; Lazanas, A.C.; Prodromidis, M.I. Shedding light on the calculation of electrode electroactive area and heterogeneous electron transfer rate constants at graphite screen-printed electrodes. Microchim. Acta 2023, 190, 251. [Google Scholar] [CrossRef] [PubMed]
- Miller, J.C.; Miller, J.N. Statistics for Analytical Chemistry; Ellis Horwood PTR Prentice Hall: Englewood Cliffs, NJ, USA, 1993. [Google Scholar]
- Pena-Pereira, F.; Wojnowski, W.; Tobiszewski, M. AGREE—Analytical GREEnness Metric Approach and Software. Anal. Chem. 2020, 92, 10076–10082. [Google Scholar] [CrossRef] [PubMed]
- Manousi, N.; Wojnowski, W.; Płotka-Wasylka, J.; Samanidou, V. Blue applicability grade index (BAGI) and software: A new tool for the evaluation of method practicality. Green Chem. 2023, 25, 7598–7604. [Google Scholar] [CrossRef]
Disclaimer/Publisher’s Note: The statements, opinions and data contained in all publications are solely those of the individual author(s) and contributor(s) and not of MDPI and/or the editor(s). MDPI and/or the editor(s) disclaim responsibility for any injury to people or property resulting from any ideas, methods, instructions or products referred to in the content. |
© 2025 by the authors. Licensee MDPI, Basel, Switzerland. This article is an open access article distributed under the terms and conditions of the Creative Commons Attribution (CC BY) license (https://creativecommons.org/licenses/by/4.0/).



