Abstract
Chlorpyrifos is one of the most toxic organophosphate pesticides, prompting its ban in Europe in 2020. Consequently, developing a detection method that is both selective and sensitive is essential for protecting human health and the environment. In this study, we report for the first time a fluorescent probe based on an oxime for the direct detection of chlorpyrifos. 9-fluorenone oxime, upon deprotonation with a phosphazene base, undergoes a nucleophilic attack on chlorpyrifos, resulting in a significant alteration of its fluorescence properties. Following careful optimization, the method demonstrated excellent linearity (R2 = 0.98) over a concentration range of 350 to 6980 μg/L, with a limit of detection of 15.5 μg/L. Furthermore, the probe was successfully applied to chlorpyrifos detection in water samples, yielding satisfactory results. This approach effectively overcomes the stability limitations of enzyme-based fluorescent sensors, offering a robust and innovative solution for the detection of organophosphate pesticides.
1. Introduction
Chlorpyrifos (CLP), patented in 1966 by the Dow Chemical Company, is a broad-spectrum chlorinated organophosphate (OP) pesticide widely used to control insect pests on various crops, particularly fruits and vegetables, thereby significantly contributing to agricultural yield [1,2]. It works by inhibiting acetylcholinesterase (AChE), an enzyme essential for the proper functioning of the nervous system [3,4]. This inhibition results in the accumulation of acetylcholine in synapses, leading to overstimulation of the nervous system, paralysis, and ultimately death in pests. A similar enzyme called butyrylcholinesterase is found in blood plasma and can be used as an antidote in the early stages of OP poisoning [5]. It binds nerve agents in the bloodstream before they can exert effects in the nervous system [6]. Until its ban in 2020, it was one of the most commonly used pesticides in food production within the European Union (EU) [7]. However, CLP is associated with reproductive toxicity, neurotoxicity, and genotoxicity, making it a frequent focus of scientific studies on OP pesticides in fruits and vegetables [8]. A major issue with CLP is its variable half-life, which, depending on soil conditions and application concentration, can range from a few days to as long as four years [9]. While its use is now prohibited within the EU, it remains widely employed in other regions, posing potential risks not only to local populations but also to Europe. For instance, in 2023, the EU imported 158 billion euros’ worth of agri-food products, potentially exposing consumers to pesticides banned within its borders [10]. As the global population continues to grow, these environmental and health risks are likely to intensify. To monitor pesticide residues, several analytical techniques are employed, with high-performance liquid chromatography (HPLC-MS/MS) and gas chromatography coupled with mass spectrometry (GC-MS/MS) considered the gold standards. While these methods ensure food safety, they are characterized by significant limitations, including high costs, time-consuming analyses, and lack of portability, which restrict the number of samples that can be tested daily. Ideally, all food products reaching consumers would be thoroughly monitored; however, achieving this requires alternative technologies. Consequently, research is increasingly focused on the development of sensors that are portable, rapid, user-friendly, and cost-effective, offering a promising solution to address these challenges of research.
Optical chemical sensors represent a promising approach due to their potential to offer several advantages. Various optical principles are currently under investigation, including surface-enhanced Raman scattering (SERS) [11], surface plasmon resonance (SPR) [12], and fluorescence. Among these, fluorescence is the most straightforward to implement, featuring a simple and cost-effective setup. Numerous studies have demonstrated its good selectivity and the capability to achieve limits of detection (LOD) at nanomolar (nM) [13] and even picomolar (pM) [14] concentrations of OPs. To contextualize this work within recent developments in fluorescence-based sensors for CLP detection, Table 1 presents a comparative analysis of different substrates employed for this purpose. The literature offers various approaches to fluorescence sensors for CLP, with only one reported example of direct detection using a fluorescent dye based on a europium coumarin complex [15]. Typically, biological methodologies [16,17,18] or hybrid techniques, such as nanoparticles (NPs) combined with dyes [19], quantum dots (QD) with molecularly imprinted polymers (MIPs) [20], or lanthanides with NPs [21], are good examples of very good sensors. However, these approaches often face significant drawbacks, including the use of expensive and/or hazardous materials, limited stability, or inadequate selectivity. In contrast, the method proposed in this work is straightforward, utilizes neither expensive nor hazardous materials, exhibits stability and easy repeatability, and ensures selectivity through a chemical reaction.
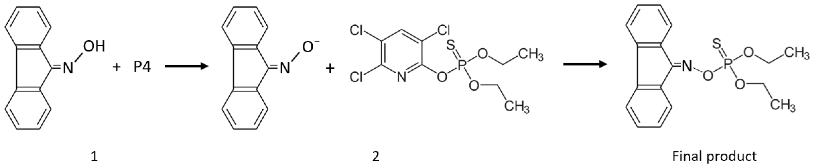
It is well established that oximes can reactivate the acetylcholinesterase enzyme [22] and protect it from phosphorylation by OP compounds [23]. Building on this knowledge, several studies have explored the development of fluorescent dyes suitable for OP detection [24,25,26]. However, most reports in the literature focus on OPs used as warfare agents rather than agricultural or environmental applications. In this study, we report for the first time the use of an oxime-based dye for the detection of CLP, marking only the second fluorophore [15] to directly detect this compound. We developed a novel method for determining CLP in water by monitoring changes in the fluorescence spectra of 9-fluorenone oxime (FLOX), as illustrated in Figure 1.
Figure 1.
Proposed mechanism of reaction. FLOX is deprotonated by P4 (step 1) and then reacts with CLP (step 2) to give the proposed fluorescent product.
Although oximes are well-recognized as potent nucleophiles, their potential as scaffolds in sensors and probes applications remains largely unexplored. In our approach, FLOX was deprotonated using a phosphazene base and subsequently introduced into a solution of CLP in acetonitrile (CH3CN) (see Figure 1). This interaction resulted in a rapid and strong fluorescence emission, which was captured by a fluorimeter. Chlorpyrifos concentrations ranging from 350 to 6980 µg/L were successfully detected, with the method achieving a limit of detection (LOD) of 15.5 µg/L. Additionally, the probe was tested on water extracts, yielding satisfactory results, further demonstrating its applicability in real-world scenarios.
Table 1.
State of the art of fluorescence sensors and probes for detection of chlorpyrifos.
Table 1.
State of the art of fluorescence sensors and probes for detection of chlorpyrifos.
| Substrate | Reaction Time (min) | LOD (µg/L) | Linear Range (μg/L) | Reference |
|---|---|---|---|---|
| Eu (III)-TAN-1,10 phenanthroline naphthyl)-1,3-butanedione) | / | 164 | 578–7713 | [15] |
| Immunoassay-Rhodamine AuNPs | 10 | 61 | 121–1250 | [17] |
| Monoclonal antibody | 10 | 15 | 15–64,000 | [18] |
| CdS NPs–Eosin Y dye | 20 | 10 | 10–100 | [19] |
| QD–MIP flow cytometry | 90 | 10 | 20–200 | [20] |
| Tb3+ MOF–PDDA AuNPs | 6 | 1.33 | 1.75–210 | [21] |
| Polymer membrane with acryloyl-β-cyclodextrin | 0.33 | 0.15 | 0.5–2.5 | [27] |
| TEF-CDs | 5 | 2.1 | 17–35,000 | [28] |
| Nitrogen dots | 5 | 2 | 10–500 | [29] |
| Mn (II)-doped ZnS QD coated with MIP | 10 | 6 | 105–21,000 | [30] |
| Fluorenone oxime dye | 20 | 15.5 | 350–6970 | This work |
2. Results
2.1. Response Surfaces
Detecting pesticides at micromolar concentrations presents a significant challenge, making system optimization a critical step in the development of new pesticide sensors. To maximize the fluorescence response of the dye, the optimal reaction conditions were investigated using the design of experiments (DoE) methodology. The analysis identified the optimal conditions as 20 min, FLOX at 60 µM, and P4 at 5 equivalents, as shown in Figure 2. No significant cross-interactions were observed; therefore, further optimization focused on the concentrations of FLOX and P4. Time optimization is addressed in Section 3.2. An attempt was made to increase the FLOX concentration to 100 µM; however, this led to suboptimal results due to self-quenching phenomena. For P4, comparisons were made between 5, 3, and 1.5 equivalents. It was determined that 3 equivalents provided the best results, as 1.5 equivalents were insufficient to fully deprotonate FLOX, and 5 equivalents resulted in diminished performance. Consequently, the optimized conditions used in subsequent sections of this study were as follows: 20 min, FLOX at 60 µM, and P4 at 3 equivalents (180 µM).
Figure 2.
(a) Graph sliced at T = 10 min. (b) Graph sliced T = 20 min. On the y-axis we have the P4 equivalents added (from 5 to 10 times the FLOX concentration), on the x-axis the dye concentration (from 30 to 60 μM). The fluorescence intensity of the final product proposed in Figure 1 is our response variable that is graphically represented by the color change (from green to orange color). The fluorescence intensity increases from green to orange.
2.2. Calibration Curve
Building upon the fundamental insights obtained through the DoE methodology, the calibration curve experiment was conducted using the optimized parameters: FLOX at 60 µM, P4 at 180 µM, and a reaction time of 20 min. Under these conditions, the graph presented in Figure 3 was generated, from which the calibration curve was derived. Each data point represents the mean of three measurements (n = 3). As shown in Figure 3, the coefficient of determination (R2) is 0.98. Further analysis revealed that this slight deviation from linearity is likely due to saturation effects or the inner filter effect, phenomena that commonly occur at elevated analyte concentrations and affect fluorescence-based systems. However, it is important to note that real-world CLP concentrations fall within the lower range of the calibration curve, where the relationship is strongly linear (removing the highest concentration point gives R2 = 0.99). The calculated LOD is 15.5 µg/L. For comparison, the maximum residue limits (MRLs) for pesticides in drinking water in countries such as the United States (30 μg/L), Canada (90 μg/L), China (50 μg/L), and India (100 μg/L) are greater than or equal to the former EU limit of 10 µg/L.
Figure 3.
(a) Fluorescence spectra of the reaction in CH3CN at CLP concentrations from 0 to 6.94 mg/L (λexc= 329 nm). (b) Associated calibration curve with the data reported in graph (a), λem= 490 nm.
2.3. Water Test
To thoroughly assess the practical viability of the method under real-world conditions, we tested our probe with CLP in the presence of a tap water extract. It is well established that CLP can contaminate groundwater due to its relatively long half-life in soil, which can ranges from few days to 126 or more days depending on environmental conditions [9,31]. Therefore, monitoring its presence in potable water is crucial. The water used in the experiment was sourced from the Maribor aqueduct. The preparation of the water extraction matrix followed the procedure outlined in Section 4.4 As shown in Figure S2 (see Supplementary Material) the LOD of the probe was significantly affected, increasing from 15.5 µg/L in pure CH3CN to 114 µg/L in the presence of the water extract. This increase is expected due to matrix effects commonly observed in analytical chemistry. The observed LOD increase is attributed to fluorescence quenching caused by residual MgSO4, acetic acid, and trace amounts of water retained in the matrix, even after extensive drying with MgSO4 [32]. Additionally, the presence of organic compounds in water, combined with a λexc of 329 nm, can lead to background fluorescence interference, which can further explain the difference in the LOD. However, the limit of detection (LOD) remains significant in a global context, as regulatory limits for CLP in drinking water, vary widely as mentioned in Section 2.2. This demonstrates the method’s suitability for pesticide monitoring. These findings emphasize the importance of matrix-specific calibration, a standard practice in analytical method development, and suggest that alternative extraction strategies could be explored to further optimize performance. Another possibility would be to identify suitable fluorescence oximes that deprotonate in low pH water.
3. Discussion
3.1. Sensing Mechanism
Oximes are commonly used as intermediates in the synthesis of their corresponding carbonyl compounds or as protective groups for these compounds. 9-Fluorenone oxime is typically synthesized through the reaction of hydroxylamine hydrochloride with fluorenone [33]. Super-nucleophiles are reactive species characterized by an atom with an unshared electron pair (commonly nitrogen or oxygen) adjacent to the nucleophilic site, a phenomenon referred to as the α-effect. Molecules exhibiting these features include oximes and hydrazones (R-NNH2). Oximes, in particular, are widely employed as antidotes for OP poisoning, with pralidoxime being one of the most commonly available in the market. Additionally, the reactivity of oximes with OP warfare agents has been extensively studied in the literature [34,35,36,37,38]. OP warfare agents are significantly more reactive than their pesticide counterparts, primarily due to the presence of halogen atoms that serve as better leaving groups. In contrast, the reactivity of oximes with OP pesticides has been less extensively studied [24], as the nucleophilic attack is hindered by steric hindrance and the presence of poorer leaving groups. This challenge underscores the importance of maximizing the nucleophilicity of oximes, specifically through the deprotonation of the oxygen atom. Deprotonation can be achieved using strong bases such as NaOH or KOH. However, the hydroxide ion (OH)− is also a potent nucleophile and is well documented to promote the hydrolysis of OPs [39]. Consequently, competition arises between the deprotonated oxime and the hydroxide ion for nucleophilic attack on the phosphorus atom in CLP. To address this issue, a non-nucleophilic base, P4, was selected. This base effectively deprotonates the oxime without exhibiting nucleophilic behavior. The use of such bases requires an aprotic solvent to ensure efficient oxime deprotonation. Among the solvents tested, acetonitrile was identified as the most effective option.
To rationalize the photophysical properties of the dye that contribute to the sensing mechanism, it is essential to consider the well-established photoinduced electron transfer (PeT) mechanism. As shown in Figure 4, FLOX exhibits an absorbance peak at 309 nm and a fluorescence emission at 463 nm (λexc = 329 nm), which is partially quenched due to the presence of a PeT mechanism from the oxime group to the fluorene scaffold [40]. Upon the addition of P4, the fluorescence emission is significantly quenched (approximately five times, as shown by the dark blue line in Figure 4), due to proton removal (confirmed with 1H-NMR spectra Figures S3 and S4) [41]. Simultaneously, the absorbance increases markedly in the region between 325 and 400 nm. After the addition of CLP, the fluorescence increases sharply after 20 min. We hypothesized that the final product is as shown in Figure 1, where the addition of the phosphate group would block the PeT quenching mechanism, thereby allowing the observed increase in fluorescence. The absorption between 325 and 400 nm instead decreases, since the concentration of the deprotonate oxime decreases due to the reaction. To understand better the possible outcome of the reaction proposed in Figure 1, we studied the reaction with 31P-NMR. After we compared and confirmed P4 (Figure S6) [42] and CLP (Figure S5) [43] structures with the literature, we combined them to understand any possible product or adduct formed by the two compounds (Figure S7). Interestingly, the characteristic CLP peak at 60.48 ppm disappeared, while a multiplet at 62.32 ppm emerged, suggesting that CLP undergoes fragmentation or molecular rearrangement in the presence of P4. Additionally, we observed the appearance of a new singlet at 52.43 ppm, which we attribute to the formation of a stable P4-CLP species. When analyzing the full reaction mixture (FLOX + P4 + CLP), we observe the peaks of P4 (Figure S8), and the adduct P4-CLP at 52.43 ppm (Figure S9). Moreover, two new singlets appeared at 54.30 ppm and 67.88 ppm (Figure S9), suggesting the formation of the anticipated reaction product. Notably, the 67.88 ppm signal represents a significant downfield shift (from P-O at 60.48 ppm), which is consistent with the formation of a P-O-N bond. This observation aligns with the expected deshielding effect in phosphorus environments where nitrogen exerts this effect more effectively compared to the P-O-C bonds in CLP. The 54.30 ppm peak may correspond to an alternative reaction pathway or an equilibrium species within the system.
To further corroborate our hypothesis proposed in Figure 1, we investigated potential alternatives, such as the Beckmann rearrangement and the reaction of FLOX with 3,5,6–trichloro-2-pyridinol (CPD), a known hydrolysis product of CLP [44,45]. The Beckmann rearrangement was quickly ruled out, as it typically occurs in the presence of an acid catalyst, whereas our environment is strongly basic. Nevertheless, to further confirm this, we reviewed the absorbance and fluorescence spectra of 6(5H)-phenanthridinone (a product of the potential Beckmann rearrangement) in the literature, which supported our initial hypothesis [46]. To better understand the interaction between CPD and FLOX, we tested various combinations, including the addition of P4. As shown in Figure 4, we first compared the spectra of pure CLP, CPD, and FLOX. CLP and CPD exhibit similar absorption, with a slight shift in the maximum absorbance below 300 nm. The fluorescence is negligible. Upon the addition of P4, the absorption increases around 338 nm for both CLP and CPD, while fluorescence does not show any significant peaks. When FLOX is added to CPD + P4 and CLP + P4, the absorption resembles that of FLOX + P4, but with CLP, it is reduced due to the consumption of [FLOX]−, while with CPD, it increases due to the additive nature of absorbance. A significant difference is observed in the fluorescence spectra. It is evident that CPD does not react with FLOX + P4 (the emission is almost identical to that of FLOX + P4), while CLP does (the violet peak at 490 nm), confirming our initial hypothesis. Since the mechanism of reaction can be similar to that of other pesticides, we extensively discuss our interference testing in Section 3.2.
The main findings of this analysis can be summarized as follows:
- 1H-NMR analysis confirmed the deprotonation of FLOX, a crucial step for its nucleophilic attack on CLP;
- 31P-NMR revealed the disappearance of the CLP peak and the emergence of new phosphorus environments, supporting the occurrence of a reaction;
- The appearance of singlets at higher ppm values in 31P-NMR suggests the formation of a P-O-N bond, consistent with the expected deshielding effect compared to the P-O-C bonds in CLP;
- Additional confirmation was provided by UV-Vis and fluorescence spectroscopy, further supporting the interaction between FLOX and the organophosphate;
- The known reactivity of deprotonated oximes with organophosphates further substantiates the proposed reaction mechanism.
Figure 4.
(a) UV-Vis and (b) fluorescence (λexc= 329 nm) of different combination of CLP, CPD, and FLOX with the addition of 3 equivalents of P4 (0.8 M in hexane) in CH3CN. CPD and CLP are 8.3 µM, FLOX is 60 µM, and P4 is 180 µM.
Figure 4.
(a) UV-Vis and (b) fluorescence (λexc= 329 nm) of different combination of CLP, CPD, and FLOX with the addition of 3 equivalents of P4 (0.8 M in hexane) in CH3CN. CPD and CLP are 8.3 µM, FLOX is 60 µM, and P4 is 180 µM.

3.2. Kinetic and Interferences
A kinetic experiment was conducted to better understand the behavior of the reaction at λexc = 329 nm (λem = 490 nm). As shown in Figure 5, the fluorescence peak is reached in 20 min, after which a gradual decrease begins, likely due to undesired side reactions. Therefore, further time optimization was not pursued, as it was clear that 20 min was the optimal duration. This time interval was used for all spectra presented in this work, unless otherwise stated. Additionally, similar dyes with faster kinetics may offer potential for the rapid detection of CLP. Once the mechanism of the reaction was understood, it became clear that other pesticides, particularly OPs, could potentially follow a similar pathway. To assess the potential real-world application of the system, we tested a range of pesticides (with three repetitions each), selected based on structural similarity and the presence of chlorine atoms, which we hypothesized could participate in similar reactions. The 13 pesticides tested included malathion (MALA), acephate (ACPH), dimethoate (DIME), ethion (ETHI), parathion (PARA), azamethiphos (AMT), azinphos methyl (AZOS), diazinon (DIA), trichlorfon (TCL), demeton-S-methyl sulfone (DEME), picloram (PCL), phorate (PHAE), and phosmet (PHET). All tested compounds, including CLP, were measured at a concentration of 1 µM, which is relatively high for pesticides. This concentration was chosen to clearly identify any potential interferences. As shown in Figure 5, four pesticides, AMT, ACPH, TCL, and PHET, emerged as potential concerns. Although such high concentrations are unlikely to occur in the same sample, we compared the fluorescence emission of CLP (1 µM) both with and without the presence of these four pesticides (also at 1 µM) (Figure S1 in Supplementary Material). The fluorescence of CLP was measured at 3656 (σ = 77), while the CLP–pesticide mixture gave a reading of 3788 (σ = 61). A two-tailed t-test was performed, and the calculated p-value was 0.23, indicating no statistically significant difference between the two measurements. Therefore, we demonstrated that, even in the presence of potential interferences, our fluorophore remains selective towards CLP.
Figure 5.
(a) Kinetic of FLOX + 3 P4 + CLP (5.82 mg/L), the blank, FLOX + 3P4 in CH3CN at λexc = 329 nm and λem = 490 nm. (b) Interference test with 13 different organophosphate pesticides at a concentration of 1 µM in CH3CN at λexc = 329 nm and λem = 490 nm.
4. Materials and Methods
4.1. Reagents
9-Fluorenone oxime acetonitrile, phosphazene base P4-t-Bu (P4) 0.8 M in hexane (CAS n°111324-04-0), picloram, trichlorfon, chlorpyrifos, diazinon, dimethoate, ethion, malathion, phorate, azametiphos, azinphos methyl, paraoxon ethyl, demeton-S-methyl sulfone (CAS n° 17040-19-6), acephate, phosmet, and 3,5,6-trichloro-2-pyridinol were brought from Sigma-Aldrich (St. Louis, MO, USA). Also, acetic acid, anhydrous MgSO4, and NaCl were bought from Sigma-Aldrich. All the reagents were used without any further purification. The reagents were all analytical grade unless otherwise stated.
4.2. Sensing Measurements
The fluorescence intensity was measured at λexc = 329 nm (λem = 490 nm), and wavelengths used in all the measurements are reported here. We used a fluorescence spectrometer (PerkinElmer FL 8500) equipped with a Xenon Arc (150 W) lamp and a UV-Vis spectrometer (PerkinElmer lambda 365+). The process can be divided into four main steps:
- Preparation of FLOX solution at 60 μM in CH3CN;
- Addition of P4 to a final concentration of 180 μM;
- Addition of CLP;
- Measurement of the fluorescence after 20 min at λexc = 329 nm (λem = 490 nm).
4.3. NMR Spectra
The 1H-NMR spectra were recorded with a Magritek Spinsolve 60 NMR spectrometer, at 60 MHz. The 31P-NMR spectra were recorded with a Bruker AVANCE NEO 600 MHz NMR spectrometer. The solvent was always d6-DMSO with TMS as an internal standard.
4.4. Water Extraction Procedure
Tap water was collected from the sink of our laboratory. Then we followed the procedure based on the QuEChERS method in detail and well-established methods [47] were also validated according to the European Commission standards:
- 35 g of tap water is measured into a 50 mL PTFE tube, and a concentrated solution of CLP is added to achieve the concentration specified in the calibration curve. This procedure is repeated for each concentration reported, with no CLP added to the blank.
- 8.75 mL of CH3CN containing 1% v/v of acetic acid is added.
- 3.5 g of NaCl and 14 g of MgSO4, are added, and the mixture is shaken for 1 min.
- The mixture is centrifuged for 5 min at 4500 rpm.
- 6.5 mL of the supernatant is extracted and transferred to another 50 mL PTFE tube.
- 2.2 g of anhydrous MgSO4 is added, and the mixture is shaken for 1 min.
- The mixture is centrifuged for 2 min at 4500 rpm.
- 4 mL of the solution is extracted and used as a solvent for the calibration curve.
4.5. Statistical Analysis
4.5.1. Design of Experiments Methodology
The design of experiments (DoE) methodology is a robust statistical technique employed to optimize parameters and achieve improved results. This approach is particularly valuable for identifying key factors and evaluating significant interactions between them [48]. In the present study, a full-factorial design comprising 24 = 16 experiments was utilized. Four parameters were tested at two levels each: time (T), P4 concentration, dye concentration, and an imaginary parameter (W) introduced to enhance model accuracy. The inclusion of W was justified by the high likelihood that all three primary parameters were significant (which in fact occurred), as well as the potential for cross-interactions. The levels tested were as follows:
- Time (T): 10 and 20 min;
- P4 concentration: 5 or 10 times the dye’s concentration;
- FLOX concentration 30 or 60 µM;
- Imaginary parameter (W): levels 0 and 1.
Data analysis and visualization of the response surfaces were performed using R software version 4.3.3 for Windows.
4.5.2. Calibration Curve Calculation
The calibration curve was calculated using the average values of the data collected at each concentration. The LOD was determined at a 95% confidence level using the following formula: LOD = 3σ/S, where S represents the slope of the calibration curve and σ denotes the standard deviation of the response in the absence of the analyte.
5. Conclusions
In this study, we integrated a novel fluorene-based fluorescent dye with a simple method for the detection of CLP in liquid samples. Through optimization, we achieved CLP detection with high sensitivity (LOD = 15.5 µg/L) and selectivity among various pesticides. We also detected CLP in water with an LOD of 114 µg/L. We believe that this methodology, based on oxime fluorescent dyes, can be effectively extended to the detection of other OPs, where even better performance can be achieved improving the extraction method, or employing directly suitable deprotonated oximes in water systems. Thus, this work not only serves as a proof of concept, but also introduces a novel strategy for the direct detection of OPs pesticides using fluorescent dyes.
Supplementary Materials
The following supporting information can be downloaded at: https://www.mdpi.com/article/10.3390/chemosensors13050170/s1.
Author Contributions
Conceptualization, E.D. and A.L.; methodology, E.D. and A.L.; validation, E.D.; formal analysis, E.D.; investigation, E.D.; resources, A.L.; data curation, E.D.; writing—original draft preparation, E.D.; writing—review and editing, A.L.; visualization, E.D.; supervision, A.L.; project administration, A.L.; funding acquisition, A.L. All authors have read and agreed to the published version of the manuscript.
Funding
This research was funded by the EU Horizon 2020 research and innovation programme under the MSCA-FoodTraNet project (grant agreement no. 956265) and by the Slovenian Research Agency (Research Programmes P2-0424, P2-0438 “Optisens”).
Institutional Review Board Statement
Not applicable.
Informed Consent Statement
Not applicable.
Data Availability Statement
No data are outside those reported in this article.
Conflicts of Interest
The authors declare no conflicts of interest.
Abbreviations
The following abbreviations are used in this manuscript:
| AChE | Acetylcholinesterase enzyme |
| ACPH | Acephate |
| AMT | Azamethiphos |
| AZOS | Azinphos methyl |
| CLP | Chlorpyrifos |
| CPD | 3,5,6–trichloro-2-pyridinol |
| DEME | Demeton-S-methyl sulfone |
| DIA | Diazinon |
| DIME | Dimethoate |
| EU | European union |
| ETHI | Ethion |
| FLOX | 9-Fluorenone oxime |
| GC | Gas chromatography |
| HPLC | High performance liquid chromatography |
| LOD | Limit of detection |
| MALA | Malathion |
| MIP | Molecular imprinted polymers |
| MOF | Metal organic frameworks |
| MDPI | Multidisciplinary Digital Publishing Institute |
| MS | Mass spectrometry |
| OP | Organophosphate |
| P4 | Phosphazene base P4-t-Bu |
| PARA | Parathion |
| PCL | Picloram |
| PDDA | Poly (diallyl-dimethylammonium chloride) |
| PHAE | Phorate |
| PHET | Phosmet |
| SERS | Surface enhance Raman scattering |
| SPR | Surface plasmon resonance |
| QD | Quantum dots |
| TCL | Trichlorfon |
References
- Itsoponpan, T.; Thanachayanont, C.; Hasin, P. Sponge-like CuInS2 microspheres on reduced graphene oxide as an electrocatalyst to construct an immobilized acetylcholinesterase electrochemical biosensor for chlorpyrifos detection in vegetables. Sens. Actuators B Chem. 2021, 337, 129775. [Google Scholar] [CrossRef]
- Yuan, S.; Yang, F.; Yu, H.; Xie, Y.; Guo, Y.; Yao, W. Degradation mechanism and toxicity assessment of chlorpyrifos in milk by combined ultrasound and ultraviolet treatment. Food Chem. 2022, 383, 132550. [Google Scholar] [CrossRef] [PubMed]
- Fournier, D.; Mutero, A. Modification of acetylcholinesterase as a mechanism of resistance to insecticides. Comp. Biochem. Physiol. C Pharmacol. Toxicol. Endocrinol. 1994, 108, 19–31. [Google Scholar] [CrossRef]
- Colovic, M.B.; Krstic, D.Z.; Lazarevic-Pasti, T.D.; Bondzic, A.M.; Vasic, V.M. Acetylcholinesterase Inhibitors: Pharmacology and Toxicology. Curr. Neuropharmacol. 2013, 11, 315–335. [Google Scholar] [CrossRef]
- Masson, P.; Lockridge, O. Butyrylcholinesterase for protection from organophosphorus poisons: Catalytic complexities and hysteretic behavior. Arch. Biochem. Biophys. 2010, 494, 107–120. [Google Scholar] [CrossRef]
- Raveh, L.; Grunwald, J.; Marcus, D.; Papier, Y.; Cohen, E.; Ashani, Y. Human butyrylcholinesterase as a general prophylactic antidote for nerve agent toxicity. Biochem. Pharmacol. 1993, 45, 2465–2474. [Google Scholar] [CrossRef]
- Wołejko, E.; Łozowicka, B.; Jabłońska-Trypuć, A.; Pietruszyńska, M.; Wydro, U. Chlorpyrifos Occurrence and Toxicological Risk Assessment: A Review. Int. J. Environ. Res. Public Health 2022, 19, 12209. [Google Scholar] [CrossRef]
- Li, W.; Chen, J.; Linli, F.; Chen, X.; Huang, Y.; Yang, X. Organophosphorus pesticide contaminants in fruits and vegetables: A meta-analysis. Food Chem. X 2023, 20, 101014. [Google Scholar] [CrossRef]
- John, E.M.; Shaike, J.M. Chlorpyrifos: Pollution and remediation. Environ. Chem. Lett. 2015, 13, 269–291. [Google Scholar] [CrossRef]
- Directorate-General for Agriculture and Rural Development, “EU Agri-Food Exports Keep Growing Steadily in the First Quarter”. Available online: https://agriculture.ec.europa.eu/news/eu-agri-food-exports-keep-growing-steadily-first-quarter-2024-06-25_en (accessed on 8 October 2024).
- Xu, Q.; Guo, X.; Xu, L.; Ying, Y.; Wu, Y.; Wen, Y.; Yang, H. Template-free synthesis of SERS-active gold nanopopcorn for rapid detection of chlorpyrifos residues. Sens. Actuators B Chem. 2017, 241, 1008–1013. [Google Scholar] [CrossRef]
- Li, Q.; Dou, X.; Zhang, L.; Zhao, X.; Luo, J.; Yang, M. Oriented assembly of surface plasmon resonance biosensor through staphylococcal protein A for the chlorpyrifos detection. Anal. Bioanal. Chem. 2019, 411, 6057–6066. [Google Scholar] [CrossRef] [PubMed]
- Tao, X.; Mao, Y.; Alam, S.; Wang, A.; Qi, X.; Zheng, S.; Jiang, C.; Chen, S.-Y.; Lu, H. Sensitive fluorescence detection of glyphosate and glufosinate ammonium pesticides by purine-hydrazone-Cu2+ complex. Spectrochim. Acta A Mol. Biomol. Spectrosc. 2024, 314, 124226. [Google Scholar] [CrossRef]
- Carullo, P.; Cetrangolo, G.; Mandrich, L.; Manco, G.; Febbraio, F. Fluorescence Spectroscopy Approaches for the Development of a Real-Time Organophosphate Detection System Using an Enzymatic Sensor. Sensors 2015, 15, 3932–3951. [Google Scholar] [CrossRef]
- Azab, H.A.; Khairy, G.M.; Kamel, R.M. Time-resolved fluorescence sensing of pesticides chlorpyrifos, crotoxyphos and endosulfan by the luminescent Eu(III)–8-allyl-3-carboxycoumarin probe. Spectrochim. Acta A Mol. Biomol. Spectrosc. 2015, 148, 114–124. [Google Scholar] [CrossRef]
- Zhang, M.; Chen, Z.; Liu, X.; Song, C.; Zeng, C.; Lv, T.; Xu, Z.; Chen, X.; Wang, L.; Liu, B.; et al. Dual-mode supramolecular fluorescent probe for rapid and on-site detection of chlorpyrifos in the environment. J. Hazard. Mater. 2023, 452, 131177. [Google Scholar] [CrossRef]
- Dou, X.; Zhang, L.; Liu, C.; Li, Q.; Luo, J.; Yang, M. Fluorometric competitive immunoassay for chlorpyrifos using rhodamine-modified gold nanoparticles as a label. Microchim. Acta 2018, 185, 41. [Google Scholar] [CrossRef]
- Xu, Z.-H.; Liu, J.; Li, B.; Wang, J.-K.; Zeng, X.; Chen, Z.-J.; Hongsibsong, S.; Huang, W.; Lei, H.-T.; Sun, Y.-M.; et al. The Simultaneous Determination of Chlorpyrifos–Ethyl and –Methyl with a New Format of Fluorescence-Based Immunochromatographic Assay. Biosensors 2022, 12, 1006. [Google Scholar] [CrossRef] [PubMed]
- Dey, P.C.; Das, R. Ligand free surface of CdS nanoparticles enhances the energy transfer efficiency on interacting with Eosin Y dye – Helping in the sensing of very low level of chlorpyrifos in water. Spectrochim. Acta A Mol. Biomol. Spectrosc. 2019, 207, 156–163. [Google Scholar] [CrossRef]
- Zhang, H.; Wang, P.; Zhou, Q.; Wang, Y. A Novel Method for the Detection of Chlorpyrifos by Combining Quantum Dot-labeled Molecularly Imprinted Polymer with Flow Cytometry. Anal. Lett. 2018, 51, 921–934. [Google Scholar] [CrossRef]
- Liu, Q.; Wang, H.; Han, P.; Feng, X. Fluorescent aptasensing of chlorpyrifos based on the assembly of cationic conjugated polymer-aggregated gold nanoparticles and luminescent metal–organic frameworks. Analyst 2019, 144, 6025–6032. [Google Scholar] [CrossRef]
- Kuznetsova, D.A.; Gaynanova, G.A.; Vasilieva, E.A.; Pavlov, R.V.; Zueva, I.V.; Babaev, V.M.; Kuznetsov, D.M.; Voloshina, A.D.; Petrov, K.A.; Zakharova, L.Y.; et al. Oxime Therapy for Brain AChE Reactivation and Neuroprotection after Organophosphate Poisoning. Pharmaceutics 2022, 14, 1950. [Google Scholar] [CrossRef] [PubMed]
- Maynard, R.L.; Chilcott, R.P. Toxicology of Chemical Warfare Agents. In General, Applied and Systems Toxicology; Wiley: Hoboken, NJ, USA, 2009. [Google Scholar] [CrossRef]
- Walton, I.; Davis, M.; Munro, L.; Catalano, V.J.; Cragg, P.J.; Huggins, M.T.; Wallace, K.J. A Fluorescent Dipyrrinone Oxime for the Detection of Pesticides and Other Organophosphates. Org. Lett. 2012, 14, 2686–2689. [Google Scholar] [CrossRef] [PubMed]
- Lee, J.Y.; Lee, Y.H.; Byun, Y.G. Detection of Chemical Warfare Nerve Agents via a Beckmann Fragmentation of Aldoxime. Phosphorus Sulfur. Silicon Relat. Elem. 2012, 187, 641–649. [Google Scholar] [CrossRef]
- Cai, Y.-C.; Li, C.; Song, Q.-H. Selective and visual detection of a nerve agent mimic by phosphorylation and protonation of quinolin oximes. J. Mater. Chem. C Mater. 2017, 5, 7337–7343. [Google Scholar] [CrossRef]
- Çubuk, S.; Yetimoğlu, E.K.; Çalışkan, A.; Kahraman, M.V. A novel polymer based fluorimetric sensor for fast and selective determination of chlorpyrifos. Microchem. J. 2021, 165, 106098. [Google Scholar] [CrossRef]
- Ghosh, S.; Gul, A.R.; Park, C.Y.; Kim, M.W.; Xu, P.; Baek, S.H.; Bhamore, J.R.; Kailasa, S.K.; Park, T.J. Facile synthesis of carbon dots from Tagetes erecta as a precursor for determination of chlorpyrifos via fluorescence turn-off and quinalphos via fluorescence turn-on mechanisms. Chemosphere 2021, 279, 130515. [Google Scholar] [CrossRef]
- Tang, Z.; Chen, Z.; Li, G.; Hu, Y. Multicolor nitrogen dots for rapid detection of thiram and chlorpyrifos in fruit and vegetable samples. Anal. Chim. Acta 2020, 1136, 72–81. [Google Scholar] [CrossRef]
- Ren, X.; Liu, H.; Chen, L. Fluorescent detection of chlorpyrifos using Mn(II)-doped ZnS quantum dots coated with a molecularly imprinted polymer. Microchim. Acta 2015, 182, 193–200. [Google Scholar] [CrossRef]
- Liu, B.; McConnell, L.L.; Torrents, A. Hydrolysis of chlorpyrifos in natural waters of the Chesapeake Bay. Chemosphere 2001, 44, 1315–1323. [Google Scholar] [CrossRef]
- Kalinke, N.; Stopper, P.; Völkl, L.; Diehl, F.; Huhn, C. SWIEET—A salt-free alternative to QuEChERS. Anal. Bioanal. Chem. 2024, 416, 6387–6403. [Google Scholar] [CrossRef]
- Yoshihara, K.; Kearns, D.R. Spectroscopic Properties of the Lower-Lying Excited States of Fluorenone. J. Chem. Phys. 1966, 45, 1991–1999. [Google Scholar] [CrossRef]
- Hewage, H.S.; Wallace, K.J.; Anslyn, E.V. Novel chemiluminescent detection of chemical warfare simulant. Chem. Commun. 2007, 3909–3911. [Google Scholar] [CrossRef] [PubMed]
- Wallace, K.J.; Fagbemi, R.I.; Folmer-Andersen, F.J.; Morey, J.; Lynth, V.M.; Anslyn, E.V. Detection of chemical warfare simulants by phosphorylation of a coumarin oximate. Chem. Commun. 2006, 3886–3888. [Google Scholar] [CrossRef]
- Qin, T.; Huang, Y.; Zhu, K.; Wang, J.; Pan, C.; Liu, B.; Wang, L. A flavonoid-based fluorescent test strip for sensitive and selective detection of a gaseous nerve agent simulant. Anal. Chim. Acta 2019, 1076, 125–130. [Google Scholar] [CrossRef]
- Jang, Y.J.; Tsay, O.G.; Murale, D.P.; Jeong, J.A.; Segev, A.; Churchill, D.G. Novel and selective detection of Tabun mimics. Chem. Commun. 2014, 50, 7531–7534. [Google Scholar] [CrossRef]
- Dale, T.J.; Rebek, J. Hydroxy Oximes as Organophosphorus Nerve Agent Sensors. Angew. Chem. Int. Ed. 2009, 48, 7850–7852. [Google Scholar] [CrossRef]
- Donà, E.; Mohr, G.J.; Lobnik, A. Dimethoate detection through a fluorescent coumarin dye. Microchem. J. 2024, 207, 112205. [Google Scholar] [CrossRef]
- Niu, H.; Liu, J.; O’Connor, H.M.; Gunnlaugsson, T.; James, T.D.; Zhang, H. Photoinduced electron transfer (PeT) based fluorescent probes for cellular imaging and disease therapy. Chem. Soc. Rev. 2023, 52, 2322–2357. [Google Scholar] [CrossRef]
- Yu, J.; Lu, M. Copper(II)-promoted direct conversion of methylarenes into aromatic oximes. Org. Biomol. Chem. 2015, 13, 7397–7401. [Google Scholar] [CrossRef]
- Schwesinger, R.; Kondo, Y. Phosphazene Base P4-t-Bu. In Encyclopedia of Reagents for Organic Synthesis; John Wiley & Sons, Ltd.: Chichester, UK, 2010. [Google Scholar] [CrossRef]
- Shamsipur, M.; Sarkouhi, M.; Hassan, J. Selective Monitoring of Organophosphorus Pesticides by 31P-NMR Spectroscopy: Application to Purity Assay of Technical Products and Concentration Determination of Formulated Samples. Appl. Magn. Reson. 2012, 42, 227–237. [Google Scholar] [CrossRef]
- Dahiya, V.; Chaubey, B.; Dhaharwal, A.K.; Pal, S. Solvent-dependent binding interactions of the organophosphate pesticide, chlorpyrifos (CPF), and its metabolite, 3,5,6-trichloro-2-pyridinol (TCPy), with Bovine Serum Albumin (BSA): A comparative fluorescence quenching analysis. Pestic. Biochem. Physiol. 2017, 139, 92–100. [Google Scholar] [CrossRef] [PubMed]
- Žabar, R.; Sarakha, M.; Lebedev, A.T.; Polyakova, O.V.; Trebše, P. Photochemical fate and photocatalysis of 3,5,6-trichloro-2-pyridinol, degradation product of chlorpyrifos. Chemosphere 2016, 144, 615–620. [Google Scholar] [CrossRef] [PubMed]
- Gentili, P.L.; Ortica, F.; Romani, A.; Favaro, G. Effects of Proximity on the Relaxation Dynamics of Flindersine and 6(5 H.)-Phenanthridinone. J. Phys. Chem. A 2007, 111, 193–200. [Google Scholar] [CrossRef] [PubMed]
- Ghani, S.B.A.; Hanafi, A.H. QuEChERS method combined with GC-MS for pesticide residues determination in water. J. Anal. Chem. 2016, 71, 508–512. [Google Scholar] [CrossRef]
- Condra, L.W. DoE in product design. In Reliability Improvement with Design of Experiments; CRC Press: Boca Raton, FL, USA, 2018; pp. 105–120. [Google Scholar] [CrossRef]
Disclaimer/Publisher’s Note: The statements, opinions and data contained in all publications are solely those of the individual author(s) and contributor(s) and not of MDPI and/or the editor(s). MDPI and/or the editor(s) disclaim responsibility for any injury to people or property resulting from any ideas, methods, instructions or products referred to in the content. |
© 2025 by the authors. Licensee MDPI, Basel, Switzerland. This article is an open access article distributed under the terms and conditions of the Creative Commons Attribution (CC BY) license (https://creativecommons.org/licenses/by/4.0/).



