Fluorescent Probes for Biomacromolecules Based on Monomethine Cyanine Dyes
Abstract
1. Introduction
2. Synthesis of MCDs
3. Photonics of MCD in Solution
4. Interaction of MCD with DNA and Other Nucleic Acids
4.1. Monomeric MCD
4.2. Dimeric MCD Probes
4.3. Aggregation of MCDs on Nucleic Acids
4.4. MCD Probes for Non-Canonical Forms of DNA (G-Quadruplexes, Left-Handed DNA, etc.)
4.5. MCD Probes for RNA
5. Interaction of MCD with Proteins and Other Biomolecules
6. Photonics of the Dye Molecules in Complexes with Biomolecules
7. Application of Monomethine Cyanine Dyes in Biochemistry and Biomedicine
8. Conclusions
Author Contributions
Funding
Institutional Review Board Statement
Informed Consent Statement
Data Availability Statement
Conflicts of Interest
References
- Mishra, A.; Behera, R.K.; Behera, P.K.; Mishra, B.K.; Behera, G.B. Cyanines during the 1990s: A review. Chem. Rev. 2000, 100, 1973–2011. [Google Scholar] [CrossRef] [PubMed]
 - Tatikolov, A.S. Polymethine dyes as spectral-fluorescent probes for biomacromolecules. J. Photochem. Photobiol. C 2012, 13, 55–90. [Google Scholar] [CrossRef]
 - Pronkin, P.G.; Tatikolov, A.S. Photonics of trimethine cyanine dyes as probes for biomolecules. Molecules 2022, 27, 6367. [Google Scholar] [CrossRef] [PubMed]
 - Williams, C.G. XXVI.—Researches on chinoline and its homologues. Trans. Roy. Soc. Edinburgh 1857, 21, 377–401. [Google Scholar] [CrossRef]
 - Lee, L.G.; Chen, C.H.; Chiu, L.A. Thiazole orange: A new dye for reticulocyte analysis. Cytometry 1986, 7, 508–517. [Google Scholar] [CrossRef]
 - Hamer, F.M. The Cyanine Dyes and Related Compounds; John Wiley & Sons: Hoboken, NJ, USA, 1964; p. 790. [Google Scholar]
 - Brooker, L.G.S.; Keyes, G.H.; Williams, W.W. Color and constitution. V. The absorption of unsymmetrical cyanines. Resonance as a basis for a classification of dyes. J. Am. Chem. Soc. 1942, 64, 199–210. [Google Scholar] [CrossRef]
 - Serrano, J.L.; Maia, A.; Santos, A.O.; Lima, E.; Reis, L.V.; Nunes, M.J.; Boto, R.E.F.; Silvestre, S.; Almeida, P. An insight into symmetrical cyanine dyes as promising selective antiproliferative agents in Caco-2 colorectal cancer cells. Molecules 2022, 27, 5779. [Google Scholar] [CrossRef]
 - Kaloyanova, S.; Trusova, V.M.; Gorbenko, G.P.; Deligeorgiev, T. Synthesis and fluorescence characteristics of novel asymmetric cyanine dyes for DNA detection. J. Photochem. Photobiol. A 2011, 217, 147–156. [Google Scholar] [CrossRef]
 - Soriano, E.; Holder, C.; Levitz, A.; Henary, M. Benz[c,d]indolium-containing monomethine cyanine dyes: Synthesis and photophysical properties. Molecules 2015, 21, 23. [Google Scholar] [CrossRef]
 - Kurutos, A.; Gadjev, N.; Deligeorgiev, T. Synthesis of novel asymmetric monomethine cyanine dyes containing benzoselenazolyl moiety. Fluorescent dsDNA probes. Acta Sci. Nat. 2015, 2, 90–98. [Google Scholar]
 - Fabijanić, I.; Kurutos, A.; Tomašić Paić, A.; Tadić, V.; Kamounah, F.S.; Horvat, L.; Brozovic, A.; Crnolatac, I.; Radić Stojković, M. Selenium-substituted monomethine cyanine dyes as selective G-quadruplex spectroscopic probes with theranostic potential. Biomolecules 2023, 13, 128. [Google Scholar] [CrossRef] [PubMed]
 - Saarnio, V.K.; Salorinne, K.; Ruokolainen, V.P.; Nilsson, J.R.; Tero, T.-R.; Oikarinen, S.; Wilhelmsson, L.M.; Lahtinen, T.M.; Marjomäki, V.S. Development of functionalized SYBR green II related cyanine dyes for viral RNA detection. Dye. Pigment. 2020, 177, 108282. [Google Scholar] [CrossRef]
 - Deligeorgiev, T.; Kaloyanova, S.; Vasilev, A. A novel general method for preparation of neutral monomethine cyanine dyes. Dye. Pigment. 2011, 90, 170–176. [Google Scholar] [CrossRef]
 - Alganzory, H.H.; Arief, M.M.H.; Amine, M.S.; Ebeid, E.-Z.M. Microwave-assisted solvent-free synthesis and fluorescence spectral characteristics of some monomethine cyanine dyes. J. Chem. Pharm. Res. 2014, 6, 143–161. [Google Scholar]
 - Deligeorgiev, T.G.; Gadjev, N.I.; Drexhage, K.-H.; Sabnis, R.W. Preparation of intercalating dye thiazole orange and derivatives. Dye. Pigment. 1995, 29, 315–322. [Google Scholar] [CrossRef]
 - Deligeorgiev, T.G.; Zaneva, D.A.; Katerinopoulos, H.E.; Kolev, V.N. A novel method for the preparation of monomethine cyanine dyes. Dye. Pigment. 1999, 41, 49–54. [Google Scholar] [CrossRef]
 - Gadjev, N.I.; Deligeorgiev, T.G.; Kim, S.H. Preparation of monomethine cyanine dyes as noncovalent labels for nucleic acids. Dye. Pigment. 1999, 40, 181–186. [Google Scholar] [CrossRef]
 - Deligeorgiev, T.; Vasilev, A.; Drexhage, K.-H. Synthesis of novel monomeric cyanine dyes containing 2-hydroxypropyl and 3-chloro-2-hydroxypropyl substituents–noncovalent labels for nucleic acids. Dye. Pigment. 2007, 73, 69–75. [Google Scholar] [CrossRef]
 - Deligeorgiev, T.; Vasilev, A.; Tsvetkova, T.; Drexhage, K.-H. Synthesis of novel monomeric asymmetric tri- and tetracationic monomethine cyanine dyes as fluorescent non-covalent nucleic acid labels. Dye. Pigment. 2007, 75, 658–663. [Google Scholar] [CrossRef]
 - Deligeorgiev, T.; Vasilev, A.; Drexhage, K.-H. Synthesis of novel cyanine dyes containing carbamoylethyl component-Noncovalent labels for nucleic acids detection. Dye. Pigment. 2007, 74, 320–328. [Google Scholar] [CrossRef]
 - Alfieri, M.L.; Panzella, L.; d’Ischia, M.; Napolitano, A. Bioinspired heterocyclic partnership in a cyanine-type acidichromic chromophore. Molecules 2020, 25, 3817. [Google Scholar] [CrossRef]
 - Eissa, F.M.; Abdel Hameed, R.S. Efficient green synthesis of monomethine cyanines via grinding under solvent-free conditions. Green Process Synth. 2016, 5, 283–288. [Google Scholar] [CrossRef]
 - Fei, X.; Yang, S.; Zhang, B.; Liu, Z.; Gu, Y. Solid-phase synthesis and modification of thiazole orange and its derivatives and their spectral properties. J. Comb. Chem. 2007, 9, 943–950. [Google Scholar] [CrossRef]
 - Deligeorgiev, T.G.; Gadjev, N.I.; Timtcheva, I.I.; Maximova, V.A.; Katerinopoulos, H.E.; Foukaraki, E. Synthesis of homodimeric monomethine cyanine dyes as noncovalent nucleic acid labels and their absorption and fluorescence spectral characteristics. Dye. Pigment. 2000, 44, 131–136. [Google Scholar] [CrossRef]
 - Alganzory, H.H.; El-Sayed, W.A.; Arief, M.H.; Amine, M.S.; Ebeid, E.M. Microwave synthesis and fluorescence properties of homo- and heterodimeric monomethine cyanine dyes TOTO and their precursors. Green Chem. Lett. Rev. 2017, 10, 10–22. [Google Scholar] [CrossRef]
 - Mikulin, I.; Ljubić, I.; Piantanida, I.; Vasilev, A.; Mondeshki, M.; Kandinska, M.; Uzelac, L.; Martin-Kleiner, I.; Kralj, M.; Tumir, L.-M. Polycationic monomeric and homodimeric asymmetric monomethine cyanine dyes with hydroxypropyl functionality—Strong affinity nucleic acids binders. Biomolecules 2021, 11, 1075. [Google Scholar] [CrossRef]
 - Tredwell, C.J.; Keary, C.M. Picosecond time resolved fluorescence lifetimes of the polymethine and related dyes. Chem. Phys. 1979, 43, 307–316. [Google Scholar] [CrossRef]
 - Åberg, U.; Åkesson, E.; Sundström, V. Excited state dynamics of barrierless isomerization in solution. Chem. Phys. Lett. 1993, 215, 388–394. [Google Scholar] [CrossRef]
 - Åberg, U.; Åkesson, E.; Alvarez, J.-L.; Fedchenia, I.; Sundström, V. Femtosecond spectral evolution monitoring the bond-twisting event in barrierless isomerization in solution. Chem. Phys. 1994, 183, 269–288. [Google Scholar] [CrossRef]
 - Sahyun, M.R.V.; Blair, J.T. Photophysics of a ”simple” cyanide dye. J. Photochem. Photobiol. A Chem. 1997, 104, 179–187. [Google Scholar] [CrossRef]
 - Dietzek, B.; Yartsev, A.; Tarnovsky, A.N. Watching ultrafast barrierless excited-state isomerization of pseudocyanine in real time. J. Phys. Chem. B 2007, 111, 4520–4526. [Google Scholar] [CrossRef] [PubMed]
 - Weigel, A.; Pfaffe, M.; Sajadi, M.; Mahrwald, R.; Improta, R.; Barone, V.; Polli, D.; Cerullo, G.; Ernsting, N.P.; Santoro, F. Barrierless photoisomerisation of the ‘‘simplest cyanine’’: Joining computational and femtosecond optical spectroscopies to trace the full reaction path. Phys. Chem. Chem. Phys. 2012, 14, 13350–13364. [Google Scholar] [CrossRef] [PubMed]
 - Piontkowski, Z.; Mark, D.J.; Bedics, M.A.; Sabatini, R.P.; Mark, M.F.; Detty, M.R.; McCamant, D.W. Excited state torsional processes in chalcogenopyrylium monomethine dyes. J. Phys. Chem. A 2019, 123, 8807–8822. [Google Scholar] [CrossRef]
 - Fűrstenberg, A.; Vauthey, E. Ultrafast excited-state dynamics of oxazole yellow DNA intercalators. J. Phys. Chem. B 2007, 111, 12610–12620. [Google Scholar] [CrossRef]
 - Karunakaran, V.; Lustres, J.L.P.; Zhao, L.; Ernsting, N.P.; Seitz, O. Large dynamic Stokes shift of DNA intercalation dye thiazole orange has contribution from a high-frequency mode. J. Am. Chem. Soc. 2006, 128, 2954–2962. [Google Scholar] [CrossRef]
 - Zhao, Z.; Cao, S.; Li, H.; Li, D.; He, Y.; Wang, X.; Chen, J.; Zhang, S.; Xu, J.; Knutson, J.R. Ultrafast excited-state dynamics of thiazole orange. Chem. Phys. 2022, 553, 111392. [Google Scholar] [CrossRef]
 - Olsen, S.; McKenzie, R.H. Conical intersections, charge localization, and photoisomerization pathway selection in a minimal model of a degenerate monomethine dye. J. Chem. Phys. 2009, 131, 234306. [Google Scholar] [CrossRef] [PubMed]
 - Herz, A.H. Aggregation of sensitizing dyes in solution and their adsorption onto silver halides. Adv. Coll. Interf. Sci. 1997, 8, 237–298. [Google Scholar] [CrossRef]
 - Shindy, H.A.; El-Maghraby, M.A.; Eissa, F.M. Solvatochromism and halochromism of some furo/pyrazole cyanine dyes. Chem. Int. 2021, 7, 39–52. [Google Scholar] [CrossRef]
 - Norden, B.; Tjerneld, F. Optical studies on complexes between DNA and pseudoisocyanine. Biophys. Chem. 1977, 6, 31–45. [Google Scholar] [CrossRef]
 - Rye, H.S.; Quesada, M.A.; Peck, K.; Mathies, R.A.; Glazer, A.N. High-sensitivity two-color detection of double-stranded DNA with a confocal fluorescence gel scanner using ethidium homodimer and thiazole orange. Nucleic Acids Res. 1991, 19, 327–333. [Google Scholar] [CrossRef]
 - Nygren, J.; Svanvik, N.; Kubista, M. The interactions between the fluorescent dye thiazole orange and DNA. Biopolymers 1998, 46, 39–51. [Google Scholar] [CrossRef]
 - Larsson, A.; Carlsson, C.; Jonsson, M. Characterization of the binding of YO to [poly(dA-dT)]2 and [poly(dG-dC)]2, and of the fluorescent properties of YO and YOYO complexed with the polynucleotides and double-stranded DNA. Biopolymers 1995, 36, 153–167. [Google Scholar] [CrossRef] [PubMed]
 - Eriksson, M.; Härdelin, M.; Larsson, A.; Bergenholtz, J.; Akerman, B. Binding of intercalating and groove-binding cyanine dyes to bacteriophage T5. J. Phys. Chem. B 2007, 111, 1139–1148. [Google Scholar] [CrossRef]
 - Rye, H.S.; Yue, S.; Wemmer, D.E.; Quesada, M.A.; Haugland, R.P.; Mathies, R.A.; GIazer, A.N. Stable fluorescent complexes of double-stranded DNA with bis-intercalating asymmetric cyanine dyes: Properties and applications. Nucleic Acids Res. 1992, 20, 2803–2812. [Google Scholar] [CrossRef]
 - Rodger, A.; Norden, B. Circular Dichroism and Linear Dichroism; Oxford University Press: New York, NY, USA, 1997; Volume 1, p. 160. [Google Scholar]
 - Šmidlehner, T.; Piantanida, I.; Pescitelli, G. Polarization spectroscopy methods in the determination of interactions of small molecules with nucleic acids–tutorial. Beilstein J. Org. Chem. 2018, 14, 84–105. [Google Scholar] [CrossRef] [PubMed]
 - Šmidlehner, T.; Košćak, M.; Božinović, K.; Majhen, D.; Schmuck, C.; Piantanida, I. Fluorimetric and CD recognition between various ds-DNA/RNA depends on a cyanine connectivity in cyanine-guanidiniocarbonyl-pyrrole conjugate. Molecules 2020, 25, 4470. [Google Scholar] [CrossRef]
 - Silva, G.L.; Ediz, V.; Yaron, D.; Armitage, B.A. Experimental and computational investigation of unsymmetrical cyanine dyes: Understanding torsionally responsive fluorogenic dyes. J. Am. Chem. Soc. 2007, 129, 5710–5718. [Google Scholar] [CrossRef]
 - Timtcheva, I.; Maximova, V.; Deligeorgiev, T.; Zaneva, D.; Ivanov, I. New asymmetric monomethine cyanine dyes for nucleic-acid labeling: Absorption and fluorescence spectral characteristics. J. Photochem. Photobiol. A Chem. 2000, 130, 7–11. [Google Scholar] [CrossRef]
 - Carlsson, C.; Larsson, A.; Jonsson, M.; Albinsson, B.; Norden, B. Optical and photophysical properties of the oxazole yellow DNA probes YO and YOYO. J. Phys. Chem. 1994, 98, 10313–10321. [Google Scholar] [CrossRef]
 - Larsson, A.; Carlsson, C.; Jonsson, M.; Albinsson, B. Characterization of the binding of the fluorescent dyes YO and YOYO to DNA by polarized light spectroscopy. J. Am. Chem. Soc. 1994, 116, 8459–8465. [Google Scholar] [CrossRef]
 - Netzel, T.L.; Nafisi, K.; Zhao, M.; Lenhard, J.R.; Johnson, I. Base-content dependence of emission enhancements, quantum yields, and lifetimes for cyanine dyes bound to double-strand DNA: Photophysical properties of monomeric and bichromophoric DNA stains. J. Phys. Chem. 1995, 99, 17936–17947. [Google Scholar] [CrossRef]
 - Deligeorgiev, T.; Timtcheva, I.; Maximova, V.; Gadjev, N.; Drexhage, K.-H. Fluorescence characteristics of variously charged asymmetric monomethine cyanine dyes in the presence of nucleic acids. J. Fluor. 2002, 12, 225–229. [Google Scholar] [CrossRef]
 - Vasilev, A.; Deligeorgiev, T.; Gadjev, N.; Drexhage, K.-H. Synthesis of novel monomeric and homodimeric cyanine dyes based on oxazolo[4,5-b]pyridinium and quinolinium end groups for nucleic acid detection. Dye. Pigment. 2005, 66, 135–142. [Google Scholar] [CrossRef]
 - Mikelsons, L.; Carra, C.; Shaw, M.; Schweitzer, C.; Scaiano, J.C. Experimental and theoretical study of the interaction of single-stranded DNA homopolymers and a monomethine cyanine dye: Nature of specific binding. Photochem. Photobiol. Sci. 2005, 4, 798–802. [Google Scholar] [CrossRef] [PubMed]
 - Timcheva, I.I.; Maximova, V.A.; Deligeorgiev, T.G.; Gadjev, N.I.; Sabnis, R.W.; Ivanov, I.G. Fluorescence spectral characteristics of novel asymmetric monomethine cyanine dyes in nucleic acid solutions. FEBS Lett. 1997, 405, 141–144. [Google Scholar] [CrossRef] [PubMed]
 - Mahmood, T.; Paul, A.; Ladame, S. Synthesis and spectroscopic and DNA-binding properties of fluorogenic acridine-containing cyanine dyes. J. Org. Chem. 2010, 75, 204–207. [Google Scholar] [CrossRef]
 - Yarmoluk, S.M.; Kovalska, V.B.; Kryvorotenko, D.V.; Balanda, A.O.; Ogul’chansky, T.Y. Interaction of cyanine dyes with nucleic acids. XXV. Influence of affinity-modifying groups in the structure of benzothiazol-4-[2,6-dimethylpyridinium] dyes on the spectral properties of the dyes in the presence of nucleic acids. Spectrochim. Acta Part A 2001, 57, 1533–1540. [Google Scholar] [CrossRef] [PubMed]
 - Biver, T.; De Biasi, A.; Secco, F.; Venturini, M.; Yarmoluk, S. Cyanine dyes as intercalating agents: Kinetic and thermodynamic studies on the DNA/Cyan40 and DNA/CCyan2 systems. Biophys. J. 2005, 89, 374–383. [Google Scholar] [CrossRef]
 - Biver, T.; Pulzonetti, M.; Secco, F.; Venturini, M.; Yarmoluk, S. A kinetic analysis of cyanine selectivity: CCyan2 and Cyan40 intercalation into poly(dA-dT) x poly(dA-dT) and poly(dG-dC) x poly(dG–dC). Arch. Biochem. Biophys. 2006, 451, 103–111. [Google Scholar] [CrossRef]
 - Yarmoluk, S.M.; Lukashov, S.S.; Ogul’chansky, T.Y.; Losytskyy, M.Y.; Kornyushyna, O.S. Interaction of cyanine dyes with nucleic acids. XXI. Arguments for half-intercalation model of interaction. Biopolymers (Biospectroscopy) 2001, 62, 219–227. [Google Scholar] [CrossRef]
 - El-Shishtawy, R.M.; Asiri, A.M.; Basaif, S.A.; Sobahi, T.R. Synthesis of a new B-naphthothiazole monomethine cyanine dye for the detection of DNA in aqueous solution. Spectrochim. Acta Part A 2010, 75, 1605–1609. [Google Scholar] [CrossRef] [PubMed]
 - Deligeorgiev, T.G.; Gadjev, N.I.; Vasilev, A.A.; Maximova, V.A.; Timcheva, I.I.; Katerinopoulos, H.E.; Tsikalas, G.K. Synthesis and properties of novel asymmetric monomethine cyanine dyes as non-covalent labels for nucleic acids. Dye. Pigment. 2007, 75, 466–473. [Google Scholar] [CrossRef]
 - Glavas-Obrovac, L.; Piantanida, I.; Marczi, S.; MaSi¢, L.; Timcheva, I.I.; Deligeorgiev, T.G. Minor structural differences of monomethine cyanine derivatives yield strong variation in their interactions with DNA, RNA as well as on their in vitro antiproliferative activity. Bioorg. Med. Chem. 2009, 17, 4747–4755. [Google Scholar] [CrossRef] [PubMed]
 - Tuma, R.S.; Beaudet, M.P.; Jin, X.; Jones, L.J.; Cheung, C.Y.; Yue, S.; Singer, V.L. Characterization of SYBR Gold nucleic acid gel stain: A dye optimized for use with 300-nm ultraviolet transilluminators. Anal. Biochem. 1999, 268, 278–288. [Google Scholar] [CrossRef] [PubMed]
 - Williams, L.R. Staining nucleic acids and proteins in electrophoresis gels. Biotech. Histochem. 2001, 76, 127–132. [Google Scholar] [CrossRef] [PubMed]
 - Zipper, H.; Brunner, H.; Bernhagen, J.; Vitzthum, F. Investigations on DNA intercalation and surface binding by SYBR Green I, its structure determination and methodological implications. Nucleic Acids Res. 2004, 32, e103. [Google Scholar] [CrossRef] [PubMed]
 - Schweitzer, C.; Scaiano, J.C. Selective binding and local photophysics of the fluorescent cyanine dye PicoGreen in double-stranded and single-stranded DNA. Phys. Chem. Chem. Phys. 2003, 5, 4911–4917. [Google Scholar] [CrossRef]
 - Koba, M.; Szostek, A.; Konopa, J. Limitation of usage of PicoGreen dye in quantitative assays of double-stranded DNA in the presence of intercalating compounds. Acta Biochim. Pol. 2007, 54, 883–886. [Google Scholar] [CrossRef] [PubMed]
 - The Molecular Probes Handbook. Nucleic Acid Detection and Analysis—Chapter 8. Nucleic Acid Stains—Section 8.1. Available online: https://www.thermofisher.com/ru/ru/home/references/molecular-probes-the-handbook/nucleic-acid-detection-and-genomics-technology/nucleic-acid-stains.html (accessed on 28 March 2023).
 - Rengarajan, K.; Cristol, S.M.; Mehta, M.; Nickerson, J.M. Quantifying DNA concentrations using fluorometry: A comparison of fluorophores. Mol. Vis. 2002, 8, 416–421. Available online: http://www.molvis.org/molvis/v8/a49 (accessed on 4 May 2023). [PubMed]
 - Kolbeck, P.J.; Vanderlinden, W.; Gemmecker, G.; Gebhardt, C.; Lehmann, M.; Lak, A.; Nicolaus, T.; Cordes, T.; Lipfert, J. Molecular structure, DNA binding mode, photophysical properties and recommendations for use of SYBR Gold. Nucleic Acids Res. 2021, 49, 5143–5158. [Google Scholar] [CrossRef] [PubMed]
 - Saarnio, V.K.; Alarantaa, J.M.; Lahtinen, T.M. Systematic study of SYBR green chromophore reveals major improvement with one heteroatom difference. J. Mater. Chem. B 2021, 9, 3484–3488. [Google Scholar] [CrossRef] [PubMed]
 - Karlsson, H.J.; Lincoln, P.; Westman, G. Synthesis and DNA binding studies of a new asymmetric cyanine dye binding in the minor groove of [poly(dA-dT)]. Bioorg. Med. Chem. 2003, 11, 1035–1040. [Google Scholar] [CrossRef]
 - Karlsson, H.J.; Eriksson, M.; Perzon, E.; Akerman, B.; Lincoln, P.; Westman, G. Groove-binding unsymmetrical cyanine dyes for staining of DNA: Syntheses and characterization of the DNA-binding. Nucleic Acids Res. 2003, 31, 6227–6234. [Google Scholar] [CrossRef]
 - Eriksson, M.; Karlsson, H.J.; Westman, G.; Akerman, B. Groove-binding unsymmetrical cyanine dyes for staining of DNA: Dissociation rates in free solution and electrophoresis gels. Nucleic Acids Res. 2003, 31, 6235–6242. [Google Scholar] [CrossRef]
 - Karlson, H.J.; Bergqvist, M.H.; Lincoln, P.; Westman, G. Syntheses and DNA-binding studies of a series of unsymmetrical cyanine dyes: Structural influence on the degree of minor groove binding to natural DNA. Bioorg. Med. Chem. 2004, 12, 2369–2384. [Google Scholar] [CrossRef]
 - Uno, K.; Sugimoto, N.; Sato, Y. N-aryl pyrido cyanine derivatives are nuclear and organelle DNA markers for two-photon and super-resolution imaging. Nat. Commun. 2021, 12, 2650. [Google Scholar] [CrossRef]
 - Cosa, G.; Focsaneanu, K.-S.; McLean, J.R.N.; McNamee, J.P.; Scaiano, J.C. Photophysical properties of fluorescent DNA-dyes bound to single- and double-stranded DNA in aqueous buffered solution. Photochem. Photobiol. 2001, 73, 585–599. [Google Scholar] [CrossRef]
 - Rye, H.S.; Glazer, A.N. Interaction of dimeric intercalating dyes with single-stranded DNA. Nucleic Acids Res. 1995, 23, 1215–1222. [Google Scholar] [CrossRef]
 - Hansen, L.F.; Jensen, L.K.; Jacobsen, J.P. Bis-intercalation of a homodimeric thiazole orange dye in DNA in symmetrical pyrimidine–pyrimidine–purine–purine oligonucleotides. Nucleic Acids Res. 1996, 24, 859–867. [Google Scholar] [CrossRef] [PubMed]
 - Spielmann, H.P.; Wemmer, D.E.; Jacobsen, J.P. Solution structure of a DNA complex with the fluorescent bis-intercalator TOTO determined by NMR spectroscopy. Biochemistry 1995, 34, 8542–8553. [Google Scholar] [CrossRef] [PubMed]
 - Johansen, F.; Jacobsen, J.P. 1H NMR studies of the bis-intercalcation of a homodimeric oxazole yellow dye in DNA oligonucleotides. J. Biomol. Struct. Dynam. 1998, 16, 205–222. [Google Scholar] [CrossRef] [PubMed]
 - Jacobsen, J.P.; Pedersen, J.B.; Hansen, L.F.; Wemmer, D.E. Site selective bis-intercalation of a homodimeric thiazole orange dye in DNA oligonucleotides. Nucleic Acids Res. 1995, 23, 753–760. [Google Scholar] [CrossRef] [PubMed]
 - Timtcheva, I.; Maximov, V.; Deligeorgiev, T.; Gadjev, N.; Drexhage, K.H.; Petkova, I. Homodimeric monomethine cyanine dyes as fluorescent probes of biopolymers. J. Photochem. Photobiol. B Biol. 2000, 58, 130–135. [Google Scholar] [CrossRef]
 - Rye, H.S.; Dabora, J.M.; Quesada, M.A.; Mathies, R.A.; Glazer, A.N. Fluorometric assay using dimeric dyes for double- and single-stranded DNA and RNA with picogram sensitivity. Anal. Biochem. 1993, 208, 144–150. [Google Scholar] [CrossRef]
 - Murade, C.U.; Subramaniam, V.; Otto, C.; Bennink, M.L. Interaction of oxazole yellow dyes with DNA studied with hybrid optical tweezers and fluorescence microscopy. Biophys. J. 2009, 97, 835–843. [Google Scholar] [CrossRef]
 - Reuter, M.; Dryden, D.T.F. The kinetics of YOYO-1 intercalation into single molecules of double-stranded DNA. Biochem. Biophys. Res. Commun. 2010, 403, 225–229. [Google Scholar] [CrossRef]
 - Furstenberg, A.; Deligeorgiev, T.G.; Gadjev, N.I.; Vasilev, A.A.; Vauthey, E. Structure—Fluorescence contrast relationship in cyanine DNA intercalators: Towards rational dye design. Chem. Eur. J. 2007, 13, 8600–8609. [Google Scholar] [CrossRef]
 - Ogul’chansky, T.Y.; Yashchuk, V.M.; Losytskyy, M.Y.; Kocheshev, I.O.; Yarmoluk, S.M. Interaction of cyanine dyes with nucleic acids. XVII. Towards an aggregation of cyanine dyes in solutions as a factor facilitating nucleic acid detection. Spectrochim. Acta Part A 2000, 56, 805–814. [Google Scholar] [CrossRef]
 - Norden, B. Linear and circular dichroism of polymeric pseudoisocyanine. J. Phys. Chem. 1977, 81, 151–159. [Google Scholar] [CrossRef]
 - Chiriboga, M.; Green, C.M.; Mathur, D.; Hastman, D.A.; Melinger, J.C.; Veneziano, R.; Medintz, I.L.; Díaz, S.A. Structural and optical variation of pseudoisocyanine aggregates nucleated on DNA substrates. Methods Appl. Fluoresc. 2023, 11, 014003. [Google Scholar] [CrossRef]
 - Ogul’chansky, T.Y.; Losytskyy, M.Y.; Kovalska, V.B.; Yashchuk, V.M.; Yarmoluk, S.M. Interactions of cyanine dyes with nucleic acids. XXIV. Aggregation of monomethine cyanine dyes in presence of DNA and its manifestation in absorption and fluorescence spectra. Spectrochim. Acta Part A 2001, 57, 1525–1532. [Google Scholar] [CrossRef]
 - Zhou, X.; Mandal, S.; Jiang, S.; Lin, S.; Yang, J.; Liu, Y.; Whitten, D.G.; Woodbury, N.W.; Yan, H. Efficient long-range, directional energy transfer through DNA templated dye aggregates. J. Am. Chem. Soc. 2019, 141, 8473–8481. [Google Scholar] [CrossRef] [PubMed]
 - Yarmoluk, S.; Kovalska, V.; Kocheshev, I. Influence of the aggregation of homo-N-mer cyanine dyes on the nucleic acids detection sensitivity. J. Fluor. 2002, 12, 155–157. [Google Scholar] [CrossRef]
 - Biver, T.; Garcia, B.; Leal, J.M.; Secco, F.; Turriani, E. Left-handed DNA: Intercalation of the cyanine thiazole orange and structural changes. A kinetic and thermodynamic approach. Phys. Chem. Chem. Phys. 2010, 12, 13309–13317. [Google Scholar] [CrossRef]
 - Monchaud, D.; Allain, C.; Teulade-Fichou, M.P. Thiazole orange: A useful probe for fluorescence sensing of G-quadruplex-ligand interactions. Nucleosides Nucleotides Nucleic Acids 2007, 26, 1585–1588. [Google Scholar] [CrossRef] [PubMed]
 - Lubitz, I.; Zikich, D.; Kotlyar, A. Specific high-affinity binding of thiazole orange to triplex and G-quadruplex DNA. Biochemistry 2010, 49, 3567–3574. [Google Scholar] [CrossRef]
 - Kovalska, V.B.; Losytskyy, M.Y.; Yarmoluk, S.M.; Lubitz, I.; Kotlyar, A.B. Mono and trimethine cyanines Cyan 40 and Cyan 2 as probes for highly selective fluorescent detection of non-canonical DNA structures. J. Fluor. 2011, 21, 221–230. [Google Scholar] [CrossRef]
 - Doynikova, A.N.; Vekshin, N.L. Fluorescent determination of micro-quantities of RNA using Hoechst 33258 and binase. Anal. Biochem. 2019, 576, 5–8. [Google Scholar] [CrossRef]
 - Wu, Y.; Liu, Y.; Lu, C.; Lei, S.; Li, J.; Du, G. Quantitation of RNA by a fluorometric method using the SYTO RNASelect stain. Anal. Biochem. 2020, 606, 113857. [Google Scholar] [CrossRef]
 - Yoshino, Y.; Sato, Y.; Nishizawa, S. Deep-red light-up signaling of benzo[c,d]indole–quinoline monomethine cyanine for imaging of nucleolar RNA in living cells and for sequence-selective RNA analysis. Anal. Chem. 2019, 91, 14254–14260. [Google Scholar] [CrossRef] [PubMed]
 - Sato, Y.; Igarashi, Y.; Suzuki, M.; Higuchi, K.; Nishizawa, S. Deep-red fluorogenic cyanine dyes carrying an amino group-terminated side chain for improved RNA detection and nucleolar RNA imaging. RSC Adv. 2021, 11, 35436–35439. [Google Scholar] [CrossRef]
 - Aristova, D.; Kosach, V.; Chernii, S.; Slominsky, Y.; Balanda, A.; Filonenko, V.; Yarmoluk, S.; Rotaru, A.; Gizem Özkan, H.; Mokhir, A.; et al. Monomethine cyanine probes for visualization of cellular RNA by fluorescence microscopy. Methods Appl. Fluor. 2021, 9, 045002. [Google Scholar] [CrossRef] [PubMed]
 - Kandinska, M.I.; Cheshmedzhieva, D.V.; Kostadinov, A.; Rusinov, K.; Rangelov, M.; Todorova, N.; Ilieva, S.; Ivanov, D.P.; Videva, V.; Lozanov, V.S.; et al. Tricationic asymmetric monomeric monomethine cyanine dyes with chlorine and trifluoromethyl functionality–fluorogenic nucleic acids probes. J. Mol. Liq. 2021, 342, 117501. [Google Scholar] [CrossRef]
 - Yarmoluk, S.M.; Kryvorotenko, D.V.; Balanda, A.O.; Losytskyy, M.Y.; Kovalska, V.B. Proteins and cyanine dyes. Part III. Synthesis and spectroscopic studies of benzothiazolo-4-[1,2,6-trimethylpyridinium] monomethine cyanine dyes for fluorescent detection of bovine serum albumin in solutions. Dye. Pigment. 2001, 51, 41–49. [Google Scholar] [CrossRef]
 - Berlepsch, H.; Brandenburg, E.; Koksch, B.; Bottcher, C. Peptide adsorption to cyanine dye aggregates revealed by cryo-transmission electron microscopy. Langmuir 2010, 26, 11452–11460. [Google Scholar] [CrossRef]
 - Slavnova, T.O.; Görner, H.; Chibisov, A.K. Cyanine-based J-aggregates as a chirality-sensing supramolecular system. J. Phys. Chem. B. 2011, 115, 3379–3384. [Google Scholar] [CrossRef]
 - Volkova, K.D.; Kovalska, V.B.; Balanda, A.O.; Vermeij, R.J.; Subramaniam, V.; Slominskii, Y.L.; Yarmoluk, S.M. Cyanine dye–protein interactions: Looking for fluorescent probes for amyloid structures. J. Biochem. Biophys. Methods 2007, 70, 727–733. [Google Scholar] [CrossRef]
 - Volkova, K.D.; Kovalska, V.B.; Balanda, A.O.; Losytskyy, M.Y.; Golub, A.G.; Vermeij, R.J.; Subramaniam, V.; Tolmachev, O.I.; Yarmoluk, S.M. Specific fluorescent detection of fibrillar α-synuclein using mono- and trimethine cyanine dyes. Bioorg. Med. Chem. 2008, 16, 1452–1459. [Google Scholar] [CrossRef]
 - Volkova, K.D.; Kovalska, V.B.; Segers-Nolten, G.M.; Veldhuis, G.; Subramaniam, V.; Yarmoluk, S.M. Explorations of the application of cyanine dyes for quantitative α-synuclein detection. Biotech Histochem. 2009, 84, 55–61. [Google Scholar] [CrossRef]
 - Volkova, K.D.; Kovalska, V.B.; Losytskyy, M.Y.; Veldhuis, G.; Segers-Nolten, G.M.J.; Tolmachev, O.I.; Subramaniam, V.; Yarmoluk, S.M. Studies of interaction between cyanine dye T-284 and fibrillar alpha-synuclein. J. Fluor. 2010, 20, 1267–1274. [Google Scholar] [CrossRef] [PubMed]
 - Zhytniakivska, O.; Tarabara, U.; Kurutos, A.; Vus, K.; Trusova, V.; Gorbenko, G. Interaction of novel monomethine cyanine dyes with proteins in native and amyloid states. East Eur. J. Phys. 2022, 2, 124–132. [Google Scholar] [CrossRef]
 - Vus, K.; Tarabara, U.; Balklava, Z.; Nerukh, D.; Stich, M.; Laguta, A.; Vodolazkaya, N.; Mchedlov-Petrossyan, N.O.; Farafonov, V.; Kriklya, N.; et al. Association of novel monomethine cyanine dyes with bacteriophage MS2: A fluorescence study. J. Mol. Liq. 2020, 302, 112569. [Google Scholar] [CrossRef]
 - Mudliar, N.H.; Dongre, P.M.; Singh, P.K. An efficient J-aggregate based fluorescence turn-on and ratiometric sensor for heparin. Sens. Actuators B Chem. 2019, 301, 127089. [Google Scholar] [CrossRef]
 - Fürstenberg, A.; Julliard, M.D.; Deligeorgiev, T.G.; Gadjev, N.I.; Vasilev, A.A.; Vauthey, E. Ultrafast excited-state dynamics of DNA fluorescent intercalators: New insight into the fluorescence enhancement mechanism. J. Am. Chem. Soc. 2006, 128, 7661–7669. [Google Scholar] [CrossRef]
 - Shimizu, M.; Sasaki, S.; Kinjo, M. Triplet fraction buildup effect of the DNA-YOYO complex studied with fluorescence correlation spectroscopy. Anal. Biochem. 2007, 366, 87–92. [Google Scholar] [CrossRef]
 - Shin, H.-S.; Okamoto, A.; Sako, Y.; Kim, S.W.; Kim, S.Y.; Pack, C.-G. Characterization of the triplet state of hybridization-sensitive DNA probe by using fluorescence correlation spectroscopy. J. Phys. Chem. A 2013, 117, 27–33. [Google Scholar] [CrossRef]
 - Ilina, K.; Henary, M. Cyanine dyes containing quinoline moieties: History, synthesis, optical properties, and applications. Chem. Eur. J. 2021, 27, 4230. [Google Scholar] [CrossRef]
 - Li, W.K.W.; Jellett, J.-F.; Dickie, P.M. DNA distributions in planktonic bacteria stained with TOTO or TO-PRO. Limnol. Oceanogr. 1995, 40, 1485–1495. [Google Scholar] [CrossRef]
 - Marie, D.; Vaulot, D.; Partensky, F. Application of the novel nucleic acid dyes YOYO-1, YO-PRO-1, and PicoGreen for flow cytometric analysis of marine prokaryotes. Appl. Environ. Microbiol. 1996, 62, 1649–1655. [Google Scholar] [CrossRef]
 - Lippe, R. Flow virometry: A powerful tool to functionally characterize viruses. J. Virol. 2018, 92, e01765-17. [Google Scholar] [CrossRef] [PubMed]
 - Higuchi, K.; Sato, Y.; Togashi, N.; Suzuki, M.; Yoshino, Y.; Nishizawa, S. Bright and light-up sensing of benzo[c,d]indole-oxazolopyridine cyanine dye for RNA and its application to highly sensitive imaging of nucleolar RNA in living cells. ACS Omega 2022, 7, 23744–23748. [Google Scholar] [CrossRef] [PubMed]
 - Hilal, H.; Taylor, J.A. Cyanine dyes for the detection of double stranded DNA. J. Biochem. Biophys. Methods 2008, 70, 1104–1108. [Google Scholar] [CrossRef] [PubMed]
 - Wang, R.-Y.; Gao, X.; Lu, Y.-T. A surfactant enhanced stopped-flow kinetic fluorimetric method for the determination of trace DNA. Anal. Chim. Acta 2005, 538, 151–158. [Google Scholar] [CrossRef]
 - Atanasova, M.; Yordanova, G.; Nenkova, R.; Ivanov, Y.; Godjevargova, T.; Dinev, D. Brewing yeast viability measured using a novel fluorescent dye and image cytometer. Biotechnol. Biotechnol. Equip. 2019, 33, 548–558. [Google Scholar] [CrossRef]
 - Hwang, G.T. Single-labeled oligonucleotides showing fluorescence changes upon hybridization with target nucleic acids. Molecules 2018, 23, 124. [Google Scholar] [CrossRef]
 - Asseline, U.; Chassignol, M.; Aubert, Y.; Roig, V. Detection of terminal mismatches on DNA duplexes with fluorescent oligonucleotides. Org. Biomol. Chem. 2006, 4, 1949–1957. [Google Scholar] [CrossRef]
 - Koehler, O.; Seitz, O. Thiazole orange as fluorescent universal base in peptide nucleic acids. Chem. Commun. 2003, 23, 2938–2939. [Google Scholar] [CrossRef]
 - Koehler, O.; Venkatrao, D.; Jarikote, D.V.; Seitz, O. Forced intercalation probes (FIT probes): Thiazole orange as a fluorescent base in peptide nucleic acids for homogeneous single-nucleotide-polymorphism detection. Chem. Bio Chem. 2005, 6, 69–77. [Google Scholar] [CrossRef]
 - Jarikote, D.V.; Krebs, N.; Tannert, S.; Roder, B.; Seitz, O. Exploring base-pair-specific optical properties of the DNA stain thiazole orange. Chem. Eur. J. 2007, 13, 300–310. [Google Scholar] [CrossRef]
 - Bethge, L.; Jarikote, D.V.; Seitz, O. New cyanine dyes as base surrogates in PNA: Forced intercalation probes (FIT-probes) for homogeneous SNP detection. Bioorg. Med. Chem. 2008, 16, 114–125. [Google Scholar] [CrossRef] [PubMed]
 - Van Orden, A.; Keller, R.A.; Patrick Ambrose, W. High-throughput flow cytometric DNA fragment sizing. Anal. Chem. 2000, 72, 37–41. [Google Scholar] [CrossRef] [PubMed]
 - Ma, Y.; Shortreed, M.R.; Yeung, E.S. High-throughput single-molecule spectroscopy in free solution. Anal. Chem. 2000, 72, 4640–4645. [Google Scholar] [CrossRef] [PubMed]
 - Ma, Y.; Shortreed, M.R.; Li, H.; Huang, W.; Yeung, E.S. Single-molecule immunoassay and DNA diagnosis. Electrophoresis 2001, 22, 421–426. [Google Scholar] [CrossRef] [PubMed]
 - Zarkov, A.; Vasilev, A.; Deligeorgiev, T.; Stoynov, S.; Nedelcheva-Veleva, M. Novel fluorescent dyes for single DNA molecule techniques. Mol. Imaging 2013, 12, 90–99. [Google Scholar] [CrossRef]
 - Lange, N.; Szlasa, W.; Saczko, J.; Chwiłkowska, A. Potential of cyanine derived dyes in photodynamic therapy. Pharmaceutics 2021, 13, 818. [Google Scholar] [CrossRef]
 - Guan, M.; Chu, G.; Jin, J.; Liu, C.; Cheng, L.; Guo, Y.; Deng, Z.; Wang, Y. A combined cyanine/carbomer gel enhanced photodynamic antimicrobial activity and wound healing. Nanomaterials 2022, 12, 2173. [Google Scholar] [CrossRef]
 



































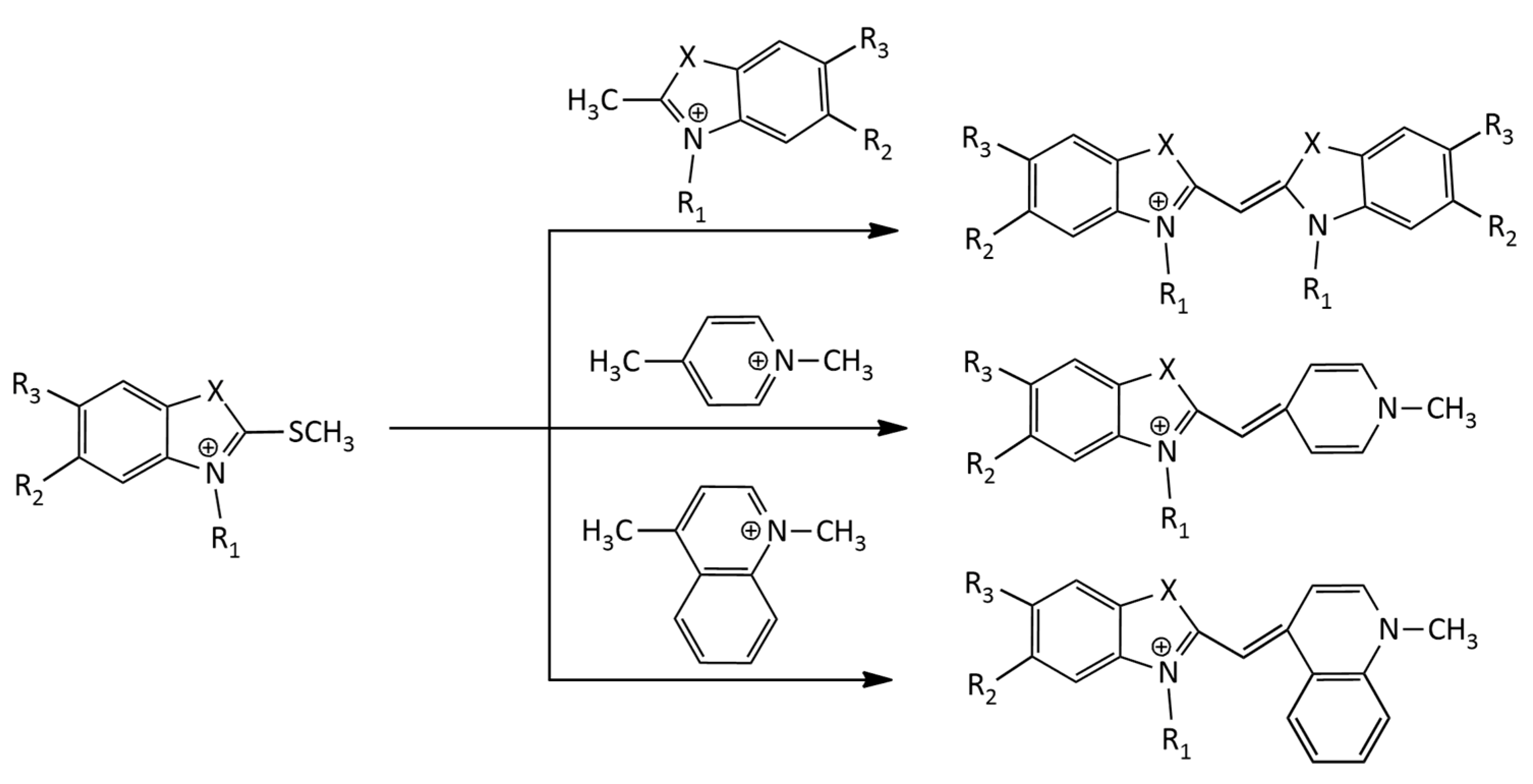
| Reaction Scheme | Precursor Compound | Reagents/Solvents, Conditions | Temperature, Time | Reaction Yield | Refs. | 
|---|---|---|---|---|---|
| Figure 2 | Thioalkyl derivatives | Dry pyridine or triethylamine in ethanol | 120 °C | 68–94% | [8] | 
| N-diisopropylethylamine in ethanol or acetic anhydride | Room temperature | 34–98% | [9] | ||
| Trimethylamine in acetonitrile | 60 °C | 34–90% | [10] | ||
| N,N-Diisopropylethylamine in methanol, with diethyl ether added | Room temperature | 21–63% | [11,12] | ||
| Triethylamine, dichloromethane | Room temperature | 10–37% | [13] | ||
| Melting of compounds, then cooling, and ethanol addition | 100–110 °C (10–15 min) | 52–95% | [14] | ||
| Triethylamine, solvent-free, microwave | 260–320 W, 5–8 min;  200–240 W, 10–12 min 1  | 75–93%  79–90% 1  | [15] | ||
| Figure 3 | 2-iminobenzo- thiazoline  | Melting of compounds and addition of solvent | 150–220 °C,  1 h  | 31–86% | [16] | 
| Figure 4 | Sulfobetaine salt of N-alkyl heterocycle | Melting of compounds, then cooling, and addition of methanol | 100–250 °C, several min | 65–95% | [17] | 
| Methoxyethanol, 1-methyl-2-pyrrolidinone-2, or mix. | Cooling, 10–120 min | 51–95% | [17] | ||
| Figure 5 | 2- or 4-chloroquinoline derivative | Melting of compounds and addition of acetone | 160 °C, 30 min | 49–83% | [18] | 
| Triethylamine in methanol with addition of KI/H2O | Cooling, 30 min | 56–71% | [18] | ||
| N,N-Diisopropylethylamine in methanol | Room temperature, 2–7 h | 50–97% | [19] | ||
| Triethylamine in methanol with addition of KI/H2O. | Room temperature, 1–2 h | 51–93% | [20,21] | ||
| Figure 6 | 3-phenyl-2H-1,4- benzothiazine and indole-3-carboxal- dehyde  | 12 M HCl/acetonitrile; 1:4 v/v | 70 °C, 3 h | ~50% | [22] | 
| Figure 7 | Methyl-pyridinium iodide | Grinding of compounds (in the presence of piperidine catalyst) of | Room temperature, 13 min | 90–97% | [23] | 
| Figure 8 | Thiazole orange derivative 1 | 2-methoxyethanol, with addition of KI/H2O. | 15 min–3 h | 54–93% | [25] | 
| Microwave-assisted solvent-free method, in the presence of N,N-dimethylformamide and triethylamine | 70–120 W, 78–110 min | 75–90% | [26] | ||
| 2-methoxyethanol | 2–5 h | 31–51% | [27] | 
| Dye No.  | Charge | λabsf | λabsb | λflf | λflb | Iflb/Iflf, φflb (%)  | Kb, τDNA, LOQ | Refs. | 
|---|---|---|---|---|---|---|---|---|
| nm | ||||||||
| 1 | +1 | 501 | 508 | 640 | 527 | 18900 | Kb = 3.2 × 105 M−1 | [43,46] | 
| 14 | +1 | 481 | 490 | 575 | 505 | 700, 36% | — | [44,46] | 
| 15 | +1 | 508 | 519 | — | 544 | 892 | Kb = 2.3 × 104 M−1 | [9] | 
| 16 | +1 | 501 | 519 | — | 545 | 1033 | Kb = 9.8 × 104 M−1 | |
| 17 | +1 | 512 | 519 | — | 543 | 834 | Kb = 7.9 × 104 M−1 | |
| 18 | +2 | 510 | 516 | — | 547 | 437 | Kb = 1.27 × 105 M−1 | |
| 19 | +1 | 512 | 525 | — | 545 | 340 | Kb = 9.8 × 104 M−1 | |
| 20 | +1 | 426 | 424 | 495 | 465 | 7 | — | [11,12] | 
| 21 | +1 | 431 | 433 | 505 | 480 | 7 | — | |
| 22 | +1 | 423 | 431 | 491 | 466 | 63 | — | |
| 23 | +1 | 427 | 436 | 497 | 470 | 59 | — | |
| 24 | 0 | 405 | 412/434 | 470 | 474 | 11 | — | |
| 25 | 0 | 406 | 412/430 | 472 | 486 | 5 | — | |
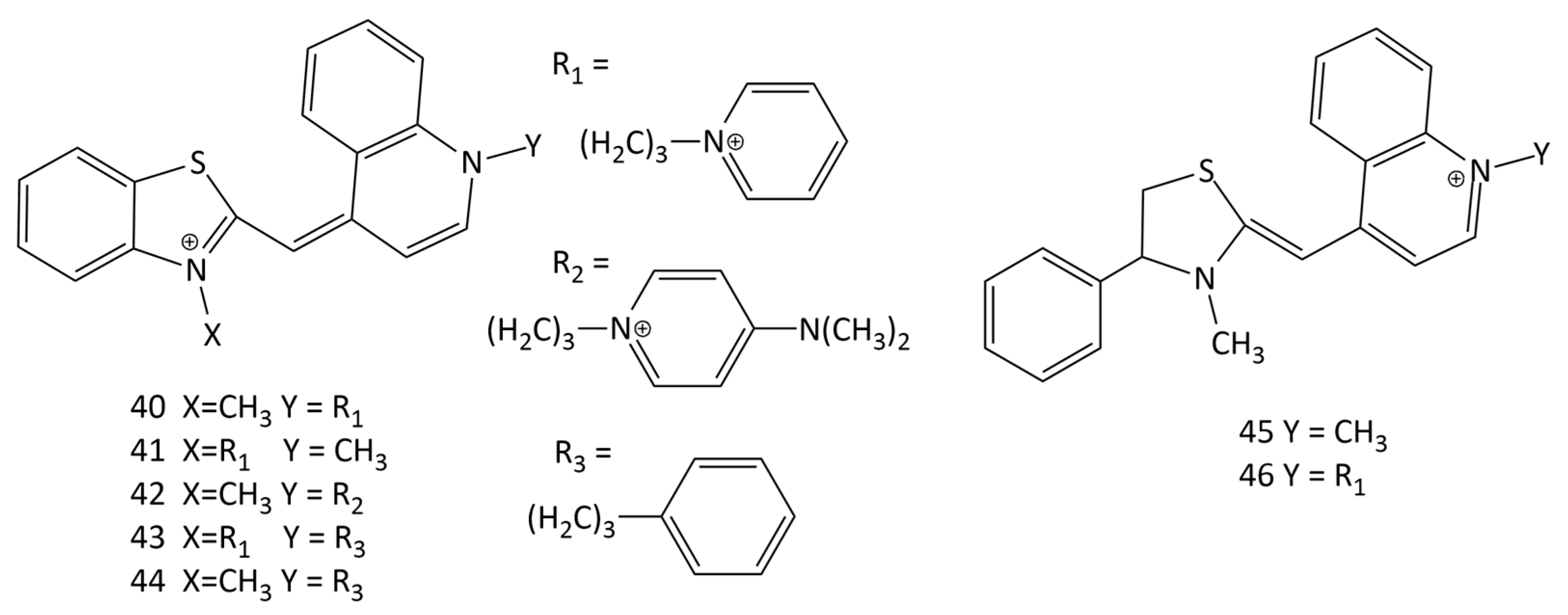
| 40 | +2 | 511 | 515 | — | 532 | 28% | LOQ = 70 ng/mL | [51] | 
| 41 | +2 | 502 | 508 | — | 527 | 18% | — | |
| 42 | +2 | 513 | 515 | — | 532 | 26% | — | |
| 43 | +2 | 506 | 508 | — | 530 | 32% | — | |
| 44 | +1 | 508 | 516 | — | 529 | 27% | — | |
| 45 | +1 | 513 | 520 | — | 536 | 0.6 | — | |
| 52 | +1 | 435 | 440 | 483 | 480 | 182 | — | [60] | 
| 53 | +1 | 446 | 450 | 483 | 483 | 202 | — | |
| 54 | +1 | 440 | 440 | 485 | 485 | 218 | — | |
| 55 | +1 | 442 | 442 | 485 | 488 | 166 | — | |
| 56 | +1 | 441 | 445 | 479 | 483 | 177 | — | |
| 57 | +1 | 442 | 447 | 485 | 483 | 198 | — | |
| 58 | +1 | 400 | 400 | 433 | 426 | 55 | — | [63] | 
| 59 | +1 | 422 | 425 | 471 | 462 | 85 | — | |
| 60 | +1 | 413 | 413 | 465 | 460 | 34 | — | |
| 61 | +1 | 437 | 425 | 520 | 495 | 70 | — | |
| 62 | +1 | 446 | 447 | 475 | 485 | 95 | — | |
| 63 | +1 | 461 | 465 | 515 | 520 | 96 | — | [63] | 
| 64 | +1 | 456 | 461 | 511 | 514 | 61.4 | — | |
| 65 | +1 | 488 | 495 | 640 | 575 | 150 | — | |
| 66 | +1 | 440 | 487 | 19.14 | Kb = 1.01 × 104 M−1 | [64] | ||
| 67 | +1 | 475 | — | 630 | 499 | 360 | — | [65,66] | 
| 68 | +1 | 452 | — | 545 | 481 | 50 | — | |
| 69 | +1 | 474 | — | 495 | 499 | 20 | — | |
| 70 | +1 | 453 | — | 518 | 480 | 40 | — | |
| 71 | +1 | 474 | — | 599 | 498 | 250 | — | |
| 73 | +1 | 476 | — | 500 | 499 | 100 | — | |
| 75 | +1 | 461 | — | 512 | 515 | 5 | — | |
| 76 | +1 | 494 | 498 | 530 | 525 | 1500, 69% | τDNA = 6.94 ns | [73,81] | 
| 77 | +1 | 498 | 480 | 528 | 520 | 1000, 64% | τDNA = 6.84 ns, Kb = 4.3 × 106 M−1 | [81] | 
| 79 | +2 | 486 | 494 | 550 | 543 | 1000, 66% | τDNA = 8.58 ns | [74,81] | 
| 80 | +1 | 491 | 511 | — | — | 18% | Kb = 1.4 × 106 M−1 | [75] | 
| 81 | +1 | 464 | 492 | — | — | 100% | Kb = 8.5 × 106 M−1 | |
| 82 | +1 | 487 | 503 | — | — | 76% | Kb = 4.6 × 106 M−1 | |
| 88 | +1 | 488 | 515 | — | — | 68% | Kb = 5.8 × 106 M−1 | |
| 89 | +1 | 514 | 535 | — | — | 14% | Kb = 2.3 × 106 M−1 | |
| 90 | +2 | 448 | 467 | 542 | 492 | 16 | — | [79] | 
| 91 | +2 | 482 | 463 | 588 | 487 | 340 | — | |
| 92 | +2 | 487 | 516 | 590 | 561 | 130 | — | |
| 93 | +1 | 510 | 532 | 535 | 546 | 1600 | τDNA = 0.62 ns | [80] | 
| 94 | +1 | 512 | 536 | 537 | 553 | 2500 | τDNA = 0.86 ns | |
| 95 | +1 | 520 | 552 | 592 | 600 | 3900 | τDNA = 1.5 ns | |
| 96 | +1 | 524 | 561 | 605 | 612 | 1700 | — | |
| Dye No.  | Charge | λabsf | λabsb | λflf | λflb | Iflb/Iflf,  Ifl (a.u.)  | Kb, τDNA, LOD | Refs. | 
|---|---|---|---|---|---|---|---|---|
| nm | ||||||||
| 98 | +4 | 481 | 513 | — | 533 | 1400 | τDNA = 1.96 ns, LOD ~ 4 pg/mL (gel) | [42,46,82] | 
| 99 | +4 | 488 | 489 | 549 | 509 | 3200 | Kb = 3.9 × 106 M−1, τDNA = 2.3 ns, LOD ~1.7 ng/mL (sol.) | [42,81,82,87,88,89] | 
| 100 | +4 | 478, 509 | 488, 525 | — | 548 | 157 a.u. | Kb = 9.8 × 105 M−1 | [27] | 
| 101 | +4 | 484, 511 | 494, 525 | — | 538 | 386 a.u. | Kb = 2.3 × 106 M−1 | |
| 102 | +4 | 478, 521 | 490, 525 | — | 550 | 340 a.u. | Kb = 4.5 × 106 M−1 | |
| 103 | +4 | 486, 523 | 490, 525 | — | 538 | 216 a.u. | Kb = 1.05 × 106 M−1 | |
| 104 | +2 | 452 | — | 482 | 482 | 775 | — | [92] | 
| 105 | +3 | 452 | — | 482 | 482 | 1542 | — | |
| Dye No.  | Charge | λabsf | λabsb | λflf | λflb | Iflb/Iflf, Kb, φflb (%)  | Refs. | 
|---|---|---|---|---|---|---|---|
| nm | |||||||
| 40 | +2 | 511 | — | — | 646 | — | [51] | 
| 41 | +2 | 502 | — | — | 633 | — | |
| 42 | +2 | 513 | — | — | 652 | — | |
| 43 | +2 | 506 | — | — | 596 | — | |
| 44 | +1 | 508 | — | — | 534 | — | |
| 45 | +1 | 513 | — | — | 570 | — | |
| 52 | +1 | 435 | 440 | 482 | 482 | 255 | [60] | 
| 53 | +1 | 446 | 449 | 483 | 485 | 145 | |
| 54 | +1 | 440 | 440 | 485 | 488 | 155 | |
| 55 | +1 | 442 | 439 | 485 | 485 | 134 | |
| 56 | +1 | 441 | 445 | 479 | 483 | 130 | |
| 57 | +1 | 442 | 447 | 485 | 483 | 143 | |
| 64 | +1 | 462 | 468 | 524 | 506 | 180 | [106] | 
| 75 | +1 | 461 | — | 512 | 495 | — | [66] | 
| 107 | +1 | 580 | 624 | — | 645 | 105, Kb = 1.25 × 106 M−1 | [104,105] | 
| 108 | +2 | 600 | — | — | 666 | 350, Kb = 2.8 × 103 M−1 | [105] | 
| 109 | +1 | 595 | — | — | 665 | 230, Kb = 4.8 × 103 M−1 | |
| 110 | +2 | 480 | 489 | 515 | 511 | 306 | [106] | 
| 111 | +2 | 465 | 506 | 608 | 529 | 402 | |
| 112 | +1 | 468 | 504 | 564 | 526 | 479 | |
| 113 | +1 | 434 | 451 | 469 | 476 | 128 | |
| 116 | +3 | 514 | 518 | 549 | 547 | 75 | [107] | 
| 117 | +3 | 522 | 524 | 575 | 547 | 8 | |
| 118 | +3 | 520 | 523 | 558 | 554 | 70 | |
Disclaimer/Publisher’s Note: The statements, opinions and data contained in all publications are solely those of the individual author(s) and contributor(s) and not of MDPI and/or the editor(s). MDPI and/or the editor(s) disclaim responsibility for any injury to people or property resulting from any ideas, methods, instructions or products referred to in the content.  | 
© 2023 by the authors. Licensee MDPI, Basel, Switzerland. This article is an open access article distributed under the terms and conditions of the Creative Commons Attribution (CC BY) license (https://creativecommons.org/licenses/by/4.0/).
Share and Cite
Pronkin, P.G.; Tatikolov, A.S. Fluorescent Probes for Biomacromolecules Based on Monomethine Cyanine Dyes. Chemosensors 2023, 11, 280. https://doi.org/10.3390/chemosensors11050280
Pronkin PG, Tatikolov AS. Fluorescent Probes for Biomacromolecules Based on Monomethine Cyanine Dyes. Chemosensors. 2023; 11(5):280. https://doi.org/10.3390/chemosensors11050280
Chicago/Turabian StylePronkin, Pavel G., and Alexander S. Tatikolov. 2023. "Fluorescent Probes for Biomacromolecules Based on Monomethine Cyanine Dyes" Chemosensors 11, no. 5: 280. https://doi.org/10.3390/chemosensors11050280
APA StylePronkin, P. G., & Tatikolov, A. S. (2023). Fluorescent Probes for Biomacromolecules Based on Monomethine Cyanine Dyes. Chemosensors, 11(5), 280. https://doi.org/10.3390/chemosensors11050280
        
                                                
