QCM Measurements of RH with Nanostructured Carbon-Based Materials: Part 2-Experimental Characterization
Abstract
:1. Introduction
2. Materials and Methods
2.1. Sensing Layer and QCM Preparation
2.2. Material Characterization
2.3. Assessment of the RH Sensing Properties
3. Experimental Results and Discussion
3.1. Material Characterization
3.2. Adsorption-Desorption Experiments: Sensing Properties of the SWCNT Network
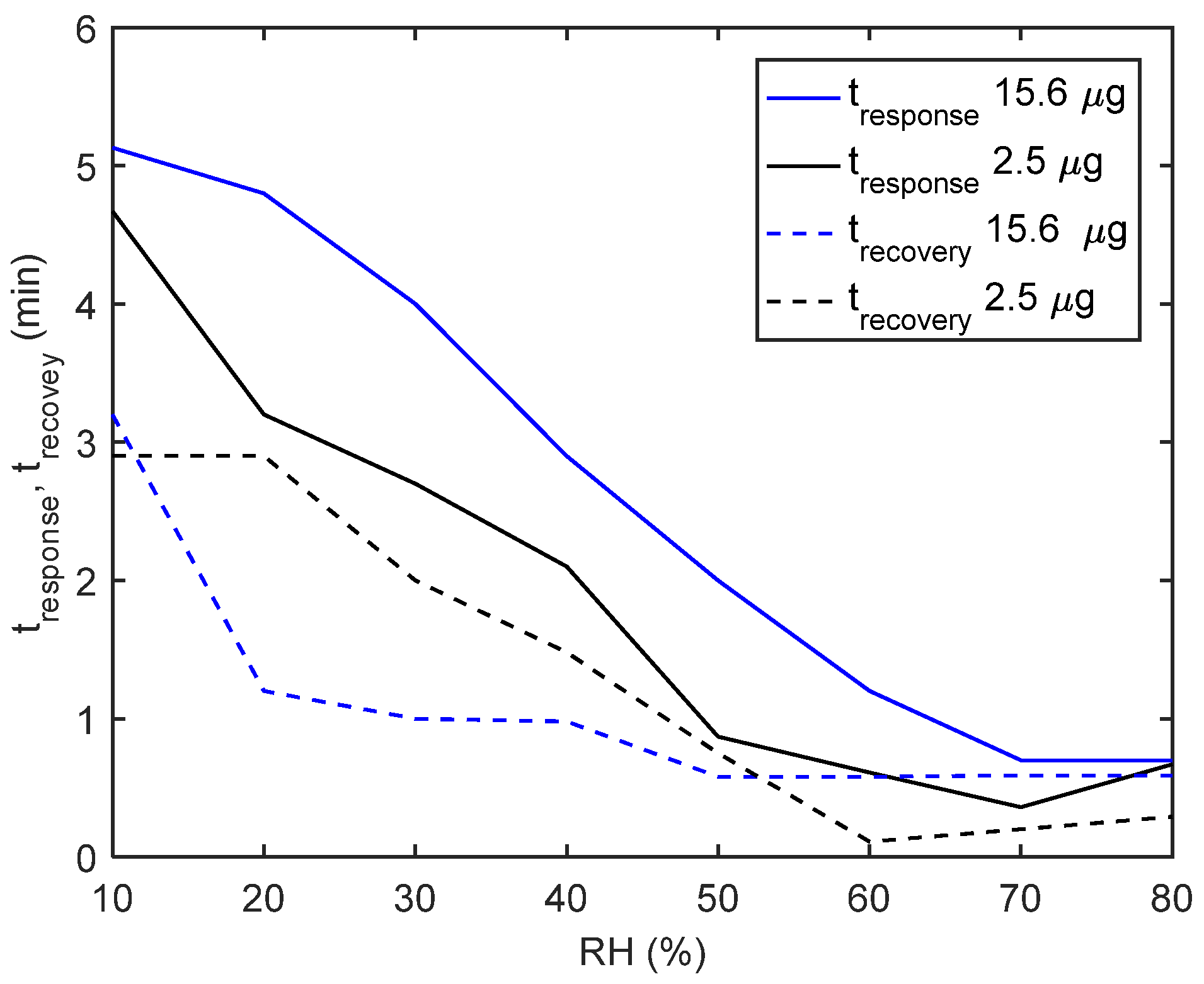
3.3. Transient Responses
4. Conclusions
Author Contributions
Funding
Conflicts of Interest
References
- Farahani, H.; Wagiran, R.; Hamidon, M.N. Humidity Sensors Principle, Mechanism, and Fabrication Technologies: A Comprehensive Review. Sensors 2014, 14, 7881–7939. [Google Scholar] [CrossRef] [PubMed] [Green Version]
- Nikolic, M.V.; Vasiljevic, Z.Z.; Lukovic, M.D.; Pavlovic, V.P.; Vujancevic, J.; Radovanovic, M.; Krstic, J.B.; Vlahovic, B.; Pavlovic, V.B. Humidity sensing properties of nanocrystalline pseudobrookite (Fe2TiO5) based thick films. Sens. Actuators B Chem. 2018, 277, 654–664. [Google Scholar] [CrossRef] [Green Version]
- Farzaneh, A.; Mohammadzadeh, A.; Esrafili, M.D.; Mermer, O. Experimental and theoretical study of TiO2 based nanostructured semiconducting humidity sensor. Ceram. Int. 2019, 45 Pt A, 8362–8369. [Google Scholar] [CrossRef]
- Fort, A.; Panzardi, E.; Vignoli, V.; Landi, E.; Mugnaini, M.; Carlo, T. Performance Analysis of an AlN Humidity Sensor based on TiO2 nanoparticles. In Proceedings of the 2019 IEEE International Symposium on Measurements & Networking (M&N), Catania, Italy, 8–10 July 2019; pp. 1–5. [Google Scholar]
- Chen, Z.; Lu, C. Humidity Sensors: A Review of Materials and Mechanisms. Sens. Lett. 2005, 3, 274–295. [Google Scholar] [CrossRef] [Green Version]
- Tulliani, J.-M.; Inserra, B.; Ziegler, D. Carbon-Based Materials for Humidity Sensing: A Short Review. Micromachines 2019, 10, 232. [Google Scholar] [CrossRef] [PubMed] [Green Version]
- Tripathy, A.; Pramanik, S.; Cho, J.; Santhosh, J.; Abu Osman, N.A. Role of Morphological Structure, Doping, and Coating of Different Materials in the Sensing Characteristics of Humidity Sensors. Sensors 2014, 14, 16343–16422. [Google Scholar] [CrossRef] [PubMed]
- Cappelli, I.; Fort, A.; Grasso, A.L.; Panzardi, E.; Mugnaini, M.; Vignoli, V. RH sensing by means of TiO2 nanoparticles: A comparison among different sensing techniques based on modeling and chemical/physical interpretation. Chemosensors 2020, 8, 89. [Google Scholar] [CrossRef]
- Fort, A.; Lo Grasso, A.; Mugnaini, M.; Panzardi, E.; Vignoli, V. QCM Measurements of RH with Nanostructured Carbon-Based Materials: Part 1—Theory and Model. Chemosensors 2022, 10, 315. [Google Scholar] [CrossRef]
- Johannsmann, D.; Langhoff, A.; Leppin, C. Studying Soft Interfaces with Shear Waves: Principles and Applications of the Quartz Crystal Microbalance (QCM). Sensors 2021, 21, 3490. [Google Scholar] [CrossRef] [PubMed]
- Lucklum, R.; Hauptmann, P. The quartz crystal microbalance: Mass sensitivity, viscoelasticity and acoustic amplification. Sens. Actuators B Chem. 2000, 70, 30–36. [Google Scholar] [CrossRef]
- Fort, A.; Trigona, C.; Panzardi, E.; Vignoli, V.; Addabbo, T.; Mugnaini, M. An AlN Micromachined Mass Sensor: Modeling and Characterization. IEEE Trans. Instrum. Meas. 2021, 70, 1–13. [Google Scholar] [CrossRef]
- Fort, A.; Panzardi, E.; Al-Hamry, A.; Vignoli, V.; Mugnaini, M.; Addabbo, T.; Kanoun, O. Highly Sensitive Detection of NO2 by Au and TiO2 Nanoparticles Decorated SWCNTs Sensors. Sensors 2020, 20, 12. [Google Scholar] [CrossRef] [PubMed] [Green Version]
- Fort, A.; Landi, E.; Grasso, A.L.; Mugnaini, M.; Panzardi, E.; Vaccarella, P.; Vignoli, V. QCM measurements in Newtonian liquids: Problems and performance analysis. IEEE Trans. Instrum. Meas. 2022, 71, 1–13. [Google Scholar] [CrossRef]
- Tan, F.; Qiu, D.Y.; Guo, L.P.; Ye, P.; Zeng, H.; Jiang, J.; Tang, Y.; Zhang, Y.C. Separate density and viscosity measurements of unknown liquid using quartz crystal microbalance. AIP Adv. 2016, 6, 095313. [Google Scholar] [CrossRef] [Green Version]
- Fort, A.; Panzardi, E.; Vignoli, V.; Tani, M.; Landi, E.; Mugnaini, M.; Vaccarella, P. An Adaptive Measurement System for the Simultaneous Evaluation of Frequency Shift and Series Resistance of QCM in Liquid. Sensors 2021, 21, 678. [Google Scholar] [CrossRef] [PubMed]
- Belovolova, L.V.; Glushkov, M.V. Porous Matrices and Specific Features of Water in Nanostructures. Phys. Wave Phen. 2021, 29, 249–277. [Google Scholar] [CrossRef]
- Zhao, J.; Buldum, A.; Han, J.; Lu, J.P. Gas Molecule Adsorption in Carbon Nanotubes and Nanotube Bundles. Nanotechnology 2001, 13, 195. [Google Scholar] [CrossRef]
- Yeow, J.T.W.; She, J.P.M. Capillary Condensation-Assisted Moisture Sensor Using Micro-/Nano-Materials. U.S. Patent US60/795198, 4 June 2005. [Google Scholar]
- Yeow, J.T.W.; She, J.P.M. Carbon nanotube-enhanced capillary condensation for a capacitive humidity sensor. Nanotechnology 2006, 17, 5441. [Google Scholar] [CrossRef]
- Craciun, F.; Guidarelli, G.; Galassi, C.; Roncari, E. Elastic wave propagation in porous piezoelectric ceramics. Ultrasonics 1998, 36, 427–430. [Google Scholar] [CrossRef]
- Addabbo, T.; Cappelli, I.; Fort, A.; Mugnaini, M.; Panzardi, E.; Vignoli, V.; Viti, C. The effect of au nanoparticle addition on humidity sensing with ultra-small TiO2 nanoparticles. Chemosensors 2021, 9, 170. [Google Scholar] [CrossRef]









Publisher’s Note: MDPI stays neutral with regard to jurisdictional claims in published maps and institutional affiliations. |
© 2022 by the authors. Licensee MDPI, Basel, Switzerland. This article is an open access article distributed under the terms and conditions of the Creative Commons Attribution (CC BY) license (https://creativecommons.org/licenses/by/4.0/).
Share and Cite
Fort, A.; Lo Grasso, A.; Mugnaini, M.; Panzardi, E.; Parri, L.; Vignoli, V.; Viti, C.; Al-Hamry, A.; Kanoun, O. QCM Measurements of RH with Nanostructured Carbon-Based Materials: Part 2-Experimental Characterization. Chemosensors 2022, 10, 320. https://doi.org/10.3390/chemosensors10080320
Fort A, Lo Grasso A, Mugnaini M, Panzardi E, Parri L, Vignoli V, Viti C, Al-Hamry A, Kanoun O. QCM Measurements of RH with Nanostructured Carbon-Based Materials: Part 2-Experimental Characterization. Chemosensors. 2022; 10(8):320. https://doi.org/10.3390/chemosensors10080320
Chicago/Turabian StyleFort, Ada, Anna Lo Grasso, Marco Mugnaini, Enza Panzardi, Lorenzo Parri, Valerio Vignoli, Cecilia Viti, Ammar Al-Hamry, and Olfa Kanoun. 2022. "QCM Measurements of RH with Nanostructured Carbon-Based Materials: Part 2-Experimental Characterization" Chemosensors 10, no. 8: 320. https://doi.org/10.3390/chemosensors10080320
APA StyleFort, A., Lo Grasso, A., Mugnaini, M., Panzardi, E., Parri, L., Vignoli, V., Viti, C., Al-Hamry, A., & Kanoun, O. (2022). QCM Measurements of RH with Nanostructured Carbon-Based Materials: Part 2-Experimental Characterization. Chemosensors, 10(8), 320. https://doi.org/10.3390/chemosensors10080320

