Sex Differences Associated with Weekend Catch-Up Sleep and Waist-to-Height-Ratio among South Korean Adults Using Korea National Health and Nutrition Examination Survey 2016–2021 Data
Abstract
:1. Introduction
2. Materials and Methods
2.1. Study Participants and Database Information
2.2. Obesity
2.3. Sleep Duration and Weekend CUS
2.4. Covariates
2.5. Statistical Analyses
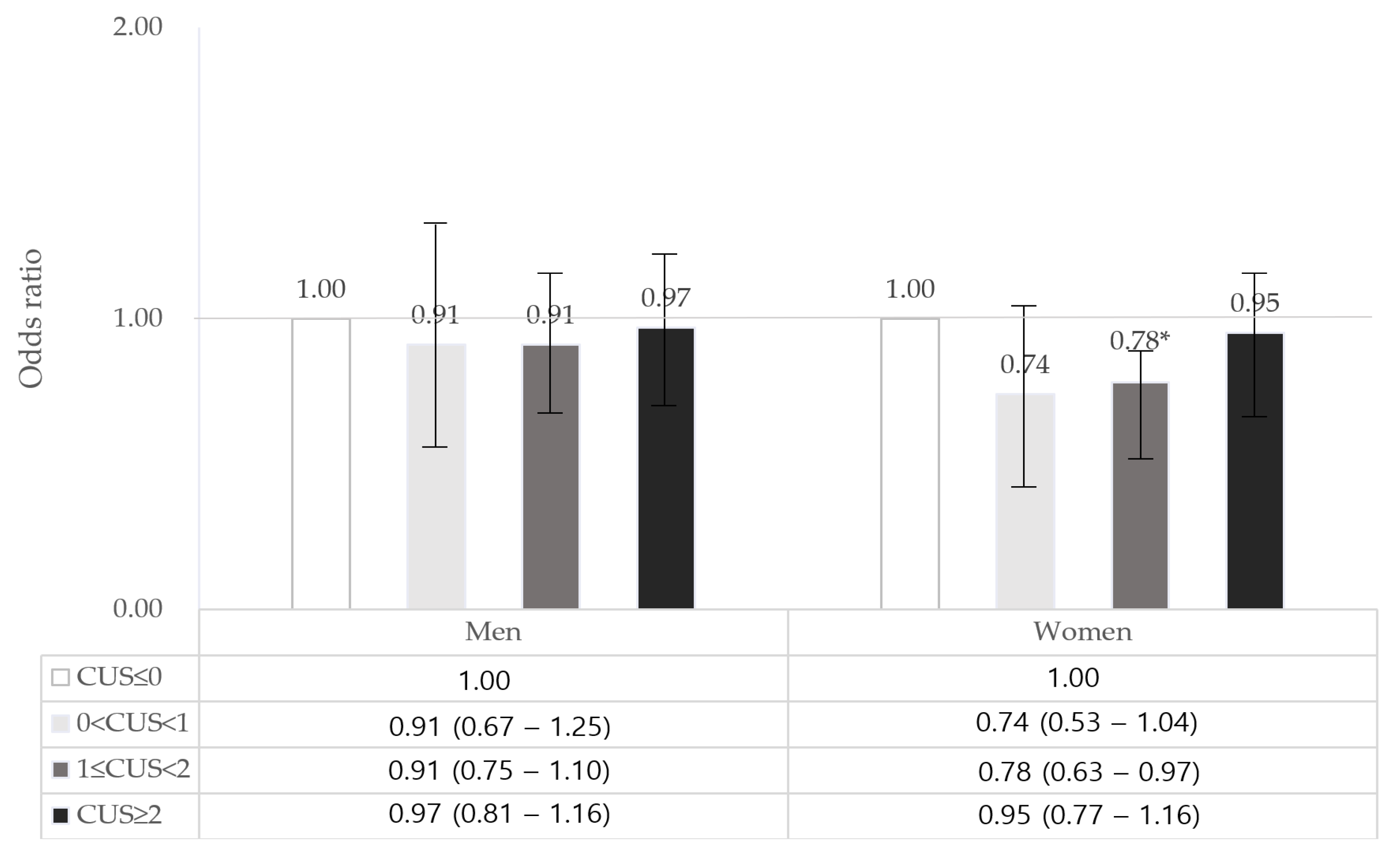
3. Results
4. Discussion
5. Conclusions
Supplementary Materials
Author Contributions
Funding
Institutional Review Board Statement
Informed Consent Statement
Data Availability Statement
Conflicts of Interest
References
- World Health Organization. Obesity: Preventing and Managing the Global Epidemic; World Health Organization Technical Report Series 2000; World Health Organization: Geneva, Switzerland, 2000; Volume 894, 253p. [Google Scholar]
- Lee, S.H.; Lee, M.J.; Seo, B.J. The effect of sleep duration on obesity in Korean adults. J. Converg. Inf. Technol. 2022, 12, 219–230. [Google Scholar] [CrossRef]
- Blüher, M. Obesity: Global epidemiology and pathogenesis. Nat. Rev. Endocrinol. 2019, 15, 288–298. [Google Scholar] [CrossRef] [PubMed]
- Choi, Y.H. Correlation between total sleep time and weekend catch-up sleep and obesity based on body mass index: A nationwide cohort study in Korea. J. Korean Soc. Integr. Med. 2022, 10, 1–11. [Google Scholar] [CrossRef]
- Korea Health Statistics 2021: Korea National Health and Nutrition Examination Survey (KNHANES VIII-3).
- Nantel, J.; Mathieu, M.E.; Prince, F. Physical activity and obesity: Biomechanical and physiological key concepts. J. Obes. 2011, 2011, 650230. [Google Scholar] [CrossRef] [PubMed]
- Wallis, N.; Raffan, E. The genetic basis of obesity and related metabolic diseases in humans and companion animals. Genes 2020, 11, 1378. [Google Scholar] [CrossRef] [PubMed]
- Kiecolt-Glaser, J.K. Stress, food, and inflammation: Psychoneuroimmunology and nutrition at the cutting edge. Psychosom. Med. 2010, 72, 365–369. [Google Scholar] [CrossRef]
- Antza, C.; Kostopoulos, G.; Mostafa, S.; Nirantharakumar, K.; Tahrani, A. The links between sleep duration, obesity and type 2 diabetes mellitus. J. Endocrinol. 2021, 252, 125–141. [Google Scholar] [CrossRef]
- Jang, Y.; Jun, J.S.; Jung, K.Y. Trends in sleep duration in Korea: The Korean time use survey. Sleep Med. 2023, 103, 24–28. [Google Scholar] [CrossRef]
- Hirshkowitz, M.; Whiton, K.; Albert, S.M.; Alessi, C.; Bruni, O.; DonCarlos, L.; Hazen, N.; Herman, J.; Katz, E.S.; Kheirandish-Gozal, L.; et al. National Sleep Foundation’s sleep time duration recommendations: Methodology and results summary. Sleep Health 2015, 1, 40–43. [Google Scholar] [CrossRef]
- Paruthi, S.; Brooks, L.J.; D’Ambrosio, C.; Hall, W.A.; Kotagal, S.; Lloyd, R.M.; Malow, B.A.; Maski, K.; Nichols, C.; Quan, S.F.; et al. Recommended amount of sleep for pediatric populations: A consensus statement of the American Academy of Sleep Medicine. J. Clin. Sleep Med. 2016, 12, 785–786. [Google Scholar] [CrossRef]
- Watson, N.F.; Badr, M.S.; Belenky, G.; Bliwise, D.L.; Buxton, O.M.; Buysse, D.; Dinges, D.F.; Gangwisch, J.; Grandner, M.A.; Kushida, C.; et al. Recommended amount of sleep for a healthy adult: A joint consensus statement of the American Academy of Sleep Medicine and sleep research society. Sleep 2015, 38, 843–844. [Google Scholar] [CrossRef] [PubMed]
- Vandekerckhove, M.; Wang, Y.L. Emotion, emotion regulation and sleep: An intimate relationship. AIMS Neurosci. 2017, 5, 1–17. [Google Scholar] [CrossRef]
- Taheri, S.; Lin, L.; Austin, D.; Young, T.; Mignot, E. Short sleep duration is associated with reduced leptin, elevated ghrelin, and increased body mass index. PLoS Med. 2004, 1, e62. [Google Scholar] [CrossRef] [PubMed]
- Im, H.J.; Baek, S.H.; Chu, M.K.; Yang, K.I.; Kim, W.J.; Park, S.H.; Thomas, R.J.; Yun, C.H. Association between weekend catch-up sleep and lower body mass: Population-based study. Sleep 2017, 40, zsx089. [Google Scholar] [CrossRef] [PubMed]
- Hwangbo, Y.; Kim, W.J.; Chu, M.K.; Yun, C.H.; Yang, K.I. Association between weekend catch-up sleep duration and hypertension in Korean adults. Sleep Med. 2013, 14, 549–554. [Google Scholar] [CrossRef]
- Kim, K.; Shin, D.; Jung, G.U.; Lee, D.; Park, S.M. Association between sleep duration, fat mass, lean mass and obesity in Korean adults: The fourth and fifth Korea National Health and Nutrition Examination Surveys. J. Sleep Res. 2017, 26, 453–460. [Google Scholar] [CrossRef] [PubMed]
- Kwon, T.W.; Xiaochen, L.; Cho, H. The consistency study on obesity evaluation results of BMI, WC and WHtR obesity evaluation methods. Korean J. Sports Sci. 2021, 30, 1001–1011. [Google Scholar] [CrossRef]
- Okorodudu, D.O.; Jumean, M.F.; Montori, V.M.; Romero-Corral, A.; Somers, V.K.; Erwin, P.J.; Lopez-Jimenez, F. Diagnostic performance of body mass index to identify obesity as defined by body adiposity: A systematic review and meta-analysis. Int. J. Obes. 2010, 34, 791–799. [Google Scholar] [CrossRef]
- Hsieh, S.D.; Yoshinaga, H. Do people with similar waist circumference share similar health risks irrespective of height? Tohoku J. Exp. Med. 1999, 188, 55–60. [Google Scholar] [CrossRef]
- Margaret, A. Six reasons why the waist-to-height ratio is a rapid and effective global indicator for health risks of obesity and how its use could simplify the international public health message on obesity. Int. J. Food Sci. Nutr. 2005, 56, 303–307. [Google Scholar] [CrossRef]
- Kim, T.N. Waist-to-height ratio is a valuable marker for predicting cardiometabolic disease. Korean J. Obes. 2015, 24, 92–94. [Google Scholar] [CrossRef]
- Ruderman, N.; Chisholm, D.; Pi-Sunyer, X.; Schneider, S. The metabolically obese, normal-weight individual revisited. Diabetes 1998, 47, 699–713. [Google Scholar] [CrossRef]
- Despres, J.P. Lipoprotein metabolism in visceral obesity. Int. J. Obes. 1991, 2, 45–52. [Google Scholar]
- Zhao, L.C.; Li, Y.; Peng, Y.G.; Zhang, L.F.; Guo, M.; Wu, Y.F. The cut-off value of waist-to-height ratio in detecting central obesity in Chinese adult population. Zhongguo Yufang Yixue Zazhi-Chin. Prev. Med. 2012, 13, 481–485. [Google Scholar]
- Hsieh, S.D.; Yoshinaga, H. Waist/height ratio as a simple and useful predictor of coronary heart disease risk factors in women. Intern. Med. 1995, 34, 1147–1152. [Google Scholar] [CrossRef] [PubMed]
- Lee, J.S.; Aoki, K.; Kawakubo, K.; Gunji, A. A study on indices of body fat distribution for screening for obesity. Sangyo Eiseigaku Zasshi 1995, 37, 9–18. [Google Scholar] [CrossRef] [PubMed]
- Tseng, C.H.; Chong, C.K.; Chan, T.T.; Bai, C.H.; You, S.L.; Chiou, H.Y.; Su, T.C.; Chen, C.J. Optimal anthropometric factor cutoffs for hyperglycemia, hypertension and dyslipidemia for the taiwanese population. Atherosclerosis 2010, 210, 585–589. [Google Scholar] [CrossRef]
- Park, Y.W.; Allison, D.B.; Heymsfield, S.B.; Gallagher, D. Larger amounts of visceral adipose tissue in Asian Americans. Obes. Res. 2001, 9, 381–387. [Google Scholar] [CrossRef]
- Zhou, X.; Fang, Y.; Liu, H.; Shuiqin, N.I.; Yan, H.E.; Zheng, X. Utility of anthro-pometric parameters and body composition analysis for the screening and prediction of metabolic syndrome in the elderly. Chin. J. Health Manag. 2015, 2, 108–113. [Google Scholar]
- Schneider, H.J.; Klotsche, J.; Silber, S.; Stalla, G.K.; Wittchen, H.U. Mea-suring abdominal obesity: Effects of height on distribution of car-diometabolic risk factors risk using waist circumference and waist-to-height ratio. Diabetes Care 2011, 34, e7. [Google Scholar] [CrossRef]
- Who.int. Waist Circumference and Waist-Hip Ratio: Report of a WHO Expert Consultation. Available online: https://www.who.int/publications-detail-redirect/9789241501491 (accessed on 14 December 2022).
- Armstrong, T.; Bull, F. Development of the world health organization global physical activity questionnaire (GPAQ). Public Health 2006, 14, 66–70. [Google Scholar] [CrossRef]
- Lee, J.; Lee, C.; Min, J.; Kang, D.W.; Kim, J.Y.; Hyuk In Yang, H.I.; Park, J.; Lee, M.K.; Lee, M.Y.; Ilhyeok Park, I.; et al. Development of the Korean global physical activity questionnaire: Reliability and validity study. Glob. Health Promot. 2019, 27, 44–55. [Google Scholar] [CrossRef] [PubMed]
- Jang, S.Y.; Ju, E.Y.; Park, K.M.; Seo, S.; Choi, S.J.; Lee, C.K.; Chun, H.; Park, S.W. Association between sleep duration and obesity in young Korean adults. Korean J. Obes. 2016, 25, 207–214. [Google Scholar] [CrossRef]
- Patel, S.R.; Malhotra, A.; White, D.P.; Gottlieb, D.J.; Hu, F.B. Association between reduced sleep and weight gain in women. Am. J. Epidemiol. 2006, 164, 947–954. [Google Scholar] [CrossRef]
- Knutson, K.L.; Spiegel, K.; Penev, P.; Van Cauter, E. The metabolic consequences of sleep deprivation. Sleep Med. Rev. 2007, 11, 163–178. [Google Scholar] [CrossRef] [PubMed]
- St-Onge, M.P.; Roberts, A.L.; Chen, J.; Kelleman, M.; O’Keeffe, M.; RoyChoudhury, A.; Jones, P.J. Short sleep duration increases energy intakes but does not change energy expenditure in normal-weight individuals. Am. J. Clin. Nutr. 2011, 94, 410–416. [Google Scholar] [CrossRef]
- Maume, D.J.; Sebastian, R.A.; Bardo, A.R. Gender differences in sleep disruption among retail food workers. Am. Sociol. Rev. 2009, 74, 989–1007. [Google Scholar] [CrossRef]
- Theorell-Haglöw, J.; Berne, C.; Janson, C.; Sahlin, C.; Lindberg, E. Associations between short sleep duration and central obesity in women. Sleep 2010, 33, 593–598. [Google Scholar] [CrossRef] [PubMed]
- Gangwisch, J.E.; Malaspina, D.; Boden-Albala, B.; Heymsfield, S.B. Inadequate sleep as a risk factor for obesity: Analyses of the NHANES I. Sleep 2005, 28, 1289–1296. [Google Scholar] [CrossRef]
- Buscemi, D.; Kumar, A.; Nugent, R.; Nugent, K. Short sleep times predict obesity in internal medicine clinic patients. J. Clin. Sleep Med. 2007, 3, 681–688. [Google Scholar] [CrossRef]
- Fan, Y.; Zhang, L.; Wang, Y.; Li, C.; Zhang, B.; He, J.; Guo, P.; Qi, X.; Zhang, M.; Guo, C.; et al. Gender differences in the association between sleep duration and body mass index, percentage of body fat and visceral fat area among Chinese adults: A cross-sectional study. BMC Endocr. Disord. 2021, 21, 247. [Google Scholar] [CrossRef] [PubMed]
- Mallampalli, M.P.; Carter, C.L. Exploring sex and gender differences in sleep health: A Society for Women’s Health Research Report. J. Womens Health 2014, 23, 553–562. [Google Scholar] [CrossRef] [PubMed]
- Leeners, B.; Geary, N.; Tobler, P.N.; Asarian, L. Ovarian hormones and obesity. Hum. Reprod. Update 2017, 23, 300–321. [Google Scholar] [CrossRef] [PubMed]
- Gupta, N.K.; Mueller, W.H.; Chan, W.; Meininger, J.C. Is obesity associated with poor sleep quality in adolescents? Am. J. Hum. Biol. 2002, 14, 762–768. [Google Scholar] [CrossRef]
- Lee, H.; Kim, Y.J.; Jeon, Y.H.; Kim, S.H.; Park, E.C. Association of weekend catch-up sleep ratio and subjective sleep quality with depressive symptoms and suicidal ideation among Korean adolescents. Sci. Rep. 2022, 12, 10235. [Google Scholar] [CrossRef]


| Variables | Obesity | |||
|---|---|---|---|---|
| Yes (n = 3888) | No (n = 2902) | Total (n = 6790) | p-Value | |
| n (%) | n (%) | n (%) | ||
| CUS | ≤0.0001 | |||
| CUS ≤ 0 | 2222 (63.92%) | 1254 (36.08%) | 3476 (51.19%) | |
| 0 < CUS < 1 | 192 (51.34%) | 182 (48.66%) | 374 (5.51%) | |
| 1 ≤ CUS < 2 | 645 (50.35%) | 636 (49.65%) | 1281 (18.87%) | |
| CUS ≥ 2 | 829 (49.97%) | 830 (50.03%) | 1659 (24.43%) | |
| Sex | ≤0.0001 | |||
| Men | 2231 (61.6%) | 1402 (38.6%) | 3633 (53.51%) | |
| Women | 1657 (52.5%) | 1500 (47.5%) | 3157 (46.49%) | |
| Age (years) | ≤0.0001 | |||
| 19–39 | 594 (37.2%) | 1001 (62.8%) | 1595 (23.49%) | |
| 40–65 | 2544 (59.5%) | 1733 (40.5%) | 4277 (62.99%) | |
| >65 | 168 (18.3%) | 750 (81.7%) | 918 (13.52%) | |
| Marital status | ≤0.0001 | |||
| Married | 3504 (61.2%) | 2225 (38.8%) | 5729 (84.37%) | |
| Unmarried | 384 (36.2%) | 677 (63.8%) | 1061 (15.63%) | |
| House income | ≤0.0001 | |||
| Low | 526 (73.5%) | 190 (26.5%) | 716 (10.56%) | |
| Mid-low | 949 (63.0%) | 557 (37.0%) | 1506 (22.21%) | |
| Mid-high | 1101 (53.9%) | 941 (46.1%) | 2042 (30.11%) | |
| High | 1308 (52.0%) | 1210 (48.1%) | 2518 (37.13%) | |
| Missing data | 8 | |||
| Educational level | ≤0.0001 | |||
| Elementary school or below | 757 (81.2%) | 175 (18.8%) | 932 (13.73%) | |
| Middle school | 420 (68.6%) | 192 (31.4%) | 612 (9.01%) | |
| High school | 1204 (55.7%) | 957 (44.3%) | 2161 (31.83%) | |
| College or above | 1506 (48.8%) | 1578 (51.2%) | 3084 (45.43%) | |
| Missing data | 1 | |||
| Region | ≤0.0001 | |||
| Urban area | 2996 (54.8%) | 2468 (45.2%) | 5464 (80.47%) | |
| Rural area | 892 (67.3%) | 434 (32.7%) | 1326 (19.53%) | |
| Occupation | ≤0.0001 | |||
| White collar | 1403 (48.5%) | 1490 (51.5%) | 2893 (42.75%) | |
| Pink collar | 1469 (63.5%) | 845 (36.5%) | 2314 (34.19%) | |
| Blue collar | 1007 (64.5%) | 554 (35.5%) | 1561 (23.06%) | |
| Missing | 22 | |||
| Smoking status | ||||
| Non-smoker | 1965 (53.9%) | 1678 (46.1%) | 3643 (53.72%) | ≤0.0001 |
| Ex-smoker | 1086 (64.5%) | 598 (35.5%) | 1684 (24.83%) | |
| Current smoker | 828 (57.0%) | 626 (43.1%) | 1454 (21.44%) | |
| Missing data | 9 | |||
| Alcohol consumption | ≤0.0001 | |||
| None | 981 (64.9%) | 531 (32.1%) | 1512 (22.29%) | |
| ≤1 time per week | 1829 (52.1%) | 1682 (47.9%) | 3511 (51.77%) | |
| ≥2 times per week | 1070 (60.8%) | 689 (39.2%) | 1759 (25.94%) | |
| Missing data | 8 | |||
| Physical activity | ≤0.0001 | |||
| No | 2230 (60.5%) | 1459 (39.6%) | 3689 (54.40%) | |
| Yes | 1652 (53.4%) | 1440 (46.6%) | 3092 (45.60%) | |
| Missing data | 9 | |||
| Obesity | ||||
|---|---|---|---|---|
| OR | 95% CI | p-Value | ||
| Weekend CUS | 0.3729 | |||
| CUS ≤ 0 | 1.00 | |||
| 0 < CUS < 1 | 0.87 | 0.69 | 1.09 | |
| 1 ≤ CUS < 2 | 0.86 | 0.75 | 0.99 | |
| CUS ≥ 2 | 0.96 | 0.84 | 1.09 | |
| Sex | <0.0001 | |||
| Men | 1.00 | |||
| Women | 0.53 | 0.46 | 0.61 | |
| Age (years) | <0.0001 | |||
| 19–39 | 1.00 | |||
| 40–65 | 1.75 | 1.51 | 2.03 | |
| >65 | 2.90 | 2.25 | 3.74 | |
| Marital status | <0.0001 | |||
| Married | 1.00 | |||
| Unmarried | 0.67 | 0.56 | 0.79 | |
| House income | 0.1045 | |||
| Low | 1.20 | 0.97 | 1.50 | |
| Mid-low | 1.14 | 0.98 | 1.31 | |
| Mid-high | 0.99 | 0.87 | 1.12 | |
| High | 1.00 | |||
| Education level | <0.0001 | |||
| Elementary school or below | 2.50 | 1.97 | 3.16 | |
| Middle school | 1.49 | 1.20 | 1.85 | |
| High school | 1.16 | 1.02 | 1.33 | |
| College or above | 1.00 | |||
| Region | 0.0148 | |||
| Urban area | 1.00 | |||
| Rural area | 1.19 | 1.04 | 1.37 | |
| Occupation | 0.0013 | |||
| White collar | 1.09 | 0.93 | 1.28 | |
| Pink collar | 1.31 | 1.12 | 1.52 | |
| Blue collar | 1.00 | |||
| Smoking status | 0.0628 | |||
| Non-smoker | 1.00 | |||
| Ex-smoker | 1.12 | 0.96 | 1.31 | |
| Current smoker | 0.94 | 0.80 | 1.10 | |
| Alcohol consumption | 0.0224 | |||
| None | 1.00 | |||
| ≤1 time per week | 0.86 | 0.75 | 0.98 | |
| ≥2 times per week | 0.99 | 0.84 | 1.17 | |
| Physical activity | 0.0223 | |||
| No | 1.13 | 1.02 | 1.25 | |
| Yes | 1.00 | |||
Disclaimer/Publisher’s Note: The statements, opinions and data contained in all publications are solely those of the individual author(s) and contributor(s) and not of MDPI and/or the editor(s). MDPI and/or the editor(s) disclaim responsibility for any injury to people or property resulting from any ideas, methods, instructions or products referred to in the content. |
© 2023 by the authors. Licensee MDPI, Basel, Switzerland. This article is an open access article distributed under the terms and conditions of the Creative Commons Attribution (CC BY) license (https://creativecommons.org/licenses/by/4.0/).
Share and Cite
Jung, S.; Nam, J.Y. Sex Differences Associated with Weekend Catch-Up Sleep and Waist-to-Height-Ratio among South Korean Adults Using Korea National Health and Nutrition Examination Survey 2016–2021 Data. Healthcare 2023, 11, 2889. https://doi.org/10.3390/healthcare11212889
Jung S, Nam JY. Sex Differences Associated with Weekend Catch-Up Sleep and Waist-to-Height-Ratio among South Korean Adults Using Korea National Health and Nutrition Examination Survey 2016–2021 Data. Healthcare. 2023; 11(21):2889. https://doi.org/10.3390/healthcare11212889
Chicago/Turabian StyleJung, Seungwon, and Jin Young Nam. 2023. "Sex Differences Associated with Weekend Catch-Up Sleep and Waist-to-Height-Ratio among South Korean Adults Using Korea National Health and Nutrition Examination Survey 2016–2021 Data" Healthcare 11, no. 21: 2889. https://doi.org/10.3390/healthcare11212889
APA StyleJung, S., & Nam, J. Y. (2023). Sex Differences Associated with Weekend Catch-Up Sleep and Waist-to-Height-Ratio among South Korean Adults Using Korea National Health and Nutrition Examination Survey 2016–2021 Data. Healthcare, 11(21), 2889. https://doi.org/10.3390/healthcare11212889

