Reduced Quality of Life in Patients with Non-Alcoholic Fatty Liver Disease May Be Associated with Depression and Fatigue
Abstract
:1. Introduction
2. Materials and Methods
2.1. Study Participants
2.2. Assessments
2.2.1. Assessment of Fatty Liver Disease
2.2.2. Assessment of Fatigue
2.2.3. Assessment of Anxiety and Depression
2.2.4. Quality of Life Assessment
2.3. Statistical Analysis
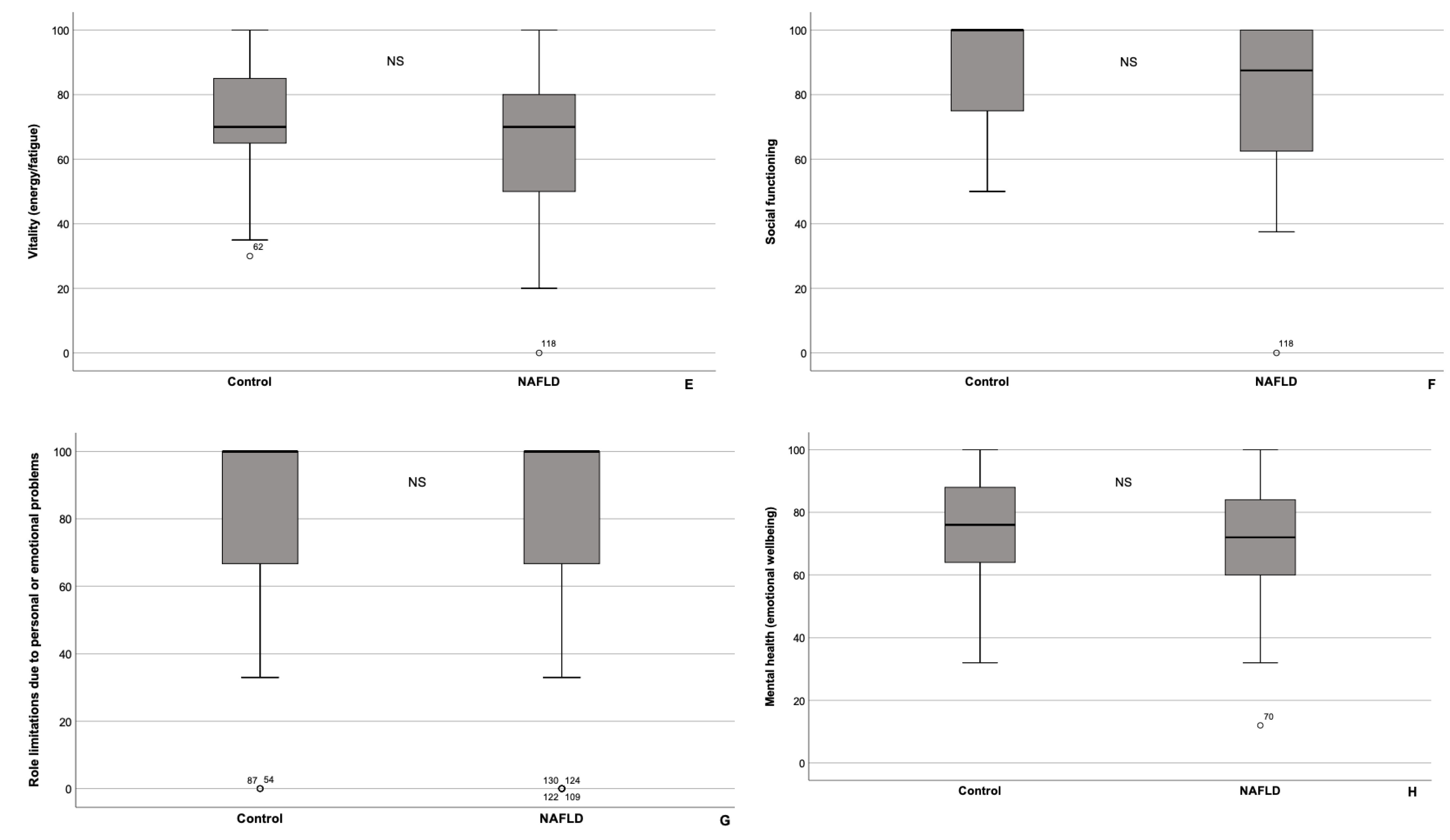
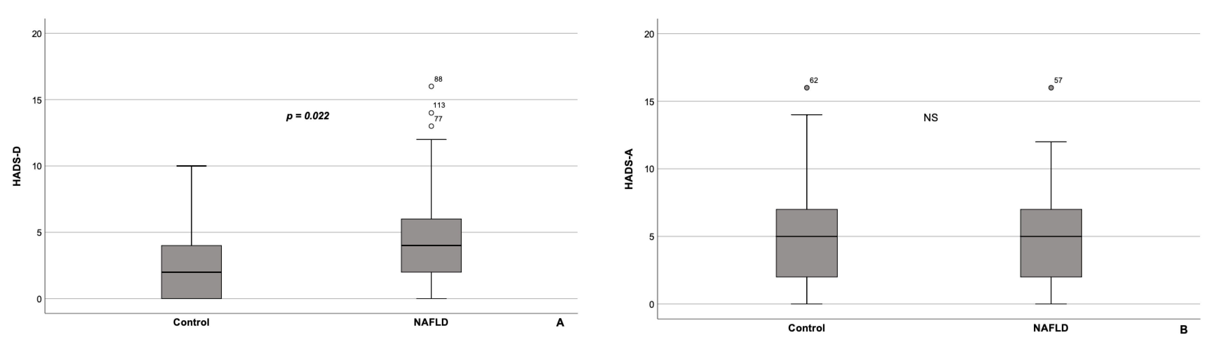
3. Results
4. Discussion
5. Conclusions
6. Limitations
Author Contributions
Funding
Institutional Review Board Statement
Informed Consent Statement
Data Availability Statement
Conflicts of Interest
References
- Younossi, Z.M.; Koenig, A.B.; Abdelatif, D.; Fazel, Y.; Henry, L.; Wymer, M. Global epidemiology of nonalcoholic fatty liver disease-Meta-analytic assessment of prevalence, incidence, and outcomes. Hepatology 2016, 64, 73–84. [Google Scholar] [CrossRef]
- Finucane, M.M.; Stevens, G.A.; Cowan, M.J.; Danaei, G.; Lin, J.K.; Paciorek, C.J.; Singh, G.M.; Gutierrez, H.R.; Lu, Y.; Bahalim, A.N.; et al. Global Burden of Metabolic Risk Factors of Chronic Diseases Collaborating Group (Body Mass Index). National, regional, and global trends in body-mass index since 1980: Systematic analysis of health examination surveys and epidemiological studies with 960 country-years and 9·1 million participants. Lancet 2011, 377, 557–567. [Google Scholar] [CrossRef] [PubMed]
- Stewart, K.E.; Haller, D.L.; Sargeant, C.; Levenson, J.L.; Puri, P.; Sanyalm, A.J. Readiness for behaviour change in non-alcoholic fatty liver disease: Implications for multidisciplinary care models. Liver Int. 2015, 35, 936–943. [Google Scholar] [CrossRef] [PubMed]
- Tomeno, W.; Kawashima, K.; Yoneda, M.; Saito, S.; Ogawa, Y.; Honda, Y.; Kessoku, T.; Imajo, K.; Mawatari, H.; Fujita, K.; et al. Non-alcoholic fatty liver disease comorbid with major depressive disorder: The pathological features and poor therapeutic efficacy. J. Gastroenterol. Hepatol. 2015, 30, 1009–1014. [Google Scholar] [CrossRef] [PubMed]
- Colognesi, M.; Gabbia, D.; de Martin, S. Depression and cognitive impairment-Extrahepatic manifestations of NAFLD and NASH. Biomedicines 2020, 8, 229. [Google Scholar] [CrossRef] [PubMed]
- Gu, Y.; Zhang, W.; Hu, Y.; Chen, Y.; Shi, J. Association between nonalcoholic fatty liver disease and depression: A systematic review and meta-analysis of observational studies. J. Affect. Disord. 2022, 301, 8–13. [Google Scholar] [CrossRef]
- Choi, J.M.; Chung, G.E.; Kang, S.J.; Kwak, M.S.; Yang, J.I.; Park, B.; Yim, J.Y. Association Between Anxiety and Depression and Nonalcoholic Fatty Liver Disease. Front. Med. 2021, 7, 585618. [Google Scholar] [CrossRef]
- Labenz, C.; Huber, Y.; Michel, M.; Nagel, M.; Gallem, P.R.; Kostev, K.; Schattenberg, J.M. Nonalcoholic Fatty Liver Disease Increases the Risk of Anxiety and Depression. Hepatol. Commun. 2020, 4, 1293–1301. [Google Scholar] [CrossRef]
- Moretti, R.; Caruso, P.; Gazzin, S. Non-alcoholic fatty liver disease and neurological defects. Ann. Hepatol. 2019, 18, 563–570. [Google Scholar] [CrossRef]
- Moretti, R.; Giuffré, M.; Crocè, L.S.; Gazzin, S.; Tiribelli, C. Nonalcoholic Fatty Liver Disease and Altered Neuropsychological Functions in Patients with Subcortical Vascular Dementia. J. Pers. Med. 2022, 12, 1106. [Google Scholar] [CrossRef]
- Assimakopoulos, K.; Karaivazoglou, K.; Tsermpini, E.E.; Diamantopoulou, G.; Triantos, C. Quality of life in patients with nonalcoholic fatty liver disease: A systematic review. J. Psychosom. Res. 2018, 112, 73–80. [Google Scholar] [CrossRef] [PubMed]
- Samala, N.; Desai, A.; Vilar-Gomez, E.; Smith, E.R.; Gawrieh, S.; Kettler, C.D.; Pike, F.; Chalasani, N. Decreased Quality of Life Is Significantly Associated with Body Composition in Patients with Nonalcoholic Fatty Liver Disease. Clin. Gastroenterol. Hepatol. 2020, 18, 2980–2988.e4. [Google Scholar] [CrossRef] [PubMed]
- Bland, M. An Introduction to Medical Statistics, 3rd ed.; Oxford University Press: Oxford, UK, 2000; pp. 335–347. [Google Scholar]
- Fouad, Y.; Waked, I.; Bollipo, S.; Gomaa, A.; Ajlouni, Y.; Attia, D. What’s in a name? Renaming ‘NAFLD’ to ‘MAFLD’. Liver Int. 2020, 40, 1254–1261. [Google Scholar] [CrossRef]
- Bedogni, G.; Bellentani, S.; Miglioli, L.; Masutti, F.; Passalacqua, M.; Castiglione, A.; Tiribelli, C. The Fatty Liver Index: A simple and accurate predictor of hepatic steatosis in the general population. BMC Gastroenterol. 2006, 6, 33. [Google Scholar] [CrossRef]
- Berzigotti, A.; Tsochatzis, E.; Boursier, J.; Castera, L.; Cazzagon, N.; Friedrich-Rust, M.; Petta, S.; Thiele, M. EASL Clinical Practice Guidelines on non-invasive tests for evaluation of liver disease severity and prognosis– 021 update. J. Hepatol. 2021, 75, 659–689. [Google Scholar] [CrossRef] [PubMed]
- Elera-Fitzcarrald, C.; Rocha, J.; Burgos, P.I.; Ugarte-Gil, M.F.; Petri, M.; Alarcón, G.S. Measures of Fatigue in Patients with Rheumatic Diseases: A Critical Review. Arthritis Care Res. 2020, 72 (Suppl. 10), 369–409. [Google Scholar] [CrossRef] [PubMed]
- Sharma, M.; Talele, R.; Chaudhary, M. 60. Fatigue improves after successful antiviral therapy in chronic hepatitis C patients. J. Clin. Exp. Hepatol. 2018, 8, S132. [Google Scholar] [CrossRef]
- Bhandari, K.; Kapoor, D. Fatigue in Cirrhosis. J. Clin. Exp. Hepatol. 2022, 12, 617–624. [Google Scholar] [CrossRef]
- Michielsen, H.J.; de Vries, J.; van Heck, G.L. Psychometric qualities of a brief self-rated fatigue measure: The Fatigue Assessment Scale. J. Psychosom. Res. 2003, 54, 345–352. [Google Scholar] [CrossRef]
- Snaith, R.P. The Hospital Anxiety and Depression Scale. Health Qual. Life Outcomes 2003, 1, 29. [Google Scholar] [CrossRef] [Green Version]
- Xiao, J.; Lim, L.K.E.; Ng, C.H.; Tan, D.J.H.; Lim, W.H.; Ho, C.S.H.; Tan, E.X.X.; Sanyal, A.J.; Muthiah, M.D. Is Fatty Liver Associated with Depression? A Meta-Analysis and Systematic Review on the Prevalence, Risk Factors, and Outcomes of Depression and Non-alcoholic Fatty Liver Disease. Front. Med. 2021, 8, 691696. [Google Scholar] [CrossRef] [PubMed]
- Iani, L.; Lauriola, M.; Costantini, M. A confirmatory bifactor analysis of the Hospital Anxiety and Depression Scale in an Italian community sample. Health Qual. Life Outcomes 2014, 12, 84. [Google Scholar] [CrossRef] [PubMed]
- Kennedy-Martin, T.; Bae, J.P.; Paczkowski, R.; Freeman, E. Health-related quality of life burden of nonalcoholic steatohepatitis: A robust pragmatic literature review. J. Patient Rep. Outcomes 2018, 2, 28. [Google Scholar] [CrossRef]
- Grønkjær, L.L.; Lauridsen, M.M. Quality of life and unmet needs in patients with chronic liver disease: A mixed-method systematic review. JHEP Rep. 2021, 3, 100370. [Google Scholar] [CrossRef]
- Drapkina, O.; Evsyutina, Y.; Ivashkin, V. Prevalence of Non-alcoholic Fatty Liver Disease in the Russian Federation: The Open, Multicenter, Prospective Study, DIREG 1. Am. J. Clin. Med. Res. 2015, 3, 31–36. [Google Scholar] [CrossRef]
- Bertolotti, M.; Lonardo, A.; Mussi, C.; Baldelli, E.; Pellegrini, E.; Ballestri, S.; Romagnoli, D.; Loria, P. Nonalcoholic fatty liver disease and aging: Epidemiology to management. World J. Gastroenterol. 2014, 20, 14185–14204. [Google Scholar] [CrossRef]
- Afendy, A.; Kallman, J.B.; Stepanova, M.; Younoszai, Z.; Aquino, R.D.; Bianchi, G.; Marchesini, G.; Younossi, Z.M. Predictors of health-related quality of life in patients with chronic liver disease. Aliment. Pharmacol. Ther. 2009, 30, 469–476. [Google Scholar] [CrossRef]
- Huang, R.; Fan, J.G.; Shi, J.P.; Mao, Y.M.; Wang, B.Y.; Zhao, J.M.; Lu, L.G.; Zhong, B.H.; Zou, Z.S.; Xu, Y.Q.; et al. Health-related quality of life in Chinese population with non-alcoholic fatty liver disease: A national multicenter survey. Health Qual. Life Outcomes 2021, 19, 140. [Google Scholar] [CrossRef] [PubMed]
- Jamali, R.; Moghtadaie, A.; Miratashi Yazdi, S.A.; Moghtadaie, H. Impact of standard treatment on the quality of life of non-alcoholic fatty liver disease patients. J. Taibah. Univ. Med. Sci. 2021, 16, 755–760. [Google Scholar] [CrossRef] [PubMed]
- Shea, S.; Lionis, C.; Kite, C.; Atkinson, L.; Chaggar, S.S.; Randeva, H.S.; Kyrou, I. Non-alcoholic fatty liver disease (NAFLD) and potential links to depression, anxiety, and chronic stress. Biomedicines 2021, 9, 1697. [Google Scholar] [CrossRef]
- Jung, J.Y.; Park, S.K.; Oh, C.M.; Chung, P.W.; Ryoo, J.H. Non-alcoholic fatty liver disease and its association with depression in Korean general population. J. Korean Med. Sci. 2019, 34, e199. [Google Scholar] [CrossRef] [PubMed]
- Chan, K.L.; Cathomas, F.; Russo, S.J. Central and peripheral inflammation link metabolic syndrome and major depressive disorder. Physiology 2019, 34, 123–133. [Google Scholar] [CrossRef] [PubMed]
- Gerber, L.H.; Weinstein, A.A.; Mehta, R.; Younossi, Z.M. Importance of fatigue and its measurement in chronic liver disease. World J. Gastroenterol. 2019, 25, 3669–3683. [Google Scholar] [CrossRef] [PubMed]
- Kant, I.J.; Bültmann, U.; Schröer, K.A.; Beurskens, A.J.; van Amelsvoort, L.G.; Swaen, G.M. An epidemiological approach to study fatigue in the working population: The Maastricht Cohort Study. Occup. Environ. Med. 2003, 60 (Suppl. 1), i32–i39. [Google Scholar] [CrossRef] [PubMed]
- Swain, M.G. Fatigue in liver disease: Pathophysiology and clinical management. Can. J. Gastroenterol. 2006, 20, 181–188. [Google Scholar] [CrossRef]
- Cho, I.Y.; Chang, Y.; Sung, E.; Kang, J.H.; Wild, S.H.; Byrne, C.D.; Shin, H.; Ryu, S. Depression and increased risk of non-alcoholic fatty liver disease in individuals with obesity. Epidemiol. Psychiatr. Sci. 2021, 30, e23. [Google Scholar] [CrossRef] [PubMed]



| Parameter | NAFLD | Controls | p |
|---|---|---|---|
| Number | 95 | 37 | |
| Gender: female, n (%) | 59 (62.1) | 29 (78.4) | 0.075 a |
| Age (years) | 50 (43–58) | 45.5 (36–51) | 0.008 b |
| BMI, (kg/m2) | 30.92 (28.34–34.62) | 23.29 (21.04–26.36) | <0.0001 b |
| Normal weight (BMI < 25 kg/m2), n (%) | 4 (4.2) | 24 (64.9) | <0.0001 a |
| Overweight (BMI ≥ 25 and <30 kg/m2), n (%) | 34 (35.8) | 12 (32.4) | 0.635 a |
| Obese (BMI ≥ 30 kg/m2), n (%) | 57 (60.0) | 1 (2.7) | <0.0001 a |
| Platelet count (×109/L) | 254 (207–289) | 239 (208.5–255.25) | 0.087 b |
| ALT (IU/L) | 23 (17–35) | 13.5 (10.0–24.0) | <0.0001 b |
| AST (IU/L) | 21 (18–26) | 18 (15.75–23.25) | 0.012 b |
| GGT (IU/L) | 30 (21–50) | 17 (13–30) | <0.0001 b |
| Glucose (mmol/L) | 5.7 (5.2–6.3) | 5.3 (5.07–5.72) | 0.005 b |
| Triglycerides (mg/dL) | 1.47 (1.08–2.08) | 0.88 (0.67–1.28) | <0.0001 b |
| Fibrinogen (g/L) | 3.8 (3.4–4.2) | 3.45 (3.2–3.97) | 0.014 b |
| CRP (mg/L) (mg/L) | 1.7 (0.9–3.4) | 1.02 (0.38–1.84) | <0.0001 b |
| Uric acid (mg/dL) | 5.9 (4.9–7) | 4.6 (3.9–5.9) | <0.0001 b |
| Insulin (µIU/mL) | 11.7 (8.47–14.52) | 5.7 (4.8–7.7) | <0.0001 b |
| HOMA-IR > 2.7, n (%) | 53 (55.7%) | 2 (5.4%) | <0.0001 a |
| TyG | 8.84 (8.49–9.18) | 8.25 (7.88–8.65) | <0.0001 b |
| FLI > 60, n (%) | 65 (69.1%) | 0 | <0.0001 a |
| VAI | 1.88 (1.17–2.88) | 0.91 (0.58–1.19) | <0.0001 b |
| NAFLD Group (n = 95) | ||||||||
| PHYSICAL COMPONENT SUMMARY | MENTAL COMPONENT SUMMARY | |||||||
| SF-36 SUBSCALES | PF | RP | BP | GH | VT | SF | RE | MH |
| HADS-D | −0.526 * | −0.518 * | −0.307 * | −0.498 * | −0.620 * | −0.571 * | −0.453 * | −0.605 * |
| FAS | −0.564 * | −0.463 * | −0.314 * | −0.497 * | −0.745 * | −0.477 * | −0.528 * | −0.578 * |
| Control group (n = 37) | ||||||||
| PHYSICAL COMPONENT SUMMARY | MENTAL COMPONENT SUMMARY | |||||||
| SF-36 SUBSCALES | PF | RP | BP | GH | VT | SF | RE | MH |
| HADS-D | −0.460 ** | −0.268 | −0.095 | −0.568 ** | −0.622 | −0.495 ** | −0.484 ** | −0.570 ** |
| FAS | −0.641 ** | −0.371 * | −0.189 | −0.397 * | −0.800 ** | −0.513 ** | −0.487 ** | −0.668 ** |
Publisher’s Note: MDPI stays neutral with regard to jurisdictional claims in published maps and institutional affiliations. |
© 2022 by the authors. Licensee MDPI, Basel, Switzerland. This article is an open access article distributed under the terms and conditions of the Creative Commons Attribution (CC BY) license (https://creativecommons.org/licenses/by/4.0/).
Share and Cite
Golubeva, J.A.; Sheptulina, A.F.; Yafarova, A.A.; Mamutova, E.M.; Kiselev, A.R.; Drapkina, O.M. Reduced Quality of Life in Patients with Non-Alcoholic Fatty Liver Disease May Be Associated with Depression and Fatigue. Healthcare 2022, 10, 1699. https://doi.org/10.3390/healthcare10091699
Golubeva JA, Sheptulina AF, Yafarova AA, Mamutova EM, Kiselev AR, Drapkina OM. Reduced Quality of Life in Patients with Non-Alcoholic Fatty Liver Disease May Be Associated with Depression and Fatigue. Healthcare. 2022; 10(9):1699. https://doi.org/10.3390/healthcare10091699
Chicago/Turabian StyleGolubeva, Julia A., Anna F. Sheptulina, Adel A. Yafarova, Elvira M. Mamutova, Anton R. Kiselev, and Oxana M. Drapkina. 2022. "Reduced Quality of Life in Patients with Non-Alcoholic Fatty Liver Disease May Be Associated with Depression and Fatigue" Healthcare 10, no. 9: 1699. https://doi.org/10.3390/healthcare10091699
APA StyleGolubeva, J. A., Sheptulina, A. F., Yafarova, A. A., Mamutova, E. M., Kiselev, A. R., & Drapkina, O. M. (2022). Reduced Quality of Life in Patients with Non-Alcoholic Fatty Liver Disease May Be Associated with Depression and Fatigue. Healthcare, 10(9), 1699. https://doi.org/10.3390/healthcare10091699

