Proposing an Intelligent Dual-Energy Radiation-Based System for Metering Scale Layer Thickness in Oil Pipelines Containing an Annular Regime of Three-Phase Flow
Abstract
1. Introduction
2. Materials and Methods
2.1. Monte Carlo Simulation
2.2. Radial Basis Function (RBF) Neural Networks
3. Results
3.1. Performance of the Modeled Detection System
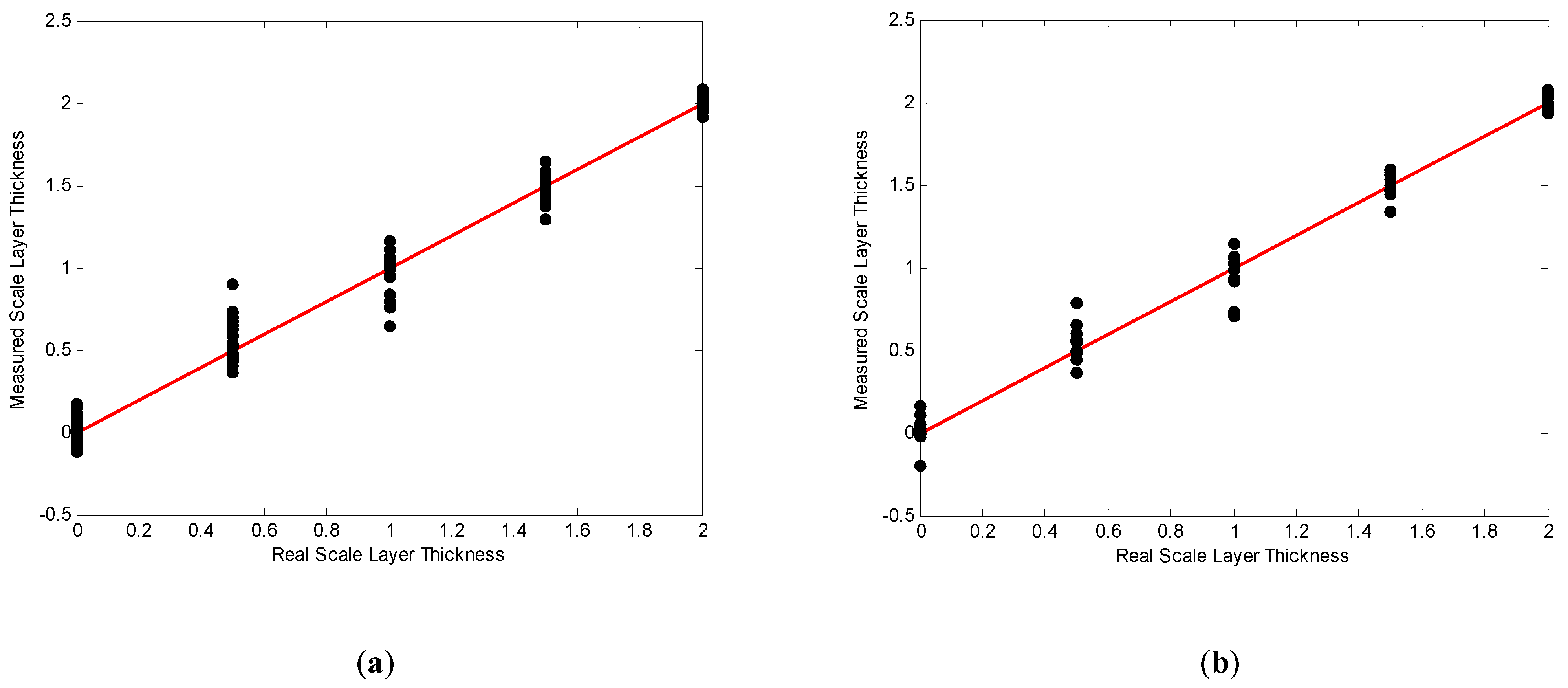
3.2. Scale Thickness Prediction by RBF Neural Networks
4. Conclusions
Author Contributions
Funding
Institutional Review Board Statement
Informed Consent Statement
Data Availability Statement
Conflicts of Interest
References
- Bahadori, A.; Zahedi, G.; Zendehboudi, S. Estimation of potential barium sulfate (barite) precipitation in oilfield brines using a simple predictive tool. Environ. Prog. Sustain. Energy 2013, 32, 860–865. [Google Scholar] [CrossRef]
- BinMerdhah, A.B. Inhibition of barium sulfate scale at high-barium formation water. J. Pet. Sci. Eng. 2012, 90–91, 124–130. [Google Scholar] [CrossRef]
- Zabihi, R.; Schaffie, M.; Nezamabadi-Pour, H.; Ranjbar, M. Artificial neural network for permeability damage prediction due to sulfate scaling. J. Pet. Sci. Eng. 2011, 78, 575–581. [Google Scholar] [CrossRef]
- Candeias, J.; De Oliveira, D.; Dos Anjos, M.; Lopes, R. Scale analysis using X-ray microfluorescence and computed radiography. Radiat. Phys. Chem. 2013, 95, 408–411. [Google Scholar] [CrossRef]
- Oliveira, D.F.; Santos, R.S.; Machado, A.S.; Silva, A.S.; Anjos, M.J.; Lopes, R.T. Characterization of scale deposition in oil pipelines through X-Ray Microfluorescence and X-Ray microtomography. Appl. Radiat. Isot. 2019, 151, 247–255. [Google Scholar] [CrossRef] [PubMed]
- Abdul-Majid, S. Determination of wax deposition and corrosion in pipelines by neutron back diffusion collimation and neutron capture gamma rays. Appl. Radiat. Isot. 2013, 74, 102–108. [Google Scholar] [CrossRef]
- Oliveira, D.F.; Nascimento, J.R.; Marinho, C.A.; Lopes, R.T. Gamma transmission system for detection of scale in oil exploration pipelines. Nucl. Instrum. Methods Phys. Res. Sect. A Accel. Spectrometers, Detect. and Assoc. Equip. 2015, 784, 616–620. [Google Scholar] [CrossRef]
- Teixeira, T.P.; Salgado, C.M.; Dam, R.S.D.F.; Salgado, W.L. Inorganic scale thickness prediction in oil pipelines by gamma-ray attenuation and artificial neural network. Appl. Radiat. Isot. 2018, 141, 44–50. [Google Scholar] [CrossRef]
- Roshani, M.; Phan, G.T.; Ali, P.J.M.; Roshani, G.H.; Hanus, R.; Duong, T.; Corniani, E.; Nazemi, E.; Kalmoun, E.M. Eval-uation of flow pattern recognition and void fraction measurement in two phase flow independent of oil pipeline’s scale layer thickness. Alex. Eng. J. 2021, 60, 1955–1966. [Google Scholar] [CrossRef]
- Pelowitz, D.B. MCNP-X TM User’s Manual, Version 2.5.0.; LA-CP-05e0369; Los Alamos National Laboratory: Los Alamos, CA, USA, 2005. [Google Scholar]
- Nazemi, E.; Feghhi, S.A.H.; Roshani, G.H.; Peyvandi, R.G.; Setayeshi, S. Precise Void Fraction Measurement in Two-phase Flows Independent of the Flow Regime Using Gamma-ray Attenuation. Nucl. Eng. Technol. 2016, 48, 64–71. [Google Scholar] [CrossRef]
- Dai, T.; Cao, L.; He, Q.; Wu, H.; Shen, W. A Two-Way Neutronics/Thermal-Hydraulics Coupling Analysis Method for Fusion Blankets and Its Application to CFETR. Energies 2020, 13, 4070. [Google Scholar] [CrossRef]
- Roshani, M.; Phan, G.; Roshani, G.H.; Hanus, R.; Nazemi, B.; Corniani, E.; Nazemi, E. Combination of X-ray tube and GMDH neural network as a nondestructive and potential technique for measuring characteristics of gas-oil–water three phase flows. Measurement 2021, 168, 108427. [Google Scholar] [CrossRef]
- Salgado, C.M.; Pereira, C.M.N.A.; Schirru, R.; Brandao, L.E.B. Flow regime identification and volume fraction prediction in mul-tiphase flows by means of gamma-ray attenuation and artificial neural networks. Prog. Nucl. Energy 2010, 52, 555–562. [Google Scholar] [CrossRef]
- Roshani, M.; Sattari, M.A.; Ali, P.J.M.; Roshani, G.H.; Nazemi, B.; Corniani, E.; Nazemi, E. Application of GMDH neural network technique to improve measuring precision of a simplified photon attenuation based two-phase flowmeter. Flow Meas. Instrum. 2020, 75, 101804. [Google Scholar] [CrossRef]
- Salgado, C.; Brandão, L.; Conti, C.; Salgado, W. Density prediction for petroleum and derivatives by gamma-ray attenuation and artificial neural networks. Appl. Radiat. Isot. 2016, 116, 143–149. [Google Scholar] [CrossRef] [PubMed]
- Roshani, M.; Phan, G.; Faraj, R.H.; Phan, N.-H.; Roshani, G.H.; Nazemi, B.; Corniani, E.; Nazemi, E. Proposing a gamma radiation based intelligent system for simultaneous analyzing and detecting type and amount of petroleum by-products. Nucl. Eng. Technol. 2021, 53, 1277–1283. [Google Scholar] [CrossRef]
- El Abd, A. Intercomparison of gamma ray scattering and transmission techniques for gas volume fraction measurements in two phase pipe flow. Nucl. Instrum. Methods Phys. Res. Sect. A Accel. Spectrom. Detect. Assoc. Equip. 2014, 735, 260–266. [Google Scholar] [CrossRef]
- Faghihi, R.; Nematollahi, M.; Erfaninia, A.; Adineh, M. Void fraction measurement in modeled two-phase flow inside a vertical pipe by using polyethylene phantoms. Int. J. Hydrogen Energy 2015, 40, 15206–15212. [Google Scholar] [CrossRef]
- Roshani, G.H.; Feghhi, S.A.H.; Adineh-Vand, A.; Khorsandi, M. Application of adaptive neuro-fuzzy inference system in prediction of fluid density for a gamma ray densitometer in petroleum products monitoring. Measurement 2013, 46, 3276–3281. [Google Scholar] [CrossRef]
- Yadollahi, A.; Nazemi, E.; Zolfaghari, A.; Ajorloo, A. Application of artificial neural network for predicting the optimal mixture of radiation shielding concrete. Prog. Nucl. Energy 2016, 89, 69–77. [Google Scholar] [CrossRef]
- Yadollahi, A.; Nazemi, E.; Zolfaghari, A.; Ajorloo, A. Optimization of thermal neutron shield concrete mixture using artificial neural network. Nucl. Eng. Des. 2016, 305, 146–155. [Google Scholar] [CrossRef]
- Nazemi, E.; Roshani, G.H.; Feghhi, S.A.H.; Setayeshi, S.; Zadeh, E.E.; Fatehi, A. Optimization of a method for identifying the flow regime and measuring void fraction in a broad beam gamma-ray attenuation technique. Int. J. Hydrog. Energy 2016, 41, 7438–7444. [Google Scholar] [CrossRef]
- Versaci, M.; Morabito, F.C. Image Edge Detection: A New Approach Based on Fuzzy Entropy and Fuzzy Divergence. Int. J. Fuzzy Syst. 2021, 23, 918–936. [Google Scholar] [CrossRef]
- Mokhtari, S.; Skelly, K.D.; Krull, E.A.; Coughlan, A.; Mellott, N.P.; Gong, Y.; Wren, A.W. Copper-containing glass polyalkenoate cements based on SiO 2-ZnO-CaO-SrO-P 2 O 5 glasses: Glass characterization, physical and antibacterial properties. J. Mater. Sci. 2017, 52, 8886–8903. [Google Scholar] [CrossRef]
- Niccolai, A.; Caputo, D.; Chieco, L.; Grimaccia, F.; Mussetta, M. Machine Learning-Based Detection Technique for NDT in Industrial Manufacturing. Mathematics 2021, 9, 1251. [Google Scholar] [CrossRef]
- Versaci, M.; Angiulli, G.; Di Barba, P.; Morabito, F.C. Joint use of eddy current imaging and fuzzy similarities to assess the integrity of steel plates. Open Phys. 2020, 18, 230–240. [Google Scholar] [CrossRef]
- Burrascano, P.; Ciuffetti, M. Early Detection of Defects through the Identification of Distortion Characteristics in Ultrasonic Responses. Mathematics 2021, 9, 850. [Google Scholar] [CrossRef]
- Chon, S.S.; Piraino, L.; Mokhtari, S.; Krull, E.A.; Coughlan, A.; Gong, Y.; Wren, A.W. Synthesis, characterization and solubility analysis of amorphous SiO2-CaO-Na2O-P2O5 scaffolds for hard tissue repair. J. Non-Cryst. Solids 2018, 490, 1–12. [Google Scholar] [CrossRef]
- Faba, A.; Antonio, S.Q. An Overview of Non-Destructive Testing of Goss Texture in Grain-Oriented Magnetic Steels. Mathematics 2021, 9, 1539. [Google Scholar] [CrossRef]
- Mokhtari, S.; Krull, E.A.; Sanders, L.M.; Coughlan, A.; Mellott, N.P.; Gong, Y.; Wren, A.W. Investigating the effect of germanium on the structure of SiO2-ZnO-CaO-SrO-P2O5 glasses and the subsequent influence on glass polyalkenoate cement formation, solubility and bioactivity. Mater. Sci. Eng. C 2019, 103, 109843. [Google Scholar] [CrossRef]
- Khounani, Z.; Hosseinzadeh-Bandbafha, H.; Nazemi, F.; Shaeifi, M.; Karimi, K.; Tabatabaei, M.; Aghbashlo, M.; Lam, S.S. Exergy analysis of a whole-crop safflower biorefinery: A step towards reducing agricultural wastes in a sustainable manner. J. Environ. Manag. 2021, 279, 111822. [Google Scholar] [CrossRef]
- Roshani, G.; Nazemi, E.; Roshani, M. Usage of two transmitted detectors with optimized orientation in order to three phase flow me-tering. Measurement 2017, 100, 122–130. [Google Scholar] [CrossRef]
- Hosseinzadeh-Bandbafha, H.; Nazemi, F.; Khounani, Z.; Ghanavati, H.; Shafiei, M.; Karimi, K.; Lam, S.S.; Aghbashlo, M.; Tabatabaei, M. Safflower-based biorefinery producing a broad spectrum of biofuels and biochemicals: A life cycle assessment perspective. Sci. Total. Environ. 2021, 802, 149842. [Google Scholar] [CrossRef]
- Roshani, G.; Nazemi, E.; Roshani, M. Intelligent recognition of gas-oil-water three-phase flow regime and determination of volume fraction using radial basis function. Flow Meas. Instrum. 2017, 54, 39–45. [Google Scholar] [CrossRef]
- Samimi, A. Risk Management in Oil and Gas Refineries. Prog. Chem. Biochem. Res. 2020, 3, 140–146. [Google Scholar] [CrossRef]
- Nazemi, F.; Karimi, K.; Denayer, J.F.; Shafiei, M. Techno-economic aspects of different process approaches based on brown macroalgae feedstock: A step toward commercialization of seaweed-based biorefineries. Algal. Res. 2021, 58, 102366. [Google Scholar] [CrossRef]
- Roshani, S.; Roshani, S. Design of a high efficiency class-F power amplifier with large signal and small signal measurements. Measurement 2020, 149, 106991. [Google Scholar] [CrossRef]
- Pourbemany, J.; Mirjalily, G.; Abouei, J.; Raouf, A.H.F. Load Balanced Ad-Hoc On-Demand Routing Basedon Weighted Mean Queue Length Metric. In Proceedings of the Electrical Engineering (ICEE), Iranian Conference on IEEE, Mashhad, Iran, 8–10 May 2018; pp. 470–475. [Google Scholar] [CrossRef]
- Pirasteh, A.; Roshani, S.; Roshani, S. A modified class-F power amplifier with miniaturized harmonic control circuit. AEU Int. J. Electron. Commun. 2018, 97, 202–209. [Google Scholar] [CrossRef]
- Jamshidi, M.B.; Roshani, S.; Talla, J.; Roshani, S.; Peroutka, Z. Size reduction and performance improvement of a microstrip Wilkinson power divider using a hybrid design technique. Sci. Rep. 2021, 11, 1–15. [Google Scholar] [CrossRef] [PubMed]
- Jamshidi, M.B.; Siahkamari, H.; Roshani, S.; Roshani, S. A compact Gysel power divider design using U-shaped and T-shaped reso-nators with harmonics suppression. Electromagnetics 2019, 39, 491–504. [Google Scholar] [CrossRef]
- Roshani, S.; Roshani, S.; Zarinitabar, A. A modified Wilkinson power divider with ultra harmonic suppression using open stubs and lowpass filters. Analog. Integr. Circuits Signal Process. 2019, 98, 395–399. [Google Scholar] [CrossRef]
- Roshani, S.; Roshani, S. Design of a very compact and sharp bandpass diplexer with bended lines for GSM and LTE applications. AEU Int. J. Electron. Commun. 2019, 99, 354–360. [Google Scholar] [CrossRef]
- Roshani, S.; Roshani, S. A compact coupler design using meandered line compact microstrip resonant cell (MLCMRC) and bended lines. Wireless Networks 2021, 27, 677–684. [Google Scholar] [CrossRef]
- Pirasteh, A.; Roshani, S.; Roshani, S. Compact microstrip lowpass filter with ultrasharp response using a square-loaded modified T-shaped resonator. Turk. J. Electr. Eng. Comput. Sci. 2018, 26, 1736–1746. [Google Scholar] [CrossRef]
- Mokhtari, S.; Wren, A.W. Investigating the effect of copper addition on SiO2-ZnO-CaO-SrO-P2O5 glass polyalkenoate cements: Physical, mechanical and biological behavior. Biomed. Glasses 2019, 5, 13–33. [Google Scholar] [CrossRef][Green Version]
- Shekouhi, N.; Dick, D.; Baechle, M.W.; Kaeley, D.K.; Goel, V.K.; Serhan, H.; Rawlinson, J.; Shaw, D. Clinically relevant finite element technique based protocol to evaluate growing rods for early onset scoliosis correction. JOR Spine 2020, 3, 1119. [Google Scholar] [CrossRef]
- Kumar, V.; Kumar, A. Self-reliance in advanced diagnostic imaging for accessible, affordable, and quality health care in India. J. Nat. Sci. Biol. Med. 2021, 12, 129. [Google Scholar] [CrossRef]
- Sowndarya, K.; Joseph, J.A.; Shenoy, A.; Hegde, A. Evaluation of triglyceride/high-density lipoprotein ratio as a surrogate marker for insulin resistance in healthy young males. J. Nat. Sci. Biol. Med. 2021, 12, 213. [Google Scholar] [CrossRef]
- Khayatnezhad, M.; Nasehi, F. Industrial pesticides and a methods assessment for the reduction of associated risks: A Review. Adv. Life Sci. 2021, 8, 202–210. [Google Scholar]
- Sengodan, V.C.; Appusamy, N. Comparative anthropometry analysis of the digital X-rays of the right and left hip joints in an Indian population. J. Nat. Sci. Biol. Med. 2020, 11, 3. [Google Scholar] [CrossRef]
- Ashrafi, R.; Azarbayjani, M.; Cox, R.; Futrell, B.; Glass, J.; Zarrabi, A.; Amirazar, A. Assessing the Performance of UFAD System in an Office Building Located in Various Climate Zones. In Proceedings of the Symposium on Simulation for Architecture and Urban Design, Atlanta, Georgia, 7–9 April 2019. [Google Scholar]
- Moradi, M.J.; Hariri-Ardebili, M.A. Developing a Library of Shear Walls Database and the Neural Network Based Predictive Meta Model. Appl. Sci. 2019, 9, 2562. [Google Scholar] [CrossRef]
- Nazemi, B.; Rafiean, M. Forecasting house prices in Iran using GMDH. Int. J. Hous. Mark. Anal. 2021, 14, 555–568. [Google Scholar] [CrossRef]
- Moradi, M.J.; Roshani, M.M.; Shabani, A.; Kioumarsi, M. Prediction of the Load-Bearing Behavior of SPSW with Rectangular Opening by RBF Network. Appl. Sci. 2020, 10, 1185. [Google Scholar] [CrossRef]
- David, O.O.; Grobler, W. Age Progression, Social Interventions and Food Insecurity In South Africa: Logistic Regression Analysis. Int. J. Soc. Sci. Humanit. Stud. 2020, 12, 289–305. [Google Scholar]
- Igbokwe-Ibeto, C.J. Analysing the interface between bureaucracy, interest groups, and public policymaking for good governance in africa. Int. J. Bus. Manag. Stud. 2020, 12, 2. [Google Scholar]
- Adewumi, S.A. Challenges and Prospects of Rural Entrepreneurship: A Discourse Analysis Of Selected Local Government Areas Of Osun State. IJBS 2020, 12, 544–560. [Google Scholar]
- Danielle, N.E.L.; Masilela, L. Open Governance for Improved Service Delivery Innovation In South Africa. Int. J. eBusiness eGovernment Stud. 2020, 12, 33–47. [Google Scholar]
- Dubois, O.; Silvius, G. The Relation Between Sustainable Project Management and Project Success. Relation 2020, 9, 218–238. [Google Scholar] [CrossRef]
- Mao, C.C.; Ma, Z.X. The analysis of the regional economic growth and the regional financial industry development difference in china based on the theil index. Int. J. Econ. Financ. Stud. 2021, 13, 128–154. [Google Scholar]
- Hartani, N.H.; Haron, N.; Tajuddin, N.I.I. The impact of strategic alignment on the sustainable com-petitive advantages: Mediating role of it implementation success and it managerial resource. Int. J. eBusiness eGovernment Stud. 2021, 2021 13, 78–96. [Google Scholar]
- Jassim, T.L. The Influence of Oil Prices, Licensing and Production on the Economic Development: An Empirical Investigation of Iraq Economy. J. Agrobiotechnology Manag. Econ. 2021, 23, 1–11. [Google Scholar]
- Hassan, A.S.; Meyer, D.F. Analysis of The Non-Linear Effect of Petrol Price Changes on Inflation in South Africa. Int. J. Soc. Sci. Humanit. Stud. 2020, 12, 34–49. [Google Scholar]
- Rerksuppaphol, L.; Rerksuppaphol, S. Comparison of equations for the calculation of low-density lipoprotein cholesterol in thai population. J. Nat. Sci. Biol. Med. 2021, 12, 224. [Google Scholar] [CrossRef]
- Dunga, H.M. An empirical analysis on determinants of food security among female-headed households in South Africa. In-ternational J. Soc. Sci. Humanit. Stud. 2020, 12, 66–81. [Google Scholar]
- Talha, M.; Sohail, M.; Tariq, R.; Ahmad, M.T. Impact of Oil Prices, Energy Consumption and Economic Growth on the Inflation Rate in Malaysia. Cuad. Econ. 2021, 44, 26–32. [Google Scholar]
- Karami, A.; Roshani, G.H.; Nazemi, E.; Roshani, S. Enhancing the performance of a dual-energy gamma ray based three-phase flow meter with the help of grey wolf optimization algorithm. Flow Meas. Instrum. 2018, 64, 164–172. [Google Scholar] [CrossRef]
- Moosaie, A.; Shekouhi, N.; Nouri, N.M.; Manhart, M. An algebraic closure model for the DNS of turbulent drag reduction by Brownian microfiber additives in a channel flow. J. Non-Newtonian Fluid Mech. 2015, 226, 60–66. [Google Scholar] [CrossRef]
- Roshani, G.; Nazemi, E. Intelligent densitometry of petroleum products in stratified regime of two phase flows using gamma ray and neural network. Flow Meas. Instrum. 2017, 58, 6–11. [Google Scholar] [CrossRef]
- Mosorov, V.; Rybak, G.; Sankowski, D. Plug Regime Flow Velocity Measurement Problem Based on Correlability Notion and Twin Plane Electrical Capacitance Tomography: Use Case. Sensors 2021, 21, 2189. [Google Scholar] [CrossRef] [PubMed]
- Roshani, G.H.; Roshani, S.; Nazemi, E.; Roshani, S. Online measuring density of oil products in annular regime of gas-liquid two phase flows. Measurement 2018, 129, 296–301. [Google Scholar] [CrossRef]
- Roshani, G.; Hanus, R.; Khazaei, A.; Zych, M.; Nazemi, E.; Mosorov, V. Density and velocity determination for single-phase flow based on radiotracer technique and neural networks. Flow Meas. Instrum. 2018, 61, 9–14. [Google Scholar] [CrossRef]
- Taylan, O.; Sattari, M.A.; Elhachfi Essoussi, I.; Nazemi, E. Frequency Domain Feature Extraction Investigation to Increase the Accuracy of an Intelligent Nondestructive System for Volume Fraction and Regime Determination of Gas-Water-Oil Three-Phase Flows. Mathematics 2021, 9, 2091. [Google Scholar] [CrossRef]
- Roshani, G.H.; Nazemi, E.; Feghhi, S.A.H. Investigation of using 60 Co source and one detector for determining the flow regime and void fraction in gas–liquid two-phase flows. Flow Meas. Instrum. 2016, 50, 73–79. [Google Scholar] [CrossRef]
- Pourbemany, J.; Zhu, Y.; Bettati, R. Breath to Pair (B2P): Respiration-Based Pairing Protocol for Wearable Devices. arXiv preprint 2021, arXiv:2107.11677. [Google Scholar]
- Roshani, S.; Roshani, S. Two-Section Impedance Transformer Design and Modeling for Power Amplifier Applications. Appl. Comput. Electromagn. Soc. J. 2017, 32, 1042–1047. [Google Scholar]
- Pourbemany, J.; Zhu, Y.; Bettati, R. A Survey of Wearable Devices Pairing Based on Biometric Signals. arXiv preprint 2021, arXiv:2107.11685. [Google Scholar]
- Rezaei, T.; Aslmarand, S.M.; Snyder, R.; Khajavi, B.; Alsing, P.M.; Fanto, M.; Miller, W.A. Experimentalrealization of Schumacher’s information geometric Bell inequality. Phys. Lett. A 2021, 405, 127–444. [Google Scholar] [CrossRef]
- Roshani, G.; Nazemi, E.; Roshani, M. Identification of flow regime and estimation of volume fraction independent of liquid phase density in gas-liquid two-phase flow. Prog. Nucl. Energy 2017, 98, 29–37. [Google Scholar] [CrossRef]
- Karami, A.; Roshani, G.H.; Khazaei, A.; Nazemi, E.; Fallahi, M. Investigation of different sources in order to optimize the nuclear metering system of gas–oil–water annular flows. Neural Comput. Appl. 2018, 32, 3619–3631. [Google Scholar] [CrossRef]
- Hanus, R.; Zych, M.; Mosorov, V.; Golijanek, J.; Jedrzejczyk, A.; Jaszczur, M.; Andruszkiewicz, A. Evaluation of liquid-gas flow in pipeline using gamma-ray absorption technique and advanced signal processing. Metrol. Meas. Syst. 2021, 28, 145–159. [Google Scholar]
- Roshani, G.H.; Nazemi, E.; Roshani, M.M. Flow regime independent volume fraction estimation in three-phase flows using dual-energy broad beam technique and artificial neural network. Neural Comput. Appl. 2016, 28, 1265–1274. [Google Scholar] [CrossRef]
- Hanus, R.; Zych, M.; Kusy, M.; Jaszczur, M.; Petryka, L. Identification of liquid-gas flow regime in a pipeline using gamma-ray ab-sorption technique and computational intelligence methods. Flow Meas. Instrum. 2018, 60, 17–23. [Google Scholar] [CrossRef]
- Roshani, G.H.; Nazemi, E.; Feghhi, S.A.; Setayeshi, S. Flow regime identification and void fraction prediction in two-phase flows based on gamma ray attenuation. Measurement 2015, 62, 25–32. [Google Scholar] [CrossRef]
- Alkabaa, A.S.; Nazemi, E.; Taylan, O.; Kalmoun, E.M. Application of Artificial Intelligence and Gamma Attenuation Techniques for Predicting Gas–Oil–Water Volume Fraction in Annular Regime of Three-Phase Flow Independent of Oil Pipeline’s Scale Layer. Mathematics 2021, 9, 1460. [Google Scholar] [CrossRef]
- Sattari, M.A.; Roshani, G.H.; Hanus, R.; Nazemi, E. Applicability of time-domain feature extraction methods and artificial intelligence in two-phase flow meters based on gamma-ray absorption technique. Measurement 2021, 168, 108474. [Google Scholar] [CrossRef]
- Basahel, A.; Sattari, M.; Taylan, O.; Nazemi, E. Application of Feature Extraction and Artificial Intelligence Techniques for Increasing the Accuracy of X-ray Radiation Based Two Phase Flow Meter. Mathematics 2021, 9, 1227. [Google Scholar] [CrossRef]
- Roshani, G.H.; Feghhi, S.A.H.; Mahmoudi-Aznaveh, A.; Nazemi, E.; Adineh-Vand, A. Precise volume fraction prediction in oil–water–gas multiphase flows by means of gamma-ray attenuation and artificial neural networks using one detector. Measurement 2014, 51, 34–41. [Google Scholar] [CrossRef]
- He, Y.; Tsang, K.F.; Kong, R.Y.-C.; Chow, Y.-T. Indication of Electromagnetic Field Exposure via RBF-SVM Using Time-Series Features of Zebrafish Locomotion. Sensors 2020, 20, 4818. [Google Scholar] [CrossRef] [PubMed]
- Juliani, C.; Ellefmo, S.L. Prospectivity Mapping of Mineral Deposits in Northern Norway Using Radial Basis Function Neural Networks. Minerals 2019, 9, 131. [Google Scholar] [CrossRef]
- Broomhead, D.S.; Lowe, D. Multivariable functional interpolation and adaptive networks. Complex Syst. 1988, 2, 321–355. [Google Scholar]
- Moody, J.E.; Darken, C.J. Fast Learning in Networks of Locally-Tuned Processing Units. Neural Comput. 1989, 1, 281–294. [Google Scholar] [CrossRef]









| ANN Type | RBF Neural Network |
|---|---|
| Function used for network performance evaluation | ‘mse’ |
| Activation function | ‘radbas’ |
| Spread of radial basis functions | 2 |
| Number of layers | 3 |
| Number of neurons | 11 |
| Mean squared error goal | 0 |
| Data Number | 241Am Peak in First Detector | 133Ba Peak in First Detector | 241Am Peak in Second Detector | 133Ba Peak in Second Detector | Scale Layer Thickness (cm) | Measured Scale Layer Thickness | Difference between Real and Measured Thickness |
|---|---|---|---|---|---|---|---|
| 1 | 7.50 × 10−6 | 2.63 × 10−5 | 6.37 × 10−6 | 1.84 × 10−5 | 0 | −0.199 | 0.198999 |
| 2 | 7.19 × 10−6 | 2.81 × 10−5 | 6.26 × 10−6 | 2.01 × 10−5 | 0 | 0.053158 | 0.053158 |
| 3 | 8.37 × 10−6 | 3.28 × 10−5 | 7.46 × 10−6 | 2.89 × 10−5 | 0 | 0.060322 | 0.060322 |
| 4 | 9.03 × 10−6 | 3.55 × 10−5 | 7.48 × 10−6 | 3.13 × 10−5 | 0 | 0.017096 | 0.017096 |
| 5 | 9.54 × 10−6 | 4.04 × 10−5 | 8.77 × 10−6 | 3.79 × 10−5 | 0 | 0.111143 | 0.111143 |
| 6 | 1.06 × 10−5 | 4.68 × 10−5 | 1.02 × 10−5 | 4.40 × 10−5 | 0 | −0.00335 | 0.003347 |
| 7 | 1.03 × 10−5 | 4.83 × 10−5 | 9.83 × 10−6 | 4.64 × 10−5 | 0 | 0.159976 | 0.159976 |
| 8 | 1.14 × 10−5 | 5.60 × 10−5 | 1.10 × 10−5 | 5.40 × 10−5 | 0 | 0.028774 | 0.028774 |
| 9 | 1.23 × 10−5 | 6.31 × 10−5 | 1.21 × 10−5 | 6.04 × 10−5 | 0 | −0.02497 | 0.024969 |
| 10 | 3.84 × 10−6 | 1.56 × 10−5 | 3.27 × 10−6 | 1.09 × 10−5 | 0.5 | 0.597286 | 0.097286 |
| 11 | 4.45 × 10−6 | 1.81 × 10−5 | 3.50 × 10−6 | 1.25 × 10−5 | 0.5 | 0.557677 | 0.057677 |
| 12 | 5.19 × 10−6 | 1.97 × 10−5 | 4.23 × 10−6 | 1.61 × 10−5 | 0.5 | 0.546581 | 0.046581 |
| 13 | 5.19 × 10−6 | 2.21 × 10−5 | 4.20 × 10−6 | 1.86 × 10−5 | 0.5 | 0.784895 | 0.284895 |
| 14 | 5.54 × 10−6 | 2.53 × 10−5 | 5.08 × 10−6 | 2.16 × 10−5 | 0.5 | 0.65492 | 0.15492 |
| 15 | 6.35 × 10−6 | 2.64 × 10−5 | 5.36 × 10−6 | 2.33 × 10−5 | 0.5 | 0.495023 | 0.004977 |
| 16 | 6.33 × 10−6 | 2.96 × 10−5 | 5.68 × 10−6 | 2.68 × 10−5 | 0.5 | 0.569258 | 0.069258 |
| 17 | 6.97 × 10−6 | 3.37 × 10−5 | 6.42 × 10−6 | 3.08 × 10−5 | 0.5 | 0.484072 | 0.015928 |
| 18 | 7.81 × 10−6 | 3.74 × 10−5 | 7.19 × 10−6 | 3.52 × 10−5 | 0.5 | 0.446271 | 0.053729 |
| 19 | 9.43 × 10−6 | 4.63 × 10−5 | 8.84 × 10−6 | 4.49 × 10−5 | 0.5 | 0.362445 | 0.137555 |
| 20 | 2.61 × 10−6 | 1.01 × 10−5 | 2.08 × 10−6 | 6.59 × 10−6 | 1 | 1.03317 | 0.03317 |
| 21 | 2.82 × 10−6 | 1.09 × 10−5 | 2.01 × 10−6 | 6.87 × 10−6 | 1 | 1.022872 | 0.022872 |
| 22 | 2.85 × 10−6 | 1.16 × 10−5 | 2.07 × 10−6 | 7.32 × 10−6 | 1 | 1.029416 | 0.029416 |
| 23 | 3.18 × 10−6 | 1.27 × 10−5 | 2.76 × 10−6 | 9.63 × 10−6 | 1 | 0.983388 | 0.016612 |
| 24 | 3.22 × 10−6 | 1.35 × 10−5 | 2.75 | 1.06 × 10−5 | 1 | 0.706746 | 0.293254 |
| 25 | 3.72 × 10−6 | 1.51 × 10−5 | 3.34 × 10−6 | 1.24 × 10−5 | 1 | 0.93631 | 0.06369 |
| 26 | 3.58 × 10−6 | 1.55 × 10−5 | 3.22 × 10−6 | 1.30 × 10−5 | 1 | 1.141341 | 0.141341 |
| 27 | 4.40 × 10−6 | 1.75 × 10−5 | 4.14 × 10−6 | 1.77 × 10−5 | 1 | 1.068921 | 0.068921 |
| 28 | 4.01 × 10−6 | 1.81 × 10−5 | 3.75 × 10−6 | 1.56 × 10−5 | 1 | 1.052691 | 0.052691 |
| 29 | 4.79 × 10−6 | 1.97 × 10−5 | 4.05 × 10−6 | 1.78 × 10−5 | 1 | 0.914527 | 0.085473 |
| 30 | 4.72 × 10−6 | 2.08 × 10−5 | 4.19 × 10−6 | 1.85 × 10−5 | 1 | 0.926637 | 0.073363 |
| 31 | 5.61 × 10−6 | 2.53 × 10−5 | 5.05 × 10−6 | 2.36 × 10−5 | 1 | 0.732584 | 0.267416 |
| 32 | 1.63 × 10−6 | 6.64 × 10−6 | 1.25 × 10−6 | 3.95 × 10−6 | 1.5 | 1.575543 | 0.075543 |
| 33 | 1.82 × 10−6 | 6.81 × 10−6 | 1.33 × 10−6 | 4.12 × 10−6 | 1.5 | 1.496197 | 0.003803 |
| 34 | 1.92 × 10−6 | 7.31 × 10−6 | 1.41 × 10−6 | 4.45 × 10−6 | 1.5 | 1.439766 | 0.060234 |
| 35 | 2.11 × 10−6 | 8.29 × 10−6 | 1.63 × 10−6 | 6.01 × 10−6 | 1.5 | 1.590924 | 0.090924 |
| 36 | 2.12 × 10−6 | 8.71 × 10−6 | 1.74 × 10−6 | 6.39 × 10−6 | 1.5 | 1.560707 | 0.060707 |
| 37 | 2.36 × 10−6 | 9.81 × 10−6 | 2.01 × 10−6 | 7.67 × 10−6 | 1.5 | 1.532757 | 0.032757 |
| 38 | 2.44 × 10−6 | 1.03 × 10−5 | 2.07 × 10−6 | 8.21 × 10−6 | 1.5 | 1.562431 | 0.062431 |
| 39 | 2.70 × 10−6 | 1.14 × 10−5 | 2.31 × 10−6 | 9.21 × 10−6 | 1.5 | 1.460378 | 0.039622 |
| 40 | 3.01 × 10−6 | 1.27 × 10−5 | 2.48 × 10−6 | 1.06 × 10−5 | 1.5 | 1.469839 | 0.030161 |
| 41 | 3.18 × 10−6 | 1.40 × 10−5 | 2.67 × 10−6 | 1.19 × 10−5 | 1.5 | 1.47086 | 0.02914 |
| 42 | 3.60 × 10−6 | 1.58 × 10−5 | 3.04 × 10−6 | 1.37 × 10−5 | 1.5 | 1.339425 | 0.160575 |
| 43 | 9.37 × 10−7 | 4.12 × 10−6 | 7.45 × 10−7 | 2.52 × 10−6 | 2 | 2.07488 | 0.07488 |
| 44 | 1.07 × 10−6 | 4.21 × 10−6 | 8.20 × 10−7 | 2.60 × 10−6 | 2 | 1.997739 | 0.002261 |
| 45 | 1.15 × 10−6 | 4.49 × 10−6 | 8.91 × 10−7 | 2.77 × 10−6 | 2 | 1.932604 | 0.067396 |
| 46 | 1.21 × 10−6 | 5.07 × 10−6 | 9.96 × 10−7 | 3.36 × 10−6 | 2 | 1.944003 | 0.055997 |
| 47 | 1.34 × 10−6 | 5.22 × 10−6 | 1.02 × 10−6 | 3.64 × 10−6 | 2 | 1.9735 | 0.0265 |
| 48 | 1.37 × 10−6 | 5.76 × 10−6 | 1.17 × 10−6 | 4.35 × 10−6 | 2 | 1.999857 | 0.000143 |
| 49 | 1.48 × 10−6 | 6.08 × 10−6 | 1.24 × 10−6 | 4.65 × 10−6 | 2 | 1.966943 | 0.033057 |
| 50 | 1.55 × 10−6 | 6.58 × 10−6 | 1.31 × 10−6 | 5.28 × 10−6 | 2 | 2.028499 | 0.028499 |
| 51 | 1.68 × 10−6 | 7.01 × 10−6 | 1.36 × 10−6 | 5.51 × 10−6 | 2 | 1.961872 | 0.038128 |
| 52 | 1.86 × 10−6 | 7.45 × 10−6 | 1.43 × 10−6 | 6.28 × 10−6 | 2 | 2.048818 | 0.048818 |
| 53 | 2.04 × 10−6 | 8.38 × 10−6 | 1.53 × 10−6 | 7.11 × 10−6 | 2 | 2.040112 | 0.040112 |
| 54 | 2.40 × 10−6 | 9.89 × 10−6 | 1.87 × 10−6 | 8.89 × 10−6 | 2 | 1.984083 | 0.015917 |
| Error | Training Data | Testing Data |
|---|---|---|
| MAE | 0.067 | 0.070 |
| RMSE | 0.095 | 0.097 |
Publisher’s Note: MDPI stays neutral with regard to jurisdictional claims in published maps and institutional affiliations. |
© 2021 by the authors. Licensee MDPI, Basel, Switzerland. This article is an open access article distributed under the terms and conditions of the Creative Commons Attribution (CC BY) license (https://creativecommons.org/licenses/by/4.0/).
Share and Cite
Taylan, O.; Abusurrah, M.; Amiri, S.; Nazemi, E.; Eftekhari-Zadeh, E.; Roshani, G.H. Proposing an Intelligent Dual-Energy Radiation-Based System for Metering Scale Layer Thickness in Oil Pipelines Containing an Annular Regime of Three-Phase Flow. Mathematics 2021, 9, 2391. https://doi.org/10.3390/math9192391
Taylan O, Abusurrah M, Amiri S, Nazemi E, Eftekhari-Zadeh E, Roshani GH. Proposing an Intelligent Dual-Energy Radiation-Based System for Metering Scale Layer Thickness in Oil Pipelines Containing an Annular Regime of Three-Phase Flow. Mathematics. 2021; 9(19):2391. https://doi.org/10.3390/math9192391
Chicago/Turabian StyleTaylan, Osman, Mona Abusurrah, Saba Amiri, Ehsan Nazemi, Ehsan Eftekhari-Zadeh, and Gholam Hossein Roshani. 2021. "Proposing an Intelligent Dual-Energy Radiation-Based System for Metering Scale Layer Thickness in Oil Pipelines Containing an Annular Regime of Three-Phase Flow" Mathematics 9, no. 19: 2391. https://doi.org/10.3390/math9192391
APA StyleTaylan, O., Abusurrah, M., Amiri, S., Nazemi, E., Eftekhari-Zadeh, E., & Roshani, G. H. (2021). Proposing an Intelligent Dual-Energy Radiation-Based System for Metering Scale Layer Thickness in Oil Pipelines Containing an Annular Regime of Three-Phase Flow. Mathematics, 9(19), 2391. https://doi.org/10.3390/math9192391

