Changepoint in Error-Prone Relations
Abstract
1. Introduction and Main Aims
Outline
2. Changepoint in Errors-In-Variables
2.1. Intercept and Fixed Regressors
2.2. Motivations
3. Spectral Weak Invariance Principle
3.1. Assumptions
3.2. Swip
3.3. Extension to Multivariate Case
4. Nuisance-Parameter-Free Detection
4.1. Changepoint Test Statistics
4.2. Asymptotic Critical Values
4.3. Changepoint Estimator
4.4. Unknown Covariance Matrix
4.5. Simultaneously Changing Relation and Covariance Structure
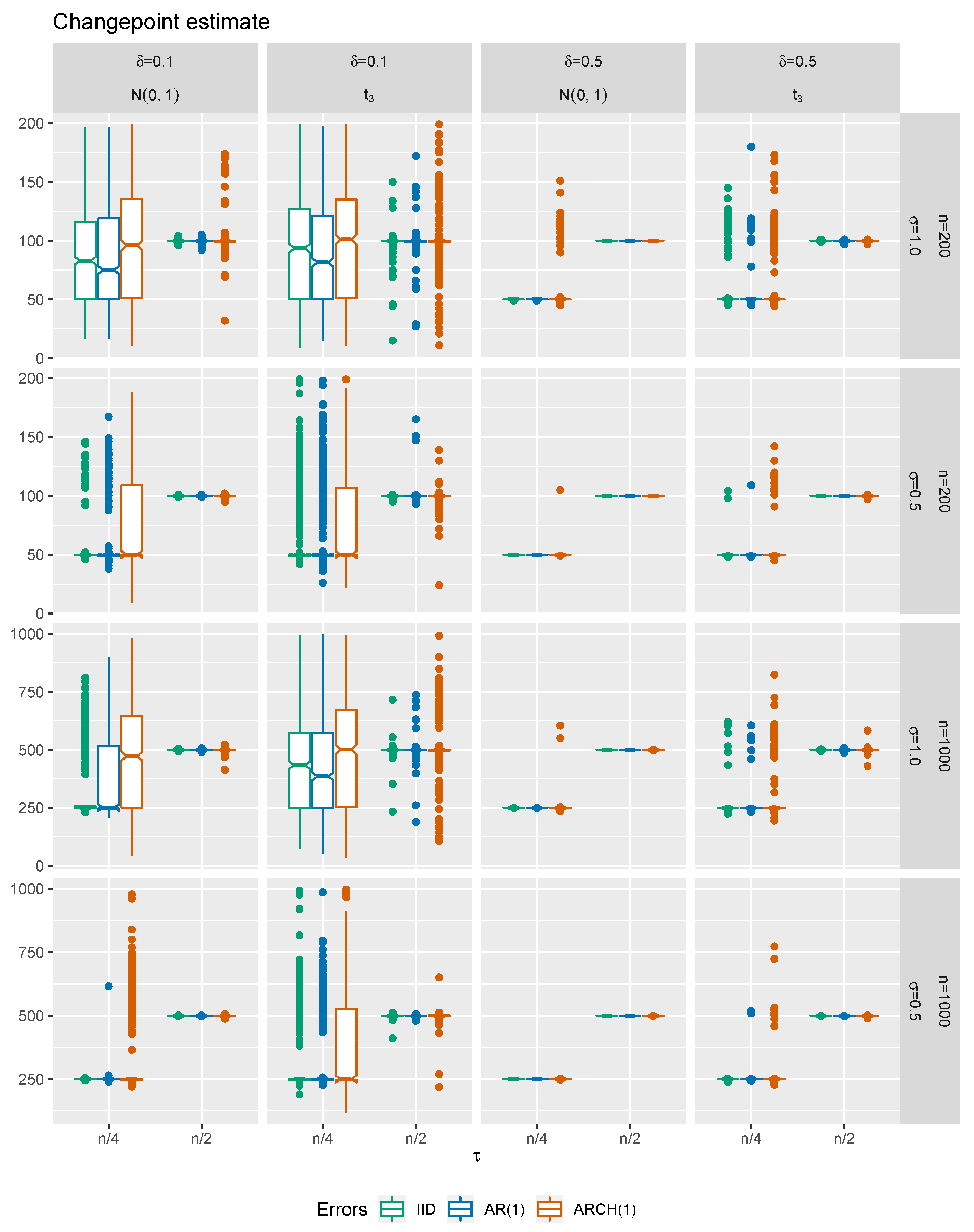
5. Simulation Study
- IID … independent and identically distributed random variables;
 - AR(1) … autoregressive (AR) process of order one with a coefficient of autoregression equal ;
 - ARCH(1) … autoregressive conditional heteroscedasticity (ARCH) process with the second coefficient equal .
 
6. Applications
6.1. Device Calibration
6.2. Randomly Spaced Time Series in Insurance
7. Conclusions
Funding
Institutional Review Board Statement
Informed Consent Statement
Data Availability Statement
Acknowledgments
Conflicts of Interest
Appendix A. Proofs
References
- Gleser, L.J. Estimation in a multivariate “errors in variables” regression model: Large sample results. Ann. Stat. 1981, 9, 24–44. [Google Scholar] [CrossRef]
 - Fuller, W.A. Measurement Error Models; Wiley: New York, NY, USA, 1987. [Google Scholar]
 - Van Huffel, S.; Vandewalle, J. The Total Least Squares Problem: Computational Aspects and Analysis; SIAM: Philadelphia, PA, USA, 1991. [Google Scholar]
 - Carroll, R.J.; Ruppert, D.; Stefanski, L.A.; Crainiceanu, C.M. Measurement Error in Nonlinear Models: A Modern Perspective, 2nd ed.; Chapman and Hall/CRC: Boca Raton, FL, USA, 2006. [Google Scholar]
 - Buonaccorsi, J.P. Measurement Error: Models, Methods, and Applications; Chapman and Hall/CRC: Boca Raton, FL, USA, 2010. [Google Scholar]
 - Yi, G.Y. Statistical Analysis with Measurement Error or Misclassification; Spriger: New York, NY, USA, 2017. [Google Scholar]
 - Horváth, L. Detecting changes in linear regressions. J. Am. Stat. Assoc. 1995, 26, 189–208. [Google Scholar] [CrossRef]
 - Aue, A.; Horváth, L.; Hušková, M.; Kokoszka, P. Testing for changes in polynomial regression. Bernoulli 2008, 14, 637–660. [Google Scholar] [CrossRef]
 - Chang, Y.P.; Huang, W.T. Inferences for the linear errors-in-variables with changepoint models. J. Am. Stat. Assoc. 1997, 92, 171–178. [Google Scholar] [CrossRef]
 - Staudenmayer, J.; Spiegelman, D. Segmented regression in the presence of covariate measurement error in main study/validation study designs. Biometrics 2002, 58, 871–877. [Google Scholar]
 - Carroll, R.J.; Roeder, K.; Wasserman, L. Flexible parametric measurement error models. Biometrics 1999, 55, 44–54. [Google Scholar] [CrossRef]
 - Gössl, C.; Küchenhoff, H. Bayesian analysis of logistic regression with an unknown change point and covariate measurement error. Statist. Med. 2001, 20, 3109–3121. [Google Scholar]
 - Kukush, A.; Markovsky, I.; Van Huffel, S. Estimation in a linear multivariate measurement error model with a change point in the data. Comput. Stat. Data Anal. 2007, 52, 1167–1182. [Google Scholar]
 - Dong, C.; Tan, C.; Jin, B.; Miao, B. Inference on the change point estimator of variance in measurement error models. Lith. Math. J. 2016, 56, 474–491. [Google Scholar] [CrossRef]
 - Booth, J.G.; Hall, P. Bootstrap confidence regions for functional relationships in errors-in-variables models. Ann. Stat. 1993, 21, 1780–1791. [Google Scholar]
 - Stefanski, L.A. Measurement error models. J. Am. Stat. Assoc. 2000, 95, 1353–1358. [Google Scholar] [CrossRef]
 - Golub, G.H.; Van Loan, C.F. An analysis of the total least squares problem. SIAM J. Numer. Anal. 1980, 17, 883–893. [Google Scholar] [CrossRef]
 - Pešta, M. Unitarily invariant errors-in-variables estimation. Stat. Pap. 2016, 57, 1041–1057. [Google Scholar] [CrossRef]
 - Gallo, P.P. Consistency of regression estimates when some variables are subject to error. Commun. Stat. A-Theor. 1982, 11, 973–983. [Google Scholar] [CrossRef][Green Version]
 - Pešta, M. Strongly consistent estimation in dependent errors-in-variables. Acta Univ. Carol. Math. Phys. 2011, 52, 69–79. [Google Scholar]
 - Gallo, P.P. Properties of Estimators in Errors-in-Variables Models. Ph.D. Thesis, University of North Carolina, Chapel Hill, NC, USA, 1982. [Google Scholar]
 - Pešta, M. Total least squares and bootstrapping with application in calibration. Statistics 2013, 47, 966–991. [Google Scholar] [CrossRef]
 - Pešta, M. Block bootstrap for dependent errors-in-variables. Commun. Stat. A-Theor. 2017, 46, 1871–1897. [Google Scholar] [CrossRef]
 - Bland, J.M.; Altman, D.G. Statistical methods for assessing agreement between two methods of clinical measurement. Lancet 1986, 1, 307–310. [Google Scholar] [CrossRef]
 - Lord, F.M. Testing if two measuring procedures measure the same dimension. Psychol. Bull. 1973, 79, 71–72. [Google Scholar] [CrossRef]
 - Wright, D.J. Forecasting data published at irregular time intervals using an extension of Holt’s method. Manag. Sci. 1986, 32, 499–510. [Google Scholar] [CrossRef]
 - Gleser, L.J.; Watson, G.S. Estimation of a linear transformation. Biometrika 1973, 60, 525–534. [Google Scholar] [CrossRef]
 - Ryu, S.J.; Lee, H.K. Estimation of linear transformation by analyzing the periodicity of interpolation. Pattern Recogn. Lett. 2014, 36, 89–99. [Google Scholar] [CrossRef]
 - Ochoa, J.; León, A.; Ramírez, I.; Lopera, C.; Bernal, E.; Arbeláez, M. Prevalence of tuberculosis infection in healthcare workers of the public hospital network in Medellín, Colombia: A Bayesian approach. Epidemiol. Infect. 2017, 145, 1095–1106. [Google Scholar] [CrossRef]
 - Hosseini, M.; Jiang, Y.; Yekkehkhany, A.; Berlin, R.R.; Sha, L. A mobile geo-communication dataset for physiology-aware DASH in rural ambulance transport. In Proceedings of the 8th ACM on Multimedia Systems Conference (MMSys’17); Association for Computing Machinery: New York, NY, USA, 2017; pp. 158–163. [Google Scholar] [CrossRef]
 - Li, M.; Liu, Z.; Li, X.; Liu, Y. Dynamic risk assessment in healthcare based on Bayesian approach. Reliab. Eng. Syst. Saf. 2019, 189, 327–334. [Google Scholar] [CrossRef]
 - Bradley, R.C. Basic properties of strong mixing conditions. A survey and some open questions. Probab. Surv. 2005, 2, 107–144. [Google Scholar] [CrossRef]
 - Anderson, T.W. An Introduction to Multivariate Statistical Analysis; John Wiley & Sons: New York, NY, USA, 1958. [Google Scholar]
 - Billingsley, P. Convergence of Probability Measures, 1st ed.; John Wiley & Sons: New York, NY, USA, 1968. [Google Scholar]
 - Ibragimov, I.A.; Linnik, Y.V. Independent and Stationary Sequences of Random Variables; Wolters-Noordhoff: Groningen, The Netherlands, 1971. [Google Scholar]
 - Rosenblatt, M. Markov Processes: Structure and Asymptotic Behavior; Springer: Berlin, Germany, 1971. [Google Scholar]
 - Cheng, C.L.; Riu, J. On estimating linear relationships when both variables are subject to heteroscedastic measurement errors. Technometrics 2006, 48, 511–519. [Google Scholar] [CrossRef]
 - Guo, Y.; Little, R.J. Regression analysis with covariates that have heteroscedastic measurement error. Statist. Med. 2011, 30, 2278–2294. [Google Scholar] [CrossRef] [PubMed]
 - Li, M.; Ma, Y.; Li, R. Semiparametric regression for measurement error model with heteroscedastic error. J. Multivar. Anal. 2019, 171, 320–338. [Google Scholar] [CrossRef]
 - Nussbaum, M. Asymptotic optimality of estimators of a linear functional relation if the ratio of the error variances is known. Statistics 1977, 8, 173–198. [Google Scholar]
 - Kao, C.; Trapani, L.; Urga, G. Testing for instability in covariance structures. Bernoulli 2018, 24, 740–771. [Google Scholar] [CrossRef]
 - Van Huffel, S.; Vandewalle, J. Analysis and properties of the generalized total least squares problem AX ≈ B when some or all columns in A are subject to error. SIAM J. Matrix Anal. Appl. 1989, 10, 294–315. [Google Scholar] [CrossRef]
 - Shao, X.; Zhang, X. Testing for change points in time series. J. Am. Stat. Assoc. 2010, 105, 1228–1240. [Google Scholar] [CrossRef]
 - Csörgo, M.; Horváth, L. Limit Theorems in Change-Point Analysis; Wiley: Chichester, UK, 1997. [Google Scholar]
 - Fang, H.; Ding, S.; Li, X.; Yang, W. Asymptotic approximations of ratio moments based on dependent sequences. Mathematics 2020, 8, 361. [Google Scholar] [CrossRef]
 - Ding, S.; Li, X.; Dong, X.; Yang, W. The consistency of the CUSUM-type estimator of the change-point and its application. Mathematics 2020, 8, 2113. [Google Scholar] [CrossRef]
 - Kirch, C. Resampling Methods for the Change Analysis of Dependent Data. Ph.D. Thesis, University of Cologne, Cologne, Germany, 2006. [Google Scholar]
 - Peštová, B.; Pešta, M. Variance estimation free tests for structural changes in regression. In Nonparametric Statistics; Bertail, P., Blanke, D., Cornillon, P.A., Matzner-Løber, E., Eds.; Springer: Cham, Switzerland, 2018; Volume 250, pp. 357–373. [Google Scholar]
 - Pešta, M.; Hudecová, Š. Asymptotic consistency and inconsistency of the chain ladder. Insur. Math. Econ. 2012, 51, 472–479. [Google Scholar] [CrossRef]
 - Hudecová, Š.; Pešta, M. Modeling Dependencies in Claims Reserving with GEE. Insur. Math. Econ. 2013, 53, 786–794. [Google Scholar] [CrossRef]
 - Pešta, M.; Okhrin, O. Conditional least squares and copulae in claims reserving for a single line of business. Insur. Math. Econ. 2014, 56, 28–37. [Google Scholar] [CrossRef]
 - Peštová, B.; Pešta, M. Change point estimation in panel data without boundary issue. Risks 2017, 5, 7. [Google Scholar] [CrossRef]
 - Maciak, M.; Peštová, B.; Pešta, M. Structural breaks in dependent, heteroscedastic, and extremal panel data. Kybernetika 2018, 54, 1106–1121. [Google Scholar] [CrossRef]
 - Pešta, M.; Peštová, B.; Maciak, M. Changepoint estimation for dependent and non-stationary panels. Appl. Math-Czech 2020, 65, 299–310. [Google Scholar] [CrossRef]
 - Maciak, M.; Pešta, M.; Peštová, B. Changepoint in dependent and non-stationary panels. Stat. Pap. 2020, 61, 1385–1407. [Google Scholar] [CrossRef]
 - Pešta, M. Asymptotics for weakly dependent errors-in-variables. Kybernetika 2013, 49, 692–704. [Google Scholar]
 - Chen, X.; Wu, Y. Strong law for mixing sequence. Acta Math. Appl. Sin. 1989, 5, 367–371. [Google Scholar] [CrossRef]
 - Herrndorf, N. Stationary strongly mixing sequences not satisfying the central limit theorem. Ann. Probab. 1983, 11, 809–813. [Google Scholar] [CrossRef]
 - Lin, Z.; Lu, C. Limit Theory for Mixing Dependent Random Variables; Springer: New York, NY, USA, 1997. [Google Scholar]
 - Pešta, M.; Wendler, M. Nuisance-parameter-free changepoint detection in non-stationary series. TEST 2020, 29, 379–408. [Google Scholar] [CrossRef]
 - Dembo, A. Bounds on the extreme eigenvalues of positive-definite Toeplitz matrices. IEEE Trans. Inform. Theory 1988, 34, 352–355. [Google Scholar] [CrossRef]
 - Ma, E.M.; Zarowski, C.J. On lower bounds for the smallest eigenvalue of a Hermitian positive-definite matrix. IEEE Trans. Inform. Theory 1995, 41, 539–540. [Google Scholar] [CrossRef]
 - Nakatsukasa, Y. Absolute and relative Weyl theorems for generalized eigenvalue problems. Linear Algebra Appl. 2010, 432, 242–248. [Google Scholar] [CrossRef]
 







| -based | |||||
| -based | 
Publisher’s Note: MDPI stays neutral with regard to jurisdictional claims in published maps and institutional affiliations.  | 
© 2021 by the author. Licensee MDPI, Basel, Switzerland. This article is an open access article distributed under the terms and conditions of the Creative Commons Attribution (CC BY) license (http://creativecommons.org/licenses/by/4.0/).
Share and Cite
Pešta, M. Changepoint in Error-Prone Relations. Mathematics 2021, 9, 89. https://doi.org/10.3390/math9010089
Pešta M. Changepoint in Error-Prone Relations. Mathematics. 2021; 9(1):89. https://doi.org/10.3390/math9010089
Chicago/Turabian StylePešta, Michal. 2021. "Changepoint in Error-Prone Relations" Mathematics 9, no. 1: 89. https://doi.org/10.3390/math9010089
APA StylePešta, M. (2021). Changepoint in Error-Prone Relations. Mathematics, 9(1), 89. https://doi.org/10.3390/math9010089
        