Next Article in Journal
Facilitating Numerical Solutions of Inhomogeneous Continuous Time Markov Chains Using Ergodicity Bounds Obtained with Logarithmic Norm Method
Next Article in Special Issue
Initial Value Problems of Semilinear Supdiffusion Equations
Previous Article in Journal
Twisted Hermitian Codes
Previous Article in Special Issue
Design of Fractional Order Controllers Using the PM Diagram
 
 
Font Type:
Arial Georgia Verdana
Font Size:
Aa Aa Aa
Line Spacing:
Column Width:
Background:
Article

Delay-Dependent and Order-Dependent Guaranteed Cost Control for Uncertain Fractional-Order Delayed Linear Systems

1
School of Automation, Chongqing University, Chongqing 400044, China
2
School of Electrical Engineering and Automation, Hefei University of Technology, Hefei 230009, China
3
Department of Electrical Engineering, Institute of Engineering, Polytechnic of Porto, R. Dr. António Bernardino de Almeida, 431, 4249-015 Porto, Portugal
*
Author to whom correspondence should be addressed.
Mathematics 2021, 9(1), 41; https://doi.org/10.3390/math9010041
Submission received: 12 November 2020 / Revised: 21 December 2020 / Accepted: 23 December 2020 / Published: 27 December 2020
(This article belongs to the Special Issue Fractional Calculus and Nonlinear Systems)

Abstract

This paper addresses the guaranteed cost control problem of a class of uncertain fractional-order (FO) delayed linear systems with norm-bounded time-varying parametric uncertainty. The study is focused on the design of state feedback controllers with delay such that the resulting closed-loop system is asymptotically stable and an adequate level of performance is also guaranteed. Stemming from the linear matrix inequality (LMI) approach and the FO Razumikhin theorem, a delay- and order-dependent design method is proposed with guaranteed closed-loop stability and cost for admissible uncertainties. Examples illustrate the effectiveness of the proposed method.

1. Introduction

In recent years, fractional calculus and fractional-order (FO) systems became an important topic of research in science and engineering [1,2]. Integer-order modeling techniques may not lead to the best descriptions of a system dynamics, especially concerning the systems with heredity and memory properties. Successful applications in control, mathematics, mechanics, biology, chemistry, and signal and image processing [3,4,5,6,7,8,9,10] have shown that fractional calculus offers a new and deeper perspective in system modeling that overcomes the shortcomings of classical differential constitutive models [11,12].
Over the past ten years, stability, as well as robust control for FO uncertain linear systems have been key research topics in the field of control theory. A method of observer-based control for FO uncertain linear systems with the fractional commensurate order 1 < α < 2 based on linear matrix inequality (LMI) approach was discussed in [13]. The stability and stabilization analysis of FO linear time-invariant systems with different derivative orders were considered in [14]. The asymptotic stability and stabilization of FO linear systems with time-varying structured uncertainties and time-varying delay were addressed in [15]. The robust stability and stabilization of a class of fractional order systems under input saturation using the Lyapunov method was studied in [16]. A necessary and sufficient condition for testing the robust D-stability of linear time-invariant (LTI) general FO control systems was derived in [17]. Other studies regarding these topics can be found in [18,19,20] and references therein.
The stability is a primary requirement for designing a controller for a real plant. Moreover it is also desirable but difficult to design a control system which not only preserves stability, but can also guarantees an adequate level of performance. To cope with the problem, Chang and Peng proposed an alternative way, namely the so-called guaranteed cost control approach [21]. The main advantage ia that it guarantees the robust stability of the closed-loop system, and ensures that the deteriorated performance caused by the system uncertainty is still inferior to the upper bound of the previously prescribed performance index. This approach has provided a certain degree of understanding of the extent of system performance degradation [22]. Some significant results on guaranteed cost control for integer-order systems have been put forward by several researchers [22,23,24,25,26,27,28,29,30,31]. Nonetheless, it should be pointed out that input delays are unavoidable due to the time taken for transportation of materials and transmission of signals in many physical phenomena, such as in biological systems and chemical processes. The existence of input delay will eventually lead to instability and poor system performance. Therefore, the stabilisation of input-delayed systems is one fundamental problem. However, to our best knowledge, we find limited results about the guaranteed cost control of FO uncertain delayed linear systems by using feedback controller with input delay. Motivated by this observation, the paper focusses on the guaranteed cost control controller design problem of uncertain FO linear systems with time-delay. The time delays can appear both in the state and input. The problem consists of the design of state-feedback controllers such that the resulting closed-loop system is robustly stable and a specified integral-quadratic cost function has an upper bound for all delays within the given intervals. Delay-dependent and order-dependent conditions for the solvability of this problem are obtained in terms of matrix inequalities.
The rest of this paper is organized as follows. Preliminary notions and problem description will be discussed in Section 2. The solution to this problem is given in Section 3. Two examples illustrating performance of the proposed strategy are presented in Section 4. Finally, the conclusions are given in Section 5.

2. Preliminary nOtions and Problem Description

The following symbols are used in the follow-up stands for: C ( [ a , b ] , R n ) the set of continuous functions mapping the interval [ a , b ] to R n , I is the identity matrix with the appropriate dimension, and the symbol ⋆ denotes the elements below the main diagonal of a symmetric block matrix. The superscript T represents the transpose, d i a g { · } stands for the diagonal matrix, and X > 0 ( < 0 ) is a symmetric positive definite (negative definite) matrix. The symbol C = C ( [ τ , 0 ] , R n ) , x t ( θ ) C is a segment of function defined as x t ( θ ) = x ( t + θ ) , τ θ 0 .
The Riemann-Liouville (RL), Grünwald-Letnikov (GL) and Caputo (C) formulations are commonly used definitions of fractional integrals and derivatives. Here the Caputo definition is used due to its convenience in engineering applications.
Definition 1.
[32] The fractional integral of order α > 0 of a function x ( t ) is:
I t 0 , t α x ( t ) = 1 Γ ( α ) t 0 t ( t τ ) α 1 x ( τ ) d τ ,
where Γ ( · ) is the Gamma function, Γ ( s ) = 0 t s 1 e t d t .
Definition 2.
[32] The Caputo derivative of order α of a function x ( t ) is:
C D t o , t α x ( t ) = I t 0 , t n α d n d r n x ( t ) = 1 Γ ( n α ) t 0 t ( t τ ) n a 1 x ( n ) ( τ ) d τ ,
where n 1 < α < n Z + .
In the following, the notation D α is chosen as the Caputo derivative C D t 0 , t α .
Consider the following n-dimensional FO linear uncertain delayed system
D α x ( t ) = ( A + Δ A ) x ( t ) + ( A τ + Δ A τ ) x ( t τ ) + ( B + Δ B ) u ( t ) , t > 0 , x ( t ) = ϕ ( t ) , t [ τ , 0 ] , y ( t ) = C x ( t ) ,
where n 1 < α < n Z + , and Γ ( · ) is the Gamma function, Γ ( s ) = 0 t s 1 e t d t . Moreover, x ( t ) = ( x 1 ( t ) , , x n ( t ) ) T R n represents system the state vector, the FO α belongs to the interval ( 0 , 1 ] . The symbols A R n × n and A τ R n × n represent the nominal and the state delayed matrices, τ denotes the time delay and x ( t ) = ϕ ( t ) is a continuous vector-valued initial condition on [ τ , 0 ] . The uncertain matrices Δ A , Δ A τ and Δ B are time-varying with appropriate dimensions subject to the following form:
Δ A Δ A τ Δ B = E 1 H ( t ) F 1 F 2 F 3 ,
where E 1 , F 1 , F 2 and F 3 are known constant real matrices with appropriate dimensions, and H ( t ) is the unknown time-varying matrix satisfying
H T ( t ) H ( t ) I .
Given positive definite symmetric matrices Q 1 and Q 2 , the following the cost function for system (1) is used
J = 1 Γ ( α ) t 0 T 1 ( T 1 s ) α 1 x T ( s ) Q 1 x ( s ) + u T ( s ) Q 2 u ( s ) d s ,
where T 1 > 0 , and T 1 > τ
Associated with the cost, the cost guaranteed controller is defined as follows:
Definition 3.
For the FO dynamic system (1) and the cost function (2), if there is a control law u and a positive constant J * , so that for all the admissible uncertainties and time-delays, the obtained closed-loop system is asymptotically stable and the closed-loop value of the cost function satisfies J < J * , then J * is called cost guaranteed.
The uncertain FO system (1) is said to be the cost guaranteed control using linear state-feedback controller with delay if there exists a state-feedback controller
u ( t ) = K x ( t τ ) , t τ , u ( t ) = 0 , 0 < t < τ ,
such that the following closed-loop system is asymptotically stable and an adequate level of performance is also guaranteed
D α x ( t ) = ( A + Δ A ) x ( t ) + ( A τ + Δ A τ B K Δ B K ) x ( t τ ) , x ( t ) = ϕ ( t ) , t [ τ , 0 ] .
Remark 1.
In practical engineering applications, the controller starts working when time is greater than 0. That is, there is not control input in the delayed system when t [ 0 , τ ] , the system is an open loop one.
For this end, the following Lemmas are presented firstly.
Lemma 1.
[32] If x ( t ) C n ( [ 0 , + ) , R ) and n 1 < α < n , then the following formula holds
I t 0 , t α D α x ( t ) = x ( t ) k = 0 n 1 t k k ! x k ( 0 ) ,
where I t 0 , t α x ( t ) = 1 Γ ( α ) t 0 t ( t τ ) α 1 x ( τ ) d τ .
Lemma 2.
[33] Let x ( t ) R n be a differentiable vector-value function. Then, for any time instant t t 0
D α ( x T ( t ) P x ( t ) ) ( x T ( t ) P ) D α x ( t ) + ( D α x ( t ) ) T P x ( t ) ,
where P R n × n is a symmetric positive definite matrix, α ( 0 , 1 ) .
Lemma 3.
[34] In the nonlinear delayed system
D α x ( t ) = f ( t , x t ) ,
the initial states of Caputo system (5) is defined as x t 0 = φ ( t ) , which a continuous vector-valued function on [ τ , 0 ] . The function f : [ t 0 , ] × C τ R n is piecewise continuous in t and locally Lipschitz in x on [ t 0 , ] .
Suppose that ω 1 , ω 2 : R R are continuous nondecreasing functions, ω 1 ( s ) and ω 2 ( s ) are positive for s > 0 , and ω 1 ( 0 ) = ω 2 ( 0 ) = 0 , and ω 2 strictly increasing. If there exists a continuously differentiable function V : R × R n R such that
ω 1 ( x ) V ( t , x ) ω 2 ( x ) , f o r t R , x R n ,
and for any given t 0 R the Caputo fractional derivative of V along the solution x ( t ) of the FO system (5) satisfies
D α V ( t , x ( t ) ) 0 , w h e n e v e r sup t 0 τ θ t V ( θ , x ( θ ) ) = V ( t , x ( t ) ) , t t 0 ,
then the FO system (5) is uniformly stable.
If, in addition, there exist two constants p , q > 0 with p < q such that
D α V ( t , x ( t ) ) q V ( t , x ( t ) ) + p sup τ θ 0 V ( t + θ , x ( t + θ ) ) ,
for t t 0 , then the FO system (5) is globally uniformly asymptotically stable.
Lemma 4.
[35] Given matrices Q = Q T , H , E and R = R T > 0 of appropriate dimensions, the relationship
Q + H F E + E T F T H T < 0 ,
for all F satisfying F T F R , if and only if there exists some λ > 0 such that
Q + λ H H T + λ 1 E T R E < 0 .
Lemma 5.
[36] (Schur Complement) For matrices M, so that M 11 1 exists, the following inequality forms are equivalent:
M = M 11 M 12 M 22 < 0 , M 11 < 0 , M 22 M 12 T M 11 1 M 12 < 0 , M 22 < 0 , M 11 M 12 T M 22 1 M 12 < 0 .

3. Main Results

An LMI sufficient condition for delayed state feedback guaranteed cost control laws for the FO uncertain system (1) will be given in the subsection.
Theorem 1.
For two given symmetric positive-definite matrix Q 1 and Q 2 , the asymptotic stability of the following closed-loop system (4) is assured and the guaranteed cost control performance is achieved by the control law u ( t ) , if there exist a symmetric positive-definite matrix P ¯ , any appropriately dimensioned matrix Y and a positive scalar λ such that the following LMI holds
Γ 11 Γ 12 Γ 13 P ¯ F 1 T λ E P ¯ Q 1 0 τ α α 1 P ¯ P ¯ Γ 23 Γ 24 0 0 Y T Q 2 0 τ α α 1 I 0 λ τ α α 1 E 0 0 0 λ I 0 0 0 0 λ I 0 0 0 Q 1 0 0 Q 2 0 τ α α 1 I < 0 ,
where
Γ 11 = A P ¯ + P ¯ A T + μ P ¯ , Γ 12 = A τ P ¯ B Y , Γ 13 = τ α α 1 P ¯ A T , Γ 23 = τ α α 1 ( P ¯ A τ T Y T B T ) , Γ 24 = P ¯ F 2 T Y T F 3 T ,
and u ( t ) is given by
u ( t ) = K x ( t τ ) = Y P ¯ 1 x ( t τ )
with the cost
J * = λ max ( P ¯ 1 ) ϕ 2 .
Proof. 
Constructing the Lyapunov function candidate V ( x ( t ) ) = x T ( t ) P x ( t ) and calculating the derivative of V ( x ( t ) ) along system (1), according to Lemma 2, yields
D α V ( x ( t ) ) + x T ( t ) Q 1 x ( t ) + x T ( t τ ) K T Q 2 K x ( t τ ) ( x T ( t ) P ) D α x ( t ) + ( D α x ( t ) ) T P x ( t ) + x T ( t ) Q 1 x ( t ) + x T ( t τ ) K T Q 2 K x ( t τ ) = x T ( t ) P ( ( A + Δ A ) x ( t ) + ( A τ + Δ A τ B K Δ B K ) x ( t τ ) ) + ( x T ( t ) ( A T + Δ A T ) + x T ( t τ ) ( A τ T + Δ A τ T K T B T K T Δ B T ) ) P x ( t ) + x T ( t ) Q 1 x ( t ) + x T ( t τ ) K T Q 2 K x ( t τ ) = x T ( t ) ( P A + P Δ A + A T P + Δ A T P + Q 1 ) x ( t ) + x T ( t ) ( P A τ + P Δ A τ P B K P Δ B K ) x ( t τ ) + x T ( t τ ) ( A τ T P + Δ A τ T P K T B T P K T Δ B T P ) x ( t ) + x T ( t τ ) K T Q 2 K x ( t τ ) .
For any real matrices X = X T , Y and Z = Z T , satisfying
Θ = X Y Y T Z 0 ,
we have
τ α α 1 ξ T ( t ) Θ ξ ( t ) t τ t t s α 1 ξ T t Θ ξ t d s 0 ,
where ξ ( t ) = [ x T ( t ) , ( D α x ( t ) ) T ] T .
For the sake of simplicity, let X = Z = I and Y = 0 in (8). It follows from (7) and (8) that
D α V ( x ( t ) ) + x T ( t ) Q 1 x ( t ) + x T ( t τ ) K T Q 2 K x ( t τ ) ( x T ( t ) P ) D α x ( t ) + ( D α x ( t ) ) T P x ( t ) + τ α α 1 ξ T ( t ) Θ ξ ( t ) t τ t t s α 1 ξ T t Θ ξ t d s = x T ( t ) ( P A + P Δ A + A T P + Δ A T P + Q 1 + τ α α 1 I + τ α α 1 ( A T + Δ A T ) ( A + Δ A ) ) x ( t ) + x T ( t ) ( P A τ + P Δ A τ P B K P Δ B K + τ α α 1 ( A T + Δ A T ) ( A τ + Δ A τ B K Δ B K ) ) x ( t τ ) + x T ( t τ ) ( A τ T P + Δ A τ T P K T B T P K T Δ B T P + τ α α 1 ( A τ T + Δ A τ T K T B T K T Δ B T ) ( A + Δ A ) ) x ( t ) + x T ( t τ ) ( K T Q 2 K + τ α α 1 ( A τ T + Δ A τ T K T B T K T Δ B T ) ( A τ + Δ A τ B K Δ B K ) ) x ( t τ ) t τ t t s α 1 ξ T t Θ ξ t d s ,
when θ is in the interval τ θ 0 , and x ( t ) satisfies
V ( x ( t + θ ) ) < μ V ( x ( t ) ) ,
for some μ > 1 , one can obtain
μ x T ( t ) P x ( t ) x T ( t τ ) P x ( t τ ) 0 .
Combining (9) and (10) results in
D α V ( x ( t ) ) + x T ( t ) Q 1 x ( t ) + x T ( t τ ) K T Q 2 K x ( t τ ) x T ( t ) ( P A + P Δ A + A T P + Δ A T P + Q 1 + τ α α 1 I + μ P + τ α α 1 ( A T + Δ A T ) ( A + Δ A ) ) x ( t ) + x T ( t ) ( P A τ + P Δ A τ P B K P Δ B K + τ α α 1 ( A T + Δ A T ) ( A τ + Δ A τ B K Δ B K ) ) x ( t τ ) + x T ( t τ ) ( A τ T P + Δ A τ T P K T B T P K T Δ B T P + τ α α 1 ( A τ T + Δ A τ T K T B T K T Δ B T ) ( A + Δ A ) ) x ( t ) + x T ( t τ ) ( K T Q 2 K P + τ α α 1 ( A τ T + Δ A τ T K T B T K T Δ B T ) ( A τ + Δ A τ B K Δ B K ) ) x ( t τ ) t τ t ( t s ) α 1 ξ T t Θ ξ t d s = η T ( t ) Π η ( t ) t τ t t s α 1 ξ T t Θ ξ t d s ,
where η ( t ) = [ x T ( t ) , x T ( t τ ) ] T ,
Π = Π 11 Π 12 Π 22
Π 11 = P A + P Δ A + A T P + Δ A T P + Q 1 + τ α α 1 I + μ P + τ α α 1 ( A T + Δ A T ) ( A + Δ A ) , Π 12 = P A τ + P Δ A τ P B K P Δ B K + τ α α 1 ( A T + Δ A T ) ( A τ + Δ A τ B K Δ B K ) , Π 22 = K T Q 2 K P + τ α α 1 ( A τ T + Δ A τ T K T B T K T Δ B T ) ( A τ + Δ A τ B K Δ B K ) .
In fact, Π < 0 can be rewritten as follow
Ξ = Ξ 11 Ξ 12 τ α α 1 ( A T + Δ A T ) K T Q 2 K P Ξ 23 τ α α 1 I < 0 ,
where
Ξ 11 = P A + P Δ A + A T P + Δ A T P + Q 1 + τ α α 1 I + μ P , Ξ 12 = P A τ + P Δ A τ P B K P Δ B K Ξ 23 = τ α α 1 ( A τ T + Δ A τ T K T B T K T Δ B T ) .
It is straightforward to see that (12) can be written in the form:
Σ 11 Σ 12 τ α α 1 A T K T Q 2 K P τ α α 1 ( A τ T K T B T ) τ α α 1 I + P E 0 τ α α 1 E H ( t ) F 1 F 2 F 3 K 0 + F 1 T F 2 T K T F 3 T 0 H T ( t ) E T P 0 τ α α 1 E T < 0 .
From Lemma 4, there exist scalars λ such that
Σ 11 Σ 12 τ α α 1 A T K T Q 2 K P τ α α 1 ( A τ T K T B T ) τ α α 1 I + λ P E 0 τ α α 1 E E T P 0 τ α α 1 E T + λ 1 F 1 T F 2 T K T F 3 T 0 F 1 F 2 F 3 K 0 < 0 ,
where
Σ 11 = P A + A T P + Q 1 + τ α α 1 I + μ P , Σ 12 = P A τ P B K .
Substituting (13) in to (12), and using Lemma 5, we obtain that Π < 0 is equivalent to
Δ = Δ 11 Δ 12 τ α α 1 A T F 1 T λ P E Δ 22 τ α α 1 ( A τ T K T B T ) F 2 T K T F 3 T 0 τ α α 1 I 0 λ τ α α 1 E λ I 0 λ I < 0 ,
where
Δ 11 = P A + A T P + Q 1 + τ α α 1 I + μ P , Δ 12 = P A τ P B K , Δ 22 = K T Q 2 K P .
By using Schur complement, Δ < 0 is equivalent to
Υ 11 Υ 12 Υ 13 F 1 T λ P E Q 1 0 τ α α 1 I P Υ 23 F 2 T K T F 3 T 0 0 K T Q 2 0 τ α α 1 I 0 Υ 35 0 0 0 λ I 0 0 0 0 λ I 0 0 0 Q 1 0 0 Q 2 0 τ α α 1 I < 0 ,
where
Υ 11 = P A + A T P + μ P , Υ 12 = P A τ P B K , Υ 13 = τ α α 1 A T , Υ 23 = τ α α 1 ( A τ T K T B T ) , Υ 24 = F 2 T K T F 3 T , Υ 35 = λ τ α α 1 E .
By pre- and post-multiplying (15) by d i a g { P 1 , P 1 , I , I , I , I , I , I } yields
Γ 11 Γ 12 Γ 13 P 1 F 1 T λ E P 1 Q 1 0 τ α α 1 P 1 P 1 Γ 23 Γ 24 0 0 Y T Q 2 0 τ α α 1 I 0 λ τ α α 1 E 0 0 0 λ I 0 0 0 0 λ I 0 0 0 Q 1 0 0 Q 2 0 τ α α 1 I < 0 ,
where
Γ 11 = A P 1 + P 1 A T + μ P 1 , Γ 12 = A τ P 1 B K P 1 Γ 13 = τ α α 1 P 1 A T , Γ 23 = τ α α 1 ( P 1 A τ T P 1 K T B T ) , Γ 24 = P 1 F 2 T P 1 K T F 3 T .
If we take μ 1 + , and have P 1 = P ¯ , K P 1 = K P ¯ = Y in (16), then, expression (16) can be described as (6). Therefore, by using Lemma 3, the closed-loop control system (4) under the controller (3) is asymptotically stable,
D α V ( x ( t ) ) x T ( t ) Q 1 x ( t ) x T ( t ) K T Q 2 K x ( t ) < 0 .
Integrating with order α both sides of (17) from 0 to T 1 , and taking Lemma 1 into consideration, one has
V ( x ( T 1 ) ) V ( x ( 0 ) ) J ( u ) .
Since V ( x ( T 1 ) ) 0 , one has
J ( u ) V ( x ( 0 ) ) V ( x ( T 1 ) ) V ( x ( 0 ) ) λ max ( P ¯ 1 ) ϕ 2 = J * .
This completes the proof of the theorem. □
Remark 2.
If α = 1 in the above quadratic cost function (2), then it will degenerated into the definition of cost function in integer-order systems which were discussed in the literature [22,23,24,25,26,27,28,29,30,31].
Remark 3.
In the control of real-plant including FO delayed systems, it is far from enough to design a controller which not only robustly stabilises the uncertain system, but also ensures that an sufficient performance level needs to be guaranteed. One effective way to solve this problem is the so-called guaranteed cost control method. Several papers [37,38,39,40,41] discussed the control of FO delayed systems, but the performance level was not taken into account.
Remark 4.
The problem of finite-time and robust guaranteed cost control of uncertain fractional-order neural networks were investigated in [42,43], and the output-feedback-guaranteed cost control of a class of FO uncertain linear systems with time delay was discussed in [44]. However, these results are delay- and order-independent. Here, delay- and order-dependent controller methods are obtained, which are less conservative than those presented in [42,43,44].
Remark 5.
Chen et al. [44] studied the guaranteed cost controller design for a class of FO uncertain delayed linear systems by using the output-feedback controller without delay. Here, time delays both in the state and the input are discussed.
Remark 6.
The upper bound of the cost function is given herein, but it is not optimal. In fact, the guaranteed cost in (2) depends on the choice of guaranteed cost controllers. The algorithm that minimizes the cost in (2) is of interest and such a controller is said to be an optimal guaranteed cost controller. Thus, the design problem of the optimal guaranteed cost controller can be formulated as an optimization problem. For more details on this topic, readers can refer to [45,46,47]. Nonetheless, it remains for future work the design of the optimal guaranteed cost controller.

4. Numerical Examples

In this section, two examples will be given to show the effectiveness of the proposed theoretical results with computer simulations. The numerical method proposed in [48] is used in the follow-up.
Example 1.
Consider the following uncertain FO linear system (1) with parameters
A = 2 3 1 2 , A τ = 1 1 2 0 , B = 1 2 , E 1 = 0.1 0.1 , F 1 = 0.1 0.1 , F 2 = 0.1 0.2 , F 3 = 0.1 , α = 0.9 , τ = 0.1 .
Suppose that all states of the system are measurable. Using the MATLAB LMI toolbox, one obtains the feasible solution as follows from Theorem 1
P ¯ = 0.1161 0.0367 0.0367 0.0392 , Y = 0.1374 0.0411 , λ = 0.9689 .
The controller gain matrix is given by
K = Y P ˜ 1 = 1.2115 0.0876 .
Hence, the above results show that all the conditions stated in Theorem 1 have been satisfied and that the system can be stabilized by the full state controller.
Let us consider h ( t ) = cos t and the initial state ϕ = [ 2 3 ] T . Figure 1 and Figure 2 show the minimal upper bound of the generalized cost J * = 530.6873 , time response of the selected system without and with the control input, respectively. Form the two figures, we can observe that the states of system without input control is divergent, and that the controlled system is convergent.
Example 2.
Consider the following uncertain FO linear system (1) with parameters
A = 3 2 1 2 5 1 3 1 4 , A τ = 1 0 0 0 1 0 1 0 1 , B = 1 1 0 , E 1 = 0.1 0.1 0.2 , F 1 = 0.1 0.1 0.1 , F 2 = 0.1 0.1 0.1 , F 3 = 0.1 , α = 0.9 , τ = 0.1 .
By using the MATLAB LMI toolbox, one obtains the feasible solution as follows from Theorem 1
P ¯ = 0.2350 0.2146 0.2245 0.2146 0.7076 0.3655 0.2245 0.3655 0.9720 , Y = 0.0657 0.2903 0.4868 , λ = 0.9689 .
The controller gain matrix is as follows:
K = Y P ˜ 1 = 0.3598 0.3767 0.2760 .
Hence, the above results show that all the conditions stated in Theorem 1 have been satisfied and that the system can be stabilized by the full state controller.
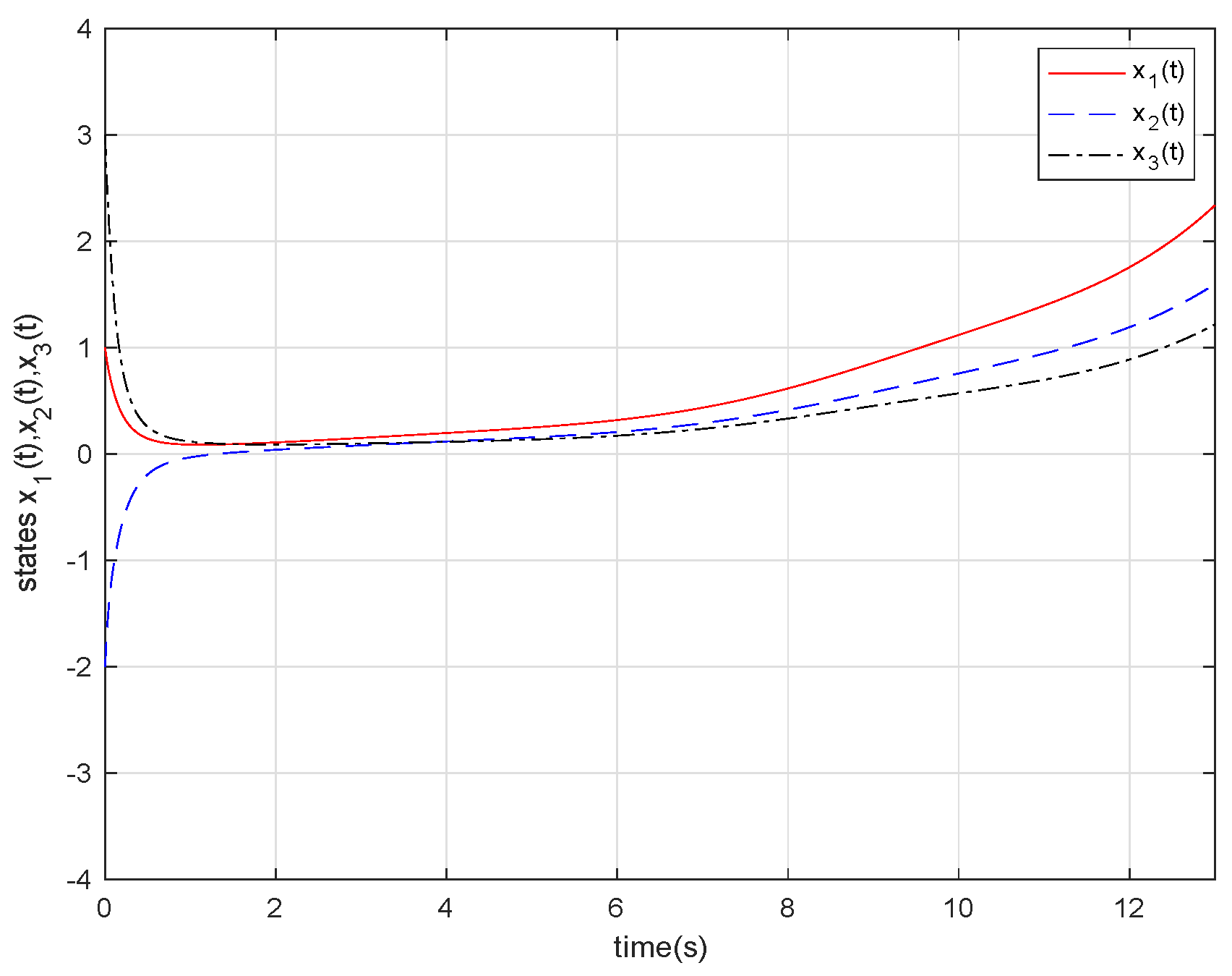
Consider h ( t ) = sin t and the initial state ϕ = [ 1 2 3 ] T . Figure 3 and Figure 4 show the minimal upper bound of the generalized cost J * = 1234.3 , time response of the selected system without and with the control input, respectively.

5. Conclusions

This paper discussed the problem of guaranteed cost control for uncertain FO linear systems with time delays both in the state and the input by employing the FO Razumikhin theorem and a new definition of guaranteed cost function for FO systems. Delay- and order-dependent conditions were developed, and state-feedback controllers designed. The new approach guarantees the robust stability of the closed-loop system and an upper bound of the specified linear integral-quadratic cost function for all delays. Illustrative examples demonstrated the applicability and effectiveness of the proposed method.

Author Contributions

F.Q., simulation, writing and editing the manuscript; Y.C., supervision, and project administration; L.C., methodology formal analysis; J.A.T.M., writing—review and editing. All authors have read and agreed to the published version of the manuscript.

Funding

This work was supported by the National Natural Science Funds of China (Nos. 62073114; 61633005).

Institutional Review Board Statement

Not applicable.

Informed Consent Statement

Not applicable.

Data Availability Statement

No new data were created or analyzed in this study. Data sharing is not applicable to this article.

Conflicts of Interest

The authors declare no conflict of interest.

References

  1. Tepljakov, A. Fractional-Order Modeling and Control of Dynamic Systems; Springer: Berlin, Germany, 2017. [Google Scholar]
  2. Yang, X. General Fractional Derivatives: Theory, Methods and Applications; CRC Press: Boca Raton, FL, USA, 2019. [Google Scholar]
  3. Daftardar-Gejji, V. Fractional Calculus and Fractional Differential Equations; Springer: Berlin, Germany, 2019. [Google Scholar]
  4. Hilfer, R. Applications of Fractional Calculus in Physics; World Scientific: Singapore, 2000. [Google Scholar]
  5. Laskin, N. Fractional Quantum Mechanics; World Scientific: Singapore, 2018. [Google Scholar]
  6. West, B. Fractional Calculus View of Complexity: Tomorrows Science; CRC Press: Boca Raton, FL, USA, 2016. [Google Scholar]
  7. Singh, H.; Kumar, D.; Baleanu, D. Methods of Mathematical Modelling: Fractional Differential Equations; CRC Press: Boca Raton, FL, USA, 2019. [Google Scholar]
  8. Luo, Y.; Chen, Y. Fractional Order Motion Controls; Wiley: Hoboken, NJ, USA, 2012. [Google Scholar]
  9. Ostalczyk, P. Discrete Fractional Calculus: Applications in Control and Image Processing; World Scientific: Singapore, 2015; Volume 4. [Google Scholar]
  10. Chen, L.; Li, T.; Chen, Y.; Wu, R.; Ge, S. Robust passivity and feedback passification of a class of uncertain fractional-order linear systems. Int. J. Syst. Sci. 2019, 50, 1149–1162. [Google Scholar] [CrossRef]
  11. Xue, D. Fractional-Order Control Systems: Fundamentals and Numerical Implementations; De Gruyter: Berlin, Germany, 2017. [Google Scholar]
  12. Ge, F.; Chen, Y.; Kou, C. Regional Analysis of Time-Fractional Diffusion Processes; Springer: Berlin, Germany, 2018. [Google Scholar]
  13. Lan, Y.H.; Huang, H.X.; Zhou, Y. Observer-based robust control of a(1 ≤ a < 2) fractional-order uncertain systems: A linear matrix inequality approach. IET Control Theory Appl. 2012, 6, 229–234. [Google Scholar]
  14. Badri, P.; Sojoodi, M. Stability and stabilization of fractional-order systems with different derivative orders: An LMI approach. Asian J. Control 2019, 21, 2270–2279. [Google Scholar] [CrossRef]
  15. Chen, L.; Wu, R.; He, Y.; Yin, L. Robust stability and stabilization of fractional-order linear systems with polytopic uncertainties. Appl. Math. Comput. 2015, 257, 274–284. [Google Scholar] [CrossRef]
  16. Shahri, E.S.A.; Alfi, A.; Machado, J.T. Lyapunov method for the stability analysis of uncertain fractional-order systems under input saturation. Appl. Math. Model. 2020, 81, 663–672. [Google Scholar] [CrossRef]
  17. Mohsenipour, R.; Liu, X. Robust D-stability test of LTI general fractional order control systems. IEEE/CAA J. Autom. Sin. 2020, 7, 853–864. [Google Scholar] [CrossRef]
  18. N’Doye, I.; Darouach, M.; Zasadzinski, M.; Radhy, N.E. Robust stabilization of uncertain descriptor fractional-order systems. Automatica 2013, 49, 1907–1913. [Google Scholar] [CrossRef]
  19. Ma, Y.; Lu, J.; Chen, W. Robust stability and stabilization of fractional order linear systems with positive real uncertainty. ISA Trans. 2014, 53, 199–209. [Google Scholar] [CrossRef]
  20. Dinh, C.H.; Mai, V.T.; Duong, T.H. New Results on Stability and Stabilization of Delayed Caputo Fractional Order Systems with Convex Polytopic Uncertainties. J. Syst. Sci. Complex. 2020, 33, 563–583. [Google Scholar] [CrossRef]
  21. Chang, S.; Peng, T. Adaptive guaranteed cost control of systems with uncertain parameters. IEEE Trans. Autom. Control 1972, 17, 474–483. [Google Scholar] [CrossRef]
  22. Chang, X.; Huang, R.; Park, J. Robust guaranteed cost control under digital communication channels. IEEE Trans. Ind. Inf. 2019, 16, 319–327. [Google Scholar] [CrossRef]
  23. Zong, G.; Ren, H. Guaranteed cost finite-time control for semi-Markov jump systems with event-triggered scheme and quantization input. Int. J. Robust Nonlinear Control 2019, 29, 5251–5273. [Google Scholar] [CrossRef]
  24. Li, Y. Optimal guaranteed cost control of linear uncertain system: an LMI approach. Control Theory Appl. 2000, 17, 423–428. [Google Scholar]
  25. Xu, H.; Teo, K.L.; Liu, X. Robust stability analysis of guaranteed cost control for impulsive switched systems. IEEE Trans. Syst. Man Cybern. Part B 2008, 38, 1419–1422. [Google Scholar]
  26. Li, H.; Wang, J.; Wu, L.; Lam, H.; Gao, Y. Optimal guaranteed cost sliding-mode control of interval type-2 fuzzy time-delay systems. IEEE Trans. Fuzzy Syst. 2018, 26, 246–257. [Google Scholar] [CrossRef]
  27. Xiang, C.; Petersen, I.R.; Dong, D. Performance analysis and coherent guaranteed cost control for uncertain quantum systems using small gain and Popov methods. IEEE Trans. Autom. Control 2016, 62, 1524–1529. [Google Scholar] [CrossRef]
  28. Yan, Z.; Park, J.H.; Zhang, W. Finite-time guaranteed cost control for Itô Stochastic Markovian jump systems with incomplete transition rates. Int. J. Robust Nonlinear Control 2017, 27, 66–83. [Google Scholar] [CrossRef]
  29. Gyurkovics, E. Guaranteed cost control of discrete-time uncertain systems with both state and input delays. Int. J. Control 2016, 89, 2073–2082. [Google Scholar] [CrossRef]
  30. Chen, W.; Xu, J.; Guan, Z. Guaranteed cost control for uncertain Markovian jump systems with mode-dependent time-delays. IEEE Trans. Autom. Control 2003, 48, 2270–2277. [Google Scholar] [CrossRef]
  31. Xu, S.; Lam, J.; Yang, C.; Verriest, E. An LMI approach to guaranteed cost control for uncertain linear neutral delay systems. Int. J. Robust Nonlinear Control 2003, 13, 35–53. [Google Scholar] [CrossRef]
  32. Podlubny, I. Fractional Differential Equations; Academic Press: San Diego, CA, USA, 1999. [Google Scholar]
  33. Liang, S.; Wu, R.; Chen, L. Adaptive pinning synchronization in fractional-order uncertain complex dynamical networks with delay. Physica A 2016, 444, 49–62. [Google Scholar] [CrossRef]
  34. Chen, B.; Chen, J. Razumikhin-type stability theorems for functional fractional-order differential systems and applications. Appl. Math. Comput. 2015, 254, 63–69. [Google Scholar] [CrossRef]
  35. Xie, L. Output feedback H control of systems with parameter uncertainty. Int. J. Control 1996, 63, 741–750. [Google Scholar] [CrossRef]
  36. Last, E. Linear Matrix Inequalities in System and Control Theory. Proc. IEEE 1994, 86, 2473–2474. [Google Scholar]
  37. Si-Ammour, A.; Djennoune, S.; Bettayeb, M. A sliding mode control for linear fractional systems with input and state delays. Commun. Nonlinear Sci. Numerical Simul. 2009, 14, 2310–2318. [Google Scholar] [CrossRef]
  38. Li, Y.; Jiang, W. Fractional order nonlinear systems with delay in iterative learning control. Appl. Math. Comput. 2015, 257, 546–552. [Google Scholar]
  39. Geng, W.; Lin, C.; Chen, B. Observer-based stabilizing control for fractional-order systems with input delay. ISA Trans. 2020, 100, 103–108. [Google Scholar] [CrossRef]
  40. Choudhary, N.; Sivaramakrishnan, J.; Kar, I.N. Sliding mode control of uncertain fractional order systems with delay. Int. J. Control 2020, 93, 934–943. [Google Scholar] [CrossRef]
  41. Liu, H.; Xie, G.; Gao, Y. Containment control of fractional-order multi-agent systems with time-varying delays. J. Frankl. Inst. 2019, 356, 9992–10014. [Google Scholar] [CrossRef]
  42. Thuan, M.V.; Binh, T.N.; Huong, D.C. Finite-time guaranteed cost control of Caputo fractional-order neural networks. Asian J. Control 2020, 22, 696–705. [Google Scholar] [CrossRef]
  43. Thuan, M.V.; Huong, D.C. Robust guaranteed cost control for time-delay fractional-order neural networks systems. Optim. Control Appl. Methods 2019, 40, 613–625. [Google Scholar] [CrossRef]
  44. Chen, L.; Li, T.; Wu, R.; Lopes, A.M.; Machado, J.T.; Wu, K. Output-feedback-guaranteed cost control of fractional-order uncertain linear delayed systems. Comput. Appl. Math. 2020, 39, 1–18. [Google Scholar] [CrossRef]
  45. Church, K.E.; Liu, X. Cost-Effective Robust Stabilization and Bifurcation Suppression. SIAM J. Control Optim. 2019, 57, 2240–2268. [Google Scholar] [CrossRef]
  46. Xie, X.; Lam, J. Guaranteed cost control of periodic piecewise linear time-delay systems. Automatica 2018, 94, 274–282. [Google Scholar] [CrossRef]
  47. Rahimkhani, P.; Ordokhani, Y.; Babolian, E. An efficient approximate method for solving delay fractional optimal control problems. Nonlinear Dyn. 2016, 86, 1649–1661. [Google Scholar] [CrossRef]
  48. Wang, H.; Gu, Y.; Yu, Y. Numerical solution of fractional-order time-varying delayed differential systems using Lagrange interpolation. Nonlinear Dyn. 2019, 95, 809–822. [Google Scholar] [CrossRef]
Figure 1. Time response of the selected systems without control input in the Example 1.
Figure 1. Time response of the selected systems without control input in the Example 1.
Mathematics 09 00041 g001
Figure 2. Time response of the selected systems with control input in the Example 1.
Figure 2. Time response of the selected systems with control input in the Example 1.
Mathematics 09 00041 g002
Figure 3. Time response of the selected systems without control input in the Example 2.
Figure 3. Time response of the selected systems without control input in the Example 2.
Mathematics 09 00041 g003
Figure 4. Time response of the selected systems with control input in the Example 2.
Figure 4. Time response of the selected systems with control input in the Example 2.
Mathematics 09 00041 g004
Publisher’s Note: MDPI stays neutral with regard to jurisdictional claims in published maps and institutional affiliations.

Share and Cite

MDPI and ACS Style

Qi, F.; Chai, Y.; Chen, L.; Tenreiro Machado, J.A. Delay-Dependent and Order-Dependent Guaranteed Cost Control for Uncertain Fractional-Order Delayed Linear Systems. Mathematics 2021, 9, 41. https://doi.org/10.3390/math9010041

AMA Style

Qi F, Chai Y, Chen L, Tenreiro Machado JA. Delay-Dependent and Order-Dependent Guaranteed Cost Control for Uncertain Fractional-Order Delayed Linear Systems. Mathematics. 2021; 9(1):41. https://doi.org/10.3390/math9010041

Chicago/Turabian Style

Qi, Fei, Yi Chai, Liping Chen, and José A. Tenreiro Machado. 2021. "Delay-Dependent and Order-Dependent Guaranteed Cost Control for Uncertain Fractional-Order Delayed Linear Systems" Mathematics 9, no. 1: 41. https://doi.org/10.3390/math9010041

APA Style

Qi, F., Chai, Y., Chen, L., & Tenreiro Machado, J. A. (2021). Delay-Dependent and Order-Dependent Guaranteed Cost Control for Uncertain Fractional-Order Delayed Linear Systems. Mathematics, 9(1), 41. https://doi.org/10.3390/math9010041

Note that from the first issue of 2016, this journal uses article numbers instead of page numbers. See further details here.

Article Metrics

Back to TopTop