Directional Handover Analysis with Stochastic Petri Net and Poisson Point Process in Heterogeneous Networks
Abstract
1. Introduction
- We propose a novel continuous-time analytical direction-oriented framework that combines stochastic Petri net with Poisson point process, Do-SPN-PPP, enabling differentiated analysis of M2S and S2M handover scenarios in HetNet.
- The proposed framework quantitatively characterizes the impact of HOM on UE residence time in a cell and accurately predicts the residence time with different HOM parameters. Compared to existing discrete time-based models, our approach demonstrates higher accuracy in capturing UE residence time in a cell.
- We validate the framework through Monte Carlo simulations and achieve a 96% reduction in computational time while maintaining comparable accuracy.
2. Literature Review
- Measurement-based,
- Simulation-based,
- Theoretical analysis modeling-based,
- Formal modeling-based,
2.1. Theoretical Analysis Modeling-Based
2.2. Formal Modeling-Based
3. Network Assumption
3.1. Formulation of A3 Event Direction by Poisson Point Process
3.2. Stochastic Petri Net
3.3. Qualitative Handover Procedure Using SPN
3.4. Quantitative Handover Using SPN
3.5. Equivalent Continuous-Time Markov Chain
4. Numerical and Simulation Experiment
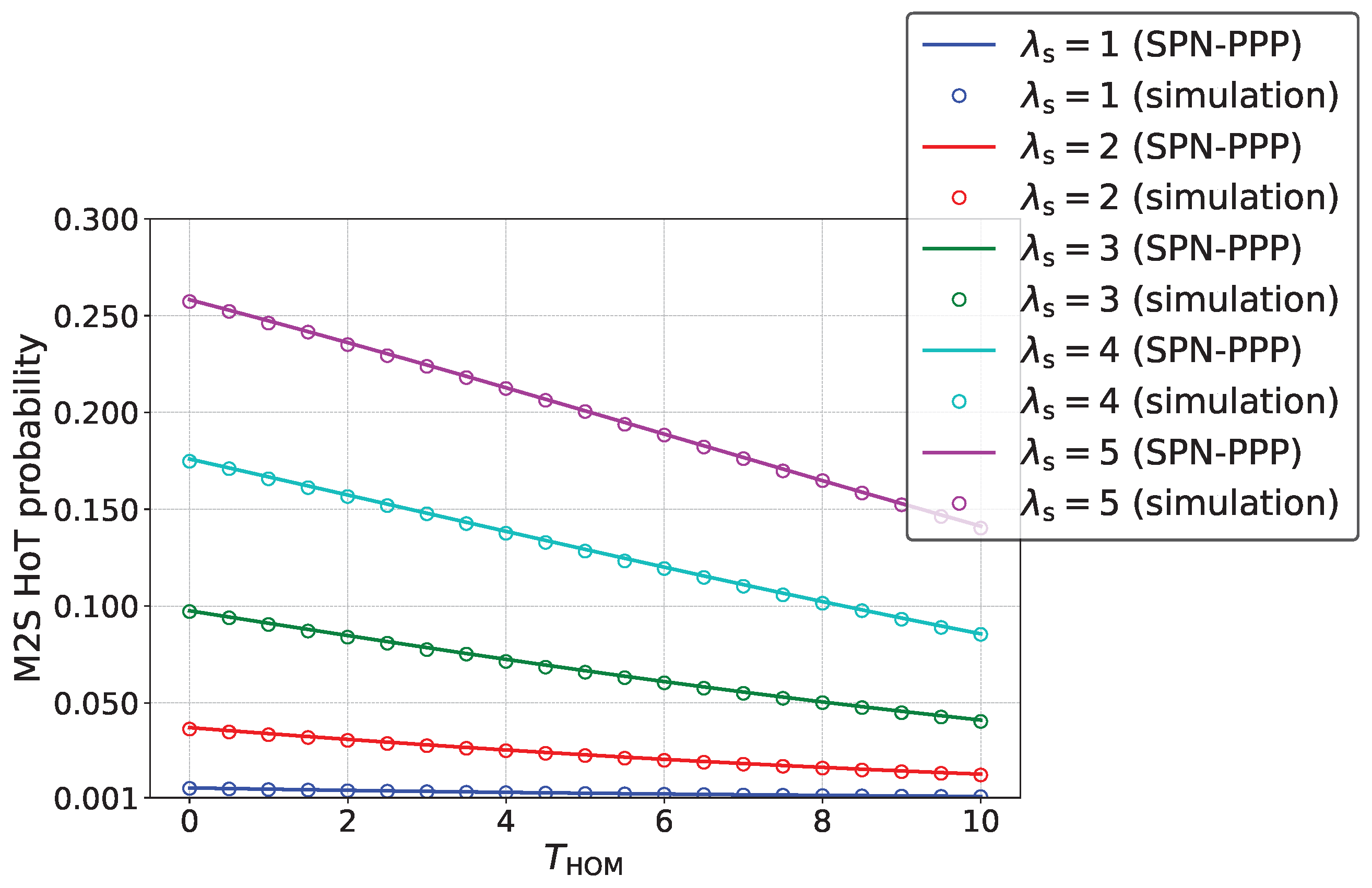
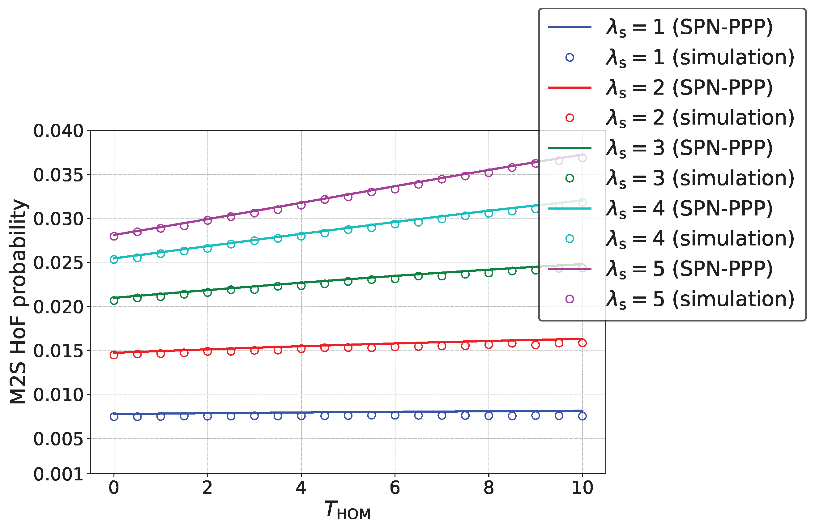
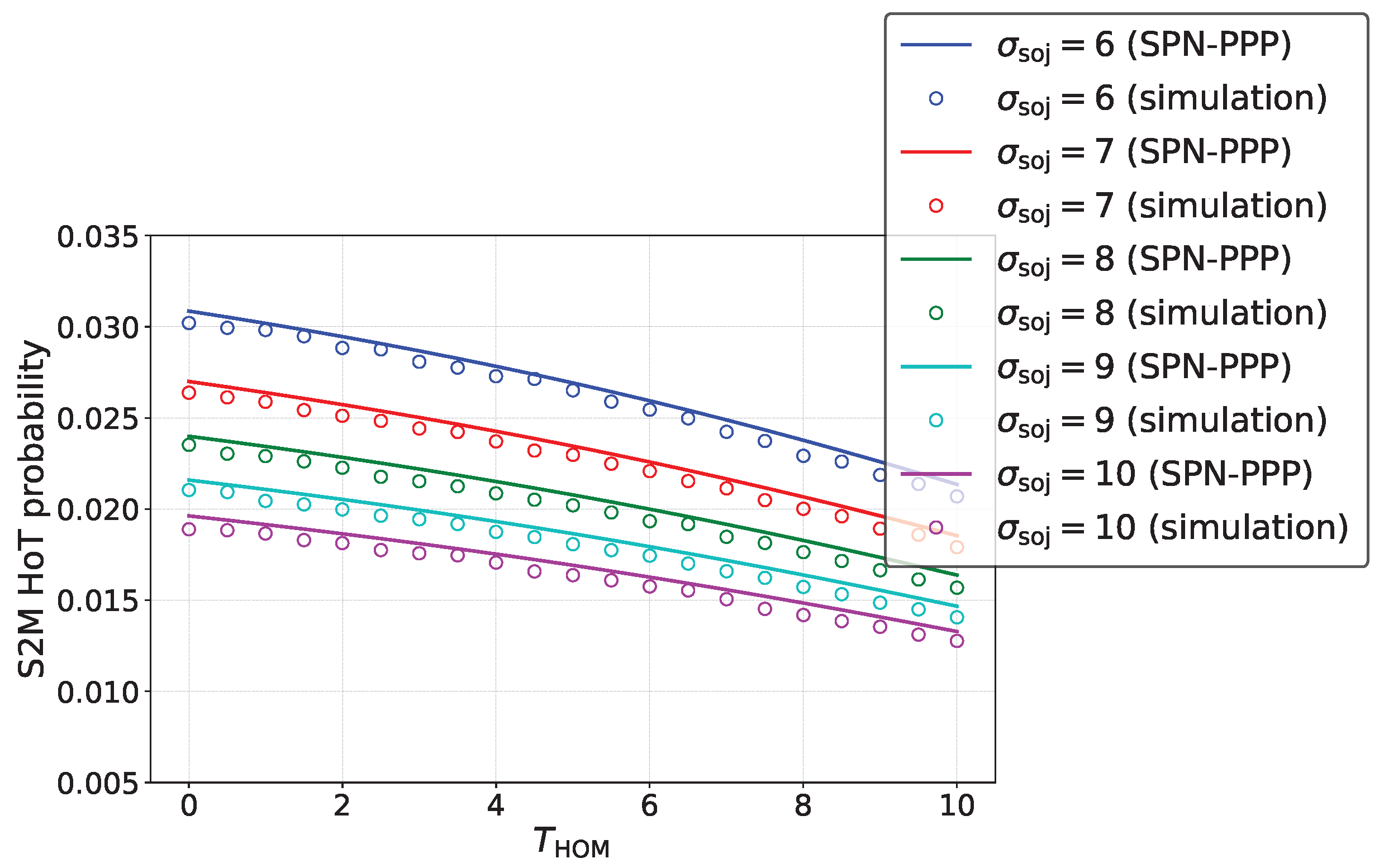
4.1. Evaluation of HoT and HoF Probability
- Linear relationship with and : The parameters and haave a linear relationship with the and firing rate, respectively. Consequently, variations in and result in proportional and predictable changes in the firing rate, thereby minimizing deviations between the two approaches.
- Non-linear relationship with : The parameter exhibits a non-linear relationship with the and firing rate. As increases, the and firing rates decrease markedly, leading to increased average firing time. This non-linear dynamic amplifies the discrepancies, particularly in Monte Carlo simulations.
4.1.1. Monte Carlo Simulation Variability and Model Reliability
4.1.2. A Case Study on Quantitative M2S and S2M Handovers
4.2. Evaluation of UE Residence Time
- In the macro cell (Figure 17), the maximum residence time is less than 150 s, with over 90% probability of triggering M2S handover or HoF after 60 s (for = 3, = 5).
- In the small cell (Figure 18), the maximum residence time is shorter, not exceeding 30 s, with over 90% probability of triggering S2M handover or HoF after 10 s.
- Increasing leads to longer residence times in both cells, as it increases the difficulty of satisfying the A3 event condition.
4.3. Comparison of the Do-SPN-PPP and DTMC in Predicting the UE Residence Time
- The Do-SPN-PPP framework provides higher prediction accuracy than the DTMC used in the previous work, as DTMC cannot capture continuous variations in RSRP and SINR affected by fading, making it less suitable for analyzing handover processes.
- The superiority of Do-SPN-PPP is particularly evident when compared to DTMC with larger time steps r, especially for the UE residence time within the small cell where accurate modeling is crucial due to their lower output power and smaller coverage area.
4.4. Comparison of Computation Time Between the Do-SPN-PPP and Simulation
5. Conclusions
Author Contributions
Funding
Data Availability Statement
Conflicts of Interest
Appendix A
References
- Ericsson. Ericsson Mobility Report; Ericsson: Stockholm, Sweden, 2022. [Google Scholar]
- Zhu, Z.; Takimoto, E.; Finnerty, P.; Ohta, C. A CQI and Hysteretic-Based Decision Algorithm to Prevent Handover Failures for Pedestrian Mobility in Mobile Communication HetNet. IEEE Access 2024, 12, 92348–92367. [Google Scholar] [CrossRef]
- Bang, J.h.; Oh, S.; Kang, K.; Cho, Y.J. A Bayesian Regression Based LTE-R Handover Decision Algorithm for High-Speed Railway Systems. IEEE Trans. Veh. Technol. 2019, 68, 10160–10173. [Google Scholar] [CrossRef]
- Nayak, S. ns-3 Simulation Based Exploration of LTE Handover Optimization. EAI Endorsed Trans. Mob. Commun. Appl. 2023, 7, e4. [Google Scholar] [CrossRef]
- Xenakis, D.; Passas, N.; Merakos, L.; Verikoukis, C. Mobility Management for Femtocells in LTE-Advanced: Key Aspects and Survey of Handover Decision Algorithms. IEEE Commun. Surv. Tutor. 2014, 16, 64–91. [Google Scholar] [CrossRef]
- Hasan, M.M.; Kwon, S.; Oh, S. Frequent-Handover Mitigation in Ultra-Dense Heterogeneous Networks. IEEE Trans. Veh. Technol. 2019, 68, 1035–1040. [Google Scholar] [CrossRef]
- Li, Y.; Cao, B.; Wang, C. Handover schemes in heterogeneous LTE networks: Challenges and opportunities. IEEE Wirel. Commun. 2016, 23, 112–117. [Google Scholar] [CrossRef]
- Haghrah, A.; Abdollahi, M.P.; Azarhava, H.; Niya, J.M. A survey on the handover management in 5G-NR cellular networks: Aspects, approaches and challenges. J. Wirel. Commun. Netw. 2023, 52. [Google Scholar] [CrossRef]
- 3rd Generation Partnership Project (3GPP). Security Architecture and Procedures for 5G System; Technical Specification 33.501 V16.4.0, Release 16, ETSI TS 133 515; 3GPP Organizational Partners: Sophia Antipolis Cedex, France, 2021. [Google Scholar]
- ElSawy, H.; Sultan-Salem, A.; Alouini, M.S.; Win, M.Z. Modeling and Analysis of Cellular Networks Using Stochastic Geometry: A Tutorial. IEEE Commun. Surv. Tutor. 2017, 19, 167–203. [Google Scholar] [CrossRef]
- Vasudeva, K.; Simsek, M.; López-Pérez, D.; Güvenç, I. Analysis of Handover Failures in Heterogeneous Networks With Fading. IEEE Trans. Veh. Technol. 2017, 66, 6060–6074. [Google Scholar] [CrossRef]
- Suarez Rodriguez, A.C.; Haider, N.; He, Y.; Dutkiewicz, E. Network Optimisation in 5G Networks: A Radio Environment Map Approach. IEEE Trans. Veh. Technol. 2020, 69, 12043–12057. [Google Scholar] [CrossRef]
- Arshad, R.; Elsawy, H.; Lampe, L.; Hossain, M.J. Handover Rate Characterization in 3D Ultra-Dense Heterogeneous Networks. IEEE Trans. Veh. Technol. 2019, 68, 10340–10345. [Google Scholar] [CrossRef]
- Soltani, M.D.; Kazemi, H.; Safari, M.; Haas, H. Handover Modeling for Indoor Li-Fi Cellular Networks: The Effects of Receiver Mobility and Rotation. In Proceedings of the IEEE Wireless Communications and Networking Conference (WCNC), San Francisco, CA, USA, 19–22 March 2017. [Google Scholar]
- Lee, J.R.; Han, S.H.; Choi, Y.H. Vehicle mobility pattern-based handover scheme using discrete-time Markov chain. Comput. Electr. Eng. 2014, 40, 100–108. [Google Scholar] [CrossRef]
- He, Y.; Huang, W.; Wei, H.; Zhang, H. Effect of Channel Fading and Time-to-Trigger Duration on Handover Performance in UAV Networks. IEEE Commun. Lett. 2021, 25, 308–312. [Google Scholar] [CrossRef]
- Guidolin, F.; Pappalardo, I.; Zanella, A.; Zorzi, M. A Markov-Based Framework for Handover Optimization in HetNets. In Proceedings of the 13th Annual Mediterranean Ad Hoc Networking Workshop (MED-HOC-NET), Piran, Slovenia, 2–4 June 2014. [Google Scholar]
- Zhang, B.; Qi, W.; Zhang, J. A Markov Based Performance Analysis of Handover and Load Balancing in HetNets. Int. J. Commun. Netw. Syst. Sci. 2017, 10, 223–233. [Google Scholar] [CrossRef]
- Balakrishnan, R.; Akyildiz, I. Local Anchor Schemes for Seamless and Low-Cost Handover in Coordinated Small Cells. IEEE Trans. Mob. Comput. 2016, 15, 1182–1196. [Google Scholar] [CrossRef]
- Yang, S.; Song, W.; Zhong, Z. Resource Allocation for Aggregate Multimedia and Healthcare Services over Heterogeneous Multi-Hop Wireless Networks. Wirel. Pers. Commun. 2013, 69, 229–251. [Google Scholar] [CrossRef]
- Gautam, A.; Dharmaraja, S. Adaptive Joint Call Admission Control Scheme for LTE-A in Mobile Communication Network and Its Performance Analysis. OPSEARCH 2024, 1–15. [Google Scholar] [CrossRef]
- Alioua, A.; Gharbi, N.; Senouci, S.M. Call Admission Control Scheme Using Borrowable Guard Channels and Prioritizing Fresh Calls Retrials in Small Cell Networks. In Proceedings of the 2014 Global Information Infrastructure and Networking Symposium (GIIS), Montreal, QC, Canada, 15–19 September 2014. [Google Scholar]
- Zhu, Z.; Nishimura, T.; Takimoto, E.; Zheng, J. Performance Evaluation of Heterogeneous Cellular Networks Using Stochastic Petri Nets. In Proceedings of the 2021 International Conference on Software, Telecommunications and Computer Networks (SoftCOM), Split, Croatia, 23–25 September 2021. [Google Scholar]
- Zhu, Z.; Zheng, J.; Takimoto, E.; Finnerty, P.; Ohta, C. Evaluating the A3RSRP Handover to Determine Optimal Performance in HetNet Using Stochastic Petri Net. In Proceedings of the 2024 6th International Conference on System Reliability and Safety Engineering (SRSE), Hangzhou, China, 11–14 October 2024. [Google Scholar]
- Ben Othman, J.; Mokdad, L. Performance analysis to evaluate overtaking behavior on highways. Simul. Model. Pract. Theory 2023, 124, 102721. [Google Scholar] [CrossRef]
- Alam, M.J.; Chugh, R.; Azad, S.; Hossain, M.R. Optimizing Cell Association in 5G and Beyond Networks: A Modified Load-Aware Biased Technique. Telecommun. Syst. 2024, 87, 731–742. [Google Scholar] [CrossRef]
- Ghosh, D.; Pandey, M.; Gautam, C.; Vidyarthi, A.; Sharma, R.; Draheim, D. Utilizing Continuous Time Markov Chain for analyzing video-on-demand streaming in multimedia systems. Expert Syst. Appl. 2023, 223, 119857. [Google Scholar] [CrossRef]
- Parichehreh, A.; Moosavi, R.; Ramachandra, P.; Alfredsson, S.; Brunstrom, A. LTE as a Road Toward 5G: QoS Analysis in Mobility Scenario Using the Monroe Platform. In Proceedings of the 2019 IEEE Wireless Communications and Networking Conference (WCNC), Marrakesh, Morocco, 15–18 April 2019. [Google Scholar]
- Xu, J.; Huang, E.; Hsieh, L.; Lee, L.H.; Jia, Q.S.; Chen, C.H. Simulation optimization in the era of Industrial 4.0 and the Industrial Internet. J. Simul. 2016, 10, 310–320. [Google Scholar] [CrossRef]
- Ormándi, T.; Varga, B. The importance of V2X simulation: An in-depth comparison of intersection control algorithms using a high-fidelity communication simulation. Veh. Commun. 2023, 44, 100676. [Google Scholar] [CrossRef]
- ElSawy, H.; Hossain, E. Two-Tier HetNets with Cognitive Femtocells: Downlink Performance Modeling and Analysis in a Multichannel Environment. IEEE Trans. Mob. Comput. 2014, 13, 649–663. [Google Scholar] [CrossRef]
- Tokuyama, K.; Kimura, T.; Miyoshi, N. Periodic Handover Skipping in Cellular Networks: Spatially Stochastic Modeling and Analysis. IEEE Trans. Wirel. Commun. 2024, 23, 91–103. [Google Scholar] [CrossRef]
- Mokdad, L.; Sene, M.; Boukerche, A. Call Admission Control Performance Analysis in Mobile Networks Using Stochastic Well-Formed Petri Nets. IEEE Trans. Parallel Distrib. Syst. 2011, 22, 1332–1341. [Google Scholar] [CrossRef]
- Nguyen, K.T.P.; Beugin, J.; Berbineau, M.; Kassab, M. A New Analytical Approach to Evaluate the Critical-Event Probability Due to Wireless Communication Errors in Train Control Systems. IEEE Trans. Intell. Transp. Syst. 2017, 18, 1380–1392. [Google Scholar] [CrossRef]
- Lan, H.; Tong, Y.; Seatzu, C. Crucial States Estimation in Radio Block Center Handover Using Petri Nets With Unobservable Transitions. IEEE Trans. Autom. Sci. Eng. 2022, 19, 1268–1276. [Google Scholar] [CrossRef]
- Sun, B.; Guo, Y.; Yu, Y.; Liu, J.; Ai, B.; Zhong, Z.; Sun, X.; Wang, W. Reliability Analysis of CTCS-3 Train-Ground Communication System Based on 5G-R. IEEE Trans. Veh. Technol. 2023, 72, 12927–12940. [Google Scholar] [CrossRef]
- Zheng, J.; Okamura, H.; Dohi, T. Security Evaluation of a VM-Based Intrusion-Tolerant System with Pull-Type Patch Management. In Proceedings of the 2019 IEEE 19th International Symposium on High Assurance Systems Engineering (HASE), Hangzhou, China, 3–5 January 2019. [Google Scholar]
- Alraih, S.; Nordin, R.; Shayea, I.; Abdullah, N.F.; Abu-Samah, A.; Alhammadi, A. Effectiveness of Handover Control Parameters on Handover Performance in 5G and beyond Mobile Networks. Wirel. Commun. Mob. Comput. 2022, 2022, 2266282. [Google Scholar] [CrossRef]
- Adewale, A.A.; Ekong, E.E.; Ibikunle, F.A.; Orimogunje, A.; Abolade, J. Ping-pong reduction for handover process using adaptive hysteresis margin: A methodological approach. IOP Conf. Ser. Mater. Sci. Eng. 2019, 640, 012118. [Google Scholar] [CrossRef]
- Okamura, H. JSPetriNet: A Tool That Can Analyze Markov Regenerative. 2018. Available online: https://github.com/okamumu/JSPetriNet (accessed on 1 September 2024).






















| Research Work | Approach | Analysis Metrics | Handover Direction Analysis Based on A3 Event | A3 Event Impact on UE Residence Time | Computational Efficiency Analysis |
|---|---|---|---|---|---|
| Vasudeva et al. [11] | Geometric model | HoF and HoT | ✗ | ✗ | ✗ |
| He et al. [16] | PPP + DTMC | HoF and ping-pong handover in homogeneous networks | ✗ | ✗ | ✗ |
| Zhang et al. [18] | DTMC | HoT and throughput | ✗ | ✗ | ✗ |
| Balakrishnan et al. [19] | DTMC | handover cost and interruption time | ✗ | ✗ | ✗ |
| Zhu et al. [24] | SPN + PPP | HoT & HoF | ✗ | ✗ | ✗ |
| This paper | SPN + PPP | HoF and HoT within HetNet, UE residence time by HDM | ✓ | ✓ | ✓ |
| Parameters | Value |
|---|---|
| Simulation time | 1000 s |
| Area range | 1 km × 1 km |
| The number of macro cells | 1 |
| Small-cell coverage | 100 m |
| Macro-cell output power | 46 dBm |
| Small-cell output power | 32 dBm |
| Handover margin | [] dB |
| Channel model | Rayleigh distribution |
| Path-loss factor, | 4 |
| SINR threshold | −8 dB |
| Handover decision making | A3RSRP-based |
| The number of UE | 1 |
| Average speed | 20 m/s |
| Mobility model | Direction movement |
| Parameters | Value |
|---|---|
| Transient time | 1000 s |
| The number of UE | 1 |
| 46 dBm | |
| 32 dBm | |
| Handover decision making | A3RSRP-based |
| Path-loss factor, | 4 |
| Channel model | Rayleigh distribution |
| [] dB | |
| 1 | |
| , | 1 |
| −8 dB | |
| 20 (average 0.05 ms) | |
| 2 | |
Disclaimer/Publisher’s Note: The statements, opinions and data contained in all publications are solely those of the individual author(s) and contributor(s) and not of MDPI and/or the editor(s). MDPI and/or the editor(s) disclaim responsibility for any injury to people or property resulting from any ideas, methods, instructions or products referred to in the content. |
© 2025 by the authors. Licensee MDPI, Basel, Switzerland. This article is an open access article distributed under the terms and conditions of the Creative Commons Attribution (CC BY) license (https://creativecommons.org/licenses/by/4.0/).
Share and Cite
Zhu, Z.; Zheng, J.; Takimoto, E.; Finnerty, P.; Ohta, C. Directional Handover Analysis with Stochastic Petri Net and Poisson Point Process in Heterogeneous Networks. Mathematics 2025, 13, 349. https://doi.org/10.3390/math13030349
Zhu Z, Zheng J, Takimoto E, Finnerty P, Ohta C. Directional Handover Analysis with Stochastic Petri Net and Poisson Point Process in Heterogeneous Networks. Mathematics. 2025; 13(3):349. https://doi.org/10.3390/math13030349
Chicago/Turabian StyleZhu, Zhiyi, Junjun Zheng, Eiji Takimoto, Patrick Finnerty, and Chikara Ohta. 2025. "Directional Handover Analysis with Stochastic Petri Net and Poisson Point Process in Heterogeneous Networks" Mathematics 13, no. 3: 349. https://doi.org/10.3390/math13030349
APA StyleZhu, Z., Zheng, J., Takimoto, E., Finnerty, P., & Ohta, C. (2025). Directional Handover Analysis with Stochastic Petri Net and Poisson Point Process in Heterogeneous Networks. Mathematics, 13(3), 349. https://doi.org/10.3390/math13030349

