Next Article in Journal
Mode Selection for Device to Device Communication in Dynamic Network: A Statistical and Deep Learning Method
Next Article in Special Issue
Support Vector Machines and Model Selection for Control Chart Pattern Recognition
Previous Article in Journal
An Improved Whale Optimization Algorithm for the Integrated Scheduling of Automated Guided Vehicles and Yard Cranes
Previous Article in Special Issue
A Steepest Ascent Analysis Based on an Experimental Approach for the Hardening Process of a Steel Alloy
 
 
Font Type:
Arial Georgia Verdana
Font Size:
Aa Aa Aa
Line Spacing:
Column Width:
Background:
Article

System Identification of a Servo-Valve Controlled Hydraulic Cylinder Operating Under Variable Load

by
Daniel Catalin Stroita
1,
Dorin Bordeasu
2,* and
Florin Dragan
2
1
Department of Mechanical Machines, Machinery and Transport, Faculty of Mechanical Engineering, Politehnica University of Timisoara, Bulevardul Mihai Viteazu, No. 1, 300222 Timisoara, Romania
2
Department of Automation and Applied Informatics, Politehnica University of Timisoara, Vasile Parvan, No. 2, 300223 Timisoara, Romania
*
Author to whom correspondence should be addressed.
Mathematics 2025, 13(3), 341; https://doi.org/10.3390/math13030341
Submission received: 23 December 2024 / Revised: 17 January 2025 / Accepted: 19 January 2025 / Published: 22 January 2025
(This article belongs to the Special Issue Mathematical Applications in Industrial Engineering)

Abstract

This work presents an in-depth study on the system identification of a servo-valve controlled hydraulic cylinder operating under variable load. This research addresses the growing demand for improved control systems (enhancing time response, settling time, and precision) in variable load hydraulic actuators, such as those used in blade pitching systems of wind turbines. The paper begins by detailing the experimental setup, followed by the development of the system’s mathematical model, a fourth-order transfer function (TF). The experimental data collected by a proposed data acquisition system are used for the dynamic identification of the hydraulic setup using periodical signals as commands. All possible combinations of TFs up to order 8 are identified. After an initial visual preselection of the 15 most accurate ones, analyses comparing quality indicators between the measured (experimental) and the TF (simulated) step and sinusoidal responses are conducted to determine the most accurate TF. The paper concludes with the presentation and analysis of the dynamic model, identified as being a fourth-order TF, which replicates the system dynamics with the greatest fidelity. It provides an identification methodology with significant potential for industry practitioners aiming to improve, optimize, and enhance control strategies for variable load hydraulic actuators.

1. Introduction

Renewable energy sources produced the most electrical energy within the European Union in 2023 (44.7%), with wind accounting for 19% [1]. From all the new renewable power installations in the European Union, 69 GW in 2023, the total capacity of the new wind power installations represents 25% corresponding to 17 GW. From the total installed wind power, 14 GW (82%) was installed onshore and 3 GW (18%) offshore [1]. Taking into account the European Union 2030 energy strategy which aims to reduce its greenhouse gas emissions by at least 55%, increase the share of renewable energy to at least 45% (27%) of consumption, achieve energy savings of 11.7% (27%) or more until 2020 (2050) [2] and considering the enormous potential of offshore wind, which could meet Europe’s energy demand seven times [3], it is expected that the offshore wind will become one of the main electricity generators in Europe [4].
The offshore wind turbines have many advantages compared to other sources of energy, such as low greenhouse gas emissions compared to gas and coal-powered energy and such as allowing the energy to be produced while saving land and reducing to almost zero the visual, noise, and shadow impacts compared to onshore wind turbines. The main advantage of offshore wind turbines consists of a better output due to larger turbines (up to 15–25 MW [5]), compared to the onshore wind turbines (6.03 MW [6]) and due to running with more qualitative wind (higher speed with a steady performance).
The main disadvantages of offshore wind turbines compared to the onshore ones consist of high OPEX (operating expenses) due to accessibility conditioned by the weather, increase in installation and transmission expenses as well as new issues concerning saltwater corrosion [7], and the substructure inspection in an offshore environment [4]. Further reductions in OPEX can be achieved by increasing the operational performance standards on each turbine. To optimize offshore wind energy production and reduce costs, unscheduled maintenance must be minimized and continuous operation must be ensured.
Reference [8] provides a detailed analysis of wind turbine subsystems, identifying the hydraulic pitch system as the primary contributor to overall failure rates, accounting for 13% of all failures. Auxiliary components such as lifts, ladders, and nacelle seals are grouped under ‘Other Components’, contributing 12.2% to the failure rate, while the generator, gearbox, and blades account for 12.1%, 7.6%, and 6.2%, respectively. Given the significant impact of hydraulic pitch system failures on wind turbine reliability from the above research background, this system is selected as the focus of our investigation.
The primary function of the hydraulic pitch system is to precisely control the pitch angle of the turbine blades, ensuring both safe operation and optimal power output. An inaccurate model of the hydraulic pitch system can lead to poor control performance, without allowing the wind turbine to reach its maximum power, representing the research motivation behind this work.
The objective of this paper is to identify experimentally the mathematical model of a servo-valve controlled hydraulic cylinder operating under a variable load, necessary for the proper development, analysis, and synthesis of an optimized, robust, reliable, and efficient pitch control system.
Even though many mathematical models that were developed analytically for such systems can be found in the relevant research [9,10,11], due to the complexity of pitch hydraulic systems involving resistance, delays, and nonlinear behaviors, deriving analytically their dynamic characteristics [12] from physical and structural data prove to be highly challenging and inaccurate. For example, in reference [9], although the proposed model seems to faithfully replicate the dynamic characteristics of the considered system, since it does not present an experimental validation, the accuracy of these models cannot be fully determined. In reference [10], the inaccuracy of the mathematical model parameters is solved by combining the system dynamic analysis and component technology samples. In reference [11], the inaccuracies of analytical modeling are attempted to be resolved by the control strategy (sliding mode variable structure controller and dynamic soft variable structure controller). The main contribution of the present work consists of solving the inaccuracy of the mathematical (analytical) model of the hydraulic pitching system of a wind turbine blade by obtaining it through experimental identification because the most reliable approach to obtaining the characteristics of such a system is through experimental methods.
A hydraulic stand (test rig) is used as an experimental stand to determine the dynamic properties of a wind turbine blade pitching system. The stand includes two hydraulic circuits, each one having a double rod, and a double-acting hydraulic cylinder: one controlled by a servo-valve (emulating the hydraulic actuator) and the other loaded via a pressure relief valve (emulating the variable load).
The dynamic properties were obtained using deterministic (periodic) signals as input commands for the servo-valve control (sinusoidal and rectangular signal with various amplitudes and frequencies), facilitating the derivation of frequency characteristics. These responses provide critical insights into the system’s transient and steady-state behaviors [13].
For complex systems, such as a servo-valve controlled hydraulic cylinder, dynamic identification must consider the interactions between the physical variables of each system element (servo-valve and hydraulic cylinder). The overall system is treated as an interconnected assembly, with each component exhibiting independent transient behaviors. Additionally, the inherent nonlinearity of many industrial systems must be taken into account, as parameters like amplification coefficients and time constants often vary with the operating conditions. These systems are typically described by nonlinear differential equations, where the coefficients depend on variable values [14].
The proposed data acquisition and logging system was used to determine experimentally the mathematical model (the transfer function) of the system considered. The experimental data obtained were used for the dynamic identification of all the possible combinations of TFs up to 8th order. After an initial visual preselection of the 15 most accurate TFs, three analyses were conducted to identify the most accurate one based on comparisons between the measured (experimental) and transfer function (simulated) responses. The first analysis involved comparing their fitting accuracy, the second focused on quality indicators (overshoot, rise time, response time, and settling time) derived from their step responses, and the third compared additional quality indicators (maximum and minimum amplitude and phase shift) derived from their sinusoidal responses.
The paper concludes by presenting and analyzing the dynamic model identified as a fourth-order TF (being the same order as the one developed analytically), which replicates the system dynamics with the greatest fidelity.

2. Hydraulic Stand (Test Rig)

The hydraulic stand presented in Figure 1 has been used in the current work in determining experimentally the dynamic model of a hydraulic wind turbine blade pitching system. This test rig can be found in the Hydraulic Machinery Laboratory “Aurel Barglazan” of the Mechanical Faculty from Politehnica University of Timisoara [15].
The test rig consists of two main systems, one which is the actuating system, emulating the wind turbine blade pitching system, and one emulating the loading on the wind turbine blade.
Figure 2 presents the hydraulic diagram of the test rig consisting of two main circuits, an actuating one and a loading one.
The actuating system consists of the hydraulic pump (labeled with H3), actuated by the electrical motor (labeled with H1), the pressure filter (labeled with H4), the main line pressure sensor (labeled with T5), the main pressure manometer (labeled with H6.1), the servo-valve (labeled with H7), the actuating cylinder pressure sensors (labeled with T8.1 and T8.2), the actuating cylinder (labeled with H9.1), the LVDT (Linear Variable Differential Transformer) position transducer (labeled with T10), the force transducer (labeled with T11), the flow meter (labeled with T14) and the pressure relief valve (labeled with H 15).
The pressure relief valve is set at 100 bar and when it is actuated, the pressure system can be easily checked either with the manometer (labeled with H6.1), or with the main line pressure sensor (labeled with T5) in Figure 2.
The servo-valve (labeled with H7) feeds oil to the actuating cylinder, which can be moved either to the left or right. The electrical command for the servo-valve is given from a signal generator which can generate step, sine, or triangular signals with different amplitudes and frequencies.
The pressure on either side of the actuating cylinder is measured with the pressure sensors (labeled with T8.1 and T8.2).
The flow in the actuating system is measured with the turbine flow meter (labeled with T14).
The loading system consists of the following parts: the oil feeding pump, the twin pump of the one from the actuating system, which feeds oil to the loading cylinder (labeled with H9.2), the check valves (labeled with H12.1 to H12.4) ensuring a specific oil flow path, the load pressure setting valve (labeled with H13) with the manometer (labeled with H6.2) and the check valve (labeled with H16) ensuring a pressure of 5 bar in the loading system protecting it for cavitation occurrence [16,17].
The force given by the loading system emulating the load on the blade is measured with the force transducer (labeled with T11).
The hydraulic elements of the testing rig are the following:
H1—Reservoir, which has a volume of 300 L and is equipped with a breather and oil level indicator. This has the role of storing and cooling the oil;
E2—Electrical drive motor type ATF 32M 4A with a maximum of 7.5 kW electrical power. The electric motor drives the hydraulic pumps converting the electrical power into mechanical power;
H3—Twin hydraulic gear pump with fixed displacement produced by Uzina Mecanica Plopeni type PRD22-2188D [18].
The twin hydraulic pump transforms the mechanical power at the electrical motor shaft into hydraulic power feeding both systems with oil. The main pump ensures the oil flow at a maximum pressure set by the relief valve and the second pump feeds the part that is not pressurized of the loading cylinder through the check valve system;
H4—Pressure line filter [19].
The pressure line filter has the role of feeding the system with clean oil without any contamination in it. The filter housing and all the connecting elements are designed so that pressure peaks caused by accelerated fluid volumes when the servo-valve suddenly opens can be safely handled. The filter element is made of an organic fiber that has a high filtration degree, with a 5 μm mesh, suitable for the used servo-valve;
H6.1, H6.2—Manometer.
The manometers are HansaFlex GMM 100–160 H, Class 1, with a maximum indicating pressure of 160 bar;
H7—Rexroth Servo-valve type 4WS2EM10-51/45B11ET210K31EV [20].
Rexroth servo-valve 4WS2EM10-51/45B11ET210K31EV [20] is an electrically operated, 2-stage directional servo-valve and it is mainly used in applications to control position, force, and velocity. Figure 3 presents the main components of this servo-valve: an electro-mechanical converter (torque motor) (labeled with 1 in Figure 3), a hydraulic amplifier (nozzle flapper plate principle) (labeled with 2), and a control spool (labeled with 3) in a sleeve (2nd stage), which is connected to the torque motor via a mechanical return [20].
The torque motor coils (labeled with 4) receive an electrical input signal, which generates a force acting on the armature (labeled with 5), which is connected with a torque tube (labeled with 6) creating a torque. The flapper plate (labeled with 7) which is connected to the torque tube (labeled with 6) through a pin, moves from the central position between the two control nozzles (labeled with 8), creating a pressure differential over the front faces of the control spool. This pressure differential makes the control spool move, connecting the pressure line port to one of the ports connected to the hydraulic motor (actuator); at the same time, the other hydraulic motor port is connected to the return port [20].
The control spool is connected to the flapper plate using a bending spring (mechanical return and feedback) (labeled with 9). The control spool moves until the feedback torque across the bending spring and the torque created by the torque motor are balanced and the pressure differential at the nozzle flapper plate system becomes zero [20].
The stroke of the control spool and implicitly, the flow of the servo-valve are controlled proportionally by the input signal which is given electrically. The analog input signal (command) is amplified so that the output signal actuates the servo-valve controlling the flow through it [20].
The zero flow of the valve can be calculated with Equation (1):
Q z e r o = i n l e t   p r e s s u r e   bar 70   bar · 1.2 = 100   bar 70   bar · 1.2 = 1.43 l min
the characteristic curves (measured with HLP 32, Toil = 40 °C ± 5 °C) are presented in Figure 4 and Figure 5. For more details, please check [20].
H9.1, H9.2—Double rod double acting hydraulic cylinder, CGT3MS2/40/28/300F11/B11HEUTAWF15845 [21].
Both hydraulic cylinders, the actuating cylinder and the loading one are identical and they are mechanically connected through the force transducer;
H15—Pressure relief valve, pilot operated DBW 10 BG2-52/200S6EG24N9K4R12 [22].
The pilot-operated pressure relief valve is used to set the maximum pressure in the system. Based on an analysis of the characteristic curves provided in the technical specifications [22], among other operating characteristics, the pressure variation with the flow remains nearly constant within the operating range;
H13—Pressure relief valve DBDH 10 G1A/100 [23].
The pressure relief valve 13 is used to simulate the force on the blade. It can be adjusted from 5 to 100 bars, creating a corresponding force at the cylinder. The pressure set can be seen with the manometer 6.2. Based on an analysis of the characteristic curves provided in the technical specifications [23], among other operating characteristics, the pressure variation with the flow remains nearly constant within the operating range;

3. Data Acquisition and Logging System

The block diagram from Figure 6 illustrates the main components of the data acquisition and logging system used for determining experimentally the mathematical model of the servo-valve controlled hydraulic cylinder operating under variable load, representing the blade pitch actuator of a wind turbine.
The data acquisition and logging system consists of the following parts and transducers, which are illustrated in Figure 6:
-
the servo-valve H7—Rexroth 4WS2EM10-51/45B11ET210K31EV [20];
-
the flow transducer T14—Omni RT [24];
-
the pump line pressure transducer T5—Mannesman Rexroth HM-15-1X/600 [25];
-
the cylinder left side pressure transducer T8.1—PS-200-D-G2-1;
-
the cylinder right side pressure transducer T8.2—PS-200-D-G2-1;
-
the cylinder position transducer T10—Monitran MTN/EICR150 [26];
-
the cylinder force transducer T11—Lorenz K-25 20kN [27];
-
the signal generator Tektronix CFG253 [28];
-
the data acquisition board DT9804 [29].
T14—The flow transducer Omni RT [24].
The technical specifications of the Omni RT [24] flow transducer used for measuring the system flow rate are presented in Table A1 from Appendix A.
T5—The pump line pressure transducer Mannesman Rexroth HM-15-1X/600 [25].
The technical specifications of the pump line pressure transducer Mannesman Rexroth HM-15-1X/600 (VFD) [25] are presented in Table A2 from Appendix A.
T8.1 and T8.2—Cylinder pressure transducer PS-200-D-G2-1.
The technical specifications of the pressure transducer PS-200-D-G2-1 are presented in Table A3 from Appendix A.
T10—LVDT position transducer Monitran MTN/EICR150 [26].
Table A4, of Appendix A, presents the technical specifications of the position transducer Monitran MTN/EICR150 [26].
T11—Cylinder force transducer Lorenz K-25 20kN [27].
The technical specifications of the force transducer Lorenz K-25 20kN [27] are presented in Table A5 from Appendix A.
The signal generator Tektronix CFG253 [28].
The Tektronix CFG253 [29] can produce sine, square, and sawtooth waves and TTL (Transistor–Transistor Logic) signals in a frequency range from 0.03 Hz up to 3 MHz. The function generator has a symmetry function to control the rise and fall times of sine or sawtooth waves and the duty cycles of square waves. It also has a sweep function that makes the output signal traverse a range of frequencies.
Table A6, from Appendix A, presents the technical specifications of the signal generator Tektronix CFG253.
The data acquisition board DT9804 [29].
The DT9804 [29] from Figure A1 of Appendix A, is a multifunction USB data acquisition module featuring 16 single-ended (SE)/8 differential (DIFF) inputs with 12- or 16-bit resolution, up to 100 kS/s aggregate sample rate, 16 digital I/O lines, 2 counter/timers, and optional 12- or 16-bit analog outputs, connected to a HP Gaming Pavilion—15-dk0022ns 8PK68EA.
Several experiments have been conducted in order to cover the entire operating range in terms of servo-valve signal shape (sinusoidal or rectangular), frequency (0.3 Hz, 0.45 Hz, 0.6 Hz, 0.75 Hz, and 0.9 Hz), amplitude (±2 V, ±5 V, and ±10 V) and load (pressure variation on the hydraulic cylinder acting as a load for 5 bars, 30 bars, 50 bars, and 70 bars).
The raw experimental data have been acquired using seven of the available input channels of the DT9804 and logged on MATLAB (version R2024b), the position of cylinder rod on Analog Input Channel 0, p31 on Analog Input Channel 1, p32 on Analog Input Channel 2, flow on Analog Input Channel 3, force on Analog Input Channel 4, p33 on Analog Input Channel 5 and the servo-valve command, Analog ±10 V, given by the signal generator on Analog Input Channel 6 with a sampling rate of 1000 values/second (one value/1 millisecond).
The raw value given by the position transducer (Analog ±10 V) the data logged on MATLAB is converted to corresponding physical units according to Equation (2):
P o s = a · P o s A + b
where Pos represents the extension of the hydraulic cylinder rod in mm, PosA represents the raw analog value (±10 V), a = 15.676 represents the calibration slope, and b = 0.748 represents the calibration offset (a and b coefficients being obtained by calibrating the transducer so that the value measured by it, to be the same as the cylinder piston stroke (±150 mm) and the value 0 to represents the cylinder in the middle position).
The experimental data stored in MATLAB have been filtered using a lowpass filter designed in MATLAB in order to attenuate the frequencies above the specified passband frequency (Fpass).
The upper limit of the passband frequency of the filter was chosen to be higher than the maximum frequency at which the servo-valve can make the cylinder oscillate. The maximum oscillation frequency of the cylinder is calculated considering the maximum flow rate given by the servo-valve Q = 12 L/min in the system and the maximum stroke of the cylinder (L = 0.15 m), using Equation (3):
F p a s s = 1 T = 1 L / v = 1 L / Q / S = 2.1   Hz 3   Hz
with
S = π · D 2 d 2 4 = 0.000641   m 2
where T represents the time interval during which the cylinder makes an entire stroke, v represents the cylinder’s maximum velocity, S represents the active surface of the hydraulic cylinder (S = 0.000641 m2), and D represents the diameter of the cylinder (D = 40 mm) and d representing the diameter of the rod (d = 28 mm).

4. Mathematical Model

In the current section, the mathematical model of the servo-valve controlled hydraulic cylinder operating under variable load is presented.

4.1. Servo-Valve Model

The servo-valve dynamics can be approximated with a first-order equivalent system when they operate at frequencies up to 50 Hz (ωn ≤ 50 Hz), according to Equation (5) from [30,31]:
H s = Q Δ U c = K 1 + τ · s
where Q [m3/s] is the servo-vale volumetric flow rate, ΔUc [V] is the input voltage (command) of the servo-valve, K proportional coefficient in the stationary operating regime, and τ is the servo-valve time constant.

4.2. Double Rod, Double Acting Hydraulic Cylinder

The mathematical model of the double rod, double-acting hydraulic cylinder starts from the continuity equation of the hydraulic cylinder [32]:
Q = S p · d X p d t + C t p · P L + V t 4 · E u · d P L d t
where Sp represents the cylinder active surface [m2]; Xp represents the hydraulic cylinder stroke [m]; Vt represents the active volume of the cylinder [m3]; Ctp represents the total leakage of the cylinder [m3/s]; Eu the bulk modulus of the fluid [Pa]; and PL is the differential (load) pressure between the cylinder chambers [Pa].
Applying the Laplace transform results in Equation (7):
Q = S p · X p · s + C t p + V t 4 · E u · s · P L
The piston force is expressed as [32]:
F P = S p · P L = M t · d 2 X p d t 2 + B L · d X p d t + K a · X p + F z
where FP is the force exerted by the piston [N]; Mt is the total mass (load + piston mass + road mass) [kg]; BL is the total damping factor (load + piston+ road) [N s/m]; Ka is the total stiffness [N/m]; and Fz is the perturbation force [N] being so small that can be neglected.
Applying the Laplace transform results in Equation (9):
P L = 1 S p · M t · X p · s 2 + B L · X P · s + K a · X p + F z
Combining Equations (5)–(9) results in the following equivalent transfer function (Equation (10) with its parameters presented in Equation (11)) of the entire system (the servo-valve controlled hydraulic cylinder operating under variable load):
X p Δ U c = 4 · E u · S p · K A · s 4 + B · s 3 + C · s 2 + D · s + 4 · E u · C t p · K a
with
A = V t · M t B = V t · M t + 4 · E u · C t p · τ + V t · B L · τ C = 4 · E u · C t p + V L · B L + 4 · E u · τ · S p 2 + 4 · E u · C t p · B L · τ D = 4 · E u · S p 2 + 4 · E u · C t p · B L + 4 · E u · C t p · K a · τ

5. System Identification

The system identification of the hydraulic test rig has been conducted entirely in MATLAB. Its transfer functions were identified from measured data (input–output data) by using PEM (prediction error minimization with Levenberg–Marquardt) as numerical optimization techniques to fit the mathematical model to the data with the help of the system identification toolbox from MATLAB. Even though the hydraulic test rig is a SIMO (Single Input Multiple Output) in the current paper the TF of a SISO (Single Input Single Output) system will be identified, considering the servo-valve command as input and the position (extension) of the hydraulic cylinder rod as output as depicted in the block diagram from Figure 7.
From the entire experimental data sets the TF of the SISO system is conducted on three data sets selected as the most representative (only rectangular responses were considered, due to their advantages in terms of broad frequency content, simpler time-domain, providing a clearer picture of nonlinearities in the system and more suitable for this system, where sudden changes like disturbances or commands are common):
A.
A rectangular shape signal with a frequency of 0.3 Hz, an amplitude of ±10 V, and a constant load exerted by the second hydraulic cylinder being held at a constant pressure of 50 bars (labeled as R_0.3Hz_10A_50bars);
B.
A rectangular shape signal with a frequency of 0.45 Hz, an amplitude of ±5 V, and a constant load exerted by the second hydraulic cylinder being held at a constant pressure of 50 bars (labeled as R_0.45Hz_5A_50bars);
C.
A rectangular shape signal with a frequency of 0.6 Hz, an amplitude of ±5 V, and almost no load exerted by the second hydraulic cylinder; the chamber pressure being 5 bars (labeled as R_0.6Hz_10A_5bars).
From each of the experimental data sets mentioned above, all the possible combinations of TFs with the number of zeros between 0 and 7 and the number of poles between one and eight are identified (ensuring that for each TF the number of poles is greater than the number of zeros). The TFs with the numbers of zeros and/or poles greater than seven, respectively, eight, are considered by the authors to be unusable in the industrial context.
An initial preselection of the most accurate TFs is performed based on the visual comparison between the experimentally measured response with the simulated response of the TFs (identified according to the previous paragraph). The TFs that offered significant differences in time response, delay, overshoot, settling time, settling amplitude, and damping were discarded, keeping under consideration only the following 15 TFs (Equations (12)–(26)):
T F 1 = 983.6 s 2 + 14.9 · s + 63.5
where the TF1 is a transfer function with 2 poles and 0 zero identified on the A experimental data set.
T F 2 = 15.76 · s + 741.6 s 2 + 12.03 · s + 48
where the TF2 is a transfer function with 2 poles and 1 zero identified on the A experimental data set.
T F 3 = 6366 · s + 2.567 · 10 5 s 3 + 361.6 · s 2 + 4226 · s + 1.662 · 10 4
where the TF3 is a transfer function with 3 poles and 1 zero identified on the A experimental data set.
T F 4 = 2.595 · 10 5 · s + 1.068 · 10 6 s 4 + 245.5 · s 3 + 5202 · s 2 + 3.271 · 10 4 · s + 6.976 · 10 4
where the TF4 is a transfer function with 4 poles and 1 zero identified on the A experimental data set.
T F 5 = 4960 · s 2 + 1.405 · 10 5 · s + 4.091 · 10 5 s 4 + 216.3 · s 3 + 2750 · s 2 + 1.521 · 10 4 · s + 2.622 · 10 4
where the TF5 is a transfer function with 4 poles and 2 zeros identified on the A experimental data set.
T F 6 = 10 · s 3 + 3263 · s 2 + 8.266 · 10 4 · s + 3.701 · 10 5 s 4 + 131.3 · s 3 + 1765 · s 2 + 1.088 · 10 4 · s + 2.377 · 10 4
where the TF6 is a transfer function with 4 poles and 3 zeros identified on the A experimental data set.
T F 7 = 1452 · s 3 + 4.191 · 10 4 · s 2 + 6.656 · 10 5 · s + 1.045 · 10 7 s 5 + 49.83 · s 4 + 1313 · s 3 + 2.3 · 10 4 · s 2 + 2 · 10 5 · s + 6.749 · 10 5
where the TF7 is a transfer function with 5 poles and 3 zeros identified on the A experimental data set.
T F 8 = 5483 · s 2 + 1.329 · 10 5 · s + 5408 s 4 + 100.9 · s 3 + 1813 · s 2 + 8576 · s + 273.9
where the TF8 is a transfer function with 4 poles and 2 zeros identified on the B experimental data set.
T F 9 = 7.629 · s 3 + 6185 · s 2 + 1.666 · 10 5 · s + 5634 s 4 + 118.4 · s 3 + 2230 · s 2 + 1.073 · 10 4 · s + 288
where the TF9 is a transfer function with 4 poles and 3 zeros identified on the B experimental data set.
T F 10 = 5008 · s 3 + 4.037 · 10 4 · s 2 + 9.129 · 10 4 · s + 3.532 · 10 4 s 5 + 67.01 · s 4 + 764.3 · s 3 + 3535 · s 2 + 6085 · s + 1726
where the TF10 is a transfer function with 5 poles and 3 zeros identified on the B experimental data set.
T F 11 = 25.6 · s 4 + 3008 · s 3 + 4135 · s 2 + 6.017 · 10 4 · s + 3002 s 5 + 35.97 · s 4 + 244.4 · s 3 + 952.6 · s 2 + 3811 · s + 153.5
where the TF11 is a transfer function with 5 poles and 4 zeros identified on the B experimental data set.
T F 12 = 26.63 · s 5 + 2750 · s 4 + 9344 · s 3 + 9.235 · 10 4 · s 2 + 2.852 · 10 5 · s + 3.168 · 10 4 s 6 + 34.51 · s 5 + 303.4 · s 4 + 1698 · s 3 + 8981 · s 2 + 1.842 · 10 4 · s + 1504
where the TF12 is a transfer function with 6 poles and 5 zeros identified on the B experimental data set.
T F 13 = 1.815 · 10 7 · s 3 + 4.971 · 10 6 · s 2 + 7.415 · 10 8 · s + 1.733 · 10 8 s 7 + 54.76 · s 6 + 8547 · s 5 + 2.254 · 10 5 · s 4 + 1.567 · 10 6 · s 3 + 9.314 · 10 6 · s 2 + 4.916 · 10 7 · s + 8.861 · 10 6
where the TF13 is a transfer function with 7 poles and 3 zeros identified on the B experimental data set.
T F 14 = 5486 · s 6 + 3.316 · 10 4 · s 5 + 9.952 · 10 5 · s 4 + 1.463 · 10 6 · s 3 + 2.993 · 10 7 · s 2 + 4.787 · 10 6 · s + 8.446 · 10 5 s 8 + 72.54 · s 7 + 883.5 · s 6 + 1.394 · 10 4 · s 5 + 8.256 · 10 4 · s 4 + 4.396 · 10 5 · s 3 + 1.1929 · 10 6 · s 2 + 3.3625 · 10 5 · s + 4.654 · 10 4 .
where the TF14 is a transfer function with 8 poles and 6 zeros identified on the B experimental data set.
T F 15 = 4607 · s + 39.93 s 3 + 51.14 · s 2 + 290.5 · s + 8.814 · 10 5
where the TF15 is a transfer function with 3 poles and 1 zero identified on the C experimental data set.

6. Analysis and Results

A first analysis of the selected transfer functions was made by comparing the fitting between the experimental and the TFs responses to the same inputs (the generated sinusoidal commands of the servo-valve) measured during the experiments.
Table 1 presents the average fitting between the experimental and the TFs responses to all the sinusoidal experiments.
From Table 1, it can be seen that the response of TF14 fits most all the measured responses to the sinusoidal generated inputs (84.85%), followed by TF8 (83.67%) and TF9 (83.66%). TF8 and TF9 are in the same order as the one from the mathematical model obtained in Section 4.
A second analysis of the selected TFs was made by comparing the quality indicators between the measured step response with the TF response. The quality indicators considered are the overshoot, rise time, response time, and settling time.
Table 2 presents the error between the considered quality indicators of the measured step response with the TF response.
From Table 2, it can be seen that in terms of overshoot, only TF15, TF8, TF9, and TF10 do not present any overshoot, the same as the measured response, while the other TFs present a bit of overshoot. By analyzing the error of each TF rise time and settling time, it can be seen that TF9 approaches better the measured step response in most cases (1.21%, respectively, 1.22%), followed by TF8 (1.64%, respectively, 1.65%), even if their rise time (an error of 7.05% for TF9 and an error of 7.7% TF8) is slightly higher than the measured one, compared to the response of other TFs such as TF2 (−0.49%) and TF3 (−0.62%). TF8 and TF9 are in the same order as the one from the mathematical model obtained in Section 4.
Figure 8 depicts an example of a comparison among the many comparisons made (based on which Table 2 was obtained) between the step responses of the TFs vs. the step response of the hydraulic test rig obtained experimentally.
The third analysis of the selected TFs was made by comparing other quality indicators between all the measured sinusoidal responses with the TFs’ sinusoidal response, considering the same input data. The other quality indicators considered are the maximum and minimum amplitude and the phase shift.
Table 3 presents the error between the quality indicators of the measured sinusoidal response with the TF’s sinusoidal responses.
From Table 3, it can be seen that in the average case, the transfer functions TF15, TF9 and TF8 present the smallest errors between their maximum and minimum amplitudes compared to the experimental ones in the given order: an error of 0.635% between the maximum amplitudes of TF15 and the experimental one, respectively, an error of 3.237% for the minimum amplitudes; an error of 0.623% between the maximum amplitudes of TF9 and the experimental one, respectively; an error of 3.278% for the minimum amplitudes; an error of 0.646% between the maximum amplitudes of TF8 and the experimental one, respectively; and an error of 3.284% for the minimum amplitudes. By analyzing the error between each TF response phase shift, it can be seen that TF14, TF11, TF9, and TF8 present the smallest error compared to the other TFs (an error of 0.341% for TF14, 0.492% for TF11, 0.575% for TF9 and 0.577% for TF8).
According to the results of the analysis undertaken, the TFs with the most precise, accurate, and consistent response are the transfer functions TF9 and TF8, being the same order as the one from the mathematical model obtained in Section 4.
Figure 9 depicts a comparison between the TFs’ sinusoidal responses vs. the sinusoidal response of the hydraulic test rig obtained experimentally.
The upcoming paragraphs present a comparative analysis of the characteristics of the TFs selected as the most accurate TF8 and TF9.
In Figure 10, the Bode diagrams of TF8 (a) and TF9 (b) are presented.
From Figure 10a, it can be seen that the gain margin is infinite, meaning there is no crossover frequency where the magnitude reaches 0 dB before the phase hits −180°. Suggesting that the system is robust in terms of gain variations and has no risk of instability due to excessive gain. Also, from the magnitude phase, it can be observed that at low frequencies, the magnitude is relatively constant, indicating that the system has a steady-state gain in this range and as the frequency increases, there is a clear roll-off at approximately −20 dB/decade. This behavior is typical of a system dominated by a single pole at higher frequencies. The magnitude continues to decrease as frequency increases, which is desired for rejecting high-frequency noise or disturbances.
A phase margin of 52 degrees for TF8 indicates a well-damped system with good stability characteristics. Generally, a phase margin between 45 and 60 degrees is considered acceptable for stability and reasonable transient performance. At very low frequencies, the phase starts close to 0°, indicating minimal phase lag in the system’s response, and as the frequency increases, the phase begins to drop gradually. Around the crossover frequency of 58.2 rad/s, the phase reaches approximately −128°, which aligns with the phase margin of 52° (since −180° + 52° = −128°). The phase continues to decrease beyond this point, and the system maintains a relatively smooth transition, characteristic of a system without excessive poles or zeros in the right half-plane.
Based on the Bode diagram of TF8, it can be concluded that the system is stable and has a robust phase margin, meaning it can handle variations in gain without becoming unstable. The phase margin of 52 degrees ensures that the system is not prone to oscillations and can maintain stability even if there are minor changes in system parameters.
Regarding the transient response of TF8, because of the 52-degree phase margin, the system should have a moderate transient response, with minimal overshoot and good damping. This suggests that the system can handle input changes smoothly without excessive oscillations or delay.
The roll-off in the magnitude plot implies good attenuation of high-frequency signals, making the system effective at filtering out high-frequency noise.
From Figure 10b, it can be seen that TF9 has a gain margin is 21.6 dB at a frequency of 277 rad/s. This indicates that the system can tolerate a 21.6 dB increase in gain before becoming unstable. A positive gain margin like this suggests that the system has a reasonable buffer against gain variations. At low frequencies, the magnitude remains relatively constant, indicating steady-state gain behavior in this region, and as the frequency increases, the plot shows a roll-off that begins at a rate of −20 dB/decade, suggesting a system dominated by a single pole. This behavior continues until it transitions into higher frequencies, where the magnitude decreases more sharply.
The phase margin is 51.4 degrees at a frequency of 59.5 rad/s. This value is very close to the generally acceptable range of 45 to 60 degrees, indicating good stability and a well-damped system response. The phase starts around 0° at very low frequencies, indicating minimal phase lag for low-frequency inputs and the phase drops progressively, and around 59.5 rad/s, it reaches approximately −128.6° (consistent with a phase margin of 51.4° since −180° + 51.4° = −128.6°), as the frequency continues to increase, the phase further decreases, approaching −180° but never quite reaching that point within the frequency range shown.
Based on the Bode diagram of TF9, it can be concluded that with a gain margin of 21.6 dB and a phase margin of 51.4 degrees, the system is stable and has a reasonable level of robustness. It can withstand some variations in system parameters without becoming unstable.
Regarding the transient response of TF9, a phase margin of 51.4 degrees suggests that the system will have moderate overshoot and good damping. The system should respond to inputs without excessive oscillations and should settle relatively quickly.
The roll-off characteristics are beneficial for filtering out high-frequency disturbances.
Finally, it can be concluded that both TFs represent stable and well-damped systems, with phase margins around 51–52 degrees, providing adequate transient performance. TF8 is more robust in terms of gain variations due to its infinite gain margin while TF9 being also robust, has a finite gain margin of 21.6 dB, making it less tolerant to gain changes. Due to this reason, from the analysis of the Bode diagrams of both TFs (TF8 and TF9), TF8 is preferable because it has higher robustness matching the robustness of the hydraulic setup and a simpler control structure.
In Figure 11, the pole-zero maps of TF8 (a) and TF9 (b) are presented.
From Figure 11a, it can be seen that all four poles (marked with “x” at the following values p1 = −79.3952, p2 = −13.4756; p3 = −7.9618; p4 = −0.0322) are located in the LHP (left half plane), indicating a stable system with some placed relatively far from the origin and others closer to it. The poles closest to the origin are the dominant poles, governing the overall transient response of the system representing slower dynamics, while the poles further from the origin represent faster dynamics that decay quickly and do not significantly influence the long-term behavior of the system. The two zeros (marked with “0” at the following values 01 = −24.2071 and 02 = −0.0407) indicate frequencies where the system output will have a reduced or no response. Zeros have a significant impact on shaping the frequency response, potentially adding phase lead or lag, depending on their location. Because the zeros are close to the origin or on the left half-plane, they improve response speed or reduce steady-state errors.
From Figure 11b, it can be seen that the poles of TF9 (p1 = −96.3721, p2 = −14.0994; p3 = −7.8553; p4 = −0.0270) are almost the same as the ones of TF8, leading to the same dynamics of the system. Regarding the zeros of TF9, the first two are almost the same (01 = −26.0582 and 02 = −0.0339), apart from the third zero (03 = 836.8597) located in the RHP (right half plane, far away from the origin) that affects the transient response and steady-state performance, introducing phase shifts or affecting the overall system dynamics. The zero from RHP far away from the origin may not significantly impact the system’s behavior at low frequencies but could influence high-frequency response or phase characteristics.
Finally, introducing the third zero (located in the RHP far away from the origin) makes the response of the system slower and affects the system’s steady-state behavior. This zero has a more pronounced effect on the overall system dynamics, particularly at higher frequencies. Overall, the dynamics of TF8 fit better than the dynamics of the hydraulic setup.
Figure 12 illustrates a comparison between the Nyquist diagrams of TF8 (depicted by the blue line) and TF9 (depicted by the blue line), with arrowheads indicating the direction of the two branches: negative (−∞ to 0) and positive (0 to ∞). The red marker (“+”) indicates the point (−1, 0).
From Figure 12, it can be concluded that both TFs are stable and behave similarly; TF8 may be a little more sensitive to external disturbances due to its slightly larger Nyquist contour while TF9 seems to offer a more conservative response, potentially providing better robustness in practical scenarios.

7. Conclusions

In conclusion, the results obtained in this study recommend that the hydraulic stand described in Section 2, together with the data acquisition and logging system developed and proposed in Section 3, be used for the experimental identification, testing, or validation of models and control strategies for the wind turbine blade pitching system.
The hydraulic system used in this paper replicates with remarkable fidelity the operational characteristics of the blade pitching systems currently used in industrial wind turbines, considering also the variable load on it, performed through the loading system. The loading system is protected against cavitation occurrence [16,17] through a pressurized system composed of a feeding pump and a check valve system.
The data acquisition and logging system proved versatile and efficient in experimental identification and determining the performance of control strategies. Its adaptability allows for the inclusion of additional transducers or sensors [33], extending its applicability to a wide range of dynamic systems.
The main contribution of the current research consists of the experimental identification methodology presented in Section 5, which offers improved precision, reliability, and efficiency over traditional analytical approaches. This method identified 15 transfer functions of varying complexity (various poles and zeros), with transfer functions TF8 and TF9 being the most accurate based on quality indicators such as overshoot, rise time, settling time, phase shift, and amplitude. The mathematical model proposed in Section 4 is confirmed by the experimental identification, being in the same order as the one experimentally identified (same poles, different zeros), meaning that the mathematical (analytical) model is recommended when identification is not possible.
Both TF8 and TF9 exhibit stable and well-damped responses, as confirmed by Bode, pole-zero, and Nyquist analyses, but based on system dynamics, TF8 aligns more closely with the actual wind turbine blade pitching system behavior.
This experimental identification method is recommended for relatively low-order systems (≤8), as the identification time increases exponentially with the increase in the model order. Furthermore, the quality of the data used (particularly how effectively it is filtered) has a significant impact on the accuracy of the identified model.
In future research, for further enhancing the hydraulic stand capability for dynamic testing and validation, the pressure relief valve (H13—DBDH 10 G1A/100) will be replaced with a proportional pressure relief valve, in order to emulate a real-time loading profile exerted by the wind on the wind turbine blades.

Author Contributions

Conceptualization, D.C.S. and D.B.; methodology, D.C.S. and D.B.; software, D.B.; validation, D.C.S., D.B. and F.D.; formal analysis, D.C.S., D.B. and F.D.; investigation, D.C.S., D.B. and F.D.; resources, D.C.S.; data curation, D.C.S., D.B. and F.D.; writing—original draft preparation, D.C.S., D.B. and F.D.; writing—review and editing, D.C.S., D.B. and F.D.; visualization, D.C.S. and D.B.; supervision, F.D.; project administration, D.C.S., D.B. and F.D.; funding acquisition, D.C.S. All authors have read and agreed to the published version of the manuscript.

Funding

This research received no external funding.

Data Availability Statement

The original contributions presented in this study are included in the article. Further inquiries can be directed to the corresponding author.

Conflicts of Interest

The authors declare no conflicts of interest.

Appendix A

Table A1. The flow transducer Omni RT technical specifications [24].
Table A1. The flow transducer Omni RT technical specifications [24].
Technical PropertiesValuesUnit
Supply voltage+18 to +30VDC
Power consumption<1W
Measuring range0.8…8m3/h
Measurement accuracy+/−1%
Medium temperature−20…+85°C
Ambient temperature−20…+70°C
Storage temperature−20…+80°C
Max. particle size 0.5mm
Pressure loss at Qmax0.3Bar
Analog output 4…20mA
Protection to DIN 40 050IP 67-
Table A2. The pump line pressure transducer Mannesman Rexroth HM-15-1X/600 technical specifications [25].
Table A2. The pump line pressure transducer Mannesman Rexroth HM-15-1X/600 technical specifications [25].
Technical PropertiesValuesUnit
Operating voltage+10 to +30V
Current consumption I max10mA
Measuring range0…600Bar
Over-load protection900Bar
Burst pressure2000 Bar
Dead volume Vapprox. 450mm3
Output signal4 to 20 (2 conductors)mA
Temperature compensation
Zero point type≤0.08%/10 K; max. ≤ 0.15%/10 KK
Range type≤0.08%/10 K; max. ≤ 0.15%/10 KK
Linearity tolerance type≤0.1% 1; max. ≤ 0.3% 1 (from 100 bar max. ≤ 0.2%)%
Hysteresis type≤0.05% 1; max. ≤ 0.1% 1%
Repeatability≤0.05% 1%
Rise timet ≤ 0.5 msms
Long-term drift (6 months):
Zero signal≤0.1% 1%
Range≤0.1% 1%
Ambient conditions
Nominal temperature rangeϑ −25 to +85 °C°C
Operating temperature rangeϑ −40 to +85 °C°C
Storage temperature rangeϑ −40 to +100 °C°C
Medium temperature rangeϑ −40 to +100 °C°C
EMC compatibility to IEC 801-4 Shockseverity class 3
500
-
g/ms
Vibration resistance to IEC 68-2-6 (at 10 to 500 Hz) 20 g
Protection to DIN 40 050 IP 65
Table A3. The cylinder pressure transducer PS-200-D-G2-1.
Table A3. The cylinder pressure transducer PS-200-D-G2-1.
Technical PropertiesValuesUnit
Supply voltage+18 to +36VDC
Measuring range0…200Bar
Operating temperature−10…+85°C
Accuracy+/−5%
Table A4. The LVDT position transducer Monitran MTN/EICR150 [26].
Table A4. The LVDT position transducer Monitran MTN/EICR150 [26].
Technical PropertiesValuesUnit
Linearity<5% of full strokemm
Measuring range+/−150 mm
Operating temperature−30…+85°C
Accuracy+/−5mm
Output4…20mA
Table A5. The force transducer Lorenz K-25 20kN [27].
Table A5. The force transducer Lorenz K-25 20kN [27].
Technical PropertiesValuesUnit
Nominal force Fnom20kN
Accuracy class compression force or tension force0.1% Fnom
Accuracy class compression force and tension force0.2% Fnom
Rel. repeatability error in unchanged mounting Position brg0.08% Fnom
Relative creep<±0.06% Fnom/30 min
Rated characteristic value Cnom2.00 ± 0.1%mV/V
Input/output resistance Re/Ra350Ω
Insulation resistance Ris>2 × 109Ω
Rated range of excitation voltage BU,nomnom 2…12VDC
Reference temperature Tref23°C
Rated temperature range BT,nom−10…70°C
Operating temperature range BT,G−30…80°C
Storage temperature range BT,S−50…95°C
Temperature effect on zero signal TK0±0.04% Fnom/10 K
Temperature effect on characteristic value TKC±0.12% Fnom/10 K
Maximum operating force FG130% Fnom
Force limit FL150% Fnom
Breaking force FB>300% Fnom
Permissible oscillation stress Frb70% Fnom
Lateral force resistance50% Fnom
Rated displacement Snom<0.25mm
Preferential directionTension direction
MaterialStainless steel
Table A6. The signal generator Tektronix CFG253 [28].
Table A6. The signal generator Tektronix CFG253 [28].
CharacteristicsMeasurement
OutputsSquare wave, sine wave, sawtooth wave, TTL pulse, and sweep functions for all outputs
Line Voltage at 50–60 HzRange 90 to 110, 108 to 132, 198 to 242, and 216 to 250 VAC
Frequency ranges, nonskewed
waveform (Freq/1)
0.3–3000 Hz
Frequency ranges,
skewed waveform (Freq/10)
0.03–300,000 Hz
Frequency multiplierVariable 0.3 to 3.0 times the selected frequency range
Frequency/1 dial accuracy±5% of full scale of frequency/1
Frequency/10 dial accuracy±5% of full scale of frequency/10
Sine wave distortion<1% from 10 Hz to 100 kHz
Sawtooth linearity20 Hz to 200 kHz_99%
200 kHz to 3 MHz_97%
Square response<100 ns rise/fall time maximum output into 50 Ω load
Main output amplitudeTwo ranges:
0…20 V peak to peak;
0…2 V peak to peak.
Impedance50 Ω ± 10%
DC offset<−10 V to >+10 V (open circuit), and
<−5 V to >+ 5 V (into 50 Ω load)
Duty cycle5:1 minimum duty cycle change
(50% at Center:Cal position), with symmetry button (Freq 10) pushed in
Sweep rate Continuously variable from 0.5 to 50 Hz
Sweep width Variable from 1:1 to 100:1
Figure A1 presents the block diagram of the data acquisition board DT9804 [29].
Figure A1. Data acquisition board DT9804 block diagram [29].
Figure A1. Data acquisition board DT9804 block diagram [29].
Mathematics 13 00341 g0a1

References

  1. Dolge, K.; Blumberga, D. Transitioning to Clean Energy: A Comprehensive Analysis of Renewable Electricity Generation in the EU-27. Energies 2023, 16, 6415. [Google Scholar] [CrossRef]
  2. Brodny, J.; Tutak, M. Assessing the energy security of European Union countries from two perspectives—A new integrated approach based on MCDM methods. Appl. Energy 2023, 347, 121443. [Google Scholar] [CrossRef]
  3. Bordeaşu, D.; Proştean, O.; Vaşar, C.; Debeş, A. Load Comparison Between Two Controlling Strategies for Wind Energy Conversion System Power-Boosting. In Proceedings of the 2022 IEEE 16th International Symposium on Applied Computational Intelligence and Informatics (SACI), Timisoara, Romania, 25–28 May 2022; pp. 45–50. [Google Scholar] [CrossRef]
  4. Gancedo, J. Cost Analysis of Offshore Wind Turbine Support Structures-Monopile and Jacket; University of Strathclyde: Glasgow, Scotland, 2011; p. 177. [Google Scholar]
  5. Barter, G.E.; Sethuraman, L.; Bortolotti, P.; Keller, J.; Torrey, D.A. Beyond 15 MW: A cost of energy perspective on the next generation of drivetrain technologies for offshore wind turbines. Appl. Energy 2023, 344, 121272. [Google Scholar] [CrossRef]
  6. Fakhry, P.; Salem, S.; Tokhi, M.O.; Fang, D. Robust structural control of onshore wind turbines using MR dampers. In Proceedings of the Prognostics and Health Management Conference (PHM), Paris, France, 31 May–2 June 2023; pp. 300–306. [Google Scholar] [CrossRef]
  7. Uțu, I.-D.; Hulka, I.; Kazamer, N.; Constantin, A.T.; Mărginean, G. Hot-Corrosion and Particle Erosion Resistance of Co-Based Brazed Alloy Coatings. Crystals 2022, 12, 762. [Google Scholar] [CrossRef]
  8. Carroll, J.; McDonald, A.; McMillan, D. Failure rate, repair time and unscheduled O&M cost analysis of offshore wind turbines. Wind Energy 2016, 19, 1107–1119. [Google Scholar]
  9. Dindorf, R. Dynamic Modeling and Simulation of a Discrete Incremental Hydraulic Positioning System Controlled by Binary Valves. Appl. Sci. 2024, 14, 2973. [Google Scholar] [CrossRef]
  10. Jiang, W.; Jia, P.; Yan, G.; Chen, G.; Ai, C.; Zhang, T.; Liu, K.; Jia, C.; Shen, W. Dynamic Response Analysis of Control Loops in an Electro-Hydraulic Servo Pump Control System. Processes 2022, 10, 1647. [Google Scholar] [CrossRef]
  11. Gao, B.; Zhang, W.; Zheng, L.; Zhao, H. Research on High-Precision Position Control of Valve-Controlled Cylinders Based on Variable Structure Control. Machines 2023, 11, 623. [Google Scholar] [CrossRef]
  12. Stroita, D.C.; Barglazan, M.; Manea, A.S.; Balasoiu, V. Double-flux water turbine dynamics. In Proceedings of the Annals of DAAAM and Proceedings of the International DAAAM Symposium, Trnava, Slovakia, 22–25 October 2008; pp. 1325–1326. [Google Scholar]
  13. Stroita, D.C. Identificarea Dinamica a Turbinelor cu Dublu Flux. Ph.D. Thesis, Politehnica University of Timisoara, Timișoara, Romania, 2009. [Google Scholar]
  14. Eykhoff, P. System identification: Parameter and State Estimation; John Wiley & Sons: London, UK, 1974. [Google Scholar]
  15. Stroita, D.C.; Manea, A.S. Frequency modelling and dynamic identification of cross-flow water turbines. Therm. Sci. 2022, 26, 1665–1674. [Google Scholar] [CrossRef]
  16. Istrate, D.; Sbârcea, B.-G.; Demian, A.M.; Buzatu, A.D.; Salcianu, L.; Bordeasu, I.; Micu, L.M.; Ghera, C.; Florea, B.; Ghiban, B. Correlation between Mechanical Properties—Structural Characteristics and Cavitation Resistance of Cast Aluminum Alloy Type 5083. Crystals 2022, 12, 1538. [Google Scholar] [CrossRef]
  17. Mitelea, I.; Bordeașu, I.; Frant, F.; Uțu, I.-D.; Crăciunescu, C.M.; Ghera, C. Cavitation Erosion Characteristics of the EN AW-6082 Aluminum Alloy by TIG Surface Remelting. Materials 2023, 16, 2563. [Google Scholar] [CrossRef]
  18. Gear Pumps Technical Specifications. Available online: https://www.hidraulica-ph.ro/produse/pmrd/detalii/assets/carcat_prd.pdf (accessed on 21 November 2024).
  19. Pressure Filters for Installation in Pressure Lines Type ABZFD. Available online: https://static.mercateo.com/93/986f0946fb5c4a09a9ec8ea992d97080/pdf/boschrexroth-re50076.pdf?v=1 (accessed on 21 November 2024).
  20. Bosch Rexroth AG. Directional Servo-Valve in 4-Way Design. Available online: https://store.boschrexroth.com/Hydraulics/Valves/Directional-valves/Directional-servo-valves/SERVO-DIRECTIONAL-VALVE_R900772317?cclcl=en_US (accessed on 21 November 2024).
  21. Cilindri CGT. Available online: https://www.kanflu.com/assets/PDFs/CDT3-CYLINDERS.pdf (accessed on 21 November 2024).
  22. Bosch Rexroth AG. Pressure Relief Valve, Pilot Operated. Available online: https://www.kanflu.com/assets/PDFs/PRESSURE-RELIEF-DB-and-DBW-10-32-PILOT-OPERATED-RE25802.pdf (accessed on 21 November 2024).
  23. Bosch Rexroth AG. Pressure Relief Valve, Direct Operated. Available online: https://docs.rs-online.com/778c/0900766b80061997.pdf (accessed on 21 November 2024).
  24. Flow Transmitter/Switch OMNI-RT. Available online: http://orangetech.com.tn/wp-content/uploads/2013/12/pi-ho-ftu-omni-rt_e1.pdf (accessed on 21 November 2024).
  25. Rexroth Hydraulics. Pressure Transducer Types HM 14 and HM 15. Available online: https://static.mercateo.com/08/986f0946fb5c4a09a9ec8ea992d97080/pdf/boschrexroth-re29932.pdf?v=16 (accessed on 21 November 2024).
  26. Economy Displacement Transducers. Available online: https://aesensors.nl/assets/uploads/2015/07/AEsensors_LDVT_02_Economy.pdf (accessed on 21 November 2024).
  27. Lorenz Messtechnik GmbH. Tension and Compression Force Sensor K-25 with Nominal Force from 0.02 … 50 kN and Nominal Load from 2 … 5000 kg. Available online: https://www.lorenz-messtechnik.de/pdfdatbl/f/080815c_k-25_en.pdf (accessed on 21 November 2024).
  28. Tektronix “User Manual CFG253 3 MHz Function Generator”. Available online: https://download.tek.com/manual/070836204.pdf (accessed on 21 November 2024).
  29. Data Translation, Measurement Computing Corporation. DT9800 Series Isolated, Multifunction USB Data Acquisition Modules. Available online: https://files.digilent.com/datasheets/DT9800-Series-Datasheet.pdf (accessed on 21 November 2024).
  30. Balasoiu, V.; Cristian, I.; Bordeasu, I. Echipamente si Sisteme Hidraulice de Actionare si Automatizare; Editura Orizonturi Universitare: Timisoara, Romania, 2008; Volume 2, pp. 480–483. [Google Scholar]
  31. Merritt, H.E. Hydraulic Control Systems; Wiley: Hoboken, NJ, USA; John Wiley & Sons, Inc: New York, NY, USA, 1991; pp. 212–216. [Google Scholar]
  32. Manring, N.D.; Fales, R.C. Hydraulic Control Systems, 2nd ed.; Wiley: Hoboken, NJ, USA; John Wiley & Sons, Inc: New York, NY, USA, 2020; pp. 295–311. [Google Scholar]
  33. Constantin, A.T.; Lazar, G.I.; Nicoara, S.V. Water quality monitoring sensors optimum location in a metropolitan supply network. Rev. Chim. 2020, 71, 327–334. [Google Scholar] [CrossRef]
Figure 1. The test rig emulating the wind turbine blade pitching system.
Figure 1. The test rig emulating the wind turbine blade pitching system.
Mathematics 13 00341 g001
Figure 2. Hydraulic diagram of the test rig.
Figure 2. Hydraulic diagram of the test rig.
Mathematics 13 00341 g002
Figure 3. Rexroth servo-valve type 4WS2EM10-51/45B11ET210K31EV elements [20].
Figure 3. Rexroth servo-valve type 4WS2EM10-51/45B11ET210K31EV elements [20].
Mathematics 13 00341 g003
Figure 4. Flow/load function with 100% command value signal (tolerance ± 10%) [20], the characteristic of the servo-valve type used in the stand is labeled with 5 (highlighted in red).
Figure 4. Flow/load function with 100% command value signal (tolerance ± 10%) [20], the characteristic of the servo-valve type used in the stand is labeled with 5 (highlighted in red).
Mathematics 13 00341 g004
Figure 5. Transition function with step response without flow [20].
Figure 5. Transition function with step response without flow [20].
Mathematics 13 00341 g005
Figure 6. Block diagram of the data acquisition and logging system.
Figure 6. Block diagram of the data acquisition and logging system.
Mathematics 13 00341 g006
Figure 7. Block diagram of the generated input and measured output data.
Figure 7. Block diagram of the generated input and measured output data.
Mathematics 13 00341 g007
Figure 8. The transfer functions step responses vs. the step response of the hydraulic test rig obtained experimentally.
Figure 8. The transfer functions step responses vs. the step response of the hydraulic test rig obtained experimentally.
Mathematics 13 00341 g008
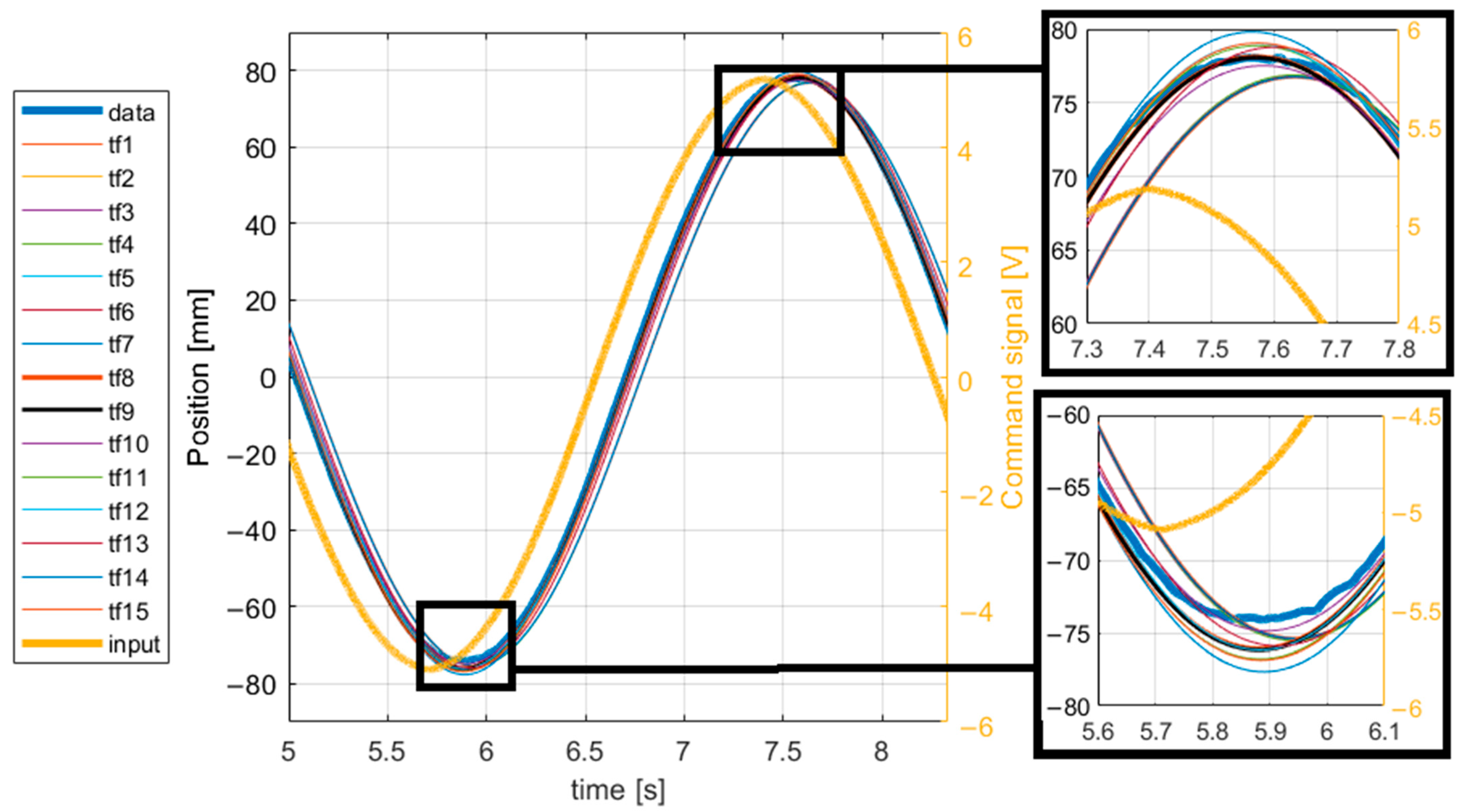
Figure 9. The transfer functions sinusoidal responses vs. the sinusoidal response of the hydraulic test rig obtained experimentally.
Figure 9. The transfer functions sinusoidal responses vs. the sinusoidal response of the hydraulic test rig obtained experimentally.
Mathematics 13 00341 g009
Figure 10. Bode diagrams of (a) TF8.; (b) TF9.
Figure 10. Bode diagrams of (a) TF8.; (b) TF9.
Mathematics 13 00341 g010
Figure 11. Pole-zero maps of (a) TF8.; (b) TF9.
Figure 11. Pole-zero maps of (a) TF8.; (b) TF9.
Mathematics 13 00341 g011
Figure 12. Nyquist diagram of TF8 and TF9.
Figure 12. Nyquist diagram of TF8 and TF9.
Mathematics 13 00341 g012
Table 1. Results of the fitting analysis on the transfer functions’ response to the sinusoidal input signals data sets.
Table 1. Results of the fitting analysis on the transfer functions’ response to the sinusoidal input signals data sets.
Transfer FunctionFitting
TF170.43%
TF270.50%
TF370.46%
TF470.08%
TF569.43%
TF669.50%
TF769.09%
TF883.67%
TF983.66%
TF1083.20%
TF1183.57%
TF1282.04%
TF1380.48%
TF1484.85%
TF1583.48%
Table 2. Error between the quality indicators of the measured step response with the transfer function response.
Table 2. Error between the quality indicators of the measured step response with the transfer function response.
Transfer
Function
OvershootRise TimeResponse TimeSettling Time
TF10.03353186260500330%12.37%4.86%12.40%
TF20.62393249155571400%8.78%−0.49%8.81%
TF30.65276996707479100%8.70%−0.62%8.73%
TF41.33961470903823000%10.19%1.78%10.22%
TF50.07777378234981290%7.87%−1.65%7.89%
TF60.04167246906108630%7.85%−1.80%7.87%
TF70.03815403136799310%11.99%2.43%12.02%
TF80.00000000000000000%1.64%7.70%1.65%
TF90.00000000000000000%1.21%7.05%1.22%
TF100.00000000000000000%73.80%114.88%73.94%
TF110.00089273709754022%4.56%60.21%33.70%
TF120.21519780470244100%11.31%129.95%86.26%
TF130.00002230307479680%38.13%54.84%38.21%
TF142.37380512845963000%8.23%16.27%18.69%
TF150.00000000000000000%11.77%22.96%11.80%
Table 3. Error between the quality indicators of the measured sinusoidal response with the transfer functions sinusoidal responses.
Table 3. Error between the quality indicators of the measured sinusoidal response with the transfer functions sinusoidal responses.
Transfer
Function
Maximum AmplitudeMinimum AmplitudePhase Shift
TF1−3.526%−0.887%2.420%
TF2−3.800%−1.158%2.411%
TF3−3.782%−1.138%2.416%
TF4−3.883%−1.229%2.488%
TF5−3.230%−0.582%2.359%
TF6−3.371%−0.727%2.356%
TF7−3.647%−0.998%2.402%
TF80.646%3.284%0.577%
TF90.623%3.278%0.575%
TF101.916%4.238%0.641%
TF112.611%5.313%0.492%
TF120.959%3.366%0.705%
TF131.446%3.899%1.215%
TF14−1.599%1.172%0.341%
TF150.635%3.237%0.597%
Disclaimer/Publisher’s Note: The statements, opinions and data contained in all publications are solely those of the individual author(s) and contributor(s) and not of MDPI and/or the editor(s). MDPI and/or the editor(s) disclaim responsibility for any injury to people or property resulting from any ideas, methods, instructions or products referred to in the content.

Share and Cite

MDPI and ACS Style

Stroita, D.C.; Bordeasu, D.; Dragan, F. System Identification of a Servo-Valve Controlled Hydraulic Cylinder Operating Under Variable Load. Mathematics 2025, 13, 341. https://doi.org/10.3390/math13030341

AMA Style

Stroita DC, Bordeasu D, Dragan F. System Identification of a Servo-Valve Controlled Hydraulic Cylinder Operating Under Variable Load. Mathematics. 2025; 13(3):341. https://doi.org/10.3390/math13030341

Chicago/Turabian Style

Stroita, Daniel Catalin, Dorin Bordeasu, and Florin Dragan. 2025. "System Identification of a Servo-Valve Controlled Hydraulic Cylinder Operating Under Variable Load" Mathematics 13, no. 3: 341. https://doi.org/10.3390/math13030341

APA Style

Stroita, D. C., Bordeasu, D., & Dragan, F. (2025). System Identification of a Servo-Valve Controlled Hydraulic Cylinder Operating Under Variable Load. Mathematics, 13(3), 341. https://doi.org/10.3390/math13030341

Note that from the first issue of 2016, this journal uses article numbers instead of page numbers. See further details here.

Article Metrics

Back to TopTop