Next Article in Journal
A Comprehensive Study of Dynamical Behavior and Nonlinear Structures of the Modified α Equation
Previous Article in Journal
Numerical Simulation for the Wave of the Variable Coefficient Nonlinear Schrödinger Equation Based on the Lattice Boltzmann Method
 
 
Font Type:
Arial Georgia Verdana
Font Size:
Aa Aa Aa
Line Spacing:
Column Width:
Background:
Article

Degree Distribution of Evolving Network with Node Preference Deletion

School of Mathematical Sciences, University of Electronic Science and Technology of China, Chengdu 611731, China
*
Author to whom correspondence should be addressed.
Mathematics 2024, 12(23), 3808; https://doi.org/10.3390/math12233808
Submission received: 14 October 2024 / Revised: 14 November 2024 / Accepted: 29 November 2024 / Published: 2 December 2024

Abstract

Discussing evolutionary network models and corresponding degree distributions under different mechanisms is applied basic research in network science. This study proposes a new evolutionary network model, which integrates node preference deletion and edge reconnection mechanisms and is also an extension of the existing evolutionary network model. In order to analyze the key statistical property of the model, the steady-state distribution, we propose a Markov chain method based on the enhanced stochastic process rule (ESPR). The ESPR method makes the evolving network’s topological structure and statistical properties consistent with those observed in the natural evolution process, ensures the theoretical results of the degree distribution of the evolving network model, and overcomes the limitations of using empirical methods for approximate analysis. Finally, we verify the accuracy of the steady-state distribution and tail feature estimation of the model through Monte Carlo simulation. This work has laid a solid theoretical foundation for the future development of evolutionary network models and the study of more complex network statistical properties.

1. Introduction

The network structure is a topological structure that can effectively depict the connection between things; based on this, many real-world application studies have a theoretical research foundation, such as brain networks [1], social networks [2], etc. Compared with the static network structure in network science, the evolutionary network can not only model this basic association structure but also further study the properties of the network under dynamic evolution, such as the change in degree distribution from power law distribution to exponential distribution [3]. In today’s big data era, research based on evolutionary network models and statistical characteristics can assist researchers in inferring the real evolution mechanism of the network from the perspective of data analysis [4,5,6].
Existing studies have proposed various network evolution models based on the basic mechanisms of node and edge dynamics, and developed various methods to solve the degree distribution of these models. First, for pure growth networks involving only node additions, researchers have gradually proposed four main analysis methods in the discussion of degree distribution: mean field equation method [7,8], master equation method [9], rate equation method [10], and Markov chain method [11,12]. These methods have played a key role in developing improved models based on Barabási–Albert (BA) networks [13] and in analyzing other statistical properties of networks. For example, when nodes are added to the model, the addition and deletion of edges between nodes will also affect the degree distribution of the network, and the above method can be directly applied to the study of such models [14]; for the average nearest neighbor distribution, community size, and even the average shortest path of the network, the empirical equation method can be used for analysis [15].
In addition to the continual increase in nodes, nodes in real-world networks will also be randomly deleted. Accordingly, in pure growth networks, it is also necessary to introduce an additional node deletion mechanism, and the internal connection of the network will not only change randomly due to the addition or deletion of nodes. In addition, the network size is no longer in a linear relationship with time but a random variable. Therefore, for the simplest uniform node deletion mechanism, some studies still follow the traditional method but can only obtain approximate results of steady-state distribution rather than theoretical results in the statistical sense of this random problem [14,16,17,18]. To this end, the random process rule (SPR) method proposed by Zhang et al. effectively provides a theoretical solution for the degree distribution of evolving networks [12,19]. The SPR method aims to characterize the natural evolution process of the network by defining the transition rules of nodes so that the topological structure and statistical characteristics of the network at any given moment are consistent with the observed real-world behavior. However, when the nodes in the model are deleted with a certain preference probability, the probability of each node being selected and deleted depends on its degree; this type of network model is more universal than the case of uniform node deletion. If the above method is still used to study the degree distribution, it will involve the discussion of network degree correlation, which greatly increases the complexity of the evolution process. Some studies have barely obtained the approximate results of degree distribution by introducing prior network information, such as node life distribution [20]. In addition, some researchers have designed many random approximate algorithms from different angles to determine the degree distribution results of this evolving network [21,22,23,24,25]. Other studies on the node preference deletion mechanism often assume that network connections are unrelated [26], discuss the relationship between degree distribution and degree correlation under the node preference deletion situation [27], or combine network simulation to analyze its robustness against attacks [28,29].
In addition to simple addition and deletion, the evolution mechanism of edges in the network also involves the inheritance of the edges associated with the node after the node is deleted. The evolutionary tree model restricts the redistribution of disconnected edges to the parent node of the deleted node. By introducing additional variables and using the rate equation method for approximate analysis, the degree distribution result is obtained [30]. In the study of industrial cluster networks, when an enterprise withdraws or terminates cooperation due to weak competitiveness, other enterprises that have established cooperative relations with the withdrawn enterprise will continue to participate in the evolution of the network degree distribution. In this regard, scholars introduced the withdrawal and compensation mechanism based on the Barabási–Albert (BA) model. Then, they used the mean field method to solve the steady-state distribution of the network [31]. Similarly, some studies considered networks with uniformly deleted nodes, where the associated edges can be inherited. The final degree distribution is obtained by fitting based on experimental data [32].
In summary, in order to more fully study the statistical characteristics of different networks, discussions on more complex network evolution mechanisms and corresponding degree distribution research methods have been ongoing. However, these results still have room for further improvement. In particular, when the network involves a node preference deletion mechanism, or even further, for evolutionary network-related models with node preference deletion and edge inheritance mechanisms, there are no satisfactory theoretical research results.
The model we propose in this paper not only continues the most basic node addition and deletion in the evolutionary network but also introduces an edge reconnection mechanism after node preference deletion. Specifically, when a node is selected and deleted with probabilistic preference, the edges associated with the node can be redistributed to all other nodes in the network or preferentially connected to nodes with “similar” structural characteristics. Introducing this edge reconnection mechanism enhances the model’s ability to represent real networks and further increases the complexity of network analysis. Therefore, to address these limitations, this paper also develops a new method for studying the statistical characteristics of the model, which effectively overcomes the shortcomings of existing methods and provides a preliminary theoretical framework for analyzing the degree distribution of evolutionary networks.
The organization structure of this paper is as follows: Section 2 introduces the definition of the degree distribution of evolving networks and the principle of degree distribution solving method based on the stochastic process rule (SPR); Section 3 gives the evolving network model of this paper and designs the corresponding enhanced SPR (ESPR) method; Section 4 determines the state transition of nodes in the network according to the ESPR method; Section 5 solves the theoretical results of steady-state distribution and tail feature estimation of the model; Section 6 verifies the above theoretical results in combination with Monte Carlo simulation experiments; finally, Section 7 summarizes the research work of this paper and discusses possible future research directions.

2. Preliminaries

2.1. Definitions

Definition 1
(Degree Distribution, see [33]). Let G = < V , E > be a network, where V and E represent the sets of nodes and edges, respectively. The degree distribution of G is defined as the probability distribution of the random variable K G . For k = 0 , 1 , 2 , , N , the probability P { K G = k } is given by
P K G = k = N k N ,
where N k is the number of nodes with degree k, and N represents the total number of nodes in G.
For a network with fixed topology, its degree distribution P ( k ) is the probability that the degree value of a node is k when it is randomly selected from the network. Therefore, for evolving networks with constantly changing network structures, it is necessary to standardize the definition of their degree distribution. In independent repeated experiments simulating the evolution of a network, if the evolution results are observed multiple times at a certain moment, a series of networks with different topologies and even sizes will be obtained. Based on this fact, the time series of evolving networks can be represented by { G n t ( t ) , t 0 } , where G n t ( t ) represents a collection of networks with a size of n t and possibly different topologies as depicted in Figure 1. Unlike general random processes, n t in G n t ( t ) is also a random variable, usually following a Bernoulli distribution. For the network evolution process, two crucial statistical indicators need to be considered: the average degree distribution of the network at t and the steady-state distribution.
Definition 2
(Average Degree Distribution [34]). For the network evolution process { G n t ( t ) , t 0 } , n t is a random variable, which represents the size of the evolving network at time t. At t, P n t , i ( t ) ( i = 1 , 2 , , i m a x ) represents the probability of generating a network with size n t and topology type i, then n t i P n t , i ( t ) = 1 . K n t , i ( t ) represents the degree distribution of the corresponding network at time t, then k P { K n t , i ( t ) = k } = 1 . Let the random variable K ( t ) represent the average degree of { G n t ( t ) , t 0 } at time t, then its probability distribution is as follows:
P K ( t ) = k = n t i P n t , i ( t ) × P { K n t , i ( t ) = k } .
Definition 3
(Steady-State Degree Distribution [34]). For the network evolution process { G n t ( t ) , t 0 } , let K ( t ) represent the average degree of the network at time t. If K is a random variable, the stable distribution P { K = k } of the process { G n t ( t ) , t 0 } is defined as
P K = k = lim t + P K ( t ) = k .

2.2. Stochastic Process-Based Rule Method (SPR) (See [12,19])

In SPR, the infinite population Ω consists of an infinite number of nodes, and these nodes form networks with various topological structures by different connection relationships. The network evolution process is modeled as the continual change in the connection state between nodes in Ω = { G n t ( t ) , t 0 } , which causes the network topological structure and statistical characteristics of the evolving system to change over time. Specifically, at t = 0 , Ω represents the initial set of networks G n 0 ( 0 ) , where n 0 represents the initial number of nodes in the network. At any time, a new node is added to the network with probability p, or a node is removed with probability q = 1 p . As time t continues, this process generates an observable network time series { G n t ( t ) , t 0 } . For an infinite population Ω = { G n t ( t ) , t 0 } , the network G n t ( t ) transitions to G n t + 1 ( t + 1 ) after one step of evolution from time t to time t + 1 . This means that the state of the network at any given moment depends only on its state at the previous moment. Based on the node transition rules that define the network evolution mechanism, the degree distribution of a network evolving over time can be modeled using Markov chains. This is expressed as P ( t + 1 ) = P ( t ) P , where P ( t + 1 ) and P ( t ) represent the degree distribution at time t + 1 and time t, respectively, and P is the state transition probability matrix, defining the probability of each node transitioning from time t to time t + 1 . The method for determining the state transition matrix P is inherently defined by the specific evolution mechanism. In the case of node additions and uniform deletions, P is independent of time; see Appendix A for more details.

3. Model

3.1. Evolutionnary Rule

Combining the network evolution mechanism in the real world and the current research status, this paper considers the node preference deletion mechanism. Since the introduction of this mechanism will directly affect the difficulty of solving the model degree distribution, the probability function [35] that has been considered in the existing research is selected when determining the probability of node preference deletion.
The specific evolution mechanism of the model is as follows:
(1)
Initialization: At t = 0 , the initial network is a fully connected network with n 0 nodes, denoted as G ( 0 ) .
(2)
Growth: At t > 0 , a new node will be added to the network G ( t 1 ) with probability p > 1 2 , and the node will be connected to randomly selected m existing nodes through edges.
(3)
Preference deletion: At t > 0 , an old node will be deleted from the network G ( t ) with probability q = 1 q , and the selection probability of the deleted node is q ( k ) = 1 k v i 1 k i .
(4)
Edge reconnection: After deleting a node in the above step ( 3 ) , the edges connected to it will be randomly reconnected to other nodes in the network.
In the above steps, G ( t ) represents a network sample in all possible evolving networks G n t ( t ) at time t. As shown in Figure 1, we give a schematic diagram of the evolution process of a network sample in G 4 ( t 1 ) . When the network adds nodes with probability p from time t 1 to time t, two networks belonging to G 5 ( t ) but with different topological structures will be obtained; further, if the nodes of these two types of networks in G 5 ( t ) are deleted with probability q and the edges are randomly reconnected, several types of networks belonging to G 4 ( t + 1 ) but with different topological structures will be generated, and the corresponding proportions may also be different.

3.2. Enhanced Stochastic Process-Based Rule (ESPR)

When using the SPR method to solve the degree distribution of an evolving network, designing the corresponding node transfer rules is the basis for obtaining theoretical results. However, for evolving networks with node preference deletion, the SPR method cannot guarantee that the generation probability of various networks under the given node transfer rule will be consistent with the actual situation. Therefore, in order to obtain the theoretical degree distribution results of the evolutionary model in this paper, we propose the ESPR method based on the idea of the SPR method.
For the infinite population Ω = { G n t ( t ) , t 0 } corresponding to the evolving network, when t = 0 , Ω is a collection of infinite initial networks { G n 0 ( 0 ) } with the same topological structure. Under the setting of uniform node addition and priority deletion, as the network evolution process in Ω continues, for any t > 0 , the number of networks of various structures is still infinite, but the proportion of networks with different topological structures in G n t ( t ) is more complicated than when nodes are uniformly deleted. Therefore, in order to deal with the problem of network generation probability changing over time more effectively, the ESPR method designs conversion steps for different node types when performing node reconstruction operations. This makes the ESPR method not only applicable to the special model proposed in this article but also compatible with the SPR method.
Taking a series of networks in G i ( t ) at time t as an example, when the network performs node preference deletion from time t to time t + 1 , the specific transfer steps of nodes in Ω under the ESPR method are as follows:
Step 1:
Select α ( t ) networks with the same topology from G i ( t ) and distinguish the nodes in the network by labels. First, for each network, select a node for deletion according to probability preference, but keep the edges connected to the deleted node. Then, randomly connect these edges to other nodes in the network. Finally, put the obtained α ( t ) new networks into the set A i ( t ) , and put the α ( t ) isolated nodes into the set B i ( t ) .
Step 2:
Refer to the proportion of nodes with different labels in A i ( t ) , convert the nodes in B i ( t ) according to the corresponding proportion and put them into the set C i ( t ) .
Step 3:
Randomly select a network from A i ( t ) and select i 1 nodes with corresponding labels from the set C i ( t ) . Use these nodes to build a new network with the same topology as the selected network and put the new network into the set G i 1 ( t ) .
Step 4:
Repeat step 3 for the remaining nodes in C i ( t ) , and finally put all new networks and networks in A i ( t ) into the set G i 1 ( t ) .
Step 5:
Repeat the above steps for the remaining networks in G i ( t ) .
In ESPR, the transformation of isolated nodes not only ensures that the topological structure and corresponding statistical characteristics of the generated network at any time are consistent with the actual evolution results but also facilitates the subsequent determination of the state transition probability of each node. The specific operation steps are shown in Figure 2.

4. State Transition in ESPR

4.1. State Transition Probability

According to ESPR, if the one-step state transition rule of any node in the network from t to t + 1 is followed, after traversing all the nodes in the network, the one-step evolution process of the corresponding network can be obtained. Specifically, for any node v in any network in G n ( t ) , it has a two-dimensional state ( n , k ) , where n is the size of the network G n ( t ) , and k is the number of neighbors of the node v, that is, the degree of the node. For any moment from t to t + 1 , regardless of whether the network adds or deletes nodes, any v has two states to consider during the transition process: non-isolated and isolated. The specific node state transfer relationship is as follows (Figure 3).
The corresponding one-step state transition probabilities from t to t + 1 are as follows:
(1)
When the network size increases, the node v is in a non-isolated state:
P ( n , k ) ( n + 1 , k ) ( t ) = ( n m ) p n + 1 , ( n > m , 0 k n 1 ) P ( n , k ) ( n + 1 , k + 1 ) ( t ) = m p n + 1 , ( n > m , 0 k n 1 ) .
(2)
When the network size increases, the node v is in an isolated state:
P ( n , k ) ( n + 1 , m ) ( t ) = p n + 1 , ( n > m , 0 k n 1 ) .
(3)
When the network size decreases, the node v is in a non-isolated state:
P ( n , k ) ( n 1 , k ) ( t ) = q [ 1 q ( n , k ) ] [ q ( n , k u ) 1 q ( n , k ) ( 1 k u n 1 ) ] P ( n , k ) ( n 1 , k + 1 ) ( t ) = q [ 1 q ( n , k ) ] [ q ( n , k u ) 1 q ( n , k ) k u n 1 ] .
(4)
When the network size decreases, the node v is in an isolated state:
P ( n , k ) ( n 1 , k ) ( t ) = q q ( n , k ) { [ 1 q ( n , k ) ] P ( n , k ) ( t ) k [ 1 q ( n , k ) ] P ( n , k ) ( t ) P ( n , k ) ( n 1 , k ) ( t ) q [ 1 q ( n , k ) ] + [ 1 q ( n , k 1 ) ] P ( n , k 1 ) ( t ) k [ 1 q ( n , k ) ] P ( n , k ) ( t ) P ( n , k 1 ) ( n 1 , k ) ( t ) q [ 1 q ( n , k 1 ) ] } = n q ( n , k ) n 1 [ P ( n , k ) ( t ) P ( n , k ) ( n 1 , k ) ( t ) + P ( n , k 1 ) ( t ) P ( n , k 1 ) ( n 1 , k ) ( t ) ] ,
where q ( n , k ) represents the probability of deleting a node in state ( n , k ) in the network where v is located, in P ( n , k ) ( n 1 , k ) ( t ) ; k = 1 , 2 , , k m a x , and k m a x represents the maximum value of the node degree in the network.

4.2. State Transition Equation

For node v in the network G n ( t + 1 ) with a state of ( n , k ) , the state transition equations for different values of k from t to t + 1 are given by the one-step state transition probabilities.
(1)
For k = 0 ,
P ( n , k ) ( t + 1 ) = ( n m 1 ) p n P ( n 1 , 0 ) ( t ) + q u v q ( n + 1 , k u ) ( n k u ) n P ( n + 1 , 0 ) ( t ) + q n ( u v ) q ( n + 1 , k u ) ( n k u ) n P ( n + 1 , 0 ) ( t ) .
(2)
For 0 < k < m ,
P ( n , k ) ( t + 1 ) = ( n m 1 ) p n P ( n 1 , k ) ( t ) + m p n P ( n 1 , k 1 ) ( t ) + q [ 1 q ( n + 1 , k ) ] [ k q ( n + 1 , k u ) 1 q ( n + 1 , k ) n k u n ] P ( n + 1 , k ) ( t ) + q [ 1 q ( n + 1 , k 1 ) ] 1 n u v q ( n + 1 , k u ) k u 1 q ( n + 1 , k 1 ) P ( n + 1 , k 1 ) ( t ) + r P ( n + 1 , r ) ( t ) q ( n + 1 , r ) M ( t ) P ( n + 1 , k ) ( t ) q [ 1 q ( n + 1 , k ) ] [ u v q ( n + 1 , k u ) 1 q ( n + 1 , k ) n k u n ] + r P ( n + 1 , r ) ( t ) q ( n + 1 , r ) M ( t ) P ( n + 1 , k 1 ) ( t ) q [ 1 q ( n + 1 , k 1 ) ] 1 n u v q ( n + 1 , k u ) k u 1 q ( n + 1 , k 1 ) .
(3)
For k = m ,
P ( n , k ) ( t + 1 ) = m p n P ( n 1 , m 1 ) ( t ) + ( n m 1 ) p n P ( n 1 , m ) ( t ) + p n + q u v q ( n + 1 , k u ) n k u n P ( n + 1 , m ) ( t ) + q u v q ( n + 1 , k u ) k u n P ( n + 1 , m 1 ) ( t ) + 1 n q u v q ( n + 1 , k u ) n k u n P ( n + 1 , m ) ( t ) + 1 n u v q ( n + 1 , k u ) k u n P ( n + 1 , m 1 ) ( t ) .
(4)
For k > m ,
P ( n , k ) ( t + 1 ) = ( n m 1 ) p n P ( n 1 , k ) ( t ) + m p n P ( n 1 , k 1 ) ( t ) + q [ 1 q ( n + 1 , k ) ] [ k q ( n + 1 , k u ) 1 q ( n + 1 , k ) n k u n ] P ( n + 1 , k ) ( t ) + q [ 1 q ( n + 1 , k 1 ) ] 1 n u v q ( n + 1 , k u ) k u 1 q ( n + 1 , k 1 ) P ( n + 1 , k 1 ) ( t ) + r P ( n + 1 , r ) ( t ) q ( n + 1 , r ) M ( t ) P ( n + 1 , k ) ( t ) q [ 1 q ( n + 1 , k ) ] [ u v q ( n + 1 , k u ) 1 q ( n + 1 , k ) n k u n ] + r P ( n + 1 , r ) ( t ) q ( n + 1 , r ) M ( t ) P ( n + 1 , k 1 ) ( t ) q [ 1 q ( n + 1 , k 1 ) ] 1 n u v q ( n + 1 , k u ) k u 1 q ( n + 1 , k 1 ) .
where M ( t ) = k [ 1 q ( n + 1 , k ) ] P ( n + 1 , k ) ( t ) = n n + 1 , and r P ( n + 1 , r ) ( t ) q ( n + 1 , r ) = 1 n + 1 .

5. Theoretical Results

5.1. Steady-State Degree Distribution

According to the definition of the average degree distribution of the evolving network and the numerical calculation, we can directly obtain the transient distribution of the network at any time from the above state transfer equation. Obtaining the final stable degree distribution from the above state transfer equation requires considering the important properties of the steady-state distribution of the homogeneous Markov chain, that is, Π = Π P , where Π represents the steady-state distribution and P represents the one-step state transition probability. Due to the network model setting, when the probability of adding a node in the evolutionary mechanism is greater than the probability of deleting a node, that is, p > 1 2 , lim t + N ( t ) = + When p > 1 2 , the corresponding stable degree distribution of the evolving network should be concentrated on these networks whose scale tends to infinity. Therefore, for the state transition equation under different values of k, only t + is needed to derive the corresponding recursive equation of the steady-state distribution:
[ ( m + 1 ) p + A q k + A q q ] Π ( 0 ) = 0 ( k = 0 ) , A q k + A q q ] Π ( k ) = ( m p + A q ) Π ( k 1 ) ( 0 < k < m , k > m ) , A q k + A q q ] Π ( m ) = ( m p + A q ) Π ( m 1 ) + p ( k = m ) ,
where the parameter A is defined as A = 1 < 1 K > , < 1 K > represents the mean of the random variable 1 K , and K represents the degree of the node when the network degree distribution evolves to a stable state. Therefore, A is a constant, but it depends on the specific settings of the network model parameters m and p and the node preference deletion probability q ( k ) , which can be directly obtained by numerical calculation.
Solving the above recursive relationship can allow us to obtain the analytical solution of the stability distribution of the model in this paper as shown below:
Π ( k ) = 0 ( 0 k m ) , p ( m + 1 ) p + A q k + A q q ( k = m ) , ( A q + m p ) k m p i = m k [ ( m + 1 ) p + A q i + A q q ] ( k m ) .
Given the specific functional relationship of q ( k ) concerning k, it is easy to find that the analytical form of the steady-state distribution Π ( k ) applies to all parameters m and p. Therefore, the subsequent simulation experiments and discussions only need to focus on these two parameters.

5.2. Tail Estimation

Exploring the tail characteristics of the degree distribution in the evolving network can more easily understand the structural function of the network, help quickly extract the network’s key hub information, and evaluate the network’s robustness. Some studies have specially designed a network evolution mechanism to observe the network degree distribution curve to determine the transformation from power-law distribution to exponential distribution. In general, if the tail curve of the degree distribution decreases slowly, the network may obey the power distribution; otherwise, it obeys the exponential distribution. However, when judging the tail characteristics through images, it is difficult to ensure that the network has evolved to the extent that the degree distribution has reached a steady state. Hence, its rigor needs to be verified.
Since it can be directly determined from Equation (13) that the steady-state distribution of the model in this paper is exponential, the theoretical estimate of its tail can be directly given here:
ln Π ( k ) = ln ( A q + m p ) ( k m ) p i = m k [ ( m + 1 ) p + A q i + A q q ] = ln ( A q + m p ) ( k m ) + ln p i = m k ln [ ( m + 1 ) p + A q i + A q q ] = k ln ( A q + m p ) m ln ( A q + m p ) + ln p i = m k ln [ ( m + 1 ) p + A q i + A q q ]
where
i = m k ln [ ( m + 1 ) p + A q i + A q q ] = i = m k ln [ ( m + 1 ) p + A q q ] ( 1 + A q [ ( m + 1 ) p + A q q ] i ) = ( k m + 1 ) ln [ ( m + 1 ) p + A q q ] + i = m k ln ( 1 + A q [ ( m + 1 ) p + A q q ] i ) .
With γ = lim n + k = 1 n 1 k ln n , and lim x + ln ( 1 + 1 x ) = 1 x , the final form of ln Π ( k ) is
ln Π ( k ) = k ln ( A q + m p ) ( k m + 1 ) ln [ ( m + 1 ) p + A q q ] + o ( k ) = k ln A q + m p ( m + 1 ) p + A q q + o ( k ) .
So we can conclude that the proposed model exhibits a steady-state degree distribution with an exponential tail, characterized by Π ( k ) ( 1 + p q A q + m p ) k approximately.

6. Simulation and Analysis

To verify the validity of the analytical method adopted in this study, we compare the Monte Carlo simulation with the theoretical solution given by Equation (13) and the tail feature estimate provided by Equation (16). Specifically, first, we generate a series of simulated networks with different parameter combinations ( m , p ) , where m represents the number of edges connected to the new node and p represents the probability of adding a new node to the network; then, we compare the statistical characteristics obtained from the simulated network with the corresponding numerical calculation results to determine whether they are consistent.
In Figure 4, we compare the average steady-state degree distribution of the simulated network with the steady-state degree distribution numerically obtained using the ESPR method under the parameter combinations ( 1 , 0.6 ) , ( 2 , 0.7 ) , ( 3 , 0.8 ) , and ( 4 , 0.9 ) . As can be seen from the figure, the two sets of data under different parameter combinations coincide perfectly, verifying the correctness of the steady-state degree distribution Equation (13) that we solved. In addition, we can also observe the change in degree distribution with parameters. For different values of m, the network steady-state degree distribution has P ( k ) = 0 , k < m , which means that the minimum node degree value in the network is m. For different ( m , p ) , the value of P ( m ) is also different. In fact, it can be further verified that when the probability of adding a new node p is the same, as the number of edges connected to the new node m increases, the degree distribution tends to stabilize faster.
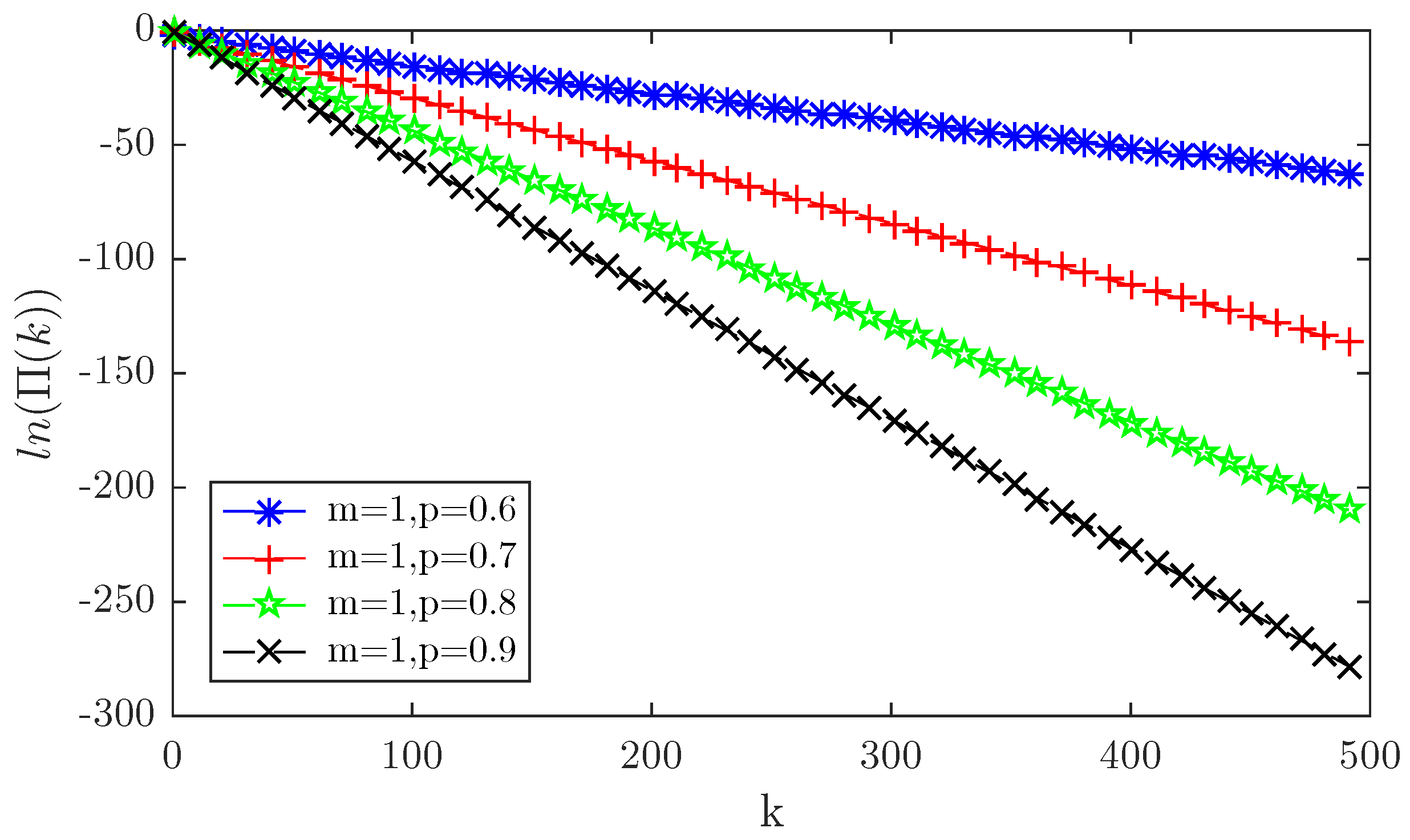
Figure 5 shows the relationship between the natural logarithm Π ( k ) of the degree distribution and the corresponding degree k, which characterizes the tail behavior of the distribution. Regardless of the value of ( m , p ) , the trend is linear, ln ( Π ( k ) ) k , indicating that the tail of the degree distribution is approximately exponential. Therefore, the degree distribution Π ( k ) decreases with increasing k, and the decay rate is slower than that of widely studied scale-free networks. This phenomenon can be attributed to our previously proposed evolutionary mechanism, which is based on the removal probability value of the degree distribution q ( k ) = 1 k i 1 k i . Nodes with fewer neighbors are more likely to be removed at any time, while the edges attached to these nodes are randomly assigned to other retained nodes whose neighbors increase or remain unchanged. Under the same value of m, the evolving network with a larger p value tends to stabilize faster. This means that a slight change in the parameters significantly impacts the degree distribution of the evolving network, which indirectly illustrates the sensitivity of this complex system of evolving networks. Similarly, this exponential tail feature can also be observed when m = 2 , 3 , 4 .
In addition, Figure 6 proves the validity of the estimate given in Equation (13), where Π ( k ) ( 1 + p q A q + m p ) k . In order to present this exponential relationship more intuitively, we directly give the estimate of Π ( k + 1 ) / Π ( k ) with respect to k under the parameter combinations ( 1 , 0.6 ) , ( 2 , 0.7 ) , ( 3 , 0.8 ) and ( 4 , 0.9 ) , namely ( 1 + p q A q + m p ) 1 . The numerical calculation results show that as k increases, the above estimate coincides with the tail under the recursive relation of the steady-state distribution, indicating that the estimate can well characterize the tail characteristics of the steady-state distribution.

7. Conclusions

Combining the existing research on the evolutionary network mechanism and the current status of the degree distribution solution, this paper proposes a new evolutionary model for the first time, that is, introducing an edge rewiring mechanism in the birth-death network with node preference deletion. Moreover, an improved ESPR method is proposed to conduct theoretical analysis on key statistical characteristics such as steady-state distribution and tail characteristics. Different from the approximate analysis in existing degree distribution research, for this type of complex problem, our discussion framework can obtain the theoretical results of the average degree distribution and steady-state distribution of the evolving network at any time. According to the derivation results, the degree distribution of the network model proposed in this paper presents an exponential distribution type. Finally, the correctness of the approximate estimation of the degree distribution tail and the effectiveness of the ESPR method are verified by simulation experiments.
It is worth mentioning that the model in this paper can be further expanded and analyzed. For example, considering the wide application of power-law distribution in reality, when new nodes in the network model in this paper are added, they are preferentially connected with other nodes, and the corresponding steady-state distribution theoretically has power-law characteristics; even the influence of the selection of preference deletion probability on the network power-law distribution can be considered at the same time, which can be applied to a more complex power-law network construction. In addition, when performing edge reconnection operations, if we consider connecting according to structurally adjacent nodes, that is, introducing the degree correlation of network nodes, it will be more helpful to explore the formation of community groups in reality. Based on the theoretical research in this article, discussing the network’s more complex statistical and dynamic characteristics will also be the focus of our future work.

Author Contributions

Conceptualization, Y.X. and X.Z.; Methodology, Y.X. and X.Z.; Software (Matlab R2016a), Y.X.; Validation, Y.X.; Writing—review and editing, Y.X.; Visualization, Y.X.; Supervision, X.Z.; Funding acquisition, X.Z.; All authors have read and agreed to the published version of the manuscript.

Funding

This research was funded by the National Natural Science Foundation of China, Grant No. 62371094.

Data Availability Statement

The authors confirm that the data supporting the findings of this study are available within the article.

Conflicts of Interest

We declare that we have no financial and personal relationships with other people or organizations that can inappropriately influence our work, there is no professional or other personal interest of any nature or kind in any product, service and/or company that could be construed as influencing the position presented in, or the review of, this paper.

Appendix A

For the evolving network process, the infinite population is denoted as Ω = { G n t ( t ) } . In SPR, for n t = n , G n ( t ) G n t ( t ) , when the network goes from t to t + 1 through node addition or uniform deletion, the state transition probability of the node can be determined according to the following operations.

Appendix A.1. Node Addition

(1)
Take out n + 1 networks with the same topological structure from G n ( t ) , randomly select one of the networks and remove all the edges between the nodes, and you will obtain n isolated nodes and n networks.
(2)
Randomly select a node from the n isolated nodes obtained in step ( 1 ) and connect it to a randomly selected network from the above n networks. Repeat this process for the other n 1 isolated nodes and networks.
(3)
Place the network reconstructed in step ( 2 ) in G n + 1 ( t ) .
(4)
Repeat the above operation for the infinite networks remaining in G n ( t ) .

Appendix A.2. Node Random Deletion

(1)
Select N networks with the same topology from G n ( t ) , where N is a function of n, randomly select a node from each network and delete it, and obtain N isolated nodes and N new networks with the same structure of n 1 .
(2)
Refer to the structure of the new network in step ( 1 ) , and reconstruct a network with the same topology using N isolated nodes.
(3)
The network obtained in step ( 1 ) ( 2 ) is classified as the new network G n 1 ( t ) at time t + 1 .
(4)
Repeat the above operation for the infinite networks remaining in G n ( t ) .

References

  1. Wu, C.L. Creative tendency with brain network efficiency: A graph theory analysis. Think. Ski. Creat. 2024, 53, 101556. [Google Scholar] [CrossRef]
  2. Liao, M.; Liu, X.; Jia, T. Characterizing temporally fragmented human activity networks in cyber space using uniform resource locator (URL) data. Int. J. Digit. Earth 2024, 17, 2295986. [Google Scholar] [CrossRef]
  3. Li, X.; Chen, G. A local-world evolving network model. Phys. A 2003, 328, 274–286. [Google Scholar] [CrossRef]
  4. Gilboa-Freedman, G.; Hassin, R. When Markov chains meet: A continuous-time model of network evolution. Stat. Probab. Lett. 2016, 116, 131–138. [Google Scholar] [CrossRef]
  5. Sheridan, P.; Yagahara, Y.; Shimodaira, H. Measuring preferential attachment in growing networks with missing-timelines using Markov chain Monte Carlo. Phys. A 2012, 391, 5031–5040. [Google Scholar] [CrossRef]
  6. Dai, B.; Mou, J.; Tan, S.; Cai, M.; Liljeros, F.; Lu, X. The role of link redundancy and structural heterogeneity in network disintegration. Expert Syst. Appl. 2024, 255, 124590. [Google Scholar] [CrossRef]
  7. Barabási, A.L.; Albert, R. Emergence of scaling in random networks. Science 1999, 286, 509–512. [Google Scholar] [CrossRef]
  8. Barabási, A.L.; Albert, R.; Jeong, H. Mean-field theory for scale-free random networks. Phys. A Stat. Mech. Its Appl. 1999, 272, 173–187. [Google Scholar] [CrossRef]
  9. Dorogovtsev, S.N.; Mendes, J.F.F.; Samukhin, A.N. Structure of growing networks with preferential linking. Phys. Rev. Lett. 2000, 85, 4633. [Google Scholar] [CrossRef]
  10. Krapivsky, P.L.; Redner, S.; Leyvraz, F. Connectivity of growing random networks. Phys. Rev. Lett. 2000, 85, 4629. [Google Scholar] [CrossRef]
  11. Shi, D.; Chen, Q.; Liu, L. Markov chain-based numerical method for degree distributions of growing networks. Phys. Rev. E Stat. Nonlinear Soft Matter Phys. 2005, 71, 036140. [Google Scholar] [CrossRef] [PubMed]
  12. Zhang, X.; He, Z.; He, Z.; Rayman-Bacchus, L. SPR-based Markov chain method for degree distributions of evolving networks. Phys. A Stat. Mech. Its Appl. 2012, 391, 3350–3358. [Google Scholar] [CrossRef]
  13. Ning, B.; Yu, X.; Hou, J.; Zhao, J. Self-organization of directed networks through asymmetric coupling. Phys. Lett. A 2010, 374, 3739–3744. [Google Scholar] [CrossRef]
  14. Laird, S.; Jensen, H.J. A non-growth network model with exponential and 1/k scale-free degree distributions. Europhys. Lett. 2006, 76, 710. [Google Scholar] [CrossRef]
  15. Tishby, I.; Biham, O.; Katzav, E.; Kühn, R. Revealing the microstructure of the giant component in random graph ensembles. Phys. Rev. E 2018, 97, 042318. [Google Scholar] [CrossRef]
  16. Moore, C.; Ghoshal, G.; Newman, M.E.J. Exact solutions for models of evolving networks with addition and deletion of nodes. Phys. Rev. E Stat. Nonlinear Soft Matter Phys. 2006, 74, 036121. [Google Scholar] [CrossRef]
  17. Saldaña, J. Continuum formalism for modeling growing networks with deletion of nodes. Phys. Rev. E Stat. Nonlinear Soft Matter Phys. 2007, 75, 027102. [Google Scholar] [CrossRef]
  18. Kong, X.X.; Hou, Z.T.; Shi, D.H.; Chen, Q.R.; Zhao, Q.G. Markov chain-based degree distributions of evolving networks. Acta Math. Sin. Engl. Ser. 2012, 28, 1981–1994. [Google Scholar] [CrossRef]
  19. Zhang, X.; He, Z.; Rayman-Bacchus, L. Random birth-and-death networks. J. Stat. Phys. 2016, 162, 842–854. [Google Scholar] [CrossRef]
  20. Kong, J.S.; Roychowdhury, V.P. Preferential survival in models of complex ad hoc networks. Phys. A Stat. Mech. Its Appl. 2008, 387, 3335–3347. [Google Scholar] [CrossRef]
  21. Tishby, I.; Biham, O.; Katzav, E. Analysis of the convergence of the degree distribution of contracting random networks towards a Poisson distribution using the relative entropy. Phys. Rev. E 2020, 101, 062308. [Google Scholar] [CrossRef] [PubMed]
  22. Hamdi, M.; Krishnamurthy, V.; Yin, G. Tracking a Markov-modulated stationary degree distribution of a dynamic random graph. IEEE Trans. Inf. Theory 2014, 60, 6609–6625. [Google Scholar] [CrossRef]
  23. Cai, K.Y.; Dong, Z.; Liu, K.; Wu, X.Y. Phase transition on the degree sequence of a random graph process with vertex copying and deletion. Stoch. Process. Their Appl. 2011, 121, 885–895. [Google Scholar] [CrossRef]
  24. Ikeda, N. Graph topology resulting from addition and deletion of nodes determined by random walk. J. Phys. Conf. Ser. 2019, 1391, 012044. [Google Scholar] [CrossRef]
  25. Vallier, T. Transition of the degree sequence in the random graph model of Cooper, Frieze, and Vera. Stoch. Models 2013, 29, 341–352. [Google Scholar] [CrossRef]
  26. Juher, D.; Saldana, J. Uncorrelatedness in growing networks with preferential survival of nodes. Phys. Rev. E Stat. Nonlinear Soft Matter Phys. 2011, 83, 016110. [Google Scholar] [CrossRef]
  27. Garcia-Domingo, J.L.; Juher, D.; Saldana, J. Degree correlations in growing networks with deletion of nodes. Phys. D 2008, 237, 640–651. [Google Scholar] [CrossRef]
  28. Rezaei, B.A.; Sarshar, N.; Roychowdhury, V.P.; Boykin, P.O. Disaster management in power-law networks: Recovery from and protection against intentional attacks. Phys. A Stat. Mech. Its Appl. 2007, 381, 497–514. [Google Scholar] [CrossRef]
  29. Bellingeri, M.; Cassi, D.; Vincenzi, S. Efficiency of attack strategies on complex model and real-world networks. Phys. A Stat. Mech. Its Appl. 2014, 414, 174–180. [Google Scholar] [CrossRef]
  30. Ben-Naim, E.; Krapivsky, P.L. Addition–deletion networks. J. Phys. A Math. Theor. 2007, 40, 8607. [Google Scholar] [CrossRef]
  31. Li, X. Study on the evolution model of industrial cluster networks from the perspective of complex networks. J. Chongqing Univ. (Soc. Sci. Ed.) 2015, 21, 1–8. [Google Scholar]
  32. Feng, M.; Li, Y.; Chen, F.; Kurths, J. Heritable deleting strategies for birth and death evolving networks from a queueing system perspective. IEEE Trans. Syst. Man Cybern. Syst. 2022, 52, 6662–6673. [Google Scholar] [CrossRef]
  33. Newman, M.E.J. The structure and function of complex networks. SIAM Rev. 2003, 45, 167–256. [Google Scholar] [CrossRef]
  34. Zhang, X.; He, Z. A more strict definition of steady state degree distribution. In Complex Sciences: First International Conference, Complex 2009, Shanghai, China, February 23–25, 2009, Revised Papers, Part 2; Springer: Berlin/Heidelberg, Germany, 2009; pp. 1322–1328. [Google Scholar]
  35. Shi, D.; Liu, L.; Zhu, S.X.; Zhou, H. Degree distributions of evolving networks. Europhys. Lett. 2006, 76, 731. [Google Scholar] [CrossRef]
Figure 1. Schematic diagram of the natural network evolution process. The network ( b ) ( c ) represents the operation of adding nodes to the network ( a ) at time t 1 , and the network ( d ) ( e ) ( f ) represents the operation of deleting nodes from the network ( b ) ( c ) and reconnecting edges at time t, finally obtaining a series of new networks ( d ) ( e ) ( f ) at time t + 1 . Although the generation probabilities of networks ( e ) and ( f ) are different, their topological structures are the same.
Figure 1. Schematic diagram of the natural network evolution process. The network ( b ) ( c ) represents the operation of adding nodes to the network ( a ) at time t 1 , and the network ( d ) ( e ) ( f ) represents the operation of deleting nodes from the network ( b ) ( c ) and reconnecting edges at time t, finally obtaining a series of new networks ( d ) ( e ) ( f ) at time t + 1 . Although the generation probabilities of networks ( e ) and ( f ) are different, their topological structures are the same.
Mathematics 12 03808 g001
Figure 2. Schematic diagram of network evolution process in SPR. According to the size of the network G 5 ( t ) , the nodes in the network are numbered from 1 to 5. A i ( t ) represents a series of new networks with different structures and probabilities obtained after the network ( a ) is preferentially deleted and the edges are reconnected; B i ( t ) represents the isolated nodes of different types and probabilities obtained after deleting nodes from the network ( a ) ; C i ( t ) represents the transformation of the probabilities of different types of isolated nodes in B i ( t ) so that networks with different topological structures and probabilities in A i ( t ) can be smoothly reconstructed. Networks ( b ) ( c ) are the possible results of the real evolution of the network. The network in A i ( t ) is consistent with the real result in terms of the topological structure and generation probability.
Figure 2. Schematic diagram of network evolution process in SPR. According to the size of the network G 5 ( t ) , the nodes in the network are numbered from 1 to 5. A i ( t ) represents a series of new networks with different structures and probabilities obtained after the network ( a ) is preferentially deleted and the edges are reconnected; B i ( t ) represents the isolated nodes of different types and probabilities obtained after deleting nodes from the network ( a ) ; C i ( t ) represents the transformation of the probabilities of different types of isolated nodes in B i ( t ) so that networks with different topological structures and probabilities in A i ( t ) can be smoothly reconstructed. Networks ( b ) ( c ) are the possible results of the real evolution of the network. The network in A i ( t ) is consistent with the real result in terms of the topological structure and generation probability.
Mathematics 12 03808 g002
Figure 3. Schematic diagram of one-step state transition process of a node from ( n , k ) at t to all possible states of t + 1 in ESPR.
Figure 3. Schematic diagram of one-step state transition process of a node from ( n , k ) at t to all possible states of t + 1 in ESPR.
Mathematics 12 03808 g003
Figure 4. Exact solution (ES) verse computer simulation (CS).
Figure 4. Exact solution (ES) verse computer simulation (CS).
Mathematics 12 03808 g004
Figure 5. The tail of degree distribution.
Figure 5. The tail of degree distribution.
Mathematics 12 03808 g005
Figure 6. Estimate of the tail of the exponent.
Figure 6. Estimate of the tail of the exponent.
Mathematics 12 03808 g006
Disclaimer/Publisher’s Note: The statements, opinions and data contained in all publications are solely those of the individual author(s) and contributor(s) and not of MDPI and/or the editor(s). MDPI and/or the editor(s) disclaim responsibility for any injury to people or property resulting from any ideas, methods, instructions or products referred to in the content.

Share and Cite

MDPI and ACS Style

Xiao, Y.; Zhang, X. Degree Distribution of Evolving Network with Node Preference Deletion. Mathematics 2024, 12, 3808. https://doi.org/10.3390/math12233808

AMA Style

Xiao Y, Zhang X. Degree Distribution of Evolving Network with Node Preference Deletion. Mathematics. 2024; 12(23):3808. https://doi.org/10.3390/math12233808

Chicago/Turabian Style

Xiao, Yue, and Xiaojun Zhang. 2024. "Degree Distribution of Evolving Network with Node Preference Deletion" Mathematics 12, no. 23: 3808. https://doi.org/10.3390/math12233808

APA Style

Xiao, Y., & Zhang, X. (2024). Degree Distribution of Evolving Network with Node Preference Deletion. Mathematics, 12(23), 3808. https://doi.org/10.3390/math12233808

Note that from the first issue of 2016, this journal uses article numbers instead of page numbers. See further details here.

Article Metrics

Back to TopTop