Temperature Time Series Prediction Model Based on Time Series Decomposition and Bi-LSTM Network
Abstract
1. Introduction
2. Materials and Methods
2.1. Data Materials
2.2. Methods
2.2.1. Time-Series Decomposition Algorithm
- Define the window size , define the step size , and set ;
- Obtain time-series fragments ;
- Initialize the change point ;
- For the time-series fragments presented in step 2, the ALLSSA algorithm is used to decompose the time-series fragments into trend, season, and residual components and ;
- If , return to step 4;
- Record the square sum of the remaining component fragments corresponding to the lowest value, denoted as and ;
- If ; return to step 2;
- Take the obtained change points as the input and apply the ALLSSA algorithm to obtain .
- Detrending: . Subtract the trend component from the original data .
- Cycle-subseries smoothing: the loess regression method is performed for the component in step 1. The sequence following the regression step is denoted as .
- Low-pass filtering: calculate the moving average of the series in step 2 three times. The lengths of the three moving averages are , , and 3. is the sample length. The loess regression method is performed on the series following the moving average. The sequence following the regression step is denoted as .
- Detrending of smoothed cycle-subseries: .
- Deseasonalizing: .
- Trend smoothing: through the regression of the sequence presented in step 5, the trend component is obtained.
- Residual component: .
2.2.2. Bidirectional Long Short-Term Memory Model
2.2.3. JUST-STL-Bi-LSTM Model
3. Results
3.1. Parameter Setting
3.2. Evaluation Criteria
3.3. Comparison of Models
3.3.1. Step Size Experiment
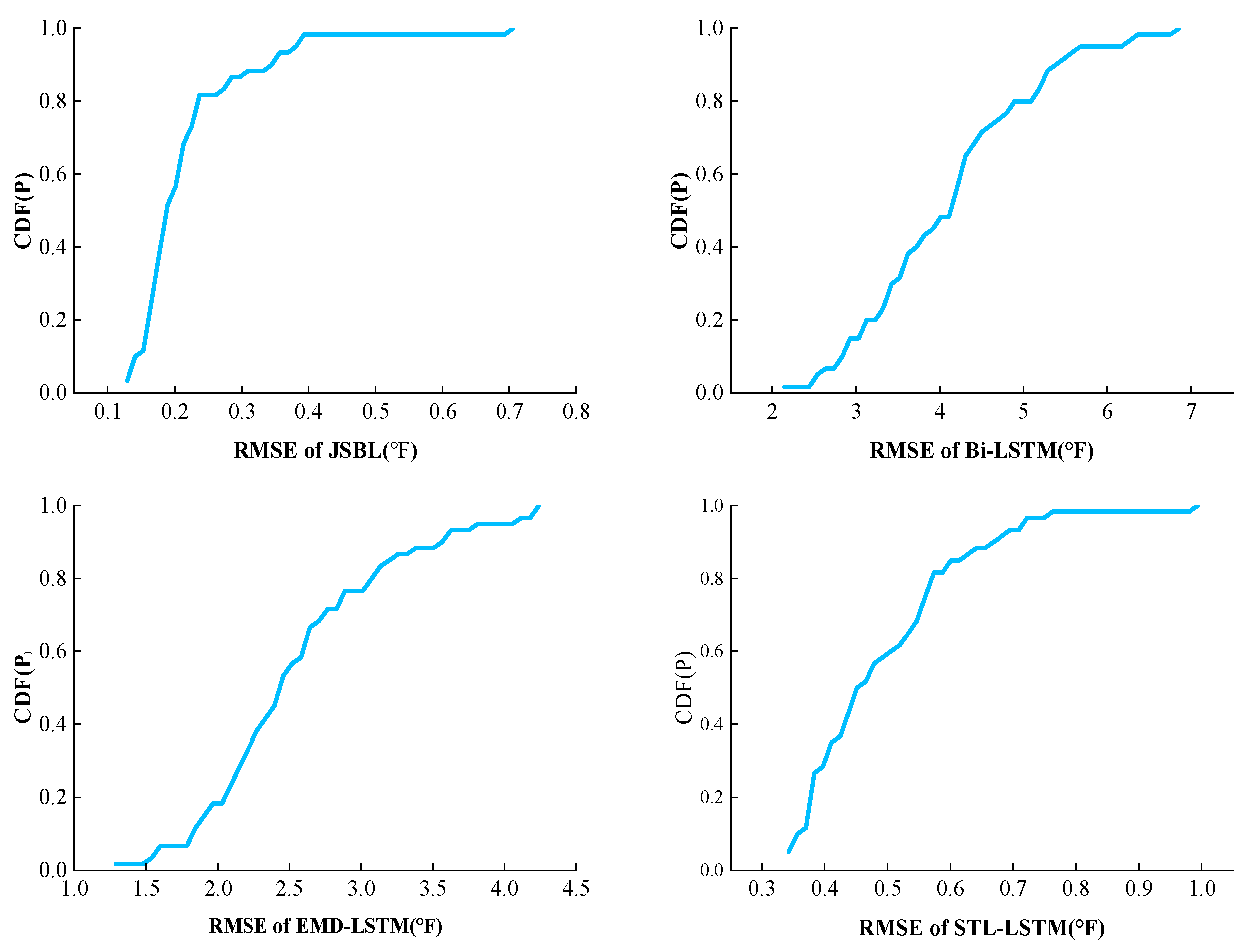
3.3.2. Model Evaluation
4. Discussion and Conclusions
Author Contributions
Funding
Data Availability Statement
Conflicts of Interest
References
- DeFries, R.S.; Field, C.B.; Fung, I.; Collatz, G.J.; Bounoua, L. Combining satellite data and biogeochemical models to estimate global effects of human-induced land cover change on carbon emissions and primary productivity. Glob. Biogeochem. Cycles 1999, 13, 803–815. [Google Scholar] [CrossRef]
- Luo, L.F.; Wood, E.F. Monitoring and predicting the 2007 U.S. drought. Geophys. Res. Lett. 2007, 34, L22702. [Google Scholar] [CrossRef]
- Farjad, B.; Gupta, A.; Sartipizadeh, H.; Cannon, A.J. A novel approach for selecting extreme climate change scenarios for climate change impact studies. Sci. Total Environ. 2019, 678, 476–485. [Google Scholar] [CrossRef] [PubMed]
- Akther, M.S.; Hassan, Q.K. Remote Sensing-Based Assessment of Fire Danger Conditions Over Boreal Forest. IEEE J. Sel. Top. Appl. Earth Obs. Remote Sens. 2011, 4, 992–999. [Google Scholar] [CrossRef]
- Gabriel, T.R.; André, A.P.S.; Viviana, C.M.; Leandro, S.C. Novel hybrid model based on echo state neural network applied to the prediction of stock price return volatility. Expert Syst. Appl. 2021, 184, 115490. [Google Scholar] [CrossRef]
- Contreras, J.; Espinola, R.; Nogales, F.J.; Conejo, A.J. ARIMA models to predict next-day electricity prices. IEEE Power Eng. Rev. 2002, 22, 57. [Google Scholar] [CrossRef]
- Ugurlu, U.; Oksuz, I.; Tas, O. Electricity Price Forecasting Using Recurrent Neural Networks. Energies 2018, 11, 1255. [Google Scholar] [CrossRef]
- Behera, R.K.; Das, S.; Rath, S.K.; Damasevicius, R. Comparative study of real time machine learning models for stock prediction through streaming data. J. Univ. Comput. Sci. 2020, 26, 1128–1147. [Google Scholar] [CrossRef]
- Chimmula, V.K.R.; Zhang, L. Time Series Forecasting of COVID-19 transmission in Canada Using LSTM Networks. Chaos Solitons Fractals 2020, 135, 109864. [Google Scholar] [CrossRef]
- Zhang, J.; Jiang, Z. A new grey quadratic polynomial model and its application in the COVID-19 in China. Sci. Rep. 2021, 11, 12588. [Google Scholar] [CrossRef] [PubMed]
- Shekhawat, S.; Saxena, A.; Zeineldin, R.A.; Mohamed, A.W. Prediction of Infectious Disease to Reduce the Computation Stress on Medical and Health Care Facilitators. Mathematics 2023, 11, 490. [Google Scholar] [CrossRef]
- Burke, M.; Hsiang, S.M.; Miguel, E. Global non-linear effect of temperature on economic production. Nature 2015, 527, 235–239. [Google Scholar] [CrossRef] [PubMed]
- Nunes, A.R. General and specified vulnerability to extreme temperatures among older adults. Int. J. Environ. Health Res. 2020, 30, 515–532. [Google Scholar] [CrossRef]
- Chen, J.L.; Li, G.; Wu, D.C.; Shen, S. Forecasting seasonal tourism demand using a multiseries structural time series method. J. Travel Res. 2019, 58, 92–103. [Google Scholar] [CrossRef]
- Ahmadi, F.; Nazeri Tahroudi, M.; Mirabbasi, R.; Khalili, K.; Jhajharia, D. Spatiotemporal trend and abrupt change analysis of temperature in Iran. Meteorol. Appl. 2018, 25, 314–321. [Google Scholar] [CrossRef]
- Meshram, S.G.; Kahya, E.; Meshram, C.; Ghorbani, M.A.; Ambade, B.; Mirabbasi, R. Long-term temperature trend analysis associated with agriculture crops. Theor. Appl. Climatol. 2020, 140, 1139–1159. [Google Scholar] [CrossRef]
- Shi, X.; Huang, Q.; Chang, J.; Wang, Y. Optimal parameters of the SVM for temperature prediction. Proc. Int. Assoc. Hydrol. Sci. 2015, 368, 162–167. [Google Scholar] [CrossRef]
- Chen, X.; Xu, A. Temperature and humidity of air in mine roadways prediction based on BP neural network. In Proceedings of the 2011 International Conference on Multimedia Technology, Hangzhou, China, 26–28 July 2011. [Google Scholar]
- Wang, X.W.; Wang, X.L.; Wang, L.; Jiang, L.J.; Zhan, Y.J. A distributed fusion LSTM model to forecast temperature and relative humidity in smart buildings. In Proceedings of the 16th IEEE Conference on Industrial Electronics and Applications, Chengdu, China, 1–4 August 2021. [Google Scholar]
- Jiang, Y.; Zhao, M.; Zhao, W.; Qin, H.; Qi, H.; Wang, K.; Wang, C. Prediction of sea temperature using temporal convolutional network and LSTM-GRU network. Complex Eng. Syst. 2021, 1, 6. [Google Scholar] [CrossRef]
- Yan, B.J.; Tang, X.Y.; Liu, B.Y.; Wang, J.; Zhou, Y.Z.; Zheng, G.P.; Zou, Q.; Lu, Y.; Tu, W.X. An improved method for the fitting and prediction of the number of COVID-19 confirmed cases based on LSTM. CMC-Comput. Mater. Contin. 2020, 64, 1473–1490. [Google Scholar] [CrossRef]
- Zhang, B.; Wang, H.; Jiang, L.; Yuan, S.; Li, M. A novel bidirectional lstm and attention mechanism based neural network for answer selection in community question answering. Comput. Mater. Contin. 2020, 62, 1273–1288. [Google Scholar] [CrossRef]
- Hassani, H.; Zhigljavsky, A. Singular spectrum analysis: Methodology and application to economics data. J. Syst. Sci. Complex. 2009, 22, 372–394. [Google Scholar] [CrossRef]
- Huo, Y.H.; Yan, Y.; Du, D.; Wang, Z.H.; Zhang, Y.X.; Yang, Y. Long-Term span traffic prediction model based on STL decomposition and LSTM. In Proceedings of the 2019 20th Asia-Pacific Network Operations and Management Symposium, Matsue, Japan, 18–20 September 2019. [Google Scholar]
- Chen, D.; Zhang, J.; Jiang, S. Forecasting the short-term metro ridership with seasonal and trend decomposition using loess and LSTM neural networks. IEEE Access 2020, 8, 91181–91187. [Google Scholar] [CrossRef]
- Chen, Q.; Wen, D.; Li, X.; Chen, D.; Lv, H.; Zhang, J.; Gao, P. Empirical mode decomposition based long short-term memory neural network forecasting model for the short-term metro passenger flow. PLoS ONE 2019, 14, e0222365. [Google Scholar] [CrossRef] [PubMed]
- Yin, H.; Jin, D.; Gu, Y.H.; Park, C.J.; Han, S.K.; Yoo, S.J. STL-ATTLSTM: Vegetable price forecasting using STL and attention mechanism-based LSTM. Agriculture 2020, 10, 612. [Google Scholar] [CrossRef]
- National Climatic Data Center; NESDIS; NOAA; U.S. Department of Commerce. Global Summary of the Day. 2022. Available online: https://www.ncei.noaa.gov/maps/alltimes/ (accessed on 1 September 2022).
- Ghaderpour, E.; Vujadinovic, T. Change Detection within Remotely Sensed Satellite Image Time Series via Spectral Analysis. Remote Sens. 2020, 12, 4001. [Google Scholar] [CrossRef]
- Ghaderpour, E.; Liao, W.; Lamoureux, M. Antileakage least-squares spectral analysis for seismic data regularization and random noise attenuation. Geophysics 2018, 83, V157–V170. [Google Scholar] [CrossRef]
- Jallal, M.A.; Chabaa, S.; Yassini, A.; Zeroual, A.; Ibnyaich, S. Air temperature forecasting using artificial neural networks with delayed exogenous input. In Proceedings of the International Conference on Wireless Technologies, Embedded and Intelligent Systems, Fez, Morocco, 3–4 April 2019. [Google Scholar]
- Hochreiter, S.; Schmidhuber, J. Long Short-Term Memory. Neural Comput. 1997, 9, 1735–1780. [Google Scholar] [CrossRef]
- Hassani, H.; Heravi, S.; Zhigljavsky, A. Forecasting UK industrial production with multivariate Singular Spectrum Analysis. J. Forecast. 2013, 32, 395–408. [Google Scholar] [CrossRef]
- Hassani, H.; Silva, E. A Kolmogorov-Smirnov Based Test for Comparing the Predictive Accuracy of Two Sets of Forecasts. Econometrics 2015, 3, 590–609. [Google Scholar] [CrossRef]












| Model | 20 | 30 | 40 |
|---|---|---|---|
| JSBL | 0.7087 | 0.4996 | 0.2187 |
| Bi-LSTM | 4.4173 | 4.3340 | 4.3997 |
| EMD-LSTM | 2.6376 | 2.6279 | 2.5343 |
| STL-LSTM | 0.6583 | 1.0882 | 0.9336 |
| Model | 20 | 30 | 40 |
|---|---|---|---|
| JSBL | 0.6563 | 0.4735 | 0.1737 |
| Bi-LSTM | 3.3478 | 3.2760 | 3.3349 |
| EMD-LSTM | 2.0575 | 2.0209 | 1.9265 |
| STL-LSTM | 0.5194 | 0.4785 | 0.7066 |
| Model | 20 | 30 | 40 |
|---|---|---|---|
| JSBL | 0.9981 | 0.9990 | 0.9999 |
| Bi-LSTM | 0.9286 | 0.9302 | 0.9271 |
| EMD-LSTM | 0.9741 | 0.9743 | 0.9758 |
| STL-LSTM | 0.9984 | 0.9956 | 0.9967 |
| Site | JSBL | Bi-LSTM | EMD-LSTM | STL-LSTM |
|---|---|---|---|---|
| 1 | 0.9999 | 0.9285 | 0.9722 | 0.9977 |
| 2 | 0.9996 | 0.8904 | 0.9600 | 0.9980 |
| 3 | 0.9999 | 0.9530 | 0.9817 | 0.9995 |
| 4 | 0.9999 | 0.9552 | 0.9825 | 0.9995 |
| 5 | 0.9999 | 0.9567 | 0.9838 | 0.9996 |
| 6 | 0.9999 | 0.9474 | 0.9749 | 0.9991 |
| 7 | 0.9999 | 0.9369 | 0.9732 | 0.9992 |
| 8 | 0.9997 | 0.8840 | 0.9639 | 0.9981 |
| 9 | 0.9998 | 0.9217 | 0.9724 | 0.9971 |
| 10 | 0.9998 | 0.9326 | 0.9778 | 0.9991 |
| Model | R2 | RMSE | MAE |
|---|---|---|---|
| JSBL | 0.9998 | 0.2146 | 0.1616 |
| Bi-LSTM | 0.9306 | 4.0754 | 3.0961 |
| EMD-LSTM | 0.9742 | 2.5455 | 1.9363 |
| STL-LSTM | 0.9986 | 0.4887 | 0.3594 |
| Test | JSBL and STL-LSTM | JSBL and EMD-LSTM | JSBL and Bi-LSTM |
|---|---|---|---|
| Two-sided (-value) | 4.441 × 10−16 | 4.441 × 10−16 | 4.441 × 10−16 |
| One-sided (-value) | 2.2 × 10−16 | 2.2 × 10−16 | 2.2 × 10−16 |
Disclaimer/Publisher’s Note: The statements, opinions and data contained in all publications are solely those of the individual author(s) and contributor(s) and not of MDPI and/or the editor(s). MDPI and/or the editor(s) disclaim responsibility for any injury to people or property resulting from any ideas, methods, instructions or products referred to in the content. |
© 2023 by the authors. Licensee MDPI, Basel, Switzerland. This article is an open access article distributed under the terms and conditions of the Creative Commons Attribution (CC BY) license (https://creativecommons.org/licenses/by/4.0/).
Share and Cite
Zhang, K.; Huo, X.; Shao, K. Temperature Time Series Prediction Model Based on Time Series Decomposition and Bi-LSTM Network. Mathematics 2023, 11, 2060. https://doi.org/10.3390/math11092060
Zhang K, Huo X, Shao K. Temperature Time Series Prediction Model Based on Time Series Decomposition and Bi-LSTM Network. Mathematics. 2023; 11(9):2060. https://doi.org/10.3390/math11092060
Chicago/Turabian StyleZhang, Kun, Xing Huo, and Kun Shao. 2023. "Temperature Time Series Prediction Model Based on Time Series Decomposition and Bi-LSTM Network" Mathematics 11, no. 9: 2060. https://doi.org/10.3390/math11092060
APA StyleZhang, K., Huo, X., & Shao, K. (2023). Temperature Time Series Prediction Model Based on Time Series Decomposition and Bi-LSTM Network. Mathematics, 11(9), 2060. https://doi.org/10.3390/math11092060

