A Non-Linear Trend Function for Kriging with External Drift Using Least Squares Support Vector Regression
Abstract
:1. Introduction
2. Mathematical Background
2.1. Kriging with External Drift
2.2. Least Squares Support Vector Regression
3. A Novel Trend Function of KED Based on LSSVR
3.1. Construction of the Trend Function
3.2. Examples of Explicitly Feature Mapping
3.2.1. Polynomial Kernel
3.2.2. Radial Basis Function Kernel
4. Case Study: Estimations of Temperature and Pressure in Thailand
4.1. Study Area
4.2. Evaluation of Model Accuracy
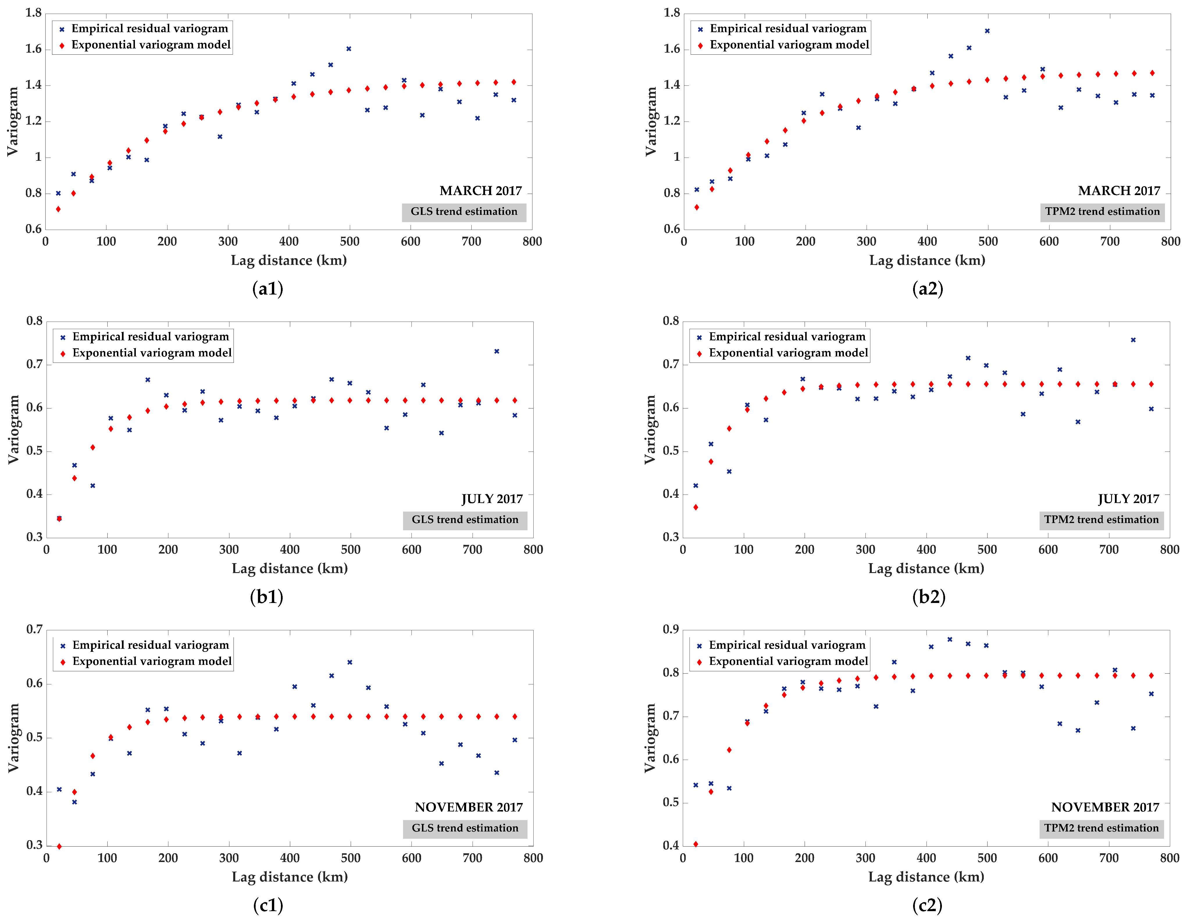
4.3. Results
5. Conclusions and Discussion
Author Contributions
Funding
Data Availability Statement
Acknowledgments
Conflicts of Interest
References
- Wackernagel, H. Multivariate Geostatistics: An introduction with Applications; Springer Science & Business Media: Berlin/Heidelberg, Germany, 2003. [Google Scholar]
- Webster, R.; Oliver, M.A. Geostatistics for Environmental Scientists; John Wiley & Sons: Hoboken, NJ, USA, 2007. [Google Scholar]
- Hudson, G.; Wackernagel, H. Mapping temperature using kriging with external drift: Theory and an example from Scotland. Int. J. Climatol. 1994, 14, 77–91. [Google Scholar] [CrossRef]
- Bostan, P.; Heuvelink, G.B.; Akyurek, S. Comparison of regression and kriging techniques for mapping the average annual precipitation of Turkey. Int. J. Appl. Earth Obs. Geoinf. 2012, 19, 115–126. [Google Scholar] [CrossRef]
- Varentsov, M.; Esau, I.; Wolf, T. High-resolution temperature mapping by geostatistical kriging with external drift from large-eddy simulations. Mon. Weather. Rev. 2020, 148, 1029–1048. [Google Scholar] [CrossRef]
- Cantet, P. Mapping the mean monthly precipitation of a small island using kriging with external drifts. Theor. Appl. Climatol. 2017, 127, 31–44. [Google Scholar] [CrossRef]
- Bourennane, H.; King, D.; Chery, P.; Bruand, A. Improving the kriging of a soil variable using slope gradient as external drift. Eur. J. Soil Sci. 1996, 47, 473–483. [Google Scholar] [CrossRef]
- Bourennane, H.; King, D.; Couturier, A. Comparison of kriging with external drift and simple linear regression for predicting soil horizon thickness with different sample densities. Geoderma 2000, 97, 255–271. [Google Scholar] [CrossRef]
- Bourennane, H.; King, D. Using multiple external drifts to estimate a soil variable. Geoderma 2003, 114, 1–18. [Google Scholar] [CrossRef]
- Béjar-Pizarro, M.; Guardiola-Albert, C.; García-Cárdenas, R.P.; Herrera, G.; Barra, A.; López Molina, A.; Tessitore, S.; Staller, A.; Ortega-Becerril, J.A.; García-García, R.P. Interpolation of GPS and geological data using InSAR deformation maps: Method and application to land subsidence in the alto guadalentín aquifer (SE Spain). Remote Sens. 2016, 8, 965. [Google Scholar] [CrossRef]
- Beauchamp, M.; de Fouquet, C.; Malherbe, L. Dealing with non-stationarity through explanatory variables in kriging-based air quality maps. Spat. Stat. 2017, 22, 18–46. [Google Scholar] [CrossRef]
- Beauchamp, M.; Malherbe, L.; de Fouquet, C.; Létinois, L.; Tognet, F. A polynomial approximation of the traffic contributions for kriging-based interpolation of urban air quality model. Environ. Model. Softw. 2018, 105, 132–152. [Google Scholar] [CrossRef]
- Troisi, S.; Fallico, C.; Straface, S.; Migliari, E. Application of kriging with external drift to estimate hydraulic conductivity from electrical-resistivity data in unconsolidated deposits near Montalto Uffugo, Italy. Hydrogeol. J. 2000, 8, 356–367. [Google Scholar] [CrossRef]
- Idir, Y.M.; Orfila, O.; Judalet, V.; Sagot, B.; Chatellier, P. Mapping urban air quality from mobile sensors using spatio-temporal geostatistics. Sensors 2021, 21, 4717. [Google Scholar] [CrossRef] [PubMed]
- Garcia-Papani, F.; Leiva, V.; Ruggeri, F.; Uribe-Opazo, M.A. Kriging with external drift in a Birnbaum–Saunders geostatistical model. Stoch. Environ. Res. Risk Assess. 2018, 32, 1517–1530. [Google Scholar] [CrossRef]
- Cafarelli, B.; Castrignanò, A. The use of geoadditive models to estimate the spatial distribution of grain weight in an agronomic field: A comparison with kriging with external drift. Environmetrics 2011, 22, 769–780. [Google Scholar] [CrossRef]
- Anand, A.; Singh, P.; Srivastava, P.K.; Gupta, M. GIS-based analysis for soil moisture estimation via kriging with external drift. In Agricultural Water Management; Elsevier: Amsterdam, The Netherlands, 2021; pp. 391–408. [Google Scholar]
- Rivest, M.; Marcotte, D.; Pasquier, P. Hydraulic head field estimation using kriging with an external drift: A way to consider conceptual model information. J. Hydrol. 2008, 361, 349–361. [Google Scholar] [CrossRef]
- Snepvangers, J.; Heuvelink, G.; Huisman, J. Soil water content interpolation using spatio-temporal kriging with external drift. Geoderma 2003, 112, 253–271. [Google Scholar] [CrossRef]
- Freier, L.; von Lieres, E. Kriging based iterative parameter estimation procedure for biotechnology applications with nonlinear trend functions. IFAC-PapersOnLine 2015, 48, 574–579. [Google Scholar] [CrossRef]
- Freier, L.; Wiechert, W.; von Lieres, E. Kriging with trend functions nonlinear in their parameters: Theory and application in enzyme kinetics. Eng. Life Sci. 2017, 17, 916–922. [Google Scholar] [CrossRef]
- Mozer, M.C.; Jordan, M.I.; Petsche, T. Advances in Neural Information Processing Systems 9: Proceedings of the 1996 Conference, Denver, CO, USA, 2–5 December 1996; MIT Press: Cambridge, MA, USA, 1997; Volume 9. [Google Scholar]
- Al-Anazi, A.F.; Gates, I.D. Support vector regression to predict porosity and permeability: Effect of sample size. Comput. Geosci. 2012, 39, 64–76. [Google Scholar] [CrossRef]
- Wiering, M.A.; Van der Ree, M.H.; Embrechts, M.; Stollenga, M.; Meijster, A.; Nolte, A.; Schomaker, L. The neural support vector machine. In Proceedings of the BNAIC 2013: Proceedings of the 25th Benelux Conference on Artificial Intelligence, Delft, The Netherlands, 7–8 November 2013; Delft University of Technology (TU Delft): Delft, The Netherlands, 2013. [Google Scholar]
- Zhong, H.; Wang, J.; Jia, H.; Mu, Y.; Lv, S. Vector field-based support vector regression for building energy consumption prediction. Appl. Energy 2019, 242, 403–414. [Google Scholar] [CrossRef]
- Henrique, B.M.; Sobreiro, V.A.; Kimura, H. Stock price prediction using support vector regression on daily and up to the minute prices. J. Financ. Data Sci. 2018, 4, 183–201. [Google Scholar] [CrossRef]
- Zhang, J.; Teng, Y.F.; Chen, W. Support vector regression with modified firefly algorithm for stock price forecasting. Appl. Intell. 2019, 49, 1658–1674. [Google Scholar] [CrossRef]
- Qu, F.; Wang, Y.T.; Hou, W.H.; Zhou, X.Y.; Wang, X.K.; Li, J.B.; Wang, J.Q. Forecasting of automobile sales based on support vector regression optimized by the grey wolf optimizer algorithm. Mathematics 2022, 10, 2234. [Google Scholar] [CrossRef]
- Mishra, S.; Padhy, S. An efficient portfolio construction model using stock price predicted by support vector regression. N. Am. J. Econ. Financ. 2019, 50, 101027. [Google Scholar] [CrossRef]
- Fan, G.F.; Yu, M.; Dong, S.Q.; Yeh, Y.H.; Hong, W.C. Forecasting short-term electricity load using hybrid support vector regression with grey catastrophe and random forest modeling. Util. Policy 2021, 73, 101294. [Google Scholar] [CrossRef]
- Wang, Y.; Zhang, Y. Multivariate SVR Demand Forecasting for Beauty Products Based on Online Reviews. Mathematics 2023, 11, 4420. [Google Scholar] [CrossRef]
- Arulmozhi, E.; Basak, J.K.; Sihalath, T.; Park, J.; Kim, H.T.; Moon, B.E. Machine learning-based microclimate model for indoor air temperature and relative humidity prediction in a swine building. Animals 2021, 11, 222. [Google Scholar] [CrossRef]
- Quan, Q.; Hao, Z.; Xifeng, H.; Jingchun, L. Research on water temperature prediction based on improved support vector regression. Neural Comput. Appl. 2022, 34, 8501–8510. [Google Scholar] [CrossRef]
- Jaiswal, P.; Gaikwad, M.; Gaikwad, N. Analysis of AI techniques for healthcare data with implementation of a classification model using support vector machine. In Proceedings of the Journal of Physics: Conference Series; IOP Publishing: Nagpur, India, 2021; Volume 1913, p. 012136. [Google Scholar]
- Al-Manaseer, H.; Abualigah, L.; Alsoud, A.R.; Zitar, R.A.; Ezugwu, A.E.; Jia, H. A novel big data classification technique for healthcare application using support vector machine, random forest and J48. In Classification Applications with Deep Learning and Machine Learning Technologies; Springer: Berlin/Heidelberg, Germany, 2022; pp. 205–215. [Google Scholar]
- Suykens, J.A.; Vandewalle, J. Least squares support vector machine classifiers. Neural Process. Lett. 1999, 9, 293–300. [Google Scholar] [CrossRef]
- Guo, Z.; Bai, G. Application of least squares support vector machine for regression to reliability analysis. Chin. J. Aeronaut. 2009, 22, 160–166. [Google Scholar] [CrossRef]
- Cressie, N. Statistics for Spatial Data; John Wiley & Sons: Hoboken, NJ, USA, 2015. [Google Scholar]
- Vallejos, R.; Osorio, F.; Bevilacqua, M. Spatial Relationships between Two Georeferenced Variables: With Applications in R; Springer Nature: Berlin/Heidelberg, Germany, 2020. [Google Scholar]
- Ly, S.; Charles, C.; Degre, A. Geostatistical interpolation of daily rainfall at catchment scale: The use of several variogram models in the Ourthe and Ambleve catchments, Belgium. Hydrol. Earth Syst. Sci. 2011, 15, 2259–2274. [Google Scholar] [CrossRef]
- Amini, M.A.; Torkan, G.; Eslamian, S.; Zareian, M.J.; Adamowski, J.F. Analysis of deterministic and geostatistical interpolation techniques for mapping meteorological variables at large watershed scales. Acta Geophys. 2019, 67, 191–203. [Google Scholar] [CrossRef]
- Huang, P.; Yu, H.; Wang, T. A Study Using Optimized LSSVR for Real-Time Fault Detection of Liquid Rocket Engine. Processes 2022, 10, 1643. [Google Scholar] [CrossRef]
- Yeh, W.C.; Zhu, W. Forecasting by Combining Chaotic PSO and Automated LSSVR. Technologies 2023, 11, 50. [Google Scholar] [CrossRef]
- Xie, G.; Wang, S.; Zhao, Y.; Lai, K.K. Hybrid approaches based on LSSVR model for container throughput forecasting: A comparative study. Appl. Soft Comput. 2013, 13, 2232–2241. [Google Scholar] [CrossRef]
- Hongzhe, M.; Wei, Z.; Rongrong, W. Prediction of dissolved gases in power transformer oil based on RBF-LSSVM regression and imperialist competition algorithm. In Proceedings of the 2017 2nd International Conference on Power and Renewable Energy (ICPRE), Chengdu, China, 20–23 September 2017; pp. 291–295. [Google Scholar]
- Wang, X.; Wang, G.; Zhang, X. Prediction of Chlorophyll-a content using hybrid model of least squares support vector regression and radial basis function neural networks. In Proceedings of the 2016 Sixth International Conference on Information Science and Technology (ICIST), Dalian, China, 6–8 May 2016; pp. 366–371. [Google Scholar]
- Shashua, A. Introduction to machine learning: Class notes 67577. arXiv 2009, arXiv:0904.3664. [Google Scholar]
- Chang, Y.W.; Hsieh, C.J.; Chang, K.W.; Ringgaard, M.; Lin, C.J. Training and testing low-degree polynomial data mappings via linear SVM. J. Mach. Learn. Res. 2010, 11, 1471–1490. [Google Scholar]
- Lin, K.P.; Chen, M.S. Efficient kernel approximation for large-scale support vector machine classification. In Proceedings of the 2011 SIAM International Conference on Data Mining—SIAM, Mesa, AZ, USA, 28–30 May 2011; pp. 211–222. [Google Scholar]
- Chariyaphan, R. Thailand’s Country Profile 2012; Department of Disaster Prevention and Mitigation, Ministry of Interior: Bangkok, Thailand, 2012. [Google Scholar]
- Laonamsai, J.; Ichiyanagi, K.; Kamdee, K. Geographic effects on stable isotopic composition of precipitation across Thailand. Isot. Environ. Health Stud. 2020, 56, 111–121. [Google Scholar] [CrossRef]
- OpenData. Available online: https://data.hii.or.th (accessed on 14 October 2020).
- Du, K.L.; Swamy, M.N. Neural Networks and Statistical Learning; Springer Science & Business Media: Berlin/Heidelberg, Germany, 2013. [Google Scholar]
- Li, J.; Heap, A.D. A Review of Spatial Interpolation Methods for Environmental Scientists; Record 2008/23; Geoscience Australia: Canberra, Australia, 2008. [Google Scholar]
- Bae, B.; Kim, H.; Lim, H.; Liu, Y.; Han, L.D.; Freeze, P.B. Missing data imputation for traffic flow speed using spatio-temporal cokriging. Transp. Res. Part C Emerg. Technol. 2018, 88, 124–139. [Google Scholar] [CrossRef]
- Akoglu, H. User’s guide to correlation coefficients. Turk. J. Emerg. Med. 2018, 18, 91–93. [Google Scholar] [CrossRef]










| Variables | Mean Values | Standard Deviations | 
|---|---|---|
| Temperature | 28.3146 | 1.2584 | 
| Pressure | 989.5460 | 14.4254 | 
| Relative humidity | 75.3258 | 4.4412 | 
| Latitude | 15.1074 | 3.5582 | 
| Longitude | 100.9769 | 1.8696 | 
| DEM | 159.7653 | 148.1880 | 
| Auxiliary Variables | Temperature | Pearson | ||
|---|---|---|---|---|
| Pearson | Spearman | Pearson | Spearman | |
| Temperature | 1.0000 | 1.0000 | 0.5537 | 0.5092 | 
| Pressure | 0.5537 | 0.5092 | 1.0000 | 1.0000 | 
| Relative humidity | −0.2474 | −0.2389 | 0.1540 | 0.1869 | 
| Latitude | −0.1322 | −0.2425 | −0.5338 | −0.5867 | 
| Longitude | 0.0198 | 0.0345 | 0.0283 | −0.0399 | 
| DEM | −0.4501 | −0.4421 | −0.7350 | −0.7470 | 
| Months | GLS Trend Estimation | TPM2 Trend Estimation | ||||
|---|---|---|---|---|---|---|
| Nugget | Sill | Range | Nugget | Sill | Range | |
| March | 0.6314 | 0.8036 | 575.4646 | 0.6282 | 0.8526 | 522.9156 | 
| July | 0.2279 | 0.3905 | 178.4360 | 0.2347 | 0.4214 | 161.7477 | 
| November | 0.1587 | 0.3813 | 138.0978 | 0.2608 | 0.5346 | 201.1555 | 
| Months | GLS Trend Estimation | Poly2 Trend Estimation | ||||
|---|---|---|---|---|---|---|
| Nugget | Sill | Range | Nugget | Sill | Range | |
| March | 18.8195 | 68.2006 | 68.4513 | 15.9667 | 68.5886 | 55.4515 | 
| July | 22.4502 | 72.1840 | 93.5990 | 19.8437 | 70.9177 | 76.0110 | 
| November | 10.0162 | 32.9229 | 65.6270 | 10.2971 | 33.1893 | 71.1975 | 
| Target Variables | Auxiliary Variables | Errors | KED with Linear Trend | KED with Non-Linear Trend Based on LSSVR | |||
|---|---|---|---|---|---|---|---|
| Polynomial Feature Mapping | TPM Feature Mapping | ||||||
| KED-GLS | KED-Poly1 | KED-Poly2 | KED-TPM1 | KED-TPM2 | |||
| Temperature | Pressure | RMSE | 0.8252 | 0.8275 | 0.8232 | 0.8512 | 0.8123 | 
| MAPE | 2.3397 | 2.3486 | 2.3439 | 2.4041 | 2.2888 | ||
| Pressure | DEM | RMSE | 8.6212 | 8.6111 | 7.7541 | 9.3854 | 8.7372 | 
| Latitude Temperature | MAPE | 0.6170 | 0.6181 | 0.5466 | 0.6698 | 0.6329 | |
| Disclaimer/Publisher’s Note: The statements, opinions and data contained in all publications are solely those of the individual author(s) and contributor(s) and not of MDPI and/or the editor(s). MDPI and/or the editor(s) disclaim responsibility for any injury to people or property resulting from any ideas, methods, instructions or products referred to in the content. | 
© 2023 by the authors. Licensee MDPI, Basel, Switzerland. This article is an open access article distributed under the terms and conditions of the Creative Commons Attribution (CC BY) license (https://creativecommons.org/licenses/by/4.0/).
Share and Cite
Baisad, K.; Chutsagulprom, N.; Moonchai, S. A Non-Linear Trend Function for Kriging with External Drift Using Least Squares Support Vector Regression. Mathematics 2023, 11, 4799. https://doi.org/10.3390/math11234799
Baisad K, Chutsagulprom N, Moonchai S. A Non-Linear Trend Function for Kriging with External Drift Using Least Squares Support Vector Regression. Mathematics. 2023; 11(23):4799. https://doi.org/10.3390/math11234799
Chicago/Turabian StyleBaisad, Kanokrat, Nawinda Chutsagulprom, and Sompop Moonchai. 2023. "A Non-Linear Trend Function for Kriging with External Drift Using Least Squares Support Vector Regression" Mathematics 11, no. 23: 4799. https://doi.org/10.3390/math11234799
APA StyleBaisad, K., Chutsagulprom, N., & Moonchai, S. (2023). A Non-Linear Trend Function for Kriging with External Drift Using Least Squares Support Vector Regression. Mathematics, 11(23), 4799. https://doi.org/10.3390/math11234799
 
        


 
       