Abstract
Significant progress has been made in incorporating fractional calculus into the projection and lag synchronization of complex networks. However, real-world networks are highly complex, making the fractional derivative used in complex dynamics more susceptible to changes over time. Therefore, it is essential to incorporate variable-order fractional calculus into the asymptotic hybrid projection lag synchronization of complex networks. Firstly, this approach considers nonidentical models with variable-order fractional characteristics, which is more general. Secondly, a class of variable-order fractional sliding mode surfaces is designed, and an accurate formula for calculating finite arriving time is provided, in contrast to traditional sliding mode control methods that use an inequality-based range. Thirdly, sufficient conditions for achieving asymptotic hybrid projection lag synchronization of nonidentical variable-order fractional complex networks are derived. Lastly, the feasibility and effectiveness of our approach are demonstrated through two illustrative examples.
Keywords:
nonidentical complex networks; variable-order fractional calculus; asymptotic hybrid projection; lag synchronization; sliding mode control MSC:
93E03; 93D99; 37D45
1. Introduction
Fractional calculus has a long history dating back to 1695 and is almost as old as classical integer-order calculus [1]. For many years, its development was limited to the field of pure mathematics and lacked practical application [2]. However, in recent decades, there has been a shift in perception, with fractional calculus being recognized as both useful and powerful.
By introducing fractional calculus, models of various real-world phenomena, such as the viscoelastic model, virus infection model, financial dynamics model, and others, have yielded better research outcomes [3,4,5,6]. In fact, the model described by fractional calculus is more precise than the corresponding integer-order model as fractional calculus is a generalization of classical calculus [7]. The key advantage of fractional calculus lies in its nonlocal properties, which enable a more precise description of memory and genetic properties in physics and engineering.
Given the potential applications of fractional calculus in modeling complex systems, it is no surprise that this concept has gained significant attention from researchers in various fields. As demonstrated in this paper, the use of fractional calculus in the study of synchronization in nonidentical variable-order fractional differential (VOFD) complex networks has yielded promising results. The effectiveness of the proposed variable-order fractional integral sliding mode surface approach highlights the value of fractional calculus in understanding and analyzing complex systems.
Overall, the historical and current significance of fractional calculus cannot be overlooked. As researchers continue to explore its potential applications in various fields, it is likely that fractional calculus will become an even more valuable tool for modeling and analyzing complex phenomena.
Fractional calculus has significant potential in the field of control engineering as fractional-order control systems can provide superior performance compared to integer-order control systems. This is especially true for systems with complex dynamics and variable parameters [8]. Applications of fractional-order control can be found in various domains, such as robotics, aviation, and chemical engineering [9,10,11].
Moreover, fractional calculus can also be employed in signal and image processing. By using fractional differentiation and integration operators, it is possible to extract features from signals and images, respectively [12].
In conclusion, fractional calculus has a long history in mathematics and has received considerable attention in recent years due to its utility and potential in various fields. Its nonlocal properties enable precise modeling, and its advantages can be fully harnessed in the fields of control engineering, signal and image processing, physics, and engineering [8,9]. As researchers continue to explore the use of fractional calculus in these fields, it is likely that its importance will only grow in the future.
One of the current research hotspots in complex network synchronization is introducing fractional calculus. Various studies [13,14,15,16] have investigated the asymptotic synchronization of fractional complex dynamic networks using methods such as periodic intermittent, pinning, and adaptive control.
In addition to studying synchronization from a time perspective, numerous literature works [17,18,19,20] have studied lag and projection synchronization from a relative relationship perspective. For example, in [17], the fractional-order adaptive sliding mode control method is used to study the lag synchronization of two nonidentical fractional-order time-delay chaotic systems in the presence of uncertainty and external interference. Additionally, in 2022, a novel controller with a fractional-order integral sliding mode surface was designed in [21], and sufficient conditions are obtained to ensure the lag projection synchronization of asymmetric neural networks. Sliding mode control, which is a nonlinear variable structure control, is an effective robust control strategy [22].
Through in-depth research on fractional calculus in complex systems, variable-order fractional derivative (VOFD) was proposed in 1993, which indicates that the order of fractional derivative changes with time or space [10]. Compared to constant-order fractional derivative (COFD), VOFD can better capture the memory characteristics of the system that change with time and spatial position [11]. Scholars have conducted extensive research on the existence and stability of solutions of variable-order fractional differential equations [23,24,25], as well as the control of corresponding variable-order fractional systems [26,27,28]. However, the application of the variable-order fractional method presents challenges because Leibniz’s law and semigroup properties, which are often used in COFD, are not applicable to VOFD systems [12]. Therefore, it is a fascinating and challenging task to solve mathematical analysis problems using the variable-order fractional method. While some scholars have studied the synchronization of variable-order fractional systems [8], the models considered were homogeneous, whereas real-world models are more likely to be nonidentical.
The literature [29] discusses and solves the one-column problem of finite time lag projection synchronization for delayed fractional-order quaternion-valued neural networks with parameter uncertainty type using a non-discretized solution method. Furthermore, the literature [30] analyses the projection synchronization of fractional-order quaternion-valued neural networks (FOQVNN), while the literature [31] investigates the exponential lag synchronization results of Cohen–Grossberg neural networks with discrete and distributed delays on arbitrary time domain using feedback control. Additionally, the literature [32] studies the projective synchronization of fractional-order memory-based neural networks (FMNNs) with switch-hop mismatch and time-varying delays.
This paper introduces variable fractional-order differential equations for our model, which enables us to adjust the fractional order by setting the function between time and fractional order variation on top of the original fractional order, making the model more flexible and universal. Moreover, we apply asymptotic projection to the nonidentical complex network and provide a class of sliding film control methods with variable-order fractional characteristics in the inequality range. These features differentiate our study from previous works in the field.
To summarize the discussions above, the objective of this paper is to investigate the asymptotic hybrid projection lag synchronization of nonidentical variable-order fractional derivative complex dynamic network systems using the SMC method. The main contributions of this paper are as follows:
- A more general class of nonidentical variable-order fractional derivative models is considered, which will be illustrated in detail with the examples in Section 4.
- A kind of variable-order fractional integral sliding mode surface is constructed, and the arrival control law and equilibrium control law are designed to ensure the asymptotic stability of the corresponding error system; see more details in Theorem 2.
- Furthermore, compared with the finite time range given by inequality in the traditional sliding mode control method, an accurate calculation formula of the finite time to reach the sliding mode surface will be provided in Theorem 1.
The remainder of this paper is structured as follows: Section 2 provides some definitions and lemmas. Section 3 introduces nonidentical variable-order fractional systems, develops a novel variable-order fractional integral sliding mode surface, and designs appropriate sliding mode control laws. The finite time reachability analysis is carried out, and sufficient conditions for asymptotic hybrid projection lag synchronization of sliding mode dynamic systems are established in the form of linear matrix inequality. Section 4 verifies the feasibility and effectiveness of the theoretical results through two numerical simulation examples. Lastly, Section 5 summarizes and concludes the paper.
Notations: , and represent real number set, non-zero real number set, and positive integer set, respectively. is a set of dimensional real matrices. means the real part of z. indicates that matrix A is a diagonal matrix, and the elements on the diagonal are represented by . represents the transpose of matrix A. means that the matrix A is positive (negative) definite. is an -dimensional unit matrix. Further, “⊗” represents the Kroneck product operator, and is the symbolic function, which is defined as follows:
is the 2-norm, and , and let , where is the Mittag-Leffler function, whose analytical formula is , where
2. Preliminary
This section mainly provides some useful definitions and lemmas for later analysis of the main objectives.
Definition 1
([12]). The variable-order fractional integration of function , in Caputo sense is defined as
where is the Gamma function.
Definition 2
([12]). The VOFD of function , in Caputo sense is defined as
where .
Definition 3
([7]). For function , if it is (1) regular on ; (2) positive definite; (3) radially unbounded, then it is called C-regular.
Without ambiguity, in the following sections, for simplicity, we abbreviate and as and , respectively.
Lemma 1
([8]). Let and be continuously differentiable functions. For any , holds, if f is convex on , then one can obtain .
Lemma 2
([9]). Suppose , , , and then one has:
Lemma 3
([8]). Suppose is an absolutely continuous function, is C-regular, and the function , with the constants , , and , where . Denote . If holds, then one has , and , where
Lemma 4
([18]). Suppose vectors , and then such that
Lemma 5
([8]). Suppose is a continuous differentiable function, and function with the constant . If , and then one has .
Lemma 6
([13]). Suppose that is continuous on and . If holds, then one has , where is Mittag-Leffler function.
3. Main Results
Synchronization of complex networks is a fundamental concept that involves maintaining a certain relative relationship between the states of two systems as they undergo changes with time. Typically, one system takes on a leading role, referred to as the driving system, while the other system is known as the response system.
In this section, a more generalized mathematical model of variable-order fractional complex network response and driving systems is introduced. The proposed model considers both the response and driving systems to be nonidentical VOFD complex networks. Moreover, the model assumes commonly used nonlinear function assumptions, which are essential in characterizing the dynamics of complex systems.
The synchronization objectives of the proposed model are discussed in detail. Specifically, the objective is to achieve asymptotic hybrid projection lag synchronization of the driving and response systems using a variable-order fractional integral sliding mode surface approach. This approach ensures that the response system reaches the sliding mode surface in a finite time and achieves hybrid projection lag synchronization with the driving system.
Overall, the proposed mathematical model provides a more comprehensive understanding of the complex dynamics of nonidentical VOFD complex networks. By establishing commonly assumed nonlinear function assumptions and discussing synchronization objectives, the proposed model lays the groundwork for future studies in complex network synchronization. The use of the variable-order fractional integral sliding mode surface approach also highlights the potential effectiveness of the proposed method in achieving synchronization in various real-world scenarios.
3.1. Response System
Consider a complex dynamic network with N nodes as the response system, where each node possesses its own dynamic behavior, which is described by a VOFD formula as follows:
where ; is the n-dimension state variable of the ith node at time t, is a nonlinear vector function describing the nonlinear dynamic behavior of a single node, represents the self-inhibition of nodes in system (1), means connection weight. is the coupling weight; in the coupling term is the coupling weight, which is defined as follows: if there is a path between the i th node and the th node, then ; otherwise, . Denote , whose diagonal elements are defined as . is the internal coupling matrix; is the control protocol received by the i th node at time t.
Write these response N nodes in compact format:
where , , , ,
Next comes the driving system, which is the target system object to be synchronized.
3.2. Driving System
Consider a nonidentical VOFD complex network with N nodes as the driving system:
where ,
Write these N driving neurons in compact format:
Assume that the measured output at time t of the driving system (4) depends on the transient state,
where the is the output transient matrix, indicating that the measurable output state at time t is a vector of M-dimension.
Assumption 1
([19]). The nonlinear function satisfies the following Lipschitz condition: where and are Lipschitz constants of corresponding nonlinear functions, respectively.
Here is the synchronization goal of the nonidentical VOFD response and driving system.
3.3. Asymptotic Hybrid Projection Lag Synchronization
Definition 4.
For response system (2) and driving system (4), given diagonal matrix α and real number β, if an appropriate control protocol can be designed so that
can hold for any initial values of (2) and (4), then response system (2) follows driving system (4) to achieve asymptotic hybrid projection lag synchronization.
Remark 1.
The diagonal matrix , in which can be a real number, and, if they are equal to each other, the target synchronization will degenerate into a unified lag projection synchronization (see literature [21]). In comparison, the of this paper can be different from each other, and, if the system evolves in the complex field, then can even be complex [19]. At this time, the fact that the limit of the error signal is 0 means the limits of the two real and imaginary subsystems of the complex system tend to be 0, which is the so-called mixed projection.
Remark 2.
Generally, the real number . Its physical meaning is transmission delay when , and it means that there is no lag in synchronization when . Furthermore, the extended situation should be discussed here. It is , which means the response system will know the future state of the driving system in advance. Although this is not a general scientific research phenomenon, it does not rule out the possibility of existence. If this phenomenon exists, the nominal “driving system” is actually controlled by the “response system”, which can be called a pseudo-driving system. The author believes that relevant research will be derived in the future according to some recent international events. For instance, when a variable-order fractional system is used to describe the financial or infectious disease system L, a subject ‘’ anticipates that the system state of another subject ‘’ will have a trend ‘’, and ‘A’ hopes that his own system state can also go to ‘’ so he can receive the control protocol U with the future state by some means.
Remark 3.
If the diagonal matrix , then the response system (2) is asymptotically stable at the origin [16]. If matrix and the real number , then the response system (2) follows the driving system (4) to achieve lag synchronization in the general sense [17]. If , the response system (2) follows the driving system (4) to achieve lag projection synchronization [21]. If matrix and , the response system (2) and the driving system (4) realize anti-synchronization [33], or it is lag anti-synchronization if .
Actually, according to the stability theory, the synchronization of the driving and response system can be transformed into the stability problem of the corresponding error system. Therefore, the corresponding error system will be introduced next.
3.4. Synchronization Error System
The synchronization error system is constructed according to formula (6), and, from the linear property of the VOFD, one yields
Denote , , and then aymptotic hybrid projection lag synchronization error system (8) can be transformed into
If the response system (2) and the driving system (4) are expected to achieve asymptotic hybrid projection lag synchronization, the quilibrium point of the error system (9) must first be asymptotically stable. For this purpose, the sliding surface is introduced (Figure 1):
where , , is the gain matrix, and and are suitable matrices to be determined, and the conditions to be met will be provided later. Obviously, denotes .
Figure 1.
Sliding surface.
Based on the definition of VOFD, formula (10) is transformed into
According to the sliding mode theory, when the error state is on the sliding mode surface, the following two key conditions need to be met:
Combining the output formula (5) and sliding mode surface condition (12) with (13) of VOFD dynamic characteristic, a balance control law is designed as follows:
At the same time, in order to make the trajectory of the error system reach the sliding mode surface, another arrival control law is added as follows:
where represents the switching gain. Therefore, in this paper, the control law combining (14) and (15) is designed as follows (Figure 2):
Figure 2.
Control law.
After the design of sliding mode control law, it is necessary to discuss the reachability of the sliding mode surface.
3.5. Reachability Analysis in Finite Time
Theorem 1.
Proof.
Consider the following Lyapunov candidate function:
According to Lemma 1, the VOFD of Lyapunov candidate function (17) along sliding mode surface (10) satisfies
Remark 4.
The SMC control strategy is also used in [22] for finite time reachability analysis, but the finite time range is given by inequality , and the specific expression is given by Theorem 1. For detailed explanation, see Example 1.
After the error system (9) reaches the sliding mode surface in a finite time, the control law , and then the total control law can be written as
Now, it is time to discuss the evolution of this synchronization error system after reaching the sliding surface.
3.6. Synchronization Analysis
It is not difficult to know that is an equilibrium point of system (24), and then comes the asymptotic stability of this system.
Theorem 2.
Proof.
Considering the following Lyapunov candidate function:
According to Lemma 1, the VOFD inequality of Lyapunov candidate function (26) along error system (24) is obtained
Then, for the second term of formula (27), using Lemma 4, there is a constant such that
Combining with Assumption 1, formula (28) can be transformed into
Similarly, for the third term of formula (27), using Lemma 4, there is a constant such that
Denote , and is the minimum eigenvalue of symmetric matrix , and then (31) can be written as
According to Lemma 5, from (32), one can obtain
where
From Lemma 6, it can be derived combining with (33) that
where .
Take the limit on both sides of formula (35); from the pinch theorem, one can obtain that .
Corollary 1.
Let ω be a constant; if , and , the models considered in this paper degenerate into the model with constant-order fractional derivative and decoupled driving system network in [13]. If and , the asymptotical hybrid projection lag synchronization degenerates to the ordinary asymptotical synchronization in the previous reference.
4. Illustrative Examples
The methods of numerical simulation used in this section can be found in Refs. [23,34,35]. In this section, two simulation examples based on Matlab are presented. The parameters of these two simulation examples are derived from Refs. [8,13], respectively.
Example 1.
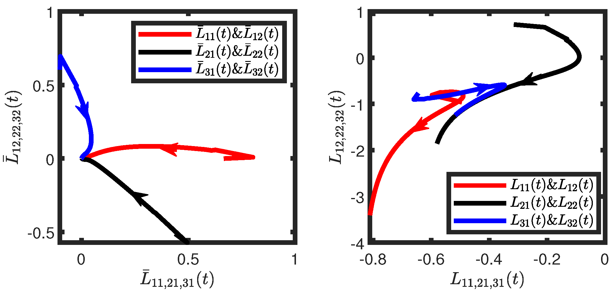
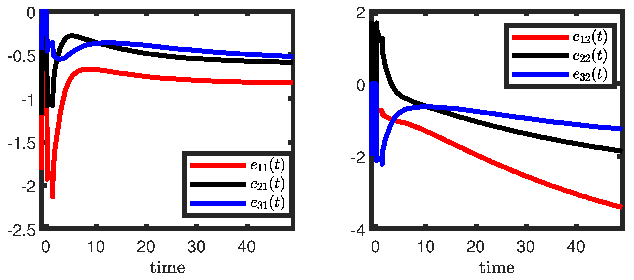
The initial values of the driving system and the response system are generated randomly. The phase diagram and synchronization error evolution diagram of the driving and response system without control protocol are shown in Figure 3 and Figure 4, respectively.
Figure 3.
Phase diagram of the driving and response system without control protocol in Example 1.
Figure 4.
Evolution of synchronization error system without control protocol in Example 1.
It can be seen from Figure 3 and Figure 4 that the response system has great freedom when it does not receive the control protocol and will not actively synchronize with the driving system. Then, in order to enable the response system to achieve the goal of asymptotic hybrid projection lag synchronization, the design of a control protocol is necessary. The following is the selection of parameters: , , , , where the value of is 0.153, 0.159, 0.037, 0.098, 0.089, and 0.129 in the order of increasing i, and , , , where
, ,
, ,
, ,
, .
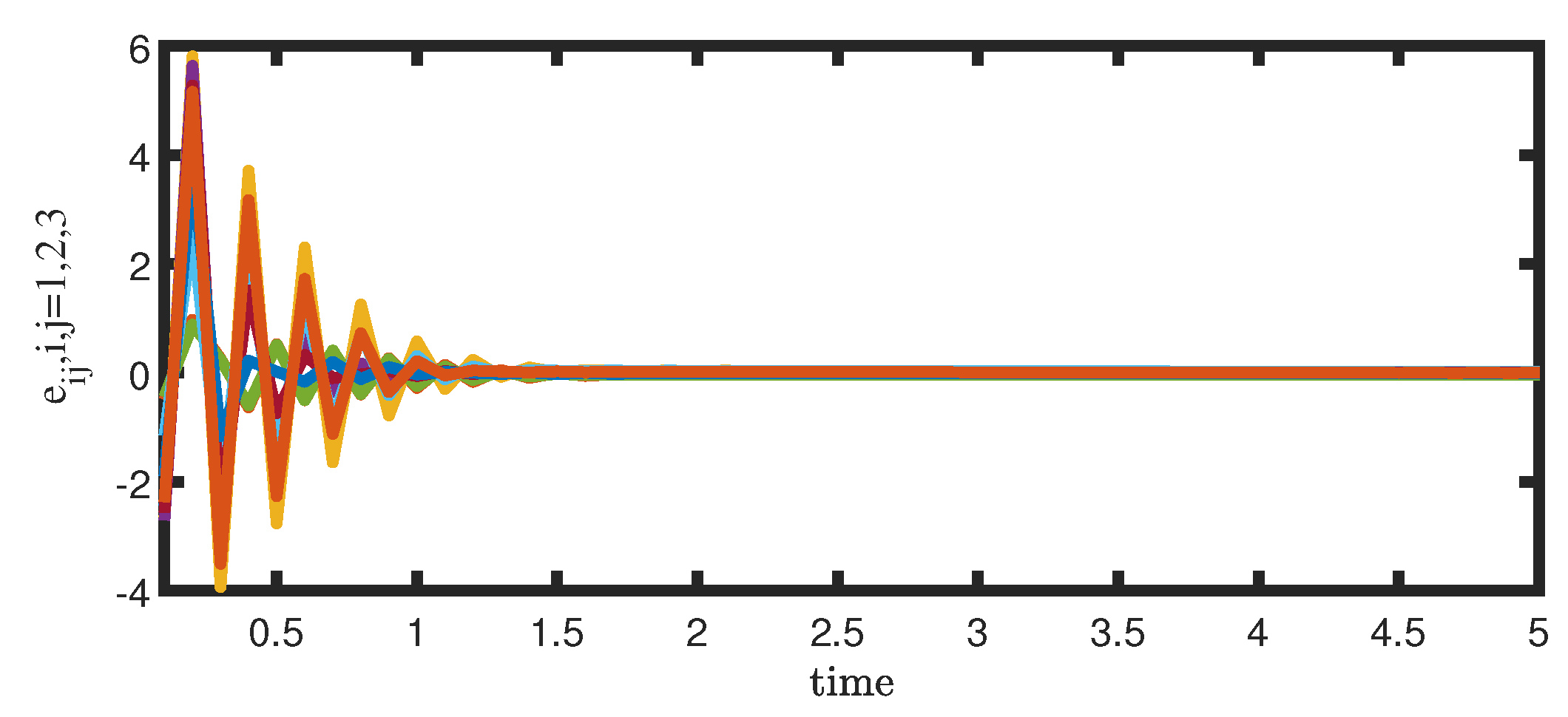
Use the LMI toolbox of MATLAB to solve and verify that the above parameters are feasible solutions. After the control protocol is applied to the response system, according to the finite time calculation formula provided in Theorem 1, the time to reach the sliding mode surface is , and the evolution of the synchronization error system is shown in Figure 5.
Figure 5.
Evolution of synchronization error system with control protocol in Example 1.
It can be seen from Figure 5 that the response system can reach the sliding mode surface in a finite time under the action of the control protocol and realize hybrid projection lag synchronization with the driving system along the sliding mode surface.
Remark 5.
Theorem 2 in Ref. [8] provides a sufficient condition for asymptotic synchronization of driving and response systems, in which there are two inequality constraints, while the sufficient conditions provided in this paper are freer.
Remark 6.
The finite time using the traditional SMC method provided in Ref. [22] is in the form of inequality. In terms of Example 1, the calculated range is . Obviously, this estimation is too conservative and is more accurate.
Example 2.
In order to further illustrate that the model considered is more general, a class of and variable-order fractional driving and response system described by (2) and (4) is considered, and the related parameters are assigned as follows: , , , , , , ,, , , , , where the value of is 0.0098, 0.0044, 0.0011, 0.0026, 0.0041, 0.0059, 0.0026, 0.0060, and 0.0071 in the order of increasing i, and are matrices shown in Table 1.
Table 1.
Solution of corresponding LMI in Example 2.
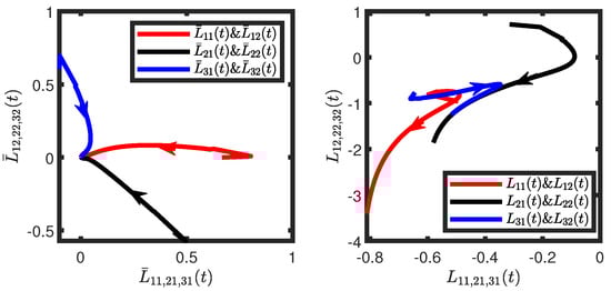
In this study, the synchronization approach was tested by randomly generating initial values for both the driving and response systems. The results of the control protocol were then analyzed using phase diagrams for the first node of the driving and response chaotic systems (Figure 6), as well as a chaotic synchronization error evolution diagram (Figure 7).
Figure 6.
Phase diagram of the first node of the driving and response chaotic system with control protocol in Example 2.
Figure 7.
Evolution of synchronization error system with control protocol in Example 2.
Firstly, the phase diagram of a chaotic system displays specific characteristics of the chaotic signal, such as frequency and amplitude. Therefore, Figure 6 shows that the output of the first node of the driver as well as the chaotic system where the control is implemented converge to the expected output value, indicating the effectiveness of the control protocol in Theorem 2.
Secondly, Figure 7 demonstrates the efficiency and stability of the control protocol in Theorem 2 by evaluating its effectiveness through the synchronization error between the two chaotic system nodes at each time step. The synchronization error gradually decreases over time and eventually tends to zero, indicating that the driver system and response system achieve asymptotic synchronization under the conditions of Theorem 2. This result is promising as it demonstrates the efficacy of the proposed variable-order fractional integral sliding mode surface approach in achieving synchronization in nonidentical VOFD complex networks.
Therefore, phase diagrams and chaotic synchronization error evolution diagrams are useful tools for analyzing control protocol results. These tools can be used to guide control protocol optimization and improve the control efficiency and stability of the chaotic system. It should be noted that, due to the highly complex and uncertain behavior of chaotic systems, several factors need to be carefully considered when designing control protocols. Additionally, to further validate the effectiveness of the proposed approach, more extensive experiments and numerical simulations are required for complex networks.
It should be noted that the use of phase diagrams and chaotic synchronization error evolution diagrams is a common practice in studies involving synchronization analysis. These visual representations provide a clear and intuitive way to understand the dynamics of the systems under investigation.
Remark 7.
The sufficient conditions for the asymptotic synchronization of the driving and response system are provided in the literature [13]. The system parameters of Example 2 are from this literature. It is well illustrated that the model considered in this paper is more general.
5. Conclusions
This paper presents a novel technique for achieving synchronization in nonidentical variable-order fractional differential (VOFD) complex networks. Specifically, the proposed approach uses a variable-order fractional integral sliding mode surface to enable the driving and response systems to reach asymptotic hybrid projection lag synchronization. By leveraging the power of mathematical concepts such as fractional calculus inequality and comparison theorem, this study establishes the sufficient conditions for asymptotic hybrid projection lag synchronization of the VOFD complex networks.
The use of fractional calculus is especially relevant when analyzing systems that involve fractional derivatives or integrals and can provide a more precise understanding of the dynamics of such systems. By applying these mathematical tools, the authors were able to derive conditions that ensure the stability and convergence of the synchronization process in the VOFD complex networks.
The results of this study complement and build upon previous findings in the field of VOFD complex networks synchronization. The proposed method extends these results to special cases, such as lag synchronization and anti-synchronization of COFD complex networks, as well as the projection synchronization of the same variable-order fractional networks. This demonstrates the versatility and efficacy of the proposed synchronization approach.
The potential applications of this research are many-fold, including areas such as microbial metabolic regulation. The authors suggest that future work should focus on investigating the synchronization of nonidentical VOFD complex dynamic networks in a more general order and exploring their use in achieving finite time or fixed time synchronization.
The simple design advantage of sliding mode control is worthy of note, but it is crucial to acknowledge the potential disadvantage of the chattering phenomenon in the controller’s control input. This phenomenon, which can result in high-frequency oscillations in the control signal, may be undesirable in some practical applications. To address this issue, we have explored various methods for reducing or eliminating chattering, such as using a differentiable sign function or introducing a switching function with hysteresis.
Overall, this paper offers valuable insights into the synchronization of complex systems involving variable-order fractional derivatives or integrals. The proposed method is expected to have broad applicability in various real-world scenarios, and the future research directions suggested by the authors are promising. As such, this study makes an important contribution to the field of complex network synchronization and serves as a basis for further studies in this area.
Author Contributions
Conceptualization, N.Q.; Methodology, Z.S., N.Q. and X.K. All authors have read and agreed to the published version of the manuscript.
Funding
This research received no external funding.
Data Availability Statement
The parameters for the two examples in this paper are derived from Refs [8,13] http://doi.org/10.1016/j.neunet.2021.03.033 (accessed on 20 May 2023) and http://doi.org/10.1016/j.chaos.2017.06.025 (accessed on 20 May 2023).
Conflicts of Interest
The authors declare no conflict of interest.
References
- Davis, G.B.; Kohandel, M.; Sivaloganathan, S.; Tenti, G. The constitutive properties of the brain paraenchyma: Part 2. Fractional derivative approach. Med. Eng. Phys. 2006, 28, 455–459. [Google Scholar] [CrossRef]
- Machado, J.T.; Kiryakova, V.; Mainardi, F. Recent history of fractional calculus. Commun. Nonlinear Sci. Numer. Simul. 2011, 16, 1140–1153. [Google Scholar] [CrossRef]
- Matlob, M.; Jamali, Y. The concepts and applications of fractional order differential calculus in modeling of viscoelastic systems: A primer, Critical Reviews & trade. Biomed. Eng. 2019, 47, 249–276. [Google Scholar] [CrossRef]
- Latha, V.P.; Rihan, F.A.; Rakkiyappan, R.; Velmurugan, G. A fractional-order model for ebola virus infection with delayed immune response on heterogeneous complex networks. J. Comput. Appl. Math. 2018, 339, 134–146. [Google Scholar] [CrossRef]
- Yusuf, A.; Qureshi, S.; Shah, S.F. Mathematical analysis for an autonomous financial dynamical system via classical and modern fractional operators. Chaos Solitons Fractals 2020, 132, 109552. [Google Scholar] [CrossRef]
- Hashemi, M.S.; Akgül, A. Solitary wave solutions of time-space nonlinear fractional Schrödinger’s equation: Two analytical approaches. J. Comput. Appl. Math. 2018, 339, 147–160. [Google Scholar] [CrossRef]
- Peng, X.; Wu, H.; Cao, J. Global nonfragile synchronization in finite time for fractional-order discontinuous neural networks with nonlinear growth activations. IEEE Trans. Neural Netw. Learn. Syst. 2019, 30, 2123–2137. [Google Scholar] [CrossRef] [PubMed]
- Li, X.; Wu, H.; Cao, J. Synchronization in finite time for variable-order fractional complex dynamic networks with multi-weights and discontinuous nodes based on sliding mode control strategy. Neural Netw. 2021, 139, 335–347. [Google Scholar] [CrossRef]
- Zheng, B.; Hu, C.; Yu, J.; Jiang, H. Finite-time synchronization of fully complex-valued neural networks with fractional-order. Neurocomputing 2020, 373, 70–80. [Google Scholar] [CrossRef]
- Samko, S.; Ross, B. Integration and differentiation to a variable fractional order. Integral Transform. Spec. Funct. 1993, 1, 277–300. [Google Scholar] [CrossRef]
- Kachia, K.; Solís-Pérez, J.E.; Gómez-Aguilar, J.F. Chaos in a three-cell population cancer model with variable-order fractional derivative with power, exponential and mittag-leffler memories. Chaos Solitons Fractals 2020, 140, 110177. [Google Scholar] [CrossRef]
- Wu, G.C.; Luo, M.; Huang, L.L.; Banerjee, S. Short memory fractional differential equations for new memristor and neural network design. Nonlinear Dyn. 2020, 100, 3611–3623. [Google Scholar] [CrossRef]
- Li, H.L.; Hu, C.; Jiang, H.; Teng, Z.; Jiang, Y.L. Synchronization of fractional-order complex dynamical networks via periodically intermittent pinning control. Chaos Solitons Fractals 2017, 103, 357–363. [Google Scholar] [CrossRef]
- Wang, J.; Zeng, C. Synchronization of fractional-order linear complex networks with directed coupling topology. Phys. Stat. Mech. Appl. 2018, 490, 542–553. [Google Scholar] [CrossRef]
- Ali, M.S.; Hymavathi, M.; Senan, S.; Shekher, V.; Arik, S. Global asymptotic synchronization of impulsive fractional-order complex-valued memristor-based neural networks with time varying delays. Commun. Nonlinear Sci. Numer. Simul. 2019, 78, 104869. [Google Scholar] [CrossRef]
- Zhang, Z.; Zhang, J. Asymptotic stabilization of general nonlinear fractional-order systems with multiple time delays. Nonlinear Dyn. 2020, 102, 605–619. [Google Scholar] [CrossRef]
- Karimaghaee, P.; Heydari, Z. Lag-synchronization of two different fractional-order time-delayed chaotic systems using fractional adaptive sliding mode controller. Int. J. Dyn. Control 2021, 9, 211–224. [Google Scholar] [CrossRef]
- Aadhithiyan, S.; Raja, R.; Zhu, Q.; Alzabut, J.; Niezabitowski, M.; Lim, C.P. A robust non-fragile control lag synchronization for fractional order multi-weighted complex dynamic networks with coupling delays. Neural Process. Lett. 2022, 54, 2919–2940. [Google Scholar] [CrossRef]
- Zhang, W.; Sha, C.; Cao, J.; Wang, G.; Wang, Y. Adaptive quaternion projective synchronization of fractional order delayed neural networks in quaternion field. Appl. Math. Comput. 2021, 400, 126045. [Google Scholar] [CrossRef]
- Zhang, W.; Cao, J.; Wu, R.; Alsaadi, F.E.; Alsaedi, A. Lag projective synchronization of fractional-order delayed chaotic systems. J. Franklin Inst. 2019, 356, 1522–1534. [Google Scholar] [CrossRef]
- Ding, Z.; Chen, C.; Wen, S.; Li, S.; Wang, L. Lag projective synchronization of nonidentical fractional delayed memristive neural networks. Neurocomputing 2022, 469, 138–150. [Google Scholar] [CrossRef]
- Mathiyalagan, K.; Sangeetha, G. Finite-time stabilization of nonlinear time delay systems using lqr based sliding mode control. J. Franklin Inst. 2019, 356, 3948–3964. [Google Scholar] [CrossRef]
- Bhrawy, A.; Zaky, M. Numerical algorithm for the variable-order caputo fractional functional differential equation. Nonlinear Dyn. 2016, 85, 1815–1823. [Google Scholar] [CrossRef]
- Jiang, J.; Chen, H.; Guirao, J.L.; Cao, D. Existence of the solution and stability for a class of variable fractional order differential systems. Chaos Solitons Fractals 2019, 128, 269–274. [Google Scholar] [CrossRef]
- Zhang, S.; Hu, L. The existence of solutions and generalized lyapunov-type inequalities to boundary value problems of differential equations of variable order. AIMS Math. 2020, 5, 2923–2943. [Google Scholar] [CrossRef]
- Jiang, J.; Cao, D.; Chen, H. Sliding mode control for a class of variable-order fractional chaotic systems. J. Frankl. Inst. 2020, 357, 10127–10158. [Google Scholar] [CrossRef]
- Jiang, J.; Li, H.; Zhao, K.; Cao, D.; Guirao, J.L. Finite time stability and sliding mode control for uncertain variable fractional order nonlinear systems. Adv. Differ. Equ. 2021, 2021, 127. [Google Scholar] [CrossRef]
- Yang, X.; Machado, J.T. A new fractional operator of variable order: Application in the description of anomalous diffusion. Phys. Stat. Appl. 2017, 481, 276–283. [Google Scholar] [CrossRef]
- Shang, W.; Zhang, W.; Zhang, H.; Zhang, H.; Cao, J.; Alsaadi, F.E. Finite-time lag projective synchronization of delayed fractional-order quaternion-valued neural networks with parameter uncertainties. Nonlinear Anal. Model. Control 2023, 28, 1–22. [Google Scholar] [CrossRef]
- Zhang, W.; Zhang, H.; Cao, J.; Zhang, H.; Alsaadi, F.E.; Alsaedi, A. Global projective synchronization in fractional-order quaternion valued neural networks. Asian J. Control 2022, 24, 227–236. [Google Scholar] [CrossRef]
- Kumar, V.; Heiland, J.; Benner, P. Exponential Lag Synchronization of Cohen–Grossberg Neural Networks with Discrete and Distributed Delays on Time Scales. Neural Process. Lett. 2023, 1–23. [Google Scholar] [CrossRef]
- Zhang, L.; Yang, Y.; Wang, F. Projective synchronization of fractional-order memristive neural networks with switching jumps mismatch. Phys. Stat. Mech. Its Appl. 2017, 471, 402–415. [Google Scholar] [CrossRef]
- Jahanzaib, L.S.; Trikha, P.; Baleanu, D. Analysis and application using quad compound combination anti-synchronization on novel fractional-order chaotic system. Arab. J. Sci. Eng. 2021, 46, 1729–1742. [Google Scholar] [CrossRef]
- Diethelm, K.; Ford, N.J.; Freed, A.D. A predictor-crrector approach for the numerical solution of fractional differential equations. Nonlinear Dyn. 2002, 29, 3–22. [Google Scholar] [CrossRef]
- Bhalekar, S.; Daftardar-Gejji, V. A predictor-corrector scheme for solving nonlinear delay differential equations of fractional order. J. Fract. Calc. Its Appl. 2011, 1, 1–9. Available online: https://www.researchgate.net/publication/245538900 (accessed on 20 May 2023).
Disclaimer/Publisher’s Note: The statements, opinions and data contained in all publications are solely those of the individual author(s) and contributor(s) and not of MDPI and/or the editor(s). MDPI and/or the editor(s) disclaim responsibility for any injury to people or property resulting from any ideas, methods, instructions or products referred to in the content. |
© 2023 by the authors. Licensee MDPI, Basel, Switzerland. This article is an open access article distributed under the terms and conditions of the Creative Commons Attribution (CC BY) license (https://creativecommons.org/licenses/by/4.0/).






