Sensitive Channel Selection for Mental Workload Classification
Abstract
:1. Introduction
2. Materials and Methods
2.1. Experiments and Data Preprocessing
2.1.1. Experiments
2.1.2. Data Preprocessing
2.2. MW Classification Method Based on Selected Sensitive Channels
2.2.1. MW Levels Visualization Method Based on Heatmap
2.2.2. Selection Method of Sensitive Channels
2.2.3. Feature Extraction Method
2.2.4. Classification Algorithm
3. MW Classification Results and Analysis
3.1. Analysis of Energy–Channel–Epoch Heatmaps
- 1.
- The change trend of the four rhythm energies in the heatmaps for the same subject in the same experimental period.
- 2.
- The change trend of one rhythm energy in the heatmaps for the same subject in different experimental periods.
- 3.
- The change trend of one rhythm energy in the heatmaps for different subjects in the same experimental period.
- (1)
- The energy value in one epoch cannot represent the MW level very well.
- (2)
- For the same subject, the four EEG rhythm energy values change with the MW level steadily. This means that the sensitivity of channel energy to MW levels is also stable with time in the short term. It should be noted that this conclusion is based on the experimental conditions and other objective factors being the same.
- (3)
- The sensitivity of the EEG channels to MW levels is divided into three types: positive sensitivity (energy value is positively correlated with MW levels), negative sensitivity (energy value is negatively correlated with MW levels) and insensitivity.
- (4)
- , , and separately and regularly vary with MW levels, but their degrees of change are different among subjects.
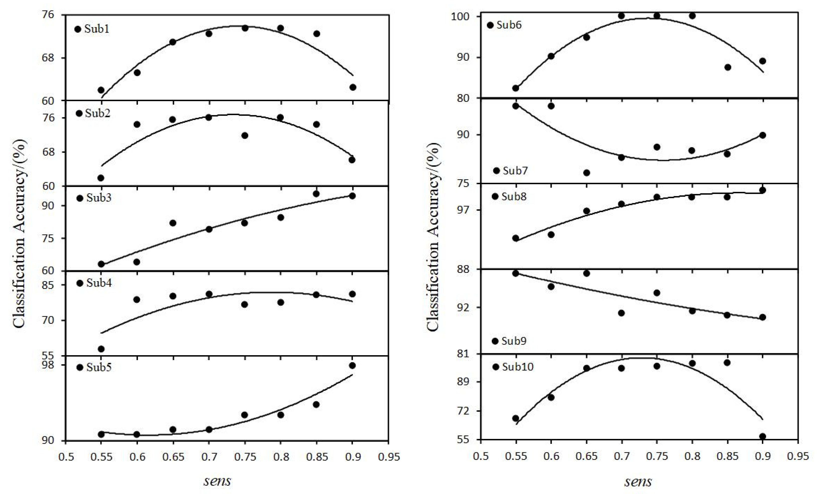
3.2. Analysis of Sensitivity Threshold
- (1)
- The MW classification accuracies of Subs 3, 5 and 8 are positively correlated with sens.
- (2)
- The values of sens for Subs 1, 2, 4, 6 and 10 are non-monotonic.
- (3)
- The relationship between classification accuracy and sens is roughly negative for Subs 1 and 9.
- (1)
- The accuracy with the optimal sens ranges from 73.44% to 100%, and the average is 92.08%.
- (2)
- The accuracy with the worst sens ranges from 56.7% to 92.71%, and the average is 74.64%.
- (3)
- The improvement in test accuracy for each subject ranges from 7.29% to 42.71%, and the average is 17.45%.
3.3. Selection Results with Optimal MW Classification Accuracy
- (1)
- (2)
- (3)
- (4)
3.4. Comparison of MW Classification Using Sensitive Channels and All Channels
- (1)
- The accuracies of Method 2 range between 31.77% and 96.88%, and the average accuracy is 63.39%.
- (2)
- The accuracies of Method 1 with the optimal sens are higher than those of Method 2, and the improvement in the test accuracy ranges between 3.13% and 48.44% with an average of 28.69%.
- (3)
- The accuracies of Method 1 with the worst sens are mostly higher than those of Method 2 except for Subs 3 and 8, and the improvement in the test accuracy ranges between 2.08% and 35.42% with an average of 11.25%.
4. Discussion
5. Conclusions
- (1)
- Selection results of sensitive channels
- (2)
- Classification accuracy comparisons
Author Contributions
Funding
Institutional Review Board Statement
Informed Consent Statement
Data Availability Statement
Acknowledgments
Conflicts of Interest
References
- Pereira da Silva, M. Mental Workload, Task Demand and Driving Performance: What Relation? Procedia Soc. Behav. Sci. 2014, 162, 310–319. [Google Scholar] [CrossRef] [Green Version]
- Wilson, G.F. Operator Functional State Assessment for Adaptive Automation Implementation. In Proceedings of the Biomonitoring for Physiological and Cognitive Performance during Military Operations, Orlando, FL, USA, 31 March–1 April 2005; SPIE: Bellingham, WA, USA, 2005; Volume 5797, pp. 100–104. [Google Scholar]
- Lu, Y.; Bi, L. EEG Signals-Based Longitudinal Control System for a Brain-Controlled Vehicle. IEEE Trans. Neural Syst. Rehabil. Eng. 2019, 27, 323–332. [Google Scholar] [CrossRef]
- Hekmatmanesh, A.; Zhidchenko, V.; Kauranen, K.; Siitonen, K.; Handroos, H.; Soutukorva, S.; Kilpelainen, A. Biosignals in Human Factors Research for Heavy Equipment Operators: A Review of Available Methods and Their Feasibility in Laboratory and Ambulatory Studies. IEEE Access 2021, 9, 97466–97482. [Google Scholar] [CrossRef]
- Sikander, G.; Anwar, S. Driver Fatigue Detection Systems: A Review. IEEE Trans. Intell. Transp. Syst. 2019, 20, 2339–2352. [Google Scholar] [CrossRef]
- Radüntz, T. Dual Frequency Head Maps: A New Method for Indexing Mental Workload Continuously during Execution of Cognitive Tasks. Front. Physiol. 2017, 8, 1019. [Google Scholar] [CrossRef] [Green Version]
- Hart, S. Nasa-Task Load Index (Nasa-TLX); 20 Years Later. In Proceedings of the Human Factors and Ergonomics Society Annual Meeting, San Francisco, CA, USA, 16–20 October 2006; Volume 50, pp. 904–908. [Google Scholar]
- Ryu, K.; Myung, R. Evaluation of Mental Workload with a Combined Measure Based on Physiological Indices during a Dual Task of Tracking and Mental Arithmetic. Int. J. Ind. Ergon. 2005, 35, 991–1009. [Google Scholar] [CrossRef]
- Lemm, S.; Blankertz, B.; Dickhaus, T.; Müller, K.-R. Introduction to Machine Learning for Brain Imaging. NeuroImage 2011, 56, 387–399. [Google Scholar] [CrossRef]
- Schalk, G.; McFarland, D.J.; Hinterberger, T.; Birbaumer, N.; Wolpaw, J.R. BCI2000: A General-Purpose Brain-Computer Interface (BCI) System. IEEE Trans. Biomed. Eng. 2004, 51, 1034–1043. [Google Scholar] [CrossRef]
- Naseer, N.; Hong, K.-S. Classification of Functional Near-Infrared Spectroscopy Signals Corresponding to the Right- and Left-Wrist Motor Imagery for Development of a Brain–Computer Interface. Neurosci. Lett. 2013, 553, 84–89. [Google Scholar] [CrossRef]
- Naseer, N.; Hong, K.-S. FNIRS-Based Brain-Computer Interfaces: A Review. Front. Hum. Neurosci. 2015, 9, 3. [Google Scholar] [CrossRef] [Green Version]
- Aghajani, H.; Omurtag, A. Assessment of Mental Workload by EEG+FNIRS. In Proceedings of the 2016 38th Annual International Conference of the IEEE Engineering in Medicine and Biology Society (EMBC), Orlando, FL, USA, 16–20 August 2016; pp. 3773–3776. [Google Scholar]
- Qu, H.; Shan, Y.; Liu, Y.; Pang, L.; Fan, Z.; Zhang, J.; Wanyan, X. Mental Workload Classification Method Based on EEG Independent Component Features. Appl. Sci. 2020, 10, 3036. [Google Scholar] [CrossRef]
- Salimi, N.; Barlow, M.; Lakshika, E. Mental Workload Classification Using Short Duration EEG Data: An Ensemble Approach Based on Individual Channels. In Proceedings of the 2019 IEEE Symposium Series on Computational Intelligence (IEEE SSCI 2019), Xiamen, China, 6–9 December 2019; IEEE: New York, NY, USA, 2019; pp. 393–398. [Google Scholar]
- Liu, Y.; Ayaz, H.; Shewokis, P.A. Mental Workload Classification with Concurrent Electroencephalography and Functional Near-Infrared Spectroscopy. Brain-Comput. Interfaces 2017, 4, 175–185. [Google Scholar] [CrossRef]
- Zhang, P.; Wang, X.; Chen, J.; You, W.; Zhang, W. Spectral and Temporal Feature Learning With Two-Stream Neural Networks for Mental Workload Assessment. IEEE Trans. Neural Syst. Rehabil. Eng. 2019, 27, 1149–1159. [Google Scholar] [CrossRef] [PubMed]
- Li, X.; Chen, F.; Jia, Y.; Liu, X. Signal Detection, Processing and Challenges of Non-Invasive Brain-Computer Interface Technology. In Proceedings of the 2019 Chinese Intelligent Automation Conference, Zhanjiang, China, 20–22 September 2019; Deng, Z., Ed.; Springer: Singapore, 2020; pp. 60–67. [Google Scholar]
- Sanei, S.; Chambers, J.A. Introduction to EEG. In EEG Signal Processing; John Wiley & Sons, Ltd.: Hoboken, NJ, USA, 2007; pp. 15–17. ISBN 978-0-470-51192-3. [Google Scholar]
- Acharya, J.N.; Hani, A.; Cheek, J.; Thirumala, P.; Tsuchida, T.N. American Clinical Neurophysiology Society Guideline 2: Guidelines for Standard Electrode Position Nomenclature. J. Clin. Neurophysiol. 2016, 33, 308–311. [Google Scholar] [CrossRef] [PubMed] [Green Version]
- Chen, J.; Taylor, J.E.; Comu, S. Assessing Task Mental Workload in Construction Projects: A Novel Electroencephalography Approach. J. Constr. Eng. Manag. 2017, 143, 04017053. [Google Scholar] [CrossRef]
- Murata, A. An Attempt to Evaluate Mental Workload Using Wavelet Transform of EEG. Hum. Factors 2005, 47, 498–508. [Google Scholar] [CrossRef]
- Wang, X.; Li, D.; Menassa, C.; Kamat, V. Investigating the Effect of Indoor Thermal Environment on Occupants’ Mental Workload and Task Performance Using Electroencephalogram. Build. Environ. 2019, 158, 120–132. [Google Scholar] [CrossRef]
- Bagheri, M.; Power, S.D. Simultaneous Classification of Both Mental Workload and Stress Level Suitable for an Online Passive Brain-Computer Interface. Sensors 2022, 22, 535. [Google Scholar] [CrossRef]
- Alotaiby, T.; Abd El-Samie, F.E.; Alshebeili, S.A.; Ahmad, I. A Review of Channel Selection Algorithms for EEG Signal Processing. EURASIP J. Adv. Signal Process. 2015, 2015, 66. [Google Scholar] [CrossRef] [Green Version]
- Alyasseri, Z.A.A.; Khader, A.T.; Al-Betar, M.A.; Alomari, O.A. Person Identification Using EEG Channel Selection with Hybrid Flower Pollination Algorithm. Pattern Recognit. 2020, 105, 107393. [Google Scholar] [CrossRef]
- Li, Y.; Yang, H.; Li, J.; Chen, D.; Du, M. EEG-Based Intention Recognition with Deep Recurrent-Convolution Neural Network: Performance and Channel Selection by Grad-CAM. Neurocomputing 2020, 415, 225–233. [Google Scholar] [CrossRef]
- Moctezuma, L.A.; Molinas, M. Multi-Objective Optimization for EEG Channel Selection and Accurate Intruder Detection in an EEG-Based Subject Identification System. Sci. Rep. 2020, 10, 5850. [Google Scholar] [CrossRef] [PubMed] [Green Version]
- Park, S.-M.; Kim, J.-Y.; Sim, K.-B. EEG Electrode Selection Method Based on BPSO with Channel Impact Factor for Acquisition of Significant Brain Signal. Optik 2018, 155, 89–96. [Google Scholar] [CrossRef]
- Zhu, G.; Zong, F.; Zhang, H.; Wei, B.; Liu, F. Cognitive Load During Multitasking Can Be Accurately Assessed Based on Single Channel Electroencephalography Using Graph Methods. IEEE Access 2021, 9, 33102–33109. [Google Scholar] [CrossRef]
- Altahat, S.; Chetty, G.; Tran, D.; Ma, W. Analysing the Robust EEG Channel Set for Person Authentication. In Proceedings of the International Conference on Neural Information Processing, Istanbul, Turkey, 9–12 November 2015; Arik, S., Huang, T., Lai, W., Liu, Q., Eds.; Springer: Istanbul, Turkey, 2015; Volume 9492, pp. 162–173. [Google Scholar]
- Comstock, J.R.; Arnegard, R.J. The Multi-Attribute Task Battery for Human Operator Workload and Strategic Behavior Research; NASA Technical Memorandum; National Aeronautics and Space Administration, Langley Research Center: Hampton, VA, USA; National Technical Information Service, Distributor: Springfield, VA, USA, 1992.
- Feng, C.; Wanyan, X.; Liu, S.; Chen, H.; Zhuang, D.; Wang, X. Influence of different attention allocation strategies under workloads on situation awareness. Acta Aeronaut. Astronaut. Sin. 2020, 41, 123307. [Google Scholar] [CrossRef]
- Watson, D.; Clark, L.A.; Tellegen, A. Development and Validation of Brief Measures of Positive and Negative Affect: The PANAS Scales. J. Personal. Soc. Psychol. 1988, 54, 1063–1070. [Google Scholar] [CrossRef]
- Kaida, K.; Takahashi, M.; Akerstedt, T.; Nakata, A.; Otsuka, Y.; Haratani, T.; Fukasawa, K. Validation of the Karolinska Sleepiness Scale against Performance and EEG Variables. Clin. Neurophysiol. 2006, 117, 1574–1581. [Google Scholar] [CrossRef]
- Jung, T.-P.; Makeig, S.; Humphries, C.; Lee, T.-W.; McKeown, M.J.; Iragui, V.; Sejnowski, T.J. Removing Electroencephalographic Artifacts by Blind Source Separation. Psychophysiology 2000, 37, 163–178. [Google Scholar] [CrossRef]
- Menon, V.; Rivera, S.M.; White, C.D.; Glover, G.H.; Reiss, A.L. Dissociating Prefrontal and Parietal Cortex Activation during Arithmetic Processing. NeuroImage 2000, 12, 357–365. [Google Scholar] [CrossRef]
- Akin, M.; Kurt, M.B.; Sezgin, N.; Bayram, M. Estimating Vigilance Level by Using EEG and EMG Signals. Neural Comput. Appl. 2008, 17, 227–236. [Google Scholar] [CrossRef]
- Chuang, S.-W.; Ko, L.-W.; Lin, Y.-P.; Huang, R.-S.; Jung, T.-P.; Lin, C.-T. Co-Modulatory Spectral Changes in Independent Brain Processes Are Correlated with Task Performance. NeuroImage 2012, 62, 1469–1477. [Google Scholar] [CrossRef]
- Percival, D.B.; Walden, A.T. Spectral Analysis for Physical Applications: Multitaper and Conventional Univariate Techniques. Technometrics 1996, 38, 294. [Google Scholar] [CrossRef]
- Babadi, B.; Brown, E.N. A Review of Multitaper Spectral Analysis. IEEE Trans. Biomed. Eng. 2014, 61, 1555–1564. [Google Scholar] [CrossRef] [PubMed]
- Levy, W.J. Effect of Epoch Length on Power Spectrum Analysis of the EEG. Anesthesiology 1987, 66, 489–495. [Google Scholar] [CrossRef] [PubMed]
- Metsalu, T.; Vilo, J. ClustVis: A Web Tool for Visualizing Clustering of Multivariate Data Using Principal Component Analysis and Heatmap. Nucleic Acids Res. 2015, 43, 566–570. [Google Scholar] [CrossRef]
- Gu, Z.; Eils, R.; Schlesner, M. Complex Heatmaps Reveal Patterns and Correlations in Multidimensional Genomic Data. Bioinformatics 2016, 32, 2847–2849. [Google Scholar] [CrossRef] [Green Version]
- Shao, Y.; Lunetta, R.S. Comparison of Support Vector Machine, Neural Network, and CART Algorithms for the Land-Cover Classification Using Limited Training Data Points. ISPRS J. Photogramm. Remote Sens. 2012, 70, 78–87. [Google Scholar] [CrossRef]
- Tian, Y.; Shi, Y.; Liu, X. Recent Advances on Support Vector Machines Research. Technol. Econ. Dev. Econ. 2012, 18, 5–33. [Google Scholar] [CrossRef] [Green Version]












| Title | Description | Activation Frequency | |
|---|---|---|---|
| LMW | HMW | ||
| System Monitoring | Monitor the scales of F1–F4 in Area 1 and respond with a mouse when the scales are not around the center | 1 | 24 |
| Tracking | In Area 2, keep the target at the grid center by joystick in MANUAL mode and no action is required in AUTO mode. | 1 | 24 |
| Scheduling | Monitor scheduling bar in Area 3 and respond to the activated communication with keyboard immediately. | 1 | 24 |
| Resource Management | Monitor oil volume in tanks and pump status in Area 4. Click the corresponding oil pump with a mouse when a failure occurs. | 1 | 24 |
| Subject | Optimal | Worst | ||
|---|---|---|---|---|
| sensm | Test Accuracy (%) | sensm | Test Accuracy (%) | |
| Sub 1 | 0.75 | 73.44 | 0.55 | 61.98 |
| Sub 2 | 0.7 | 76.04 | 0.55 | 61.98 |
| Sub 3 | 0.9 | 94.27 | 0.55 | 63.02 |
| Sub 4 | 0.7 | 81.25 | 0.55 | 57.81 |
| Sub 5 | 0.9 | 97.92 | 0.55 | 90.63 |
| Sub 6 | 0.75 | 100 | 0.55 | 82.29 |
| Sub 7 | 0.55 | 98.44 | 0.9 | 89.58 |
| Sub 8 | 0.9 | 100 | 0.55 | 92.71 |
| Sub 9 | 0.55 | 100 | 0.9 | 89.58 |
| Sub 10 | 0.8 | 99.48 | 0.9 | 56.77 |
Publisher’s Note: MDPI stays neutral with regard to jurisdictional claims in published maps and institutional affiliations. |
© 2022 by the authors. Licensee MDPI, Basel, Switzerland. This article is an open access article distributed under the terms and conditions of the Creative Commons Attribution (CC BY) license (https://creativecommons.org/licenses/by/4.0/).
Share and Cite
Jin, L.; Qu, H.; Pang, L.; Zhang, Z. Sensitive Channel Selection for Mental Workload Classification. Mathematics 2022, 10, 2266. https://doi.org/10.3390/math10132266
Jin L, Qu H, Pang L, Zhang Z. Sensitive Channel Selection for Mental Workload Classification. Mathematics. 2022; 10(13):2266. https://doi.org/10.3390/math10132266
Chicago/Turabian StyleJin, Lin, Hongquan Qu, Liping Pang, and Zheng Zhang. 2022. "Sensitive Channel Selection for Mental Workload Classification" Mathematics 10, no. 13: 2266. https://doi.org/10.3390/math10132266
APA StyleJin, L., Qu, H., Pang, L., & Zhang, Z. (2022). Sensitive Channel Selection for Mental Workload Classification. Mathematics, 10(13), 2266. https://doi.org/10.3390/math10132266

