Tinkering the Teacher–Technology Nexus: The Case of Teacher- and Technology-Driven Personalisation
Abstract
1. Theoretical Background
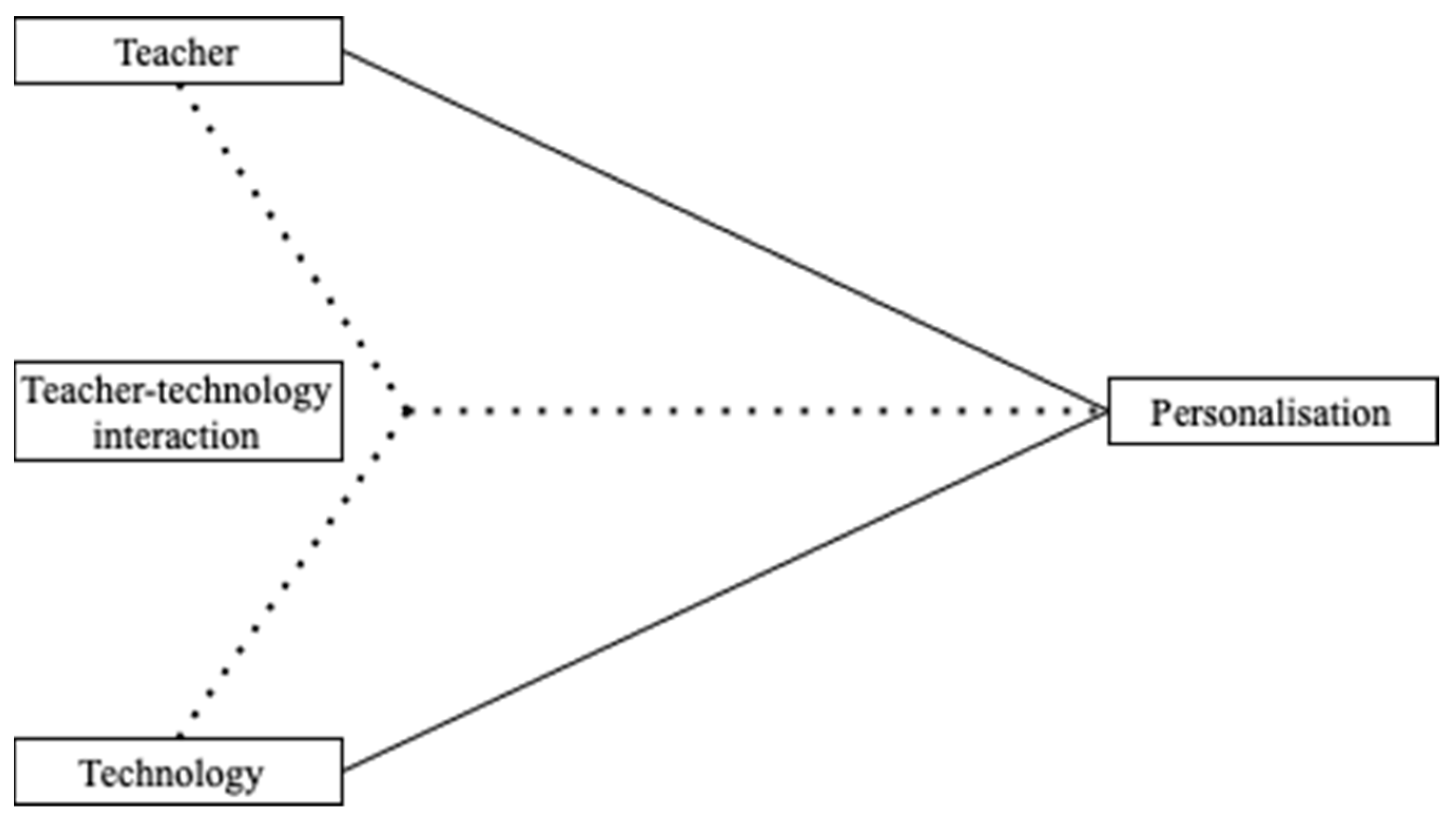
1.1. Personalisation Affected by Three Sources
1.2. Teacher-Driven Personalisation
1.3. Technology-Driven Personalisation
1.4. Personalisation Provided by the Teacher–Technology Interaction
2. Aims of the Research
3. Method
3.1. Participants
3.1.1. Case 1
3.1.2. Case 2
3.1.3. Case 3
3.1.4. Case 4
3.2. Procedure and DPL-Tool
3.3. Data Production: Observations and Interviews
3.4. Data Analysis: Within-Case and Cross-Case Analysis
4. Results
4.1. Section One: The Within-Case Analysis
4.1.1. Case 1—Mrs. S.
- A.
- Description of how the teacher implemented the tool
- B.
- Vignette: Reflection on personalisation strategy
Mrs. S.: “That is difficult, right? I will take my box over here [takes box]. I also found coordinates very difficult, so I decided to draw the axes. By doing so, you will be able to see them with me. So basically, this is your Minecraft world [holds out the box]. So, you have an x-axis, which is like a base [shows the x-axis on the box]. (…) Now in this world [points to the computer screen] there’s one more, which enables you to look far into the world. That is the z-axis. (…) You can experiment with it [shows the student how to simulate in the Minecraft’s code builder].”
- C.
- Teacher–technology interaction: How did the relationship take form?
Mrs. S: “I can coach so much more instead of plenary reciting everything (…) I have one magic word, ‘I can differentiate better’.” (…) “I am able to help students individually. Not every student is stuck at the same point, not every student needs your guidance at the same moment, not every student has the same learning pace. (…) I really do believe in this way of teaching. I want to learn more about it. (…) I think I can describe the relationship between me and the DPL-track as: It was my support.”
4.1.2. Case 2—Mrs. R.
- A.
- Description of how the teacher implemented the tool
- B.
- Vignette: Reflection on personalisation strategy
Mrs. R.: “Listening carefully, if I notice that you’re surfing the web, instead of working with the DPL-track, you will receive a zero. I can see your process. I know where you are in the learning track.” (…) [takes a look at the dashboard and checks the progress of a student] “Come on Y, you have to try harder and work a bit faster.” (…) [takes a look at the dashboard and checks the progress of a student] “S, did you return to the right tasks? I can see you moved on too fast, by now you could have only reached the second phase of the track.” (…) [takes a look at the dashboard and checks the progress of a student] “T, you have a red mark. That means you did not solve the question correctly. I saw that!”
- C.
- Teacher–technology interaction: How did the relationship take form?
Mrs. R.: “(…) I mostly sat at my desk and, yeah, sometimes I looked around the classroom, but most of the time I could do other things, like update my Smartschool. (…) I did not need to keep a constant eye on the students because they were buzzy with the DPL-track and I trusted it. (…) I could pass on the role of the teacher (…) I was more like a supervisor.”
4.1.3. Case 3—Mr. AG. and Mr. AW.
- A.
- Description of how the teachers implemented the tool
- B.
- Vignette: Reflection on personalisation strategy
Mr. AW.: “What are you looking for? Turning your avatar around? [grabs a piece of paper]. (…) So your avatar is standing there and the arrow is pointed downwards. [Indicates movements of the avatar on the computer screen] What should he do now? [student answers that the avatar should turn a quarter] Yes, clockwise, so that he will be standing like this and then you want him to move forward to there. [Draws the movement and draws degrees]. (…) Yes, but we want him there, what should we do? (…) [points to the code and simulates some degrees]. (…) Yes, well done, L!”
- C.
- Teacher—technology interaction: How did the relationship take form?
Mr. AW.: “(…) In the beginning I explained to the students that we would like them all to go through the entire track (…) I feared that some students would cheat on the vantage point by guessing answers and would therefore -unrightfully- move too far up the track. (…) They should have a little input, but they should also bear the consequences of that.” (…)
Mr. AW.: “We immediately took on the role of coach.” (…)
Mr. AG.: “Also the role of technician supporter.” (…)
Mr. AW.: “The DPL-track was very useful with regard to differentiation because students could work at their own pace.”
4.1.4. Case 4—Mrs. J. and Mr. C.
- A.
- Description of how the teachers implemented the tool
- B.
- Vignette: Reflection on personalisation strategy
Mrs. J.: “[To the student] Wait, which task are you working on? You are setting up Minecraft? [To Mr.C.] Can you help with Minecraft? [Goes to the student that Mr. C. was helping] What is the goal of the task? [She lets the student think and helps] Your avatar has to follow that path, but you may only use those two blocks [points to ‘forward’ and ‘turn a quarter clockwise’ block]. All right, the avatar is standing like this now [mimics how the avatar is standing]. He can turn to the right [mimics how to turn right]. He has to go from this point to that point. What does he need to do first? [Student answers the question]. Let’s test this. (…) The avatar stands like this now [mimics how the avatar is standing] and he has to go there. Turn, you say turn? And then go straight? [mimics what happens if she turns once and goes straight] We will test it again!”
- C.
- Teacher–technology interaction: How did the relationship take form?
Mrs. J.: “It was easy that there was instant differentiation. That you do not have to take care of it yourself and that you do not have to keep students waiting.” (…)
Mr. C.: “Yes, in the meantime I could support where needed and respond to the problems that arose.” (…) “We guided the student through the personalised learning experience which is provided by the DPL-track. We did not have to be the typical ‘tutors’ who teach or explain everything.” (…)
Mrs. J.: “I always find it interesting to follow up on the learner’s process. But I think it [referring to the dashboard] was not clear enough. You could not follow the students in detail. You could not see how long someone was working on the same task. I missed that.”
4.2. Section Two: Cross-Case Analysis
4.2.1. RQ1: Operationalisation of Teacher-Enhanced Personalisation while Using a DPL-Tool
4.2.2. RQ2: How Does the Teacher–Technology Nexus Take Shape?
5. Discussion
5.1. Tinkering the Teacher–Technology Nexus
5.2. Reflecting on Implications and Limitations
6. Conclusions
Author Contributions
Funding
Institutional Review Board Statement
Informed Consent Statement
Data Availability Statement
Acknowledgments
Conflicts of Interest
Appendix A
- How was it to implement the DPL-track into your classroom? In case of co-teaching, did you experience this differently or the same?
- How do you describe your role in the classroom during the implementation of the DPL track? Do you feel you take on a different role when teaching without a tool that personalises learning? In case of co-teaching, are there differences in experience? Did you divide the roles? Are you used to co-teaching?
- Did you experience advantages or disadvantages relative to your role(s) as a teacher when using the adaptive tool?
- How do you describe the relationship between you and the tool? In case of co-teaching, did you experience this differently or the same?
- Do you have any suggestions for strengthening the relationship between (1) teachers and (2) tools for personalisation?
- As you know, the DPL-track holds vantage points to facilitate personalisation (adapting learning tracks to students’ performances and preferences). Did you feel like the personalisation within the tool met your expectations? Are there other forms of personalisation that you would find more interesting?
- We saw there were some moments where you decided to facilitate additional personalisation. Can you reflect on such moments? When did you feel like doing this? We will reflect on these moments together using four words: target, method, time, source.
- Let’s take a look at a moment of personalisation in more detail. I would like to discuss your personalisation strategy while using the tool. We will reflect again, using the reflection words. I will first give a description of the personalisation strategy accompanied with a picture and then we can talk about what happened and what you were thinking at the moment.
- Did you interact with the dashboard during the lesson? If yes, what impact did this have on your (a) didactic actions and (b) reflection on student learning?
- Did you check the dashboard in between the two observations? If yes, did you take additional actions based on this consultation to prepare for the second part of the lesson?
- Let us briefly review the dashboard usage during the lesson in detail. If you used it for additional personalisation, please reflect on it using the reflection words.
References
- Bernacki, M.L.; Greene, M.J.; Lobczowski, N.G. A systematic review of research on personalized learning: Personalized by whom, to what, how, and for what purpose (s)? Educ. Psychol. Rev. 2021, 33, 1675–1715. [Google Scholar] [CrossRef]
- Clarke, J. Personalized Learning and Personalized Teaching. In Personalized Learning: Preparing High School Students to Create Their Futures; Di Martino, J., Clarke, J., Eds.; Scarecrow Education: Lanham, MD, USA, 2003; pp. 69–86. [Google Scholar]
- Järvelä, S. Personalised Learning? New Insights into Fostering. In Schooling for Tomorrow Personalising Education; OECD, Ed.; OECD publishing: Paris, France, 2006; pp. 31–46. [Google Scholar]
- Lee, D.; Huh, Y.; Lin, C.Y.; Reigeluth, C.M. Personalized learning practice in US learner-centered schools. Educ. Technol. 2022, 14, 1–13. [Google Scholar] [CrossRef]
- Bishop, P.A.; Downes, J.M.; Netcoh, S.; Farber, K.; DeMink-Carthew, J.; Brown, T.; Mark, R. Teacher roles in personalized learning environments. Elem. Sch. J. 2020, 121, 311–336. [Google Scholar] [CrossRef]
- Shaikh, Z.A.; Khoja, S.A. Role of Teacher in Personal Learning Environments. Digit. Educ. Rev. 2012, 21, 23–32. Available online: https://www.learntechlib.org/p/55234/ (accessed on 30 September 2022).
- Redding, S. Competencies and personalized learning. In Handbook on Personalized Learning for States, Districts, and Schools; Murphy, M., Redding, S., Twyman, J.S., Eds.; Temple University, Center on Innovations in Learning: Philadelphia, PA, USA, 2016; pp. 3–18. [Google Scholar]
- Molenaar, I. Towards hybrid human-AI learning technologies. Eur. J. Educ. 2022, 57, 632–645. [Google Scholar] [CrossRef]
- Puntambekar, S.; Kolodner, J.L. Toward implementing distributed scaffolding: Helping students learn science from design. J. Res. Sci. Teach. 2005, 42, 185–217. [Google Scholar] [CrossRef]
- Tabak, I. Synergy: A complement to emerging patterns of distributed scaffolding. J. Learn. Sci. 2004, 13, 305–335. [Google Scholar] [CrossRef]
- Vereschak, O.; Bailly, G.; Caramiaux, B. How to evaluate trust in AI-assisted decision making? A survey of empirical methodologies. Proc. ACM Human-Comput. Interact. 2021, 5, 1–39. [Google Scholar] [CrossRef]
- Bray, B.; Mc Claskey, K. Make Learning Personal: The What, Who, Wow, Where, and Why; Corwin Press: Thousand Oaks, CA, USA, 2015. [Google Scholar]
- Lokey-Vega, A.; Stephens, S. A Batch of One: A Conceptual Framework for the Personalized Learning Movement. J. Online Learn. Res. 2019, 5, 311–330. Available online: https://www.learntechlib.org/primary/p/210639/ (accessed on 30 September 2022).
- Deunk, M.; Doolaard, S.; Jacobse, A.E.; Bosker, R.J. Gronings Instituut voor Onderzoek van Onderwijs. In Differentiation Within and Across Classrooms: A Systematic Review of Studies into the Cognitive Effects of Differentiation Practices; GION onderwijs/onderzoek, Rijksuniversiteit Groningen: Groningen, The Netherlands, 2015. [Google Scholar]
- Holmes, W.; Anastopoulou, S.; Schaumburg, H.; Mavrikis, M. Technology-Enhanced Personalised Learning: Untangling the Evidence; Robert Bosch Stiftung GmbH: Stuttgart, Germany, 2018; Available online: http://www.studie-personalisiertes-lernen.de/en/ (accessed on 30 September 2022).
- Watkins, C. Personalisation and the Classroom Context. In Personalisation of Education in Contexts; Sense Publishers: Rotterdam, The Netherlands, 2012; pp. 1–18. [Google Scholar]
- Hourcade, J.J.; Bauwens, J. Cooperative teaching: The renewal of teachers. Clear. House 2001, 74, 242–247. [Google Scholar] [CrossRef]
- Thomas, D.; Muir, T.; Emery, S. Personalising Mathematics and English Learning in the Middle Years through Co-Teaching. In Proceedings of the Australian Association for Research in Education Conference, Brisbane, QUT, Australia, 1–5 December 2019; pp. 683–684. Available online: http://ecite.utas.edu.au/136509/ (accessed on 30 September 2022).
- Murawski, W.W.; Lochner, W.W. Observing co-teaching: What to ask for, look for, and listen for. Interv. Sch. Clin. 2011, 46, 174–183. [Google Scholar] [CrossRef]
- Maghsudi, S.; Lan, A.; Xu, J.; van Der Schaar, M. Personalized education in the artificial intelligence era: What to expect next. IEEE Signal Process. Mag. 2021, 38, 37–50. [Google Scholar] [CrossRef]
- Baker, R.S. Stupid tutoring systems, intelligent humans. Int. J. Artif. Intell. Educ. 2016, 26, 600–614. [Google Scholar] [CrossRef]
- Li, K.C.; Wong, B.T.M. How learning has been personalised: A review of literature from 2009 to 2018. In Blended Learning: Educational Innovation for Personalized Learning; Cheung, S., Lee, L.K., Simonova, I., Kozel, T., Kwok, L.F., Eds.; Springer: Cham, Switzerland, 2019; pp. 72–81. [Google Scholar] [CrossRef]
- Fitz Gerald, E.; Jones, A.; Kucirkova, N.; Scanlon, E. A literature synthesis of personalised technology-enhanced learning: What works and why. Res. Learn. Technol. 2018, 26, 1–16. [Google Scholar] [CrossRef]
- Vandewaetere, M.; Clarebout, G. Advanced Technologies for Personalized Learning, Instruction, and Performance. In Handbook of Research on Educational Communications and Technology; Spector, J.M., Merrill, M.D., Elen, J., Bishop, M.J., Eds.; Springer: New York, NY, USA, 2014; pp. 425–437. [Google Scholar] [CrossRef]
- Schmid, R.; Pauli, C.; Stebler, R.; Reusser, K.; Petko, D. Implementation of technology-supported personalized learning—Its impact on instructional quality. J. Educ. Res. 2022, 115, 187–198. [Google Scholar] [CrossRef]
- Aleven, V.; Blankestijn, J.; Lawrence, L.; Nagashima, T.; Taatgen, N. A Dashboard to Support Teachers during Students’ Self-paced AI-Supported Problem-Solving Practice. In Educating for a New Future: Making Sense of Technology-Enhanced Learning Adoption; Hilliger, I., Muñoz-Merino, P.J., De Laet, T., Ortega-Arranz, A., Farrell, T., Eds.; Springer: Cham, Switzerland, 2022; pp. 16–30. [Google Scholar]
- Puntambekar, S. Distributed Scaffolding: Scaffolding Students in Classroom Environments. Educ. Psychol. Rev. 2022, 34, 451–472. [Google Scholar] [CrossRef]
- Van Schoors, R.; Bhatt, S.; Elen, J.; Raes, A.; Van Den Noortgate, W.; Depaepe, F. Design and development of a digital personalised learning track: Bridging the gap between textual and visual programming. Manuscript submitted for publication.
- Backfisch, I.; Lachner, A.; Stürmer, K.; Scheiter, K. Variability of teachers’ technology integration in the classroom: A matter of utility! Comput. Educ. 2021, 166, 104159. [Google Scholar] [CrossRef]
- Backfisch, I.; Scherer, R.; Siddiq, F.; Lachner, A.; Scheiter, K. Teachers’ technology use for teaching: Comparing two explanatory mechanisms. Teach. Teach. Educ. 2021, 104, 103390. [Google Scholar] [CrossRef]
- Yin, R.K. Case Study Research: Design and Methods; Sage: Thousand Oaks, CA, USA, 2009. [Google Scholar]
- Orum, A.M.; Feagin, J.R.; Sjoberg, G. A Case for the Case Study; Feagin, J.R., Orum, A.M., Eds.; UNC Press Books: Chapel Hill, NC, USA, 1991; pp. 1–26. [Google Scholar]
- Miles, M.B.; Huberman, A.M. Drawing Valid Meaning from Qualitative Data: Toward a Shared Craft. Educ. Res. 1984, 13, 20–30. [Google Scholar] [CrossRef]
- Gauthier, A.; Mavrikis, M.; Benton, L.; Vasalou, A. Adoption and usage challenges of a Learning Analytics Dashboard for game-based learning: Design and implementation implications. In Companion Proceedings 12th International Conference on Learning Analytics & Knowledge (LAK22); Solar Research: Golden, CO, USA, 2022. [Google Scholar]
- Pflaumer, N.; Knorr, N.; Berkling, K. Appropriation of adaptive literacy games into the German elementary school classroom. Br. J. Educ. Technol. 2021, 52, 1917–1934. [Google Scholar] [CrossRef]












| Vantage Points (see Figure 3) | Description of the Key Moment |
|---|---|
| A | Vantage point A holds a short quiz which evaluates prior knowledge regarding programming. After completion, instead of receiving scores, students are matched with a track corresponding to students’ cognitive level: Students who answered all questions (n = 5) correctly were led to the middle of Phase 2. Students who answered three or four questions correctly were led to the beginning of Phase 2. Students who answered less than three questions correctly were sent to the beginning of Phase 1. Students are not aware of the track to which they are attributed. |
| B | Vantage point B holds questions through which students can self-estimate their knowledge regarding coordinates (x,y,z coordinates for dimension). According to their desire, students are presented with easier/harder tasks and more/less instruction. |
| C | Vantage point C builds on vantage point B as it holds an additional quiz concerning coordinates to check whether students who declined extra information or tasks, really understand the learning content. If students fail this quiz, they are guided back to the track that holds additional guidance. |
| D | Vantage point D holds questions through which students can self-estimate their knowledge regarding variables. According to their desire, students are presented with easier/harder tasks and more/less instruction. |
| E | Vantage point E builds on vantage point B as it holds an additional quiz concerning variables to check whether students who declined extra information or tasks really understand the learning content. If students fail this quiz, they are guided back to the track holding additional guidance. |
| Question | Description of the Key Moment |
|---|---|
| Target | What is being personalised? The presentation/the layout/the learning pace/the instruction/the feedback/ |
| Method | By whom did the personalisation happen? The teacher or the tool or a combination? |
| Time | When did the personalisation happen? Before, during, the student–technology interaction? |
| Source | Which students are (mostly) involved and which characteristics are considered? |
| Reflection on Personalisation Strategy Based on the Observation (O) and/or Interview (I) | |
|---|---|
| Target (O) | The target that is being personalised—by both the DPL-track and the teacher—is instruction regarding the x,y,z coordinates and their dimensionality. Coding with coordinates (e.g., placing an object at 0, −1, 0) is one specific element that students need to master before moving on to more difficult parts of the learning track. |
| Method (O&I) | The personalisation was provided by both the DPL-track and the teacher: the DPL-track provided student-controlled personalisation regarding additional instructions on coordinates, which the student agreed to. Meanwhile, the teacher provided personalisation by giving extra support to process these additional instructions. To do so, the teacher used the DPL-track to simulate and visualise the axes. In addition, she gave an introduction on coordinates via a self-made cube. Mrs. S.: “A feature I really like about the DPL-track is that, at some vantage point, students can decide if they want more information or instruction about a specific topic. There are some students who are truthful, but if not, the DPL-track compensates with questions regarding their knowledge on the topic. (…) For me, that is very useful because I can focus on the coaching process. (…) While there are already words and codes on the screen, I could also show it through the crafted cube.” |
| Time (O&I) | The personalisation happened during the student–technology interaction. Mrs. S. decided to personalise instructions when the student asked a question about coordinates. However, the teacher also prepared personalised support before the student–technology interaction by solving all tasks and reading through all instructions. As she considered coordinates to be difficult to learn, she crafted a box to overcome possible student learning difficulties. Mrs. S.: “At that moment I decided to personalise because the student asked a question about it (referring to coordinates). But at other moments, I personalised while observing students’ computer screens showing the x,y,z-axes. I know it is difficult learning material, so I wanted to support them immediately.” (…) I actually made the cube for myself when I was going through everything. (…) I thought that I had to come up with a trick to explain coordinates, because if I did not prepare it, it would be a disaster.” |
| Source (O) | The teacher provided personalised instructions while interacting with one specific student who lacked programming skills/knowledge about coordinates. Nonetheless, the same personalisation strategy was repeated during one-on-one interactions with other students who lacked the same skills/knowledge. |
| Reflection on Personalisation Strategy Based on the Observation (O) and/or Interview (I) | |
|---|---|
| Target (O) | The target that is being personalised—by the teacher using the dashboard of the DPL-track—is feedback about the progress of students. She reminded one student to work a bit faster and another student to follow the track truthfully. |
| Method (O&I) | While the DPL-track personalised the learning experience for every student, the teacher relied on the dashboard of the DPL-track to provide some additional personalised verbal feedback. During the interview she explained that she graded students according to the progress that was shown on the dashboard. Mrs. R.: “I did not have the feeling that I had to personalise additionally; I found the DPL-track to be sufficient.” (…) “I experienced the DPL-track as very user friendly. (…) You can use the dashboard to see where they are situated within the learning track. (…) I would like to see some more information on students’ progress within every coding environment for every task. For example, checkmarks when tasks are correctly solved. (…) “I also graded them according to what I saw in the dashboard. (…) If they got a red mark for a quiz question during a vantage point, I gave them 2,5/5. If they received a green mark, they got 5/5.” |
| Time (O&I) | The personalisation happened during the student–technology interaction. In between her administrative activities, the teacher randomly opened the dashboard and clicked a specific student to monitor the progress. When she noticed irregularities regarding their progress, she decided to provide some verbal feedback. Mrs. R.: “I was managing where necessary. (…) If I noticed students lingered too long or made big jumps forward, I knew that something was not right. I really liked that I could see that on the dashboard.” |
| Source (O) | She mostly provided personalised feedback concerning learning progress while interacting with one student at a time. Although the comments were addressed to one specific student, classmates could also hear them as they were made aloud. The teacher’s decision of checking on specific students was not completely random: Mrs. S. said she always keeps an eye on students who are ‘easily distracted’. Mrs. R.: ”I checked on Y, N and A more because they are often disobedient. They never listen or get easily distracted. (…) I barely checked on the girls because I know they are always doing what I ask them. (…) But the boys, yes, I monitored their progress more often.” |
| Reflection on Personalisation Strategy Based on the Observation (O) and/or Interview (I) | |
|---|---|
| Target (O) | The target that is being personalised—by both the DPL-track and the teacher—is instruction regarding degrees in codes to make avatars turn around in the coding environment FTRPRF. Coding with degrees (e.g., turn a quarter to the left = −45°) is one specific element that students need to master before moving on to more difficult parts of the learning track. |
| Method (O&I) | The personalisation was provided by the teacher: the student did not understand an instruction—which was provided by the DPL-track—on coding with degrees. Therefore, the teacher decided to personalise instructions while using the DPL-track to simulate and visualise what happens when degrees change. At the same time, he gave an introduction on degrees while drawing angles and degrees on a piece of paper. Mr. AG.: ”I gave some more instructions on a piece of paper. (…) I explained some maths, for example, I drew a triangle consisting of 180 degrees to calculate how far the avatar would turn. (…) I like to link their knowledge by visualisations. [pretending to give an explanation to a student]” this is how it looks on paper and this is what it looks like on your screen.” |
| Time (O&I) | The personalisation happened during the student–technology interaction. Mr. AW. decided to personalise instructions when the student asked a question about degrees within coding. Mr. AG.: ”(…) walking around, you see what students are working on. You notice, for example, that they are still working on the same exercise if you pass by a second time. (…) And then you can ask if everything is okay. (…) Because if they indicate that they are doing fine, then I leave them working at their own pace. If not, then I will try to help them.” |
| Source (O) | The teacher provided personalised instructions while interacting with one student who lacked programming skills/knowledge about degrees. Nonetheless, the same personalisation strategy was repeated during one-on-one interactions with other students who lacked the same skills/knowledge. |
| Reflection on Personalisation Strategy Based on the Observation (O) and/or Interview (I) | |
|---|---|
| Target (O) | The target that is being personalised—by the teacher—is instruction regarding the coding of navigation using blocks (e.g., forward, turn right, turn left). Coding with blocks is the base of visual programming that students need to master before moving on to more difficult parts of the learning track. |
| Method (O&I) | The personalisation was provided by the teacher. The student did not understand the instruction—which was provided by the DPL-track—on coding navigation of an avatar with blocks. Mr. C. initiated personalised instruction. However, Mrs. J. wanted to switch places with Mr. C. and take over from him, because she was helping a student with the set-up of a coding environment and she believed that Mr. C. is better at explaining such technical details. Mrs. J. continued the personalised instructions concerning navigation by using the DPL-track to simulate and visualise navigations. At the same time, she provided additional visualisation by imitating the avatars’ navigation. Mrs. J.: “Yes, we are one team, right! (…) I also have difficulties with it sometimes, for example, when adjusting the keyboard settings. I already forgot again what the right keys are.” (…) Yes, indeed, yes visual instructions! I always did that to explain how the avatar turns. (…) Mr. C.: “The students are very weak when it comes to the language. So we tried to explain them in a different way. (…) Mrs. J.: “Yes, read the task with them together and literally show them what it means.” |
| Time (O&I) | The personalisation happened during the student–technology interaction. Mrs. J. and Mr. C. decided to personalise instructions when students asked them questions regarding (a) the set-up of a coding environment and (b) the navigation of an avatar. |
| Source (O) | Both teachers’ personalisation strategies include one-on-one interactions with students who lacked programming skills/knowledge about navigation. Nonetheless, the same personalisation strategy was repeated during one-on-one interactions as other students lacked the same skills/knowledge. Furthermore, they explained that they also keep an extra eye on “weaker” students who are additionally struggling with the Dutch language or technology. Mrs. J.: “You have to support them from the beginning: read together, point to the screen, ask questions. Some of our students just need a lot of guidance. (…) Some struggle with the Dutch language. (…) Others are not used to technology.” |
Disclaimer/Publisher’s Note: The statements, opinions and data contained in all publications are solely those of the individual author(s) and contributor(s) and not of MDPI and/or the editor(s). MDPI and/or the editor(s) disclaim responsibility for any injury to people or property resulting from any ideas, methods, instructions or products referred to in the content. |
© 2023 by the authors. Licensee MDPI, Basel, Switzerland. This article is an open access article distributed under the terms and conditions of the Creative Commons Attribution (CC BY) license (https://creativecommons.org/licenses/by/4.0/).
Share and Cite
Van Schoors, R.; Elen, J.; Raes, A.; Depaepe, F. Tinkering the Teacher–Technology Nexus: The Case of Teacher- and Technology-Driven Personalisation. Educ. Sci. 2023, 13, 349. https://doi.org/10.3390/educsci13040349
Van Schoors R, Elen J, Raes A, Depaepe F. Tinkering the Teacher–Technology Nexus: The Case of Teacher- and Technology-Driven Personalisation. Education Sciences. 2023; 13(4):349. https://doi.org/10.3390/educsci13040349
Chicago/Turabian StyleVan Schoors, Rani, Jan Elen, Annelies Raes, and Fien Depaepe. 2023. "Tinkering the Teacher–Technology Nexus: The Case of Teacher- and Technology-Driven Personalisation" Education Sciences 13, no. 4: 349. https://doi.org/10.3390/educsci13040349
APA StyleVan Schoors, R., Elen, J., Raes, A., & Depaepe, F. (2023). Tinkering the Teacher–Technology Nexus: The Case of Teacher- and Technology-Driven Personalisation. Education Sciences, 13(4), 349. https://doi.org/10.3390/educsci13040349

