Abstract
In the past two decades, a considerable amount of research has focused on digital games as part of media education. Digital game-based learning (DGBL) is identified as a potential pedagogical approach to enhance learning in the digital era. In light of the increased number of academic articles on educational games, this study considers the development and the factors that influence learning performance among children by providing a thematic review of the literature available on DGBL. Findings show that despite following developmental standard procedures, a distinct perspective between the game designer and the educator is essential. Three major approaches have been identified, namely the learner-centered, the game-centered and the model approaches. Learning processes that use digital games show empirically positive results as well as the great influence in terms of intrinsic motivation, game features and overall learning experience.
1. Introduction
Digital games are known to be used for popular entertainment and educational media by the current generation (Gen-Z) [1]. The influence of technological development on media instruction increases the accessibility of digital games for various ages. Through digital games, specific integrated learning content can be provided during play. In the 21st century education, digital games have been identified as potential tools to improve learning [2], allowing people to train themselves as thinkers and providing an adequate environment to increase the required set of skills. Depending on the type, games can also stimulate the player to formulate tactics, use ‘second-guessing’ techniques, and commit to the planned strategy [3]. Even though most young people are literate in information technology and able to play digital games, designing a game is not an easy task. Several processes and people are needed to develop a complete playable digital game for learning.
Digital games can be played either by a single player (targeted individual learning) or by multiple players (targeted collaborative learning). Commercially, multiplayer games are more about social interaction, where it requires a certain number of players to work as a team in order to complete the gaming task. However, for educational digital games, most games are made for individual players. A survey study from MIDiA in 2022 indicates that 57% of gamers prefer single-player games instead of multiplayer games [4]. Since individual learning outcome is more important compared to social interaction, research on educational digital game design and development rarely design multiplayer games, as they require online platform programming [5] and a large amount of teamwork, time and money [6].
The development of games for educational purposes differs from those for common entertainment [3]. For designers, games for children are the most challenging. The reason is that the technology and gameplay tend to be limited, especially for young children [7]. Moreover, no single type of game is appropriate for all children due to their motor and cognitive skills changing throughout childhood. Fisher [7] stated that game designers need to understand the developmental milestones that cover the cognitive, physical, and emotional development of children. Based on Piaget’s theory of child development, most game designers classify children into four age ranges, as follows: babies and toddlers (ages 0–2), preschoolers (ages 3–5), early elementary kids (ages 6–8) and tweens (ages 9–12). Each group has its own interests and abilities, reflecting that their brains and physiology differ from those of adults. In the educational context, game designers need to identify the target audience for the game to provide playable and engaging experiences for both boys and girls [7,8].
Historically, games have been designed and developed for both genders. However, when playing together with the same game, boys and girls differ in their enjoyment of the game [7,9]. This situation occurs in the tweens group, where girls and boys start to mature, and their puberty occurs at the age of 10 onwards. Their ways of thinking and interests often enter dimensions where boys prefer masculine games while girls prefer feminine ones. In game preferences, boys prefer racing games and first-person shooters while girls prefer to choose more social and caregiving games [7]. The issue on gender preferences in games has been discussed and agreed with gender inclusiveness in games, aiming to make games that can interest both sexes. The most appropriate example of a successful game design is physics-based, that is, Angry Birds, which has become popular among children not only of both genders but also of various ages. Other games such as Plants vs. Zombies, Candy Crush, SimCity, and Minecraft are also popular among children within the ages that are suited for learning.
Educational digital games can also provide learning experiences in virtual worlds [6,8,10]. James Paul Gee [11,12,13] is one of the major contributors in digital game-based learning (DGBL) research and discusses a deeper understanding of using games in education. His works in 2005 indicates that learning is effective in a good game with a good design [11,12,13]. Given that games are related to problem solving structured by specific goals, Gee believes that good game design provides better learning experiences in virtual worlds where people (players) use skills for learning and problem solving, and mastery for engagement and pleasure. Humans think and learn not through abstract calculation and generalization but primarily through experiences, which are stored in the memory and used to determine simulations to apply problem solving in new situations [14].
The objective of playing is to pass all the obstacles set up for the player and win the game [6,15,16]. In the learning context, mastery of certain knowledge or concepts is the goal of learning [17]. When game designers combine the educational content into game design, the game itself becomes a powerful tool to develop understanding and concepts for the player [18]; it is not merely creating a fun environment but also helping students to enhance their learning of subjects that have been intelligently constructed in game format. Moreover, in the recent technological world, people become familiar with games due to the increasing number of gadgets and devices produced each year [19]. People gain access to free downloads of games that they find most attractive and play it for certain periods [20]. By contrast, game development plays an important role for DGBL. The game must be able to attract people to play, otherwise the play period may be short. However, if players reach the highest level, then they can construct and understand the interaction of subjects inside the game.
Various studies discuss how to develop a good game that can be played by children in general. This epistemology of theoretical and practical research in games for education provides a clear picture and guidance in designing a good game. Most scholars publish their ideas and models for designing digital educational games that cover various distribution platforms such as web- and mobile-based games. In the era of mobile technology, the gaming scenario has switched to mobile gaming. This situation encourages people to play games through their smartphones and tablets by using game applications (apps). With their widely and firmly established platform infrastructure, mobile games differ mainly through design [21]. However, at present, many game apps are available on app stores, but their quality is decreasing [22]. This issue is reflected in the review by Neil [23], which indicates that most game designers have difficulties in referring and applying the theoretical aspect of good game design. In fact, most of the mobile game apps produced nowadays are only created for economic purposes, and do not emphasize successful educational content as long as the game is popular and generates a high income.
Therefore, this study reviews the recent research on digital games to examine the input for designing games and the factors influencing learning performance, particularly in games for children. Given the many models of designing digital games for educational purposes, this study considers recent works on game development with results that indicate positive learning performance. All inputs in game design and its effects on learning performance are examined. Thus, findings show the comprehensive and current research trends in media education, to examine how digital games are designed and developed to improve learning performance.
2. Designing Games for DGBL
Designing and developing games in education is complicated due to the incorporation of educational content, game elements, and entertainment [6,18,24,25]. The purpose is to engage players to the game play and enhance learning. At this stage, the game designer plays an important role in conceiving a framework for a series of interesting challenges in the form of a ‘game’ [18]. No specific process to design a good educational game has been identified. In most literature, scholars, academics and game designers discuss the input process of developing good games for educational purposes (Table 1). However, the latest review and conceptualization on digital games for education indicates six universal attributes that contribute to a good game design, as follows: theory, learning strategy, pedagogy, learning content, game elements and game principle design [24,25].
Table 1.
Components for developing games for DGBL.
The basic model of game design consists of several iteration stages, namely, conception, prototype, playtest, analysis and modifications [18,40]. However, designers noticeably spend more time on conception before moving on to the next stage, which is the more technical part of development. The game repeats this cycle until the target audience is satisfied. Given that games have been identified as significant tools in teaching and learning, the literature mainly focuses on game development and its significant impact on learning performance [26,32,36,40,41,42,43,44,45,46,47,48,49].
The above focus on game development highlights the fundamentality of the design model underlying each process. However, the models differ in the conception stage. Here, the designer and educator critically identify the concept of the game to be created. Based on recent research, this conception can be categorized into the model approach, learner-centered, and game-centered. The model approach is commonly used by designers by applying the most relevant model in designing games for educational purposes. The learner-centered approach uses personalized or individual preferences in the game, and thus is rarely preferred by designers due to its process of collecting survey data among learners. However, this approach is useful in enhancing the specific learning outcomes to be carried out for research purposes. However, literature on learner-centered approaches is still limited. Finally, the game-centered approach first uses the content to conceptualize the game design. This idea is usually proposed by game designers or developers based on their inspirations. Hence, a critical gap remains between theoretical and practical perspectives when discussing digital game development.
Most educational digital games (games made for educational purposes) have targeted groups among children. Scholars believe digital games made with proper integrated learning content will help children to enhance knowledge and learning performance. In the past 20 years, studies have been trying to discover the potential use of digital games in education. However, since digital and gaming technology is developing rapidly in the 21st century, more digital games have been made for research purposes. Most of the targeted respondents are adults, but studies on developing educational games for children are still limited. The core design for both targeted users, children or adults, is the same, where the game itself must be able to deliver learning content, and be appealing and playable. But, for children’s games, the player’s cognitive ability, layout design, and the avoidance of sexual and violent content should be considered [50].
Based on the selected studies, the approach or design method used to create educational digital games can be grouped into three types, which are the model approach, learner-centered approach, and game-centered approach. In this review, each approach has its own specific criteria. We define those approaches to fit into these three classifications. The model approach requires each game designer to examine and choose the best model from existing literature sources that emphasize the input, process and output of the desired digital game. The learner-centered approach, on the other hand, requires each designer to use the specific targeted user’s need and requirement. The requirement involves the user’s cognitive ability, design factor, and the desired learning outcome to increase playability. Finally, the game-centered approach is most popular among game industries where the design is centralized on game elements that potentially increase the level of engagement regardless of the learning outcome.
2.1. Model Approach
In digital game development, approaches are applied as a method of developing another good digital game for better learning and performance. Different approaches provide better outputs and suit the learners’ needs while implementing games into the game-based learning (GBL) environment. The use of approaches originally started in early 1980s to teach games for understanding models. Different versions of approaches are introduced based on scholars’ analogous ideas [51,52]. To develop good digital games that are suitable for the GBL environment, most experts, scholars, and educators in related fields introduce and use different approaches to achieve better learning outcomes and performance [29,31,32,34,35,36,39,53]. This approach is also known as the model approach, where researchers and designers will refer and apply the existing design and development framework from the literature. They use and adapt the framework to suit their desired outcome needs for the digital game design. The framework may demonstrate unique benefits. It may be important in planning which configuration of mechanics may be most likely to drive the desired learning outcomes.
Designing digital games that incorporate educational approaches require systematic planning [24]. The developed game must allow learners to create their own knowledge and understanding as a result of playing games. As mentioned earlier, a considerable amount of research has focused on game development with educational content that enhances learning. Several approaches which have been used and introduced include the IDDTI model, the game-based learning model (GBLm), the learner’s cognitive style, question prompts and feedback types, problem-based gaming and learning anxiety, game-based mathematics, GBL with scaffolding, computer-based narrative games, and narrative-centered learning perspective [32,36,40,41,42,43,44,45,47,54]. Table 2 summarizes the empirical evidence from previous literature on developing games for GBL.
Table 2.
Empirical study on approaches used in game development for DGBL.
The combination of interactive multimedia simulations and computer game elements can be the most effective, and represents the latest advance in educational resources for today’s digital generation. Kuk et al. [41] and Pedersen et al. [44] integrated interactive multimedia simulation and computer game elements in teaching computer engineering and physics, respectively. Despite their different target groups, these two studies showed significant positive results, proving that the integrated models increase learning performance among participants, regardless of age range. Kuk et al. [41] constructed and implemented GBLm into graphical algorithms, called the GBL4GAl module, to teach unit Z-buffer algorithm for computer engineering. The game design systematically constructs the learner’s profile, teaching methodology, and the learning outcomes to facilitate learning. The games were tested in the experimental conditions and students were grouped into a conventional lecture group (Group 1) and a group with extended GBL using GBL4GAl module (Group 2). Kuk et al. [41] found that satisfaction and motivation among students in Group 2 was higher compared with Group 1. Thus, multimodal relationships between learning theories and contemporary learning profiles for the new generation (digital native/GenZ) help to develop GBL that enhances learning.
However, Pedersen et al. [44] developed games for secondary-school students aged between 16–19 years old compared to Kuk et al. [41], whose participants were college students. To help in student learning and a basic differentiation concept for physics, Pedersen et al. [44] developed a game named DiffGame, which contains basic principles of differentiation through game-like elements. DiffGame was tested in a blended-learning environment, where the games were deployed in a classroom with a teacher and instructors helping and guiding the sessions. The game was tested twice for the pilot and the real tests. Several cycles of development occurred due to problems such as game layout and critical software bugs identified during the first phase of the prototype and playtest. Three of the frames were removed from the track and the accompanying texts were shortened and sharpened to fix the bug, and the game was re-tested on another group of participants. The final test of Pedersen et al. [44] shows that the average percentile of student training using GBL increased. Meanwhile, an intrinsic motivation survey was also carried out to examine the relationship between value and enjoyment, which both showed insignificant results. This development of DiffGame demonstrates the increasing results of student achievement and the understanding of basic principles of differentiation. However, a deep conception phase was not carried out, given that DiffGame was developed without incorporating the student learning profile and attractiveness. Therefore, students did not feel DiffGame was useful, nor did they enjoy playing, and thus the game is only useful for the experimental process as reported by Pedersen et al. [44].
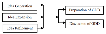
Hussain et al. [40] showed the systematic game development of 1 Minit Ujian Matematik (1 Minute Mathematical Test). The aim is to develop a game for GBL for remedial mathematics students, and thus enhance the remedial module provided by the Ministry of Education in teaching and learning activities. To develop a good game for the specific targeted group, the scholars applied IDDTI model, a derivative form of a classical waterfall software development model. Table 3 shows the five main stages of IDDTI, namely idea, design, development, test and implementation.
Table 3.
Stages involve in IDDTI model [40].
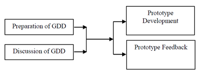
Applying the IDDIT into game development indicates the systematic flow in which the development begins with the idea. In gaming literature, the idea or conception stage is most cited as necessary to define the general theme to be applied and prepare several documents. This part is important to ensure all elements of mathematics provided by the Ministry of Education is used in a form of game design document (GDD). The design stage indicates the preparation and discussion of GDD to develop the prototype and the feedback. The development stage indicates the application of the learning strategy, tests the usability and obtains feedback. Results from the design stage determine the test stage, which is carried out to evaluate the prototypes developed of the game and record the feedback. The final stage is implementation, when the game is ready to be tested in real situations and the results are analyzed and generalized.
Hussain et al. [40] also used quasi-experiments to test the completed game among 30 remedial students and to undergo systematic development. Data were analyzed by using a t-test to identify the significant differences among student scores, and then a one-way ANOVA was used to compare the means. The results were positive, in which the use of the game facilitates remedial students to learn mathematics. Thus, game development by applying IDDTI model was found to be suitable for developing games for GBL. This model is similar to other general models of product development. In the gaming context, usability or play testing is the most important stage to ensure that the design and programming work and can be used by children. This model can be expanded and applied not only for mathematics but also for various learning contents.
In terms of children’s digital games, researchers also use a framework as the underlying basis for design. The application of a design framework has been applied to educational digital games [55] and serious games [56]. Clark et al. [55] consider two frameworks for designing games for children to learn science. They use a framework of knowledge in pieces (KiP), a theory about the structure of human knowledge, and another one, which is science as practice (SaP), a theoretical perspective that emphasizes the deeply intertwined nature of conceptual development and the development of epistemic and representational practices. According to them, KiP can support students in refining their structured priorities around targeted disciplinary relationships, while SaP can provide fictive representations of real things that are simpler than the real objects and systems they represent.
There are several models for educational digital games such as the game object model, the serious game Lemniscate model and the cognitive behavioral game design model [56]. A recent study by Gauthier et al. [56] applied the activity theory-based model of serious games (ATMSG). They redesigned the game called Stop & Think (S&T) by using the ATMSG framework. The new design S&T is able to train children to apply their inhibitory control skills when solving counterintuitive mathematics and science problems. Their study shows that integrating the ATMSG framework provides a visual framework with which designers and researchers can explicitly map the gaming, learning, and instructional design for the game mechanics and game flow in the newly designed S&T.
2.2. Learner-Centered Approach
The learner-centered approach requires the designer to use the learners’ specific requirement as the core central idea design for the digital games. This method takes the needs of learners as the main topic of design. Children love to play and explore any type of game that appeals to them [57]. In the educational context, this learner-centered approach works when a designer attempts to solve existing problems in children’s learning. For example, a digital game was developed to increase STEM interest among children [48,58,59]. To achieve the aim of the game development, designers must identify specific elements related to interest development before designing the game. Most research focuses on digital game development and implementation into the GBL environment. However, several studies rely on the individual’s ability to deliver a good learning process and performance through gaming, which tend to focus on the cognitive style of learners, a narrative-centered approach, and scaffolding [36,45,47]. Thus, the present study classifies these three approaches as learner-centered and discusses them in terms of game development. In the learning context, narrative plays a role as the mechanism for motivation. The narrative-centered approach is commonly applied in the narrative game (adventure), in which the game has a story structure that motivates players to achieve goals [47].
The narrative-centered learning perspective plays important roles in developing a game structure and at the same time considers the learners’ ability to engage with the flow. Narrative in terms of the game can be described as the sequence for a character to achieve goals. For players, the narrative helps them engage with the educational content that has been implemented in the game design. Lester et al. [47] significantly described the potential of the narrative-centered learning perspective approach in game development by using science education as the subject. The study took four years of laboratory work to develop a GBL environment in Crystal Island: Uncharted Discovery for elementary science education. The major contribution of the narrative-centered learning perspective from the point of view of curricular and narrative interaction design requirement presents the design of Crystal Island: Uncharted Discovery, and the game evolution is based on the pilot and field test. The results show the learning gain in science content and problem-solving. The design of the Crystal Island: Uncharted Discovery game contains six major features, which are plot, character, setting, interface and control, gameplay and curriculum.
In the educational context, scaffolding refers to the various instructional techniques used to move students progressively towards better understanding, and ultimately, greater independence in the learning process [45]. This approach is also in DGBL, and shows the potential to enhance student learning. Scaffolding is mostly used in game design to ensure that children can receive help when needed and can develop understanding by learning through the game. Waiyakoon et al. [45] developed an instructional learning object design model for tablets using GBL with the scaffolding approach to enhance mathematical concept for learning disability students. An analysis of the literature leads to six main themes, which are instructional design models, learning object for tablet, GBL, the scaffolding approach, mathematical concepts, and mathematics learning disability. Later, four-stage methods were carried out as part of evaluating comments of teachers from the Special Education School and the style of learning to enhance mathematical concepts for students of mathematics with a learning disability.
As a result, Waiyakoon et al. [45] developed a systematic framework to describe game development specifically for students with learning disabilities to learn mathematics with the integration of a scaffolding framework. Ten processes were adapted from Mowat [60], namely feasibility evaluation, project planning, need analysis, functional analysis, objective elimination, identifying terminal objectives, design, development, implementation and, lastly, evaluation. The study differed from other DGBL research because it focused on developing games for learning disability students. The guidelines of game development adapted the instructional design of learning objects by Mowat [60]. Such a process is systematic because of the need to evaluate the use of games to help students with learning disability learn mathematics, and ends with the evaluation, which determines whether the game itself can enhance student understanding of mathematical concepts.
Ku et al. [36] also considered the cognitive style of learners, which plays an essential role due to their influence on a person’s information processing habits, problem solving, and preferred mode of perceiving, thinking and remembering. Games that are designed specific to learners’ cognitive style increase engagement in the gameplay and the learning performance. Ku et al. [36] explored the cognitive preferences among learners, such as hints, music and narrative. These three elements were used as the basis of game design because several players use hints to move to another stage of gameplay, while others do not. Music plays an important part of gameplay, which is otherwise silent. Music and sound effects highly engage players. The last is narrative, which helps players explore the game flow and setting. By considering these three elements, Ku et al. [36] incorporated customization and personalization into the GBL environment, as identified during game conception.
2.3. Game-Centered Approach
The game-centered approach is design mainly from the game perspective in which the content is gamified into the mechanics. The game elements are considered a priority in the design of game-based learning. The idea originally came from the game designer and developer, who are the only essential people in the game design. Question prompts also work on DGBL in educational games and may promote student learning, on which it has an interaction effect. To prove this argument, Law and Chen [42] mainly examined and discussed the effects of the types of question prompts and feedback on science learning outcomes in a GBL environment. The question prompts are specified as knowledge against application prompts, while feedback types are knowledge of correct response (KCR) against elaborated response (ER). The participants were 105 students from a secondary school in Taiwan, assigned to four different conditions in the GBL environments, namely knowledge-KCR, knowledge-ER, application-KCR and application-ER, to learn the concepts of force and motion. Results show that students with the knowledge prompts highly outperformed those with application prompts. In addition, students with ER feedback performed better than those with KCR feedback when knowledge prompts were given; however, students with KCR feedback performed better than those with ER feedback when application prompts were given. For feedback types, providing application prompts with the elaborated feedback in DGBL can impede student learning and the interaction effect between the types of prompts and of feedback.
Hwang et al. [43] explored problem-based gaming by developing an English listening game for learners with English anxiety. Those with high anxiety performed more complex learning and gaming behaviors but showed a better learning achievement. Problem-based gaming is thus suitable for those with high anxiety towards learning the English language. Problem-based gaming requires learners to solve the problem inside the gameplay itself. This type needs to be well constructed in the conception phase to align learning content with problem solving. By comparison, learning from an educational narrative game can be enhanced by adding worksheets that focus on the educational aspect both before and during gameplay. To prove these effects of narrative game, Pilegard and Mayer [32] conducted a study to achieve better learning in the DGBL environment. They believe that the narrative content of a game may reduce learners’ tendency to reflect on its academic content and slightly help engagement in the gameplay. Hwang et al. [43] stated that a simple material added to the games enhance learning without requiring modifications to the game itself.
For children’s digital games, there are several game elements that have been considered for design choice. Several principles within the designed digital games that can provide learning strategies were proposed by Prensky [61] and later expended by Lieberman et al. [62]. These include demonstration, stories, role models, providing choice and building on success, learning in a familiar context, adaptive learning, interactive questioning, challenges, repetition and rehearsal of skills, interactive encouragement and help, performance feedback, social interaction, personalization, fun, humor, fantasy and entertainment. Along with the design process, players, culture, games, and learning contents should be considered as an inclusive model [63] and a part of the game-centered approach. Several studies demonstrate the design element that helps to create game mechanics for specific learning content for various contexts regarding children, including children in rural areas [63,64] and in a classroom setting [65,66,67,68,69].
Kam et al. [64] discovered that children in rural areas also benefit from playing educational digital games. They examined the interactions between children and game mechanics. Certain mechanics attract the children and increase the engagement level. This is reflected in the study by Nand et al. [65], where they surveyed 120 primary school children to identify the key elements that can create engaging digital games in a school setting. They discovered that the key features for engaging digital games for children include graphics, feedback and challenge. A study by Nouwen et al. [66] further expanded the game elements that look into the learning outcomes achievement instead of giving a high level of engagement. Their study involved music learning and skill. They discovered that the game helped to enhance learning and skills among children due to the chunking of learning content, clear feedback loop, room for creativity and providing a ’private’ practice space, reward structure based on performance and persistence, and the autonomous learning path.
Another study by Raziūnaitė et al. [67] also looked at music learning among children. Despite using the principle of digital game-based learning (DGBL), self-determination theory (SDT), immersive learning and TPACK (technological pedagogical content knowledge), and the gamification patterns for motivation reinforcement on designing educational digital game, they gave the design prerequisites, design considerations, interface models and metaphors, a description of the game world and game mechanics. As a result, the children showed great interest in exploring and creating musical sounds. This ensures the enrichment of educational game-based process with elements of creativity and emotional learning.
The latest studies indicate the results from the children’s and teachers’ perspectives [68,69]. Melander et al. [68] discovered data from a survey that showed that designing digital games for children should emphasize the aesthetic, functional, and ethical aspects of the games and the design process. These are the key factors that children and teachers look up when choosing games and they enhance the high level of engagement despite obtaining the learning outcomes. To achieve this, the design choice made by the game designer must be precise. A study by Clark et al. [69] discovered an issue that may influence the design choice in educational digital games for children. According to their study, the game should focus on the discernability of choice outcomes, integration of choice outcomes into unfolding game state, meaningful choices grounded in core academic ideas, and thematic and challenge access for children.
3. Factors That Influence Learning Performance
Research on DGBL mainly focuses on the attribute that tends to affect learning performance among children [56,65,66,67,69] and adults [31,70,71,72,73,74,75]. The attributes are described from various perspectives such as psychological, game theory and game design to relate to learning. Given these assumptions, researchers tend to answer the broad question on factors that influence learning performance in DGBL. From several studies, these factors can be classified into three themes of motivation, game features, and experience in playing games (Figure 1).
Figure 1.
Classification of factors that influence learning performance in DGBL.
3.1. Intrinsic Motivation
Motivation is a desire that gives the reason for people to complete certain actions, desires and needs [76]. In DGBL, motivation is seen to be the key factor to achieving the goal while playing. Given that the game requires problem solving to complete tasks and overcome obstacles, players need to have a good motivation to drive themselves to win the game. Studies indicate that intrinsic motivation is the most common factor that influences achievement in GBL. Intrinsic motivation refers to the participation in activities for their own sake or for their inherent enjoyment and satisfaction [71]. Players with good intrinsic motivation enjoy playing games, which can lead to achievement while playing the game [71,75,77,78]. Hence, such achievement shows that the learning occurs inside the player’s mind as a result of completing all the tasks given in the game. The most recent studies in the literature that discuss the intrinsic motivation in terms of DGBL are Tisza et al. [77] and Vidergor [78]. Both selected quantitative studies indicate significant positive results to predict that relationships of intrinsic motivation and enjoyment can lead to better learning.
Gao et al. [71] were among the earliest to discuss the influence of intrinsic motivation on achievement in DGBL. They examined the relationships between children’s situational motivation and physical activity levels through Dance Dance Revolution (DDR) as the intervention program, and perceived physical activity enjoyment. The participants were 215 elementary children in a weekly 30-min DDR program. A prospective design was adopted as the methodological framework to obtain data, collected using a subjective psychometric survey and objective physical activities during different periods of the DDR and analyzed using descriptive and correlational analyses. Results indicate that only intrinsic motivation is positively related with children’s moderate-to-vigorous physical activities (MPVA) in DDR and the enjoyment of physical activities. Regression analyses further suggest that intrinsic motivation is the significant predictor for MVPA and the enjoyment of physical activities.
Enjoyment is the main key factor for individuals to achieve their goal while playing games. The enjoyment factor is influenced by individual traits to determine the level of achievement while playing mobile learning games. Baek and Touati [75] attempted to answer questions on how individual traits affect enjoyment in playing Minecraft. Four main individual traits were identified, namely learning style, intrinsic motivation, collaboration skills, and the computer game attitude before the study. These traits were assumed as the key part of the constructed model that includes achievement. The participants were 164 11 and 12 year-old students, of whom 97 were boys and 67 were girls. All participants played Minecraft for one and a half hours per day after school for three weeks using GalaxyS5 running Android OS with 16GB memory. Four individual traits were identified, among which learning style, collaboration skills, and computer game attitude did not show a positive result towards enjoyment. However, intrinsic motivation was the only variable that showed positive enjoyment while playing mobile learning game. Intrinsic motivation is the factor that affects enjoyment among students and brings the level of achievement in mobile learning games.
3.2. Game Features
Game features is the graphical element in games. For an educational game, the features are similar to other games but with the main difference of its educational content. This game feature acts as visual stimuli to enhance learner interest and engagement while playing games, resulting in better learning. Audial and visual elements are important features that can directly affect a learner’s mood and emotions during learning. The selected literature on game features on DGBL mainly focuses on features such as game sound, presence, flow, character identification, and gesture interactivity as the visual stimuli [31,73,79]. These studies also help game designers to design and develop educational games that can attract and engage players based on the visual stimuli. Hence, the specifically developed game may enhance learning among children and adult players.
Auditory and visual stimuli are often the only means to communicate learning materials to the learners because of the virtual environment of DGBL. Byun and Loh [79] examined the effects of non-player characters’ (NPC) voiceovers on play-learners’ engagement in DGBL through a role-playing game (RPG). A quantitative approach with a randomized control-group post-test was used to collect the data from 74 participants. Results indicate that participants who played the game with voiceovers were more engaged compared with those who played without voiceovers. On this basis, clearly, voiceovers created for particular games can attract players psychologically and increase their engagement by looking at the visuals and listening to the voiceovers. Similar to professional voice actors giving voice to characters in animated films or cartoons, voiceover artists give life to NPCs in digital games.
The experience of players in RPGs is found to be rooted in and influenced by their own cultures. Bachen et al. [73] developed and tested their integrated model containing three psychological variables (presence, flow, and character identification) which contribute to interest in learning and empathy with people from other cultures. The participants are American students and the game was based on the aftermath of the 2010 Haiti earthquake. Each participant has to play one of two roles in the game: an American journalist or a Haitian survivor. The results show that presence is a powerful predictor of flow, character identification, and empathy felt during the games. Furthermore, empathy experienced by game play significantly predicted interest in learning more about the game topics. Flow and identification provide secondary contributions to learning outcomes, with flow mediating the effect of presence on males’ empathy and identification contributing to females’ interest in learning. Thus, the integrated model can predict a positive outcome.
Children play many games, especially during early childhood. Therefore, to develop their motor skills during this stage is important. Hsiao and Chen [31] believed that the early childhood stage is critical to developing motor-skill performance and implemented the gesture-interactive GBL approach to improving learning performance and motor skills, which are related to the coordination and agility of pre-school children. The quasi-experiment design was used with 105 preschoolers (average age: 5.5 years). ASUS Xtion PRO was used as the game-based device to build a virtual interactive learning environment. The results show that the participants who used the gesture-interactive GBL approach developed better learning performance and motor skills than those who used the traditional activity GBL. The statistics show a significant deviation between the two approaches. Visual stimuli, such as gesture movements, can help players to engage in the physical activities and make the game more enjoyable. Hence, gesture-interactive GBL also became one of the important elements in game features that help to enhance learning performance among players.
3.3. Experience in Playing Games
In recent years, games were claimed to be the tools that provide positive experience in a form of enjoyment to the user (children). This positive experience was soon identified as the most important predictor of learning in DGBL environment. Calvillo-Gámez et al. [80] proposed the earliest model that describes the user experience while playing digital games. The major predictors of enjoyment while playing games are the video game (e.g., gameplay and environment produce enjoyment) and puppetry (e.g., facilitator and control produce ownership that contribute to enjoyment). Underlying enjoyment was the factor, and other research expanded the model and identified other factors that also contribute to enjoyment while playing digital games. The latest trend describes this experience as meaningful gaming that leads to successful learning through games [81,82,83]. Learning experiences, fun, frustration, challenges of the game, visual attention and game flow among children and adult players were also discussed [70,72,74,84]. Table 4 shows several studies that focused on how players’ differences can influence the gaming experience and outcome.
Table 4.
Influences of players’ differences on the gaming experience and outcome.
However, not all learners have sufficient capacities to overcome the problems that are due to the differences in learning styles. Individual differences influence learning style and performance due to biological and environmental factors among individuals [85]. These factors determine the level of performance, whether good, average, or weak especially in a classroom environment. Similar to DGBL, the achievement and success of using the game to enhance learning are also influenced by several factors. The game designer creates the problem to be solved in problem-based games, which is the compulsory element in developing a game structure [15]. Problems must be solved for the player to win the entire game. In fact, players must have a good guideline and gaming skills. Research on learner types in GBL remains scarce, and Ku, Hou, and Chen provide very useful learner preferences that improve learning performance [35]. Player experiences while playing also contribute to enhancing the learning in DGBL. Educational games serve learning experiences in which players enjoy incorporating their efforts to solve problems in the game, which significantly enhance learning.
4. Looking Forward and Future Perspective
Research on GBL has rapidly increased in the last 20 years. Now, with the development and incorporation of digital technology in education, the term DGBL is most appropriately used to describe GBL in the current age. Based on the systematic review of selected current literature, this study indicates that two main elements contribute into learning performance by using DGBL, namely the factors and the developmental approach. The game development for DGBL environment must be suitable for the context of teaching. Developers and educators must determine the appropriate content and approach to be used in developing a game that can impact learners’ performance and knowledge gain. To develop a good game for teaching and learning, game designers and educators may use the most suitable model approach that fulfills the learners’ ability and needs. In addition, the game itself must be attractive to influence the player to play longer. Good games designed with good educational content can enable the player to gain knowledge by playing. Apart from the enjoyment and fun, which are the main factors that influence player engagement, empirical studies indicate that other factors such as DGBL environment, intrinsic motivation, and game features also have a high impact on enhancing knowledge gain and learning among individuals, regardless of their IQ level, age, and gender.
Well-designed educational games can be more motivating and lead to enhancing more learning compared to traditional teaching methods [62]. As illustrated in Figure 2, the design method practice (design approach) among researchers and game industries discovered within this review, which are the design and the development framework, the learner-centered approach, and the game-centered approach, can create several output constructs such as intrinsic motivation, appealing game elements, and engaging gaming experience that may lead to an improvement in learning performance. However, the three-design method practice can be simplified towards more universal attributes. These review findings correlated with the idea in most recent studies [25,86], where the elements within the discovered approaches can be extracted and grouped into theory, learning strategy, pedagogy, learning content, game elements, and game principle design. These six main classifications potentially serve as universal attributes for digital game design for educational purposes. Hence, it may help researchers and developers to design better educational digital games to achieve better learning performance by providing users with intrinsic motivation, appealing game elements, and an engaging gaming experience.
Figure 2.
Design method practice for designing educational digital games to influence learning performance.
5. Conclusions
Digital games have become part of educational pedagogy in the 21st century through DGBL. Design and development of digital games for educational purposes require several approaches. Overall, this review shows that researchers work together with game designers and developers using three categorized approaches. The digital aspect is created either by using the model approach (using existing framework for game design and development), the learner-centered approach (the game is designed based on specific needs of target group), or the game-centered approach (game elements as the prior concept in game design). Researchers mainly use the model and learner-centered approaches to design games for specific purposes, while digital game industries tend to use game-centered approaches as creative concepts to commercialize games. Based on the approach used, the game later produces several constructs that influence learning performance either through intrinsic motivation, game elements, and game experience. Hence, this study suggests that researchers, game designers and developers must emphasize universal input to increase the level of usability that can achieve better learning for diverse targeted users, which include children and adults.
Author Contributions
In this research article, all author contributions to this study specifically were conceptualization, S.A.I.; writing original draft preparation, S.A.I.; review and editing, S.A.I., U.A.H. and R.D.; supervision, R.D. and U.A.H.; project administration and formatting, U.A.H. and S.A.I. All authors have read and agreed to the published version of the manuscript.
Funding
This research was supported by Universiti Kebangsaan Malaysia under the research code UKM-TR2022-11 and by the Ministry of Higher Education (MoHE) Malaysia under the research code FRGS/1/2016/TK09/UKM/03/1.
Institutional Review Board Statement
Not applicable.
Informed Consent Statement
Not applicable.
Data Availability Statement
Not applicable.
Acknowledgments
We would like to convey our utmost appreciation to the Ministry of Higher Education Malaysia, Fuel Cell Institute and Faculty of Education, Universiti Kebangsaan Malaysia and all researchers who have contributed in various ways.
Conflicts of Interest
The authors declare no conflict of interest.
References
- Kukulska-Hulme, A.; Bossu, C.; Coughlan, T.; Ferguson, R.; FitzGerald, E.; Gaved, M.; Herodotou, C.; Rienties, B.; Sargent, J.; Scanlon, E. Innovating Pedagogy 2021: Exploring New Forms of Teaching, Learning and Assessment to Guide Educators and Policy Makers; The Open University: Milton Keynes, UK, 2021. [Google Scholar]
- Dadure, P.; Pakray, P.; Bandyopadhyay, S. Game-Based Learning: A Future Research Agenda. In Machine Learning Approaches for Improvising Modern Learning Systems; Gulzar, Z., Leema, A.A., Eds.; IGI Global: Hershey, PA, USA, 2021; pp. 50–71. [Google Scholar]
- Kalmpourtzis, G. Educational Game Design Fundamentals: A Journey to Creating Intrinsically Motivating Learning Experiences, 1st ed.; CRC Press: Boca Rato, FL, USA, 2019. [Google Scholar]
- Severin, K. Single Player Vs. Multiplayer|a Generational Changing of the Guards or a Bifurcation of Gamer Behaviours? Midia. Available online: https://midiaresearch.com/blog/single-player-vs-multiplayer-a-generational-changing-of-the-guards-or-a-bifurcation-of-gamer-behaviours (accessed on 9 January 2023).
- Paraskeva, F.; Mysirlaki, S.; Papagianni, A. Multiplayer Online Games as Educational Tools: Facing New Challenges in Learning. Comput. Educ. 2010, 54, 498–505. [Google Scholar] [CrossRef]
- Wee Hoe, T. Gamifikasi Dalam Pendidikan: Pembelajaran Berasaskan Permainan; Penerbit Universiti Pendidikan Sultan Idris: Tanjong Malim, Malaysia, 2016. [Google Scholar]
- Fisher, C. Designing Games for Children: Developmental, Usability, and Design Considerations for Making Games for Kids; Focal Press: Waltham, MA, USA; New York, NY, USA, 2015. [Google Scholar]
- Abd Rahman, M.H.; Nordin, A.I.; Denisova, A. The Effect of Time Manipulation on Immersion in Digital Games; Springer: Berlin/Heidelberg, Germany, 2017. [Google Scholar]
- Hsu, H.M.J. Gender Differences in Elementary School Students’ Game Design Preferences. Int. J. Inf. Educ. Technol. 2013, 3, 172–176. [Google Scholar] [CrossRef]
- Smaldino, S.E.; Lowther, D.L.; Russell, J.D.; Mims, C. Instructional Technology and Media for Learning, 10th ed.; Pearson: Boston, MA, USA, 2012. [Google Scholar]
- Gee, J.P. Pleasure, Learning, Video Games, and Life: The Projective Stance. E-Learn. Digit. Media 2005, 2, 211–223. [Google Scholar] [CrossRef]
- Gee, J.P. Learning by Design: Good Video Games as Learning Machines. E-Learn. Digit. Media 2005, 2, 5–16. [Google Scholar] [CrossRef]
- Gee, J.P. Why Video Games Are Good for Your Soul: Pleasure and Learning; Common Ground Publishing: Champaign, IL, USA, 2005. [Google Scholar]
- Burn, A. Literacy and Education. Available online: https://www.tandfonline.com/doi/abs/10.1111/eie.12130?journalCode=reie20 (accessed on 10 January 2023).
- Burgun, K. Game Design Theory: A New Philosophy for Understanding Games; Peters/CRC Press: Boca Raton, FL, USA, 2013. [Google Scholar]
- Hjorth, L. Games and Gaming: An Introduction to New Media; Berg: Oxford, UK, 2011. [Google Scholar]
- Nolan, J.; McBride, M. Beyond Gamification: Reconceptualizing Game-Based Learning in Early Childhood Environments. Inf. Commun. Soc. 2014, 17, 594–608. [Google Scholar] [CrossRef]
- Pulsipher, L. Game Design-How to Create Video and Tabletop Games, Start to Finished; McFarland & Company Publisher: Jefferson, NC, USA, 2012. [Google Scholar]
- Notari, M.P.; Hielscher, M.; King, M. Educational Apps Ontology. In Mobile Learning Design: Theories and Application; Churchill, D., Lu, J., Chiu, T.K., Fox, B., Eds.; Springer: Singapore, 2016; pp. 83–96. [Google Scholar]
- Richards, J.; Smith, C. 100 Top Games Apps Made Easy; Flame Tree Publishing: London, UK, 2013. [Google Scholar]
- Ledbury, C.; Woolhead, L.; Thomas, F.; Carpenter, R.; Stott, H. Something for Everyone: Why the Growth of Mobile Apps Is Good News for Brands; ipsos MORI: London, UK, 2017. [Google Scholar]
- Dotson, C. 5 Reasons Why Mobile Gaming Isn’t Garbage. Available online: https://www.lifewire.com/challenges-facing-mobile-games-4107982 (accessed on 31 January 2019).
- Neil, K. Game Design Tools: Time to Evaluate. In Proceedings of the DiGRA Nordic 2012 Conference: Local and Global—Games in Culture and Society, Tampere, Finland, 6–8 June 2012. [Google Scholar]
- Ishak, S.A.; Din, R.; Hasran, U.A. Defining Digital Game-Based Learning for Science, Technology, Engineering, and Mathematics: A New Perspective on Design and Developmental Research. J. Med. Internet Res. 2021, 23, e20537. [Google Scholar] [CrossRef] [PubMed]
- Ishak, S.A.; Din, R.; Hasran, U.A. Beyond Play: Conceptualising the Capability of a Good Digital Game to Stimulate Interest in Stem. Int. J. Learn. Teach. Educ. Res. 2021, 20, 232–255. [Google Scholar] [CrossRef]
- Zin, N.A.M.; Yue, W.S. Design and Evaluation of History Digital Game Based Learning (Dgbl) Software. J. Next Gener. Inf. Technol. 2013, 4, 9–24. [Google Scholar]
- Wu, W.H.; Hsiao, H.C.; Wu, P.L.; Lin, C.H.; Huang, S.H. Investigating the Learning-Theory Foundations of Game-Based Learning: A Meta-Analysis. J. Comput. Assist. Learn. 2012, 28, 265–279. [Google Scholar] [CrossRef]
- Zaibon, S.B.; Shiratuddin, N. Adapting Learning Theories in Game-Based Learning Development. In Proceedings of the IEEE International Conference on Digital Game and Intelligent Toy Enhanced Learning, Piscataway, NJ, USA, 12–16 April 2010; pp. 124–128. [Google Scholar]
- Yang, K.H. Learning Behavior and Achievement Analysis of a Digital Game-Based Learning Approach Integrating Mastery Learning Theory and Different Feedback Models. Interact. Learn. Environ. 2017, 25, 235–248. [Google Scholar] [CrossRef]
- Ak, O. A Game Scale to Evaluate Educational Computer Games. Procedia Soc. Behav. Sci. 2012, 46, 2477–2481. [Google Scholar] [CrossRef]
- Hsiao, H.S.; Chen, J.C. Using a Gesture Interactive Game-Based Learning Approach to Improve Preschool Children’s Learning Performance and Motor Skills. Comput. Educ. 2016, 95, 151–162. [Google Scholar] [CrossRef]
- Pilegard, C.; Mayer, R.E. Improving Academic Learning from Computer-Based Narrative Games. Contemp. Educ. Psychol. 2016, 44, 12–20. [Google Scholar] [CrossRef]
- Vandercruysse, S.; Elen, J. Towards a Game-Based Learning Instructional Design Model Focusing on Integration. In Instructional Techniques to Facilitate Learning and Motivation of Serious Games; Wouters, P., van Oostendorp, H., Eds.; Cham Springer International Publishing: Berlin/Heidelberg, Germany, 2017; pp. 17–35. [Google Scholar]
- Soflano, M.; Connolly, T.M.; Hainey, T. An Application of Adaptive Games-Based Learning Based on Learning Style to Teach Sql. Comput. Educ. 2015, 86, 192–211. [Google Scholar] [CrossRef]
- De Troyer, O.; Van Broeckhoven, F.; Vlieghe, J. Linking Serious Game Narratives with Pedagogical Theories and Pedagogical Design Strategies. J. Comput. High. Educ. 2017, 29, 549–573. [Google Scholar] [CrossRef]
- Ku, O.; Hou, C.C.; Chen, S.Y. Incorporating Customization and Personalization into Game-Based Learning: A Cognitive Style Perspective. Comput. Hum. Behav. 2016, 65, 359–368. [Google Scholar] [CrossRef]
- Mildner, P.; Stamer, N.; Effelsberg, W. From Game Characteristics to Effective Learning Games. In Proceedings of the Serious Games: First Joint International Conference, JCSG 2015, Huddersfield, UK, 3–4 June 2015; Springer: Cham, Switzerland, 2015. [Google Scholar]
- Shi, Y.R.; Shih, J.L. Game Factors and Game-Based Learning Design Model. Int. J. Comput. Games Technol. 2015, 2015, 1–11. [Google Scholar] [CrossRef]
- Sung, H.Y.; Hwang, G.J.; Lin, C.J.; Hong, T.W. Experiencing the Analects of Confucius: An Experiential Game-Based Learning Approach to Promoting Students’ Motivation and Conception of Learning. Comput. Educ. 2017, 110, 143–153. [Google Scholar] [CrossRef]
- Hussain, S.Y.S.; Tan, W.H.; Idris, M.Z. Digital Game-Based Learning for Remedial Mathematics Students: A New Teaching and Learning Approach in Malaysia. Int. J. Multimed. Ubiquitous Eng. 2014, 9, 325–338. [Google Scholar] [CrossRef]
- Kuk, K.; Jovanovic, D.; Jokanovic, D.; Spalevic, P.; Caric, M.; Panic, S. Using a Game-Based Learning Model as a New Teaching Strategy for Computer Engineering. Turk. J. Electr. Eng. Comput. Sci. 2012, 20, 1312–1331. [Google Scholar] [CrossRef]
- Law, V.; Chen, C.H. Promoting Science Learning in Game-Based Learning with Question Prompts and Feedback. Comput. Educ. 2016, 103, 134–143. [Google Scholar] [CrossRef]
- Hwang, G.J.; Hsu, T.C.; Lai, C.L.; Hsueh, C.J. Interaction of Problem-Based Gaming and Learning Anxiety in Language Students’ English Listening Performance and Progressive Behavioral Patterns. Comput. Educ. 2017, 106, 26–42. [Google Scholar] [CrossRef]
- Pedersen, M.K.; Svenningsen, A.; Dohn, N.B.; Lieberoth, A.; Sherson, J. Diffgame: Game-Based Mathematics Learning for Physics. Procedia Soc. Behav. Sci. 2016, 228, 316–322. [Google Scholar] [CrossRef]
- Waiyakoon, S.; Khlaisang, J.; Koraneekij, P. Development of an Instructional Learning Object Design Model for Tablets Using Game-Based Learning with Scaffolding to Enhance Mathematical Concepts for Mathematic Learning Disability Students. Procedia Soc. Behav. Sci. 2015, 174, 1489–1496. [Google Scholar] [CrossRef]
- Guardiola, E.; Natkin, S. A Game Design Methodology for Generating a Psychological Profile of Players. In Serious Games Analytics- Methodologies for Performance Measurements, Assessment, and Improvement; Loh, C.S., Sheng, Y., Ifenthaler, D., Eds.; Springer: New York, NY, USA, 2015; pp. 363–380. [Google Scholar]
- Lester, J.C.; Spires, H.A.; Nietfeld, J.L.; Minogue, J.; Mott, B.W.; Lobene, E.V. Designing Game-Based Learning Environments for Elementary Science Education: A Narrative-Centered Learning Perspective. Inf. Sci. 2014, 264, 4–18. [Google Scholar] [CrossRef]
- Raffety, C.; Prawat, T.; Richter, J.; Hamilton, R.F.; Schelvan, M.; Jones, P.; Holian, A. Developing Serious Games to Improve Learning and Increase Interest in STEM Careers for Middle School Students: The Mice of Riddle Place®. In Proceedings of the Immersive Learning Research Network: Second International Conference, Ilrn 2016, Santa Barbara, CA, USA, 27 June–1 July 2016. [Google Scholar]
- Zin, N.A.M.; Elaklouk, A.M. Design Science Paradigm in the Development of Serious Game for Cognitive Rehabilitation. Int. J. Adv. Sci. Eng. Inf. Technol. 2017, 7, 118–124. [Google Scholar]
- Adams, E. Fundamentals of Game Design, 3rd ed; Pearson Education: London, UK, 2014. [Google Scholar]
- Gutierrez, D. Game-Centered Approaches: Different Perspectives, Same Goals—Working Together for Learning. Res. Q. Exerc. Sport 2016, 87, S1–S23. [Google Scholar] [CrossRef]
- Zubek, R. Elements of Game Design; The MIT Press: London, UK, 2020. [Google Scholar]
- Mokhtar, N.; Ismail, A.; Muda, Z. Designing Model of Serious Game for Flood Safety Training. Int. J. Adv. Comput. Sci. Appl. 2019, 10, 331–339. [Google Scholar] [CrossRef]
- Ross, A.M.; Fitzgerald, M.E.; Rhodes, D.H. Game-Based Learning for Systems Engineering Concepts. Procedia Comput. Sci. 2014, 28, 430–440. [Google Scholar] [CrossRef]
- Clark, D.B.; Sengupta, P.; Brady, C.E.; Martinez-Garza, M.M.; Killingsworth, S.S. Disciplinary Integration of Digital Games for Science Learning. Int. J. STEM Educ. 2015, 2, 1–21. [Google Scholar] [CrossRef]
- Gauthier, A.; Porayska-Pomsta, K.; Mayer, S.; Dumontheil, I.; Farran, E.K.; Bell, D.; Mareschal, D.; Team, U. Redesigning Learning Games for Different Learning Contexts: Applying a Serious Game Design Framework to Redesign Stop & Think. Int. J. Child-Comput. Interact. 2022, 33, 100503. [Google Scholar]
- Ahmad, I.S.; Aliyu, S.M.; Ahmad, H.K. Towards the Engagement of Children with Adhd Using Sifteo Cube Technology. J. Teknol. Mklm. Dan Multimed. Asia-Pasifik 2019, 8, 19–29. [Google Scholar]
- Bonner, D.; Dorneich, M. Developing Game-Based Learning Requirements to Increase Female Middle School Students Interest in Computer Science. In Proceedings of the Human Factors and Ergonomics Society Annual Meeting, Los Angeles, CA, USA, 8 September 2016; pp. 380–384. [Google Scholar]
- Mohtar, L.E.; Halim, L.; Rahman, N.A.; Maat, S.M.; Iksan, Z.H.; Osman, K. A Model of Interest in Stem Careers among Secondary School Students. J. Balt. Sci. Educ. 2019, 18, 404–416. [Google Scholar] [CrossRef]
- Mowat, J. The Instructional Design of Learning Objects; Learning Solutions E-Magazine: Santa Rosa, CA, USA, 2007. [Google Scholar]
- Prensky, M. Students as Designers and Creators of Educational Computer Games: Who Else? Available online: https://bera-journals.onlinelibrary.wiley.com/doi/abs/10.1111/j.1467-8535.2008.00823_2.x (accessed on 9 January 2023).
- Lieberman, D.A.; Fisk, M.C.; Biely, E. Digital Games for Young Children Ages Three to Six: From Research to Design. Comput. Sch. 2009, 26, 299–313. [Google Scholar] [CrossRef]
- Yang, Y.; Zhang, D.; Ji, T.; Li, L.; He, Y. Designing Educational Games Based on Intangible Cultural Heritage for Rural Children: A Case Study on “Logic Huayao”. In Advances in Human Factors in Wearable Technologies and Game Design; Springer: Cham, Switzerland, 2019. [Google Scholar]
- Kam, M.; Mathur, A.; Kumar, A.; Canny, J. Designing Digital Games for Rural Children: A Study of Traditional Village Games in India. In Proceedings of the SIGCHI Conference on Human Factors in Computing Systems, Boston, MA, USA, 4–9 April 2009; pp. 31–40. [Google Scholar]
- Nand, K.; Baghaei, N.; Casey, J. Play & Learn: Designing Engaging Educational Games for Children. Cogn. Technol. J. 2013, 18, 28–35. [Google Scholar]
- Nouwen, M.; Schepers, S.; Mouws, K.; Slegers, K.; Kosten, N.; Duysburgh, P. Designing an Educational Music Game: What If Children Were Calling the Tune? Int. J. Child-Comput. Interact. 2016, 9, 20–32. [Google Scholar] [CrossRef]
- Raziūnaitė, P.; Miliūnaitė, A.; Maskeliūnas, R.; Damaševičius, R.; Sidekerskienė, T.; Narkevičienė, B. Designing an Educational Music Game for Digital Game Based Learning: A Lithuanian Case Study. In Proceedings of the 2018 41st International Convention on Information and Communication Technology, Electronics and Microelectronics (MIPRO), Opatija, Croatia, 21–25 May 2018; IEEE: Piscataway, NJ, USA, 2018. [Google Scholar]
- Melander Bowden, H.; Aarsand, P. Designing and Assessing Digital Games in a Classroom: An Emerging Culture of Critique. Learn. Media Technol. 2020, 45, 376–394. [Google Scholar] [CrossRef]
- Clark, D.B.; Hernandez-Zavaleta, J.E.; Becker, S. Academically Meaningful Play: Designing Digital Games for the Classroom to Support Meaningful Gameplay, Meaningful Learning, and Meaningful Access. Comput. Educ. 2023, 194, 104704. [Google Scholar] [CrossRef]
- Ferguson, C.J.; Olson, C.K. Friends, Fun, Frustration and Fantasy: Child Motivations for Video Game Play. Motiv. Emot. 2013, 37, 154–164. [Google Scholar] [CrossRef]
- Gao, Z.; Podlog, L.; Huang, C. Associations among Children’s Situational Motivation, Physical Activity Participation, and Enjoyment in an Active Dance Video Game. J. Sport Health Sci. 2013, 2, 122–128. [Google Scholar] [CrossRef]
- Hou, H.T. Integrating Cluster and Sequential Analysis to Explore Learners’ Flow and Behavioral Patterns in a Simulation Game with Situated-Learning Context for Science Courses: A Video-Based Process Exploration. Comput. Hum. Behav. 2015, 48, 424–435. [Google Scholar] [CrossRef]
- Bachen, C.M.; Hernández-Ramos, P.; Raphael, C.; Waldron, A. How Do Presence, Flow, and Character Identification Affect Players’ Empathy and Interest in Learning from a Serious Computer Game? Comput. Hum. Behav. 2016, 64, 77–87. [Google Scholar] [CrossRef]
- Hamari, J.; Shernoff, D.J.; Rowe, E.; Coller, B.; Asbell-Clarke, J.; Edwards, T. Challenging Games Help Students Learn: An Empirical Study on Engagement, Flow and Immersion in Game-Based Learning. Comput. Hum. Behav. 2016, 54, 170–179. [Google Scholar] [CrossRef]
- Baek, Y.; Touati, A. Exploring How Individual Traits Influence Enjoyment in a Mobile Learning Game. Comput. Hum. Behav. 2017, 69, 347–357. [Google Scholar] [CrossRef]
- Santrock, J.W. Children, 13th ed.; McGrow-Hill Education: New York, NY, USA, 2016. [Google Scholar]
- Tisza, G.; Zhu, S.; Markopoulos, P. Fun to Enhance Learning, Motivation, Self-Efficacy, and Intention to Play in Dgbl. In Proceedings of the Entertainment Computing—ICEC 2021, Coimbra, Portugal, 2–5 November 2021; Springer: Berlin/Heidelberg, Germany, 2021. [Google Scholar]
- Vidergor, H.E. Effects of Digital Escape Room on Gameful Experience, Collaboration, and Motivation of Elementary School Students. Comput. Educ. 2021, 166, 104156. [Google Scholar] [CrossRef]
- Byun, J.; Loh, C.S. Audial Engagement: Effects of Game Sound on Learner Engagement in Digital Game-Based Learning Environments. Comput. Hum. Behav. 2015, 46, 129–138. [Google Scholar] [CrossRef]
- Calvillo-Gámez, E.H.; Cairns, P.; Cox, A.L. Assessing the Core Elements of the Gaming Experience. In Evaluating User Experience in Games: Human-Computer Interaction Series; Bernhaupt, R., Ed.; Springer: Berlin/Heidelberg, Germany, 2010; pp. 47–71. [Google Scholar]
- Rogers, R.; Woolley, J.; Sherrick, B.; Bowman, N.D.; Oliver, M.B. Fun Versus Meaningful Video Game Experiences: A Qualitative Analysis of User Responses. Comput. Games J. 2017, 6, 63–79. [Google Scholar] [CrossRef]
- Oliver, M.B.; Bowman, N.D.; Woolley, J.K.; Rogers, R.; Sherrick, B.I.; Chung, M.Y. Video Games as Meaningful Entertainment Experiences. Psychol. Pop. Media Cult. 2015, 5, 1–16. [Google Scholar] [CrossRef]
- Swayne, M. Video Games Can Power up from Merely Fun to Meaningful Experiences. Penn State News. Available online: https://news.psu.edu/story/353213/2015/04/15/research/video-games-can-power-merely-fun-meaningful-experiences (accessed on 23 March 2019).
- Tsai, M.J.; Huang, L.J.; Hou, H.T.; Hsu, C.Y.; Chiou, G.L. Visual Behavior, Flow and Achievement in Game-Based Learning. Comput. Educ. 2016, 98, 115–129. [Google Scholar] [CrossRef]
- Mahamod, Z.; Amir, R.; Embi, M.A. Kepelbagaian Pelajar Dan Perbezaan Pembelajaran; Dewan Bahasa dan Pustaka: Kuala Lumpur, Malaysia, 2015. [Google Scholar]
- Ishak, S.A.; Din, R.; Othman, N.; Gabarre, S.; Hasran, U.A. Rethinking the Ideology of Using Digital Games to Increase Individual Interest in Stem. Sustainability 2022, 14, 4519. [Google Scholar] [CrossRef]
Disclaimer/Publisher’s Note: The statements, opinions and data contained in all publications are solely those of the individual author(s) and contributor(s) and not of MDPI and/or the editor(s). MDPI and/or the editor(s) disclaim responsibility for any injury to people or property resulting from any ideas, methods, instructions or products referred to in the content. |
© 2023 by the authors. Licensee MDPI, Basel, Switzerland. This article is an open access article distributed under the terms and conditions of the Creative Commons Attribution (CC BY) license (https://creativecommons.org/licenses/by/4.0/).






