Disentangling the Pros and Cons of Flexible Work Arrangements: Curvilinear Effects on Individual and Organizational Outcomes
Abstract
1. Introduction
2. Flexible Working Practices and Flexible Work Orientation
3. Flexible Work Orientation and Outcomes
4. Method
4.1. Participants and Procedure
4.2. Measures
4.2.1. Flexible Work Orientation
4.2.2. Organizational Commitment
4.2.3. Perceived Organizational Support
4.2.4. Perceived Organizational Justice
4.2.5. Job Satisfaction
4.2.6. Performance
4.2.7. Perceived Stress
4.2.8. Work–Family Interface
4.2.9. Workload
4.2.10. Control Variables
4.3. Statistical Procedure
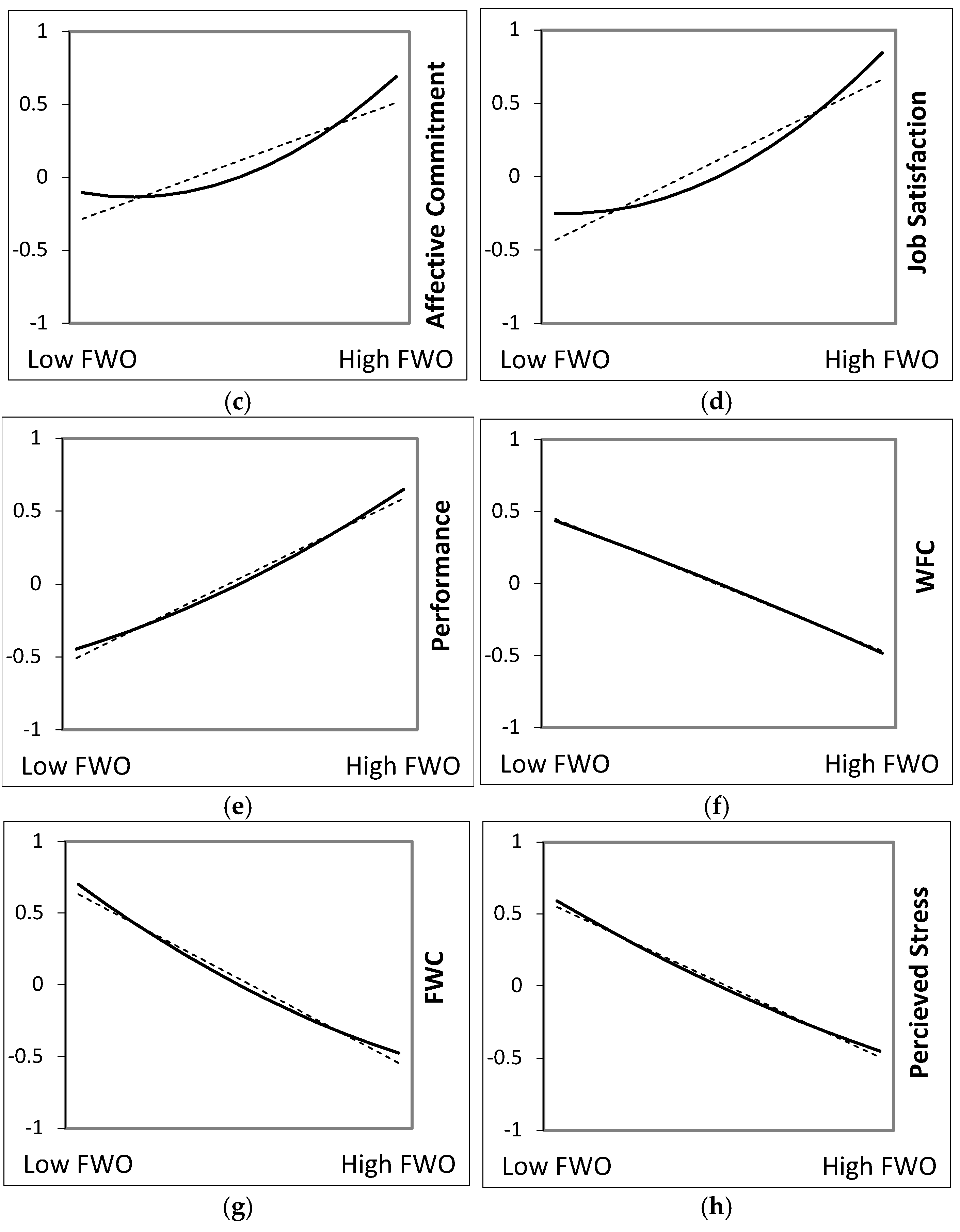
5. Results
5.1. Descriptive Statistics and Correlations
5.2. Multiple-Group SEM Analyses Across In-Person and Flexible Workers
6. Discussion
6.1. Theoretical Implications
6.2. Practical Implications
6.3. Strengths, Limitations and Future Directions
7. Conclusions
Transparency and Openness
Author Contributions
Funding
Institutional Review Board Statement
Informed Consent Statement
Data Availability Statement
Conflicts of Interest
References
- Aarons, G. A., Sommerfeld, D. H., & Walrath-Greene, C. M. (2009). Evidence-based practice implementation: The impact of public versus private sector organization type on organizational support, provider attitudes, and adoption of evidence-based practice. Implementation Science: IS, 4, 83. [Google Scholar] [CrossRef]
- Albion, M. J. (2004). A Measure of Attitudes Towards Flexible Work Options. Australian Journal of Management, 29(2), 275–294. [Google Scholar] [CrossRef]
- Allen, N. J., & Meyer, J. P. (1990). The Measurement and Antecedents of Affective, Continuance and Normative Commitment to the Organization. Journal of Occupational Psychology, 63, 1–18. [Google Scholar] [CrossRef]
- Allen, T. D., Golden, T. D., & Shockley, K. M. (2015). How Effective Is Telecommuting? Assessing the Status of Our Scientific Findings. Psychological Science in the Public Interest, 16(2), 40–68. [Google Scholar] [CrossRef] [PubMed]
- Arbuckle, J. L. (1996). Full information estimation in the presence of incomplete data. In G. A. Marcoulides, & R. E. Schumacker (Eds.), Advanced structural equation modeling: Issues and techniques (pp. 243–277). Erlbaum. [Google Scholar]
- Arveseth, H. (2024). What do job seekers really want? Available online: https://www.applicantpro.com/articles/do-80-percent-of-job-seekers-really-want-remote-work/ (accessed on 31 May 2024).
- Aslam, R., Shumaila, S., Azhar, M., & Sadaqat, S. (2011). Work-family conflicts: Relationship between work-life conflict and employee retention—A comparative study of public and private sector employees. Journal of Research in Bussiness, 1, 18–29. [Google Scholar]
- Atkinson, J. (1984). Manpower strategies for flexible organisations. Personnel Management, 16(8), 28–31. [Google Scholar]
- Bano, B., & Kumar, R. (2012). Organizational Role Stress Among Public and Private Sector Employees: A Comparative Study. Lahore Journal of Business, 1, 23–36. [Google Scholar] [CrossRef]
- Baumlin, F., Bendavid, R., & Lanoë-Danel, E. (2022). Pratiques et représentations associées au télétravail en Europe. Available online: https://www.jean-jaures.org/publication/pratiques-et-representations-associees-au-teletravail-en-europe/ (accessed on 31 May 2024).
- Beardsley, S. (2022). Meta goes remote to capture EU talent. Available online: https://www.dw.com/en/meta-turns-to-remote-work-as-it-expands-across-europe/a-60390423 (accessed on 31 May 2024).
- Bellmann, L., & Hübler, O. (2021). Working from home, job satisfaction and work–life balance—Robust or heterogeneous links? International Journal of Manpower, 42(3), 424–441. [Google Scholar] [CrossRef]
- Bentley, T. A., Teo, S. T. T., McLeod, L., Tan, F., Bosua, R., & Gloet, M. (2016). The role of organisational support in teleworker wellbeing: A socio-technical systems approach. Applied Ergonomics, 52, 207–215. [Google Scholar] [CrossRef] [PubMed]
- Birt, J. (2023). 9 Types of Flexible Working Arrangements (Pros and Cons). Available online: https://www.indeed.com/career-advice/career-development/flexible-working-arrangements (accessed on 31 May 2024).
- Bliese, P. D. (2000). Within-Group Agreement, Non-Independence, and Reliability: Implications for Data Aggregation and Analysis. In K. J. Klein, & S. W. J. Kozlowski (Eds.), Multilevel Theory, Research, and Methods in Organizations. Foundations, Extensions, and New Directions (pp. 249–381). Jossey-Bass. [Google Scholar]
- Bloom, N. (2024). Forecasting the impact of WFH on real estate. Available online: https://www.dropbox.com/scl/fi/tiz3vslxaz7zoe9kn9yar/CoreNet.pptx?rlkey=x8lhbjcxpmn9rw1xra3r4p5h2&dl=0 (accessed on 31 May 2024).
- Bolisani, E., Scarso, E., Ipsen, C., Kirchner, K., & Hansen, J. (2020). Working from home during COVID-19 pandemic: Lessons learned and issues. Management & Marketing: Challenges for the Knowledge Society, 15, 458–476. [Google Scholar] [CrossRef]
- Boncori, I. (2020). The Never-ending Shift: A feminist reflection on living and organizing academic lives during the coronavirus pandemic. Gender, Work & Organization, 27(5), 677–682. [Google Scholar]
- Bowling, N., Alarcon, G., Bragg, C., & Hartman, M. J. (2015). A meta-analytic examination of the potential correlates and consequences of workload. Work & Stress, 29, 95–113. [Google Scholar]
- Brislin, R. W. (1980). Translation and content analysis of oral and written material. In H. C. Triandis, & J. W. Berry (Eds.), Handbook of cross-cultural psychology: Methodology. Allyn and Bacon. [Google Scholar]
- Britt, T. W., & Dawson, C. R. (2005). Predicting Work–Family Conflict From Workload, Job Attitudes, Group Attributes, and Health: A Longitudinal Study. Military Psychology, 17(3), 203–227. [Google Scholar] [CrossRef]
- Burney, L., Radtke, R., & Widener, S. (2024). Navigating Coercive Control in Organizations: A Study on Employee Responses and Outcomes. Behavioral Research in Accounting, 1–25. [Google Scholar] [CrossRef]
- Canning, E. A., Murphy, M. C., Emerson, K. T. U., Chatman, J. A., Dweck, C. S., & Kray, L. J. (2020). Cultures of genius at work: Organizational mindsets predict cultural norms, trust, and commitment. Personality and Social Psychology Bulletin, 46(4), 626–642. [Google Scholar] [CrossRef]
- Cech, E. A., & Blair-Loy, M. (2014). Consequences of Flexibility Stigma Among Academic Scientists and Engineers. Work and Occupations, 41(1), 86–110. [Google Scholar] [CrossRef]
- Cech, E. A., & O’Connor, L. T. (2017). ‘Like second-hand smoke’: The toxic effect of workplace flexibility bias for workers’ health. Community, Work & Family, 20(5), 543–572. [Google Scholar]
- Chen, T. (2024a). Remote Workers Are Losing Out on Promotions, New Data Shows. Available online: https://www.wsj.com/lifestyle/careers/remote-workers-are-losing-out-on-promotions-8219ec63 (accessed on 31 May 2024).
- Chen, T. (2024b). Remote Workers Bear the Brunt When Layoffs Hit. Available online: https://www.wsj.com/lifestyle/careers/layoffs-remote-work-data-980ed59d (accessed on 31 May 2024).
- Cheung, G. W., & Rensvold, R. B. (2002). Evaluating Goodness-of-Fit Indexes for Testing Measurement Invariance. Structural Equation Modeling, 9, 233–255. [Google Scholar] [CrossRef]
- Choi, S. (2018). Managing Flexible Work Arrangements in Government: Testing the Effects of Institutional and Managerial Support. Public Personnel Management, 47(1), 26–50. [Google Scholar] [CrossRef]
- Christensen, K. E., & Staines, G. L. (1990). Flextime: A viable solution to work/family conflict? Journal of Family Issues, 11, 455–476. [Google Scholar] [CrossRef]
- Clark, S. C. (2001). Work cultures and work/family balance. Journal of Vocational Behavior, 58, 348–365. [Google Scholar] [CrossRef]
- Cohen, J., Cohen, P., West, S. G., & Aiken, L. S. (2003). Applied multiple regression/correlation analysis for the behavioral sciences (3rd ed.). Routledge. [Google Scholar] [CrossRef]
- Cohen, S., Kamarck, T., & Mermelstein, R. (1983). A global measure of perceived stress. Journal of Health and Social Behavior, 24, 386–396. [Google Scholar] [CrossRef]
- Colquitt, J. A. (2001). On the dimensionality of organizational justice: A construct validation of a measure. Journal of Applied Psychology, 86(3), 386–400. [Google Scholar] [CrossRef] [PubMed]
- Como, R., Hambley, L., & Domene, J. (2020). An Exploration of Work-Life Wellness and Remote Work During and Beyond COVID-19. Canadian Journal of Career Development, 20(1), 46–56. [Google Scholar]
- Conflavoro. (2022). CCNL. Available online: https://www.conflavoro.it/ccnl/ (accessed on 31 May 2024).
- Cooper, R., & Baird, M. (2015). Bringing the “right to request” flexible working arrangements to life: From policies to practices. Employee Relations, 37, 568–581. [Google Scholar] [CrossRef]
- Crawford, F. (2020). Segmenting travellers based on day-to-day variability in work-related travel behaviour. Journal of Transport Geography, 86, 102765. [Google Scholar] [CrossRef]
- Dalessandro, C., & Lovell, A. (2024). The Pandemic-Stratified Workplace: Workspace, Employee Sense of Belonging, and Inequalities at Work. SAGE Open, 14(1). [Google Scholar] [CrossRef]
- Dawson, J. (2014). Moderation in Management Research: What, Why, When, and How. Journal of Business and Psychology, 29, 1–19. [Google Scholar] [CrossRef]
- De Smet, A., Mugayar-Baldocchi, M., Reich, A., & Schaninger, B. (2023). Some employees are destroying value. Others are building it. Do you know the difference? Available online: https://www.mckinsey.com/capabilities/people-and-organizational-performance/our-insights/some-employees-are-destroying-value-others-are-building-it-do-you-know-the-difference (accessed on 31 May 2024).
- Dettmers, J., Kaiser, S., & Fietze, S. (2013). Theory and Practice of Flexible Work: Organizational and Individual Perspectives. Introduction to the Special Issue. Management Revue, 24(3), 155–161. [Google Scholar] [CrossRef]
- Dobbin, F., & Kalev, A. (2016, July–August). Why diversity programs fail and what works better. Harvard Business Review. Available online: https://hbr.org/2016/07/why-diversity-programs-fail (accessed on 31 May 2024).
- Drew, E., & Humbert, A. L. (2012). ‘Men have careers, women have babies’: Unequal parental care among Irish entrepreneurs. Community, Work & Family, 15(1), 49–67. [Google Scholar]
- Eisenberger, R., Armeli, S., Rexwinkel, B., Lynch, P. D., & Rhoades, L. (2001). Reciprocation of perceived organizational support. Journal of Applied Psychology, 86(1), 42–51. [Google Scholar] [CrossRef] [PubMed]
- European Union. (2020). Telework in the EU before and after the COVID-19: Where we were, where we head to. Available online: https://joint-research-centre.ec.europa.eu/document/download/1ccf7717-ab52-4215-b14a-08d74e9d44fc_en (accessed on 31 May 2024).
- Eurostat. (2021). How usual is it to work from home? Available online: https://ec.europa.eu/eurostat/en/web/products-eurostat-news/-/edn-20210517-2 (accessed on 31 May 2024).
- Flynn, D. N., & Tannenbaum, S. I. (1993). Correlates of Organizational Commitment: Differences in the Public and Private Sector. Journal of Business and Psychology, 8(1), 103–116. [Google Scholar] [CrossRef]
- Fuller, S., & Hirsh, C. E. (2019). “Family-Friendly” Jobs and Motherhood Pay Penalties: The Impact of Flexible Work Arrangements Across the Educational Spectrum. Work and Occupations, 46(1), 3–44. [Google Scholar] [CrossRef]
- Furmańczyk, J., & Kaźmierczyk, J. (2020). Economic, Psychological, and Social Consequences of the COVID-19 Pandemic. European Journal of Transformation Studies, 8(1), 36–54. [Google Scholar]
- Furtmueller, E., van Dick, R., & Wilderom, C. P. M. (2011). On the illusion of organizational commitment among finance professionals. Team Performance Management: An International Journal, 17(5/6), 255–278. [Google Scholar] [CrossRef]
- Galinsky, E., & Stein, P. J. (1990). The impact of human resource policies on employees. Journal of Family Issues, 11, 368–383. [Google Scholar] [CrossRef]
- Gastearena, L., Ollo López, A., & Larraza-Kintana, M. (2021). Are public employees more satisfied than private ones? The mediating role of job demands and job resources. Management Research: Journal of the Iberoamerican Academy of Management, ahead-of-print. [Google Scholar] [CrossRef]
- Gerhard, C., Klein, A. G., Schermelleh-Engel, K., Moosbrugger, H., Gäde, J., & Brandt, H. (2015). On the performance of likelihood-based difference tests in nonlinear structural equation models. Structural Equation Modeling: A Multidisciplinary Journal, 22(2), 276–287. [Google Scholar] [CrossRef]
- Greenhaus, J. H., & Beutell, N. J. (1985). Sources of conflict between work and family roles. Academy of Management Review, 10, 76–88. [Google Scholar] [CrossRef]
- Groen, B. A. C., van Triest, S. P., Coers, M., & Wtenweerde, N. (2018). Managing flexible work arrangements: Teleworking and output controls. European Management Journal, 36(6), 727–735. [Google Scholar] [CrossRef]
- Grzywacz, J. G., & Demerouti, E. (Eds.). (2013). New Frontiers in Work and Family Research. Psychology Press. [Google Scholar]
- Hafermalz, E., & Riemer, K. (2021). Productive and connected while working from home: What client-facing remote workers can learn from telenurses about ‘belonging through technology’. European Journal of Information Systems, 30(1), 89–99. [Google Scholar] [CrossRef]
- Hammer, L. B., Kossek, E. E., Bodner, T., & Crain, T. (2013). Measurement development and validation of the family supportive supervisor behavior short-form (FSSB-SF). Journal of Occupational Health Psychology, 18, 285–296. [Google Scholar] [CrossRef]
- Han, S. J., & McLean, G. N. (2020). Effects of family-supportive supervisor behaviors and organizational climate on employees. European Journal of Training and Development, 44(6/7), 659–674. [Google Scholar] [CrossRef]
- Henson, J. M., Reise, S. P., & Kim, K. H. (2007). Detecting mixtures from structural model differences using latent variable mixture modeling: A comparison of relative model fit statistics. Structural Equation Modeling, 14(2), 202–226. [Google Scholar] [CrossRef]
- Hofstede, G. (1980). Culture’s consequences: International differences in work-related values. SAGE. [Google Scholar]
- Hornung, S., Herbig, B., & Glaser, J. (2008). Mitarbeiterorientierte Flexibilisierung: Konzeptgeleitete Evaluation eines Fallbeispiels aus der öffentlichen Verwaltung. Psychology of Everyday Activity, 1(1), 33–43. [Google Scholar]
- Howlett, E. (2023). Candidates accept jobs with greater flexibility—Yet half back out before starting, survey finds. Available online: https://www.peoplemanagement.co.uk/article/1835049/candidates-accept-jobs-greater-flexibility-%E2%80%93-yet-half-back-starting-survey-finds (accessed on 31 May 2024).
- Höge, T. (2011). Perceived flexibility requirements at work and the entreployee-workorientation: Concept and measurement. Psychology of Everyday Activity, 4(1), 3–21. [Google Scholar]
- Human Rights and Equal Opportunity Commission. (1996). Stretching flexibility: Enterprise bargaining, women workers and changes to working hours. Human Rights and Equal Opportunity Commission. [Google Scholar]
- Integrated Benefits Institute. (2024). What working from home does to your career—And bank balance. Available online: https://www.ibiweb.org/about/in-the-news (accessed on 31 May 2024).
- Ismail, S., & Michael, F. (2023). Systematic Review of Flexible Work Arrangements Impact on Employee Performance. International Journal of Academic Research in Business and Social Sciences, 13(11), 825–839. [Google Scholar] [CrossRef]
- Jacobs, A. W., & Padavic, I. (2015). Hours, Scheduling and Flexibility for Women in the US Low-Wage Labour Force: Hours, Scheduling and Flexibility In Low-Wage Labour Force. Gender, Work & Organization, 22(1), 67–86. [Google Scholar] [CrossRef]
- Jamaludin, N., & Kamal, S. (2023). The Relationship between Remote Work and Job Satisfaction: The Mediating Role of Perceived Autonomy. Information Management and Business Review, 15, 10–22. [Google Scholar] [CrossRef]
- Johanson, M. (2022). The countries resisting remote work. Available online: https://www.bbc.com/worklife/article/20220511-the-countries-resisting-remote-work (accessed on 31 May 2024).
- Johnson, N., Veletsianos, G., & Seaman, J. (2020). U.S. faculty and administrators’ experiences and approaches in the early weeks of the COVID-19 pandemic. Learning, 24, 2285. [Google Scholar] [CrossRef]
- Jonsson, D. (2007). Flexibility, Stability and Related Concepts. In B. Furåker, K. Håkansson, & J. C. Karlsson (Eds.), Flexibility and Stability in Working Life (pp. 30–41). Palgrave Macmillan Editors. [Google Scholar] [CrossRef]
- Judes, A., Schwellnus, C., Ciminelli, G., Koelle, M., Adrian, P., & Sinclair, T. (2021). Will Remote Work Persist after the Pandemic? Available online: https://www.hiringlab.org/2021/12/16/will-remote-work-persist-after-the-pandemic/ (accessed on 31 May 2024).
- Judge, T. A., Locke, E. A., Durham, C. C., & Kluger, A. N. (1998). Dispositional effects on job and life satisfaction: The role of core evaluations. Journal of Applied Psychology, 83(1), 17–34. [Google Scholar] [CrossRef] [PubMed]
- Junior, F. A. C., Faiad, C., Rego, M. C. B., & Ramos, W. M. (2020). What Brazilian workers think about flexible work and telework. International Journal of Business Excellence, 20(1), 16. [Google Scholar] [CrossRef]
- Kahn, R. L., Wolfe, D. M., Quinn, R. P., Snoek, J. D., & Rosenthal, R. A. (1964). Organizational stress: Studies in role conflict and ambiguity. Wiley. [Google Scholar]
- Klimczuk, A., & Klimczuk-Kochańska, M. (2016). Dual Labor Market. In N. A. Naples, R. C. Hoogland, M. Wickramasinghe, & W. C. A. Wong (Eds.), The Wiley-Blackwell Encyclopedia of Gender and Sexuality Studies. Wiley-Blackwell. [Google Scholar]
- Kolasa, M., Rubaszek, M., & Walerych, M. (2021). Do flexible working hours amplify or stabilize unemployment fluctuations? European Economic Review, 131, 103605. [Google Scholar] [CrossRef]
- Lam, L., Nguyen, P., Le, N., & Tran, K. (2021). The relation among organizational culture, knowledge management, and innovation capability: Its implication for open innovation. Journal of Open Innovation Technology Market and Complexity, 7(1), 66. [Google Scholar] [CrossRef]
- Lee, C. (1991). Balancing work and family. Training, 28, 23–28. [Google Scholar]
- Little, T. D., Rhemtulla, M., Gibson, K., & Schoemann, A. M. (2013). Why the items versus parcels controversy needn’t be one. Psychological Methods, 18(3), 285–300. [Google Scholar] [CrossRef]
- Locke, E. A. (1976). The nature and causes of job satisfaction. The Handbook of Inustrial and Organizational Psychology, 1, 1297–1349. [Google Scholar]
- Lockwood, G., & Nath, V. (2021). The monitoring of tele-homeworkers in the UK: Legal and managerial implications. International Journal of Law and Management, 63(4), 396–416. [Google Scholar] [CrossRef]
- Lovell, A., Beckstrand, G., & Sturt, D. (2021). Rethink: 2022 Global culture report. O.C. Tanner Institute. [Google Scholar]
- López-Igual, P., & Rodríguez-Modroño, P. (2020). Who is Teleworking and Where from? Exploring the Main Determinants of Telework in Europe. Sustainability, 12(21), 8797. [Google Scholar] [CrossRef]
- Lund, S., Madgavkar, A., Manyika, J., & Smit, S. (2020). What’s next for remote work: An analysis of 2,000 tasks, 800 jobs, and nine countries. Available online: https://www.mckinsey.com/featured-insights/future-of-work/whats-next-for-remote-work-an-analysis-of-2000-tasks-800-jobs-and-nine-countries (accessed on 31 May 2024).
- Marica, M. E. (2019). On call (zero-hour) contractual arrangements: A new form of employment. Elements of compared law. Juridical Tribune-Tribuna Juridica, 9(1), 70–78. [Google Scholar]
- Maslowsky, J., Jager, J., & Hemken, D. (2015). Estimating and interpreting latent variable interactions: A tutorial for applying the latent moderated structural equations method. International Journal of Behavioral Development, 39(1), 87–96. [Google Scholar] [CrossRef]
- Matthews, R., Kath, L., & Barnes-Farrell, J. (2010). A Short, Valid, Predictive Measure of Work-Family Conflict: Item Selection and Scale Validation. Journal of Occupational Health Psychology, 15, 75–90. [Google Scholar] [CrossRef]
- Mayer, A., Umbach, N., Flunger, B., & Kelava, A. (2017). Effect analysis using nonlinear structural equation mixture modeling. Structural Equation Modeling: A Multidisciplinary Journal, 24(4), 556–570. [Google Scholar] [CrossRef]
- McGahey, R. (2024). Remote Work Has Stabilized But Its Future Is Uncertain. Available online: https://www.forbes.com/sites/richardmcgahey/2024/01/31/remote-work-has-stabilized-but-its-future-is-uncertain/ (accessed on 31 May 2024).
- Mengstie, M. M. (2020). Perceived organizational justice and turnover intention among hospital healthcare workers. BMC Psychology, 8, 19. [Google Scholar] [CrossRef] [PubMed]
- Meredith, W. (1993). Measurement invariance, factor analysis and factorial invariance. Psychometrika, 58, 525–543. [Google Scholar] [CrossRef]
- Meyer, J. P., & Allen, N. J. (1997). Commitment in the workplace: Theory, research, and application. Sage Publications, Inc. [Google Scholar]
- Mihhailova, G., Oun, K., & Tuerk, K. (2011). Virtual work usage and challenges in different service sector branches. Baltic Journal of Management, 6(3), 342–356. [Google Scholar] [CrossRef]
- Ministry for the Family. (2023). Dipartimento per le politiche della famiglia. Presidenza del Consiglio dei ministri. Available online: https://famiglia.governo.it/it/ (accessed on 31 May 2024).
- Ministry of Economy and Finance. (2021). Come si consultano i contratti collettivi interconfederali e nazionali [How to examine the interconfederal and national collective agreements]. Available online: https://www.lavoro.gov.it/temi-e-priorita/rapporti-di-lavoro-e-relazioni-industriali/focus-on/Contrattazione-collettiva/Pagine/Come-si-consultano-i-contratti-collettivi-interconfederali-e-nazionali.aspx (accessed on 31 May 2024).
- Mok, A. (2023). Fully remote workers are at the highest risk of being replaced by AI, a Stanford professor says. Available online: https://www.businessinsider.com/fully-remote-wfh-workers-highest-risk-losing-jobs-ai-chatgpt-2023-12 (accessed on 31 May 2024).
- Mondo, M., Sechi, C., & Cabras, C. (2021). Psychometric evaluation of three versions of the Italian Perceived Stress Scale. Current Psychology, 40, 1884–1892. [Google Scholar] [CrossRef]
- Mowday, R. T., Porter, L. W., & Steers, R. M. (1982). Employee-Organization Linkages: The Psychology of Commitment, Absenteeism and Turnover. Academic Press. [Google Scholar]
- Mulki, J. P., & Jaramillo, F. (2011). Workplace isolation: Salespeople and supervisors in USA. International Journal of Human Resource Management, 22(4), 902–923. [Google Scholar] [CrossRef]
- Muthén, L. K., & Muthén, B. O. (1998–2018). Mplus User’s Guide: Statistical Analysis with Latent Variables (7th ed.). Muthén & Muthén. [Google Scholar]
- Müller, G., Tisch, A., & Wöhrmann, A. M. (2018). The impact of long working hours on the health of German employees. German Journal of Human Resource Management: Zeitschrift Für Personalforschung, 32(3–4), 217–235. [Google Scholar] [CrossRef]
- Neis, B., & Neil, K. (2020). Mental health in the construction industry: An interview with Australia’s MATES in construction CEO, Jorgen Gullestrup. Labour and Industry, 30(4), 413–429. [Google Scholar] [CrossRef]
- Nohe, C., & Sonntag, K. (2014). Work-family conflict, social support, and turnover intentions: A longitudinal study. Journal of Vocational Behavior, 85(1), 1–12. [Google Scholar] [CrossRef]
- Obenauf, S. E. (2021). Remote management of library staff: Challenges and practical solutions. The Journal of Academic Librarianship, 47(5), 102353. [Google Scholar] [CrossRef] [PubMed]
- O’Connor, L. T., & Cech, E. A. (2018). Not Just a Mothers’ Problem: The Consequences of Perceived Workplace Flexibility Bias for All Workers. Sociological Perspectives, 61(5), 808–829. [Google Scholar] [CrossRef]
- Organization for Economic Cooperation and Development. (2024). Better Life Index. Available online: https://www.oecdbetterlifeindex.org/topics/work-life-balance/ (accessed on 31 May 2024).
- Parker, K., Horowitz, J. M., & Minkin, R. (2022). COVID-19 Pandemic Continues to Reshape Work in America. Available online: https://www.pewresearch.org/social-trends/2022/02/16/covid-19-pandemic-continues-to-reshape-work-in-america (accessed on 31 May 2024).
- Peasley, M. C., Hochstein, B., Britton, B. P., Srivastava, R. V., & Stewart, G. T. (2020). Can’t leave it at home? The effects of personal stress on burnout and salesperson performance. Journal of Business Research, 117, 58–70. [Google Scholar] [CrossRef] [PubMed]
- Pedersen, N. B. (2017). Is More Parental Leave Always Better: An Analysis of Potential Employee Protection for Leave Offered outside the FMLA. Cleveland State Law Review, 66, 341. [Google Scholar]
- Perez Alonso, A. F., Rosseel, Y., Vermunt, J. K., & De Roover, K. (2024). Mixture multigroup structural equation modeling: A novel method for comparing structural relations across many groups. Psychological Methods, 10.1037/met0000667. [Google Scholar] [CrossRef]
- Petitta, L., & Ghezzi, V. (2023). Remote, Disconnected, or Detached? Examining the Effects of Psychological Disconnectedness and Cynicism on Employee Performance, Wellbeing, and Work–Family Interface. International Journal of Environmental Research and Public Health, 20(13), 6318. [Google Scholar] [CrossRef] [PubMed]
- Petitta, L., Probst, T. M., Ghezzi, V., & Barbaranelli, C. (2020). Economic Stress, Emotional Contagion and Safety Outcomes: A Cross-country Study. WORK, 66(2), 421–435. [Google Scholar] [CrossRef]
- Petitta, L., Probst, T. M., Ghezzi, V., & Barbaranelli, C. (2021). Emotional Contagion as a Trigger for Moral Disengagement: Their Effects on Workplace Injuries. Safety Science, 140, 105317. [Google Scholar] [CrossRef]
- Podsakoff, P. M., MacKenzie, S. B., Lee, J.-Y., & Podsakoff, N. P. (2003). Common method biases in behavioral research: A critical review of the literature and recommended remedies. Journal of Applied Psychology, 88(5), 879–903. [Google Scholar] [CrossRef] [PubMed]
- Raghuram, S. (2014). Telecommuting in India: Pitfalls and possibilities. South Asian Journal of Human Resources Management, 1(2), 207–220. [Google Scholar] [CrossRef]
- Reilly, P. A. (1998). Balancing flexibility—Meeting the interests of employer and employee. European Journal of Work and Organizational Psychology, 7(1), 7–22. [Google Scholar] [CrossRef]
- Resume Builder. (2023). 1 in 3 Remote Employers Are Watching You Work From Home on Camera. Available online: https://www.resumebuilder.com/1-in-3-remote-employers-are-watching-you-work-from-home-on-camera/ (accessed on 31 May 2024).
- Richardson, L. (2017). Sharing as a postwork style: Digital work and the co-working office. Cambridge Journal of Regions, Economy and Society, 10, 297–310. [Google Scholar] [CrossRef]
- Rolim Ensslin, S., Marx Welter, L., & Pedersini, D. R. (2021). Performance evaluation: A comparative study between public and private sectors. International Journal of Productivity and Performance Management, 71(5), 1761–1785. [Google Scholar] [CrossRef]
- Rubery, J., Keizer, A., & Grimshaw, D. (2016). Flexibility bites back: The multiple and hidden costs of flexible employment policies: Provocation paper: Costs of flexible policies. Human Resource Management Journal, 26(3), 235–251. [Google Scholar] [CrossRef]
- Saxena, S., & Mokhtarian, P. (2010). The Impact of Telecommuting on the Activity Spaces of Participants and Their Households. Geographical Analysis, 29, 124–144. [Google Scholar] [CrossRef]
- Scandura, T. A., & Lankau, M. J. (1997). Relationships of gender, family responsibility and flexible work hours to organizational commitment and job satisfaction. Journal of Organizational Behavior, 18, 377–391. [Google Scholar] [CrossRef]
- Schein, E. H. (1985). Organizational Culture and Leadership. Jossey-Bass. [Google Scholar]
- Scott-Lennox, J. A., & Scott-Lennox, R. D. (1995). Sex-race differences in social support and depression in older low-income adults. In R. H. Hoyle (Ed.), Structural-equation modeling: Concepts, issues, and applications (pp. 199–216). Sage. [Google Scholar]
- Shifrin, N., & Michel, J. (2021). Flexible Work Arrangements and Employee Health: A Meta-Analytic Review. Work and Stress, 36(1), 60–85. [Google Scholar] [CrossRef]
- Soga, L., Bolade-Ogunfodun, O., Mariani, M., Nasr, R., & Laker, B. (2022). Unmasking the other face of flexible working practices: A systematic literature review. Journal of Business Research, 142, 648–662. [Google Scholar] [CrossRef]
- Soroui, S. T. (2021). Understanding the drivers and implications of remote work from the local perspective: An exploratory study into the dis/reembedding dynamics. Technology in Society, 64, 101328. [Google Scholar] [CrossRef]
- Spector, P. E., & Jex, S. M. (1998). Development of four self-report measures of job stressors and strain: Interpersonal Conflict at Work Scale, Organizational Constraints Scale, Quantitative Workload Inventory, and Physical Symptoms Inventory. Journal of Occupational Health Psychology, 3(4), 356–367. [Google Scholar] [CrossRef]
- Stapleton, L. M., McNeish, D. M., & Yang, J. S. (2016). Multilevel and single-level models for measured and latent variables when data are clustered. Educational Psychologist, 51(3–4), 317–330. [Google Scholar] [CrossRef]
- Suh, A., & Lee, J. (2017). Understanding teleworkers’ technostress and its influence on job satisfaction. Internet Research, 27(1), 140–159. [Google Scholar] [CrossRef]
- Sunaryo, S., Sawitri, H. S. R., Suyono, J., & Wahyudi, L. (2022). Flexible work arrangement and work-related outcomes during the Covid-19 pandemic: Evidence from local governments in Indonesia. Problems and Perspectives in Management, 20(3), 411–424. [Google Scholar] [CrossRef]
- Tabachnick, B. G., & Fidell, L. S. (2019). Using multivariate statistics (7th ed.). Pearson. [Google Scholar]
- Tahavori, Z. (2015). Teleworking in the National Library and Archives of Iran: Teleworkers’ attitudes. Journal of Librarianship and Information Science, 47(4), 341–355. [Google Scholar] [CrossRef]
- Thomas, L., & Ganster, D. C. (1995). Impact of family-supportive work variables on work-family conflict and strain: A control perspective. Journal of Applied Psychology, 80, 6–15. [Google Scholar] [CrossRef]
- Thulin, E., Vilhelmson, B., & Johansson, M. (2019). New Telework, Time Pressure and Time Use Control in Everyday Life. Sustainability, 11, 3067. [Google Scholar] [CrossRef]
- Tudy, R. A. (2021). From the corporate world to freelancing: The phenomenon of working from home in the Philippines. Community, Work & Family, 24(1), 77–92. [Google Scholar]
- Turkle, S. (2008). Always-on/Always-on-you: The tethered self. In J. Katz (Ed.), Handbook of Mobile Communication Studies (pp. 121–137). MIT Press. [Google Scholar]
- Valenduc, G., & Vendramin, P. (2016). Work in the Digital Economy: Sorting the Old from the New. (SSRN Scholarly Paper ID 2770405). Social Science Research Network. [Google Scholar]
- Voydanoff, P. (1990). Economic distress and family relations: A review of the eighties. Journal of Marriage and the Family, 52(4), 1099–1115. [Google Scholar] [CrossRef]
- Waples, E. P., & Brock Baskin, M. E. (2021). Not Your Parents’ Organization? Human Resource Development Practices for Sustainable Flex Work Environments. Advances in Developing Human Resources, 23(2), 153–170. [Google Scholar] [CrossRef]
- Wei, W., Guo, M., Ye, L., Liao, G., & Yang, Z. (2016). Work-family conflict and safety participation of high-speed railway drivers: Job satisfaction as a mediator. Accident Analysis & Prevention, 95, 97–103. [Google Scholar]
- Wheatley, D. (2012). Good to be home? Time-use and satisfaction levels among home-based teleworkers: Home-based teleworkers. New Technology, Work and Employment, 27(3), 224–241. [Google Scholar] [CrossRef]
- Wickersham, P. (2023). Remote workers are happier and healthier than in-office counterparts, survey finds. Available online: https://remote.com/blog/global-work-life-survey (accessed on 31 May 2024).
- Wigert, B., & White, J. (2022). The Advantages and Challenges of Hybrid Work. Available online: https://www.gallup.com/workplace/398135/advantages-challenges-hybrid-work.aspx (accessed on 31 May 2024).
- Wilkinson, D. (2017). Findings about flexible working arrangements. Available online: https://oxford-review.com/flexible-working/#culture (accessed on 31 May 2024).
- Williams, C. (2008). Work-life balance of shift workers. Perspectives on labour and income, 20(3), 15. [Google Scholar]
- Williams, L. J., & Anderson, S. E. (1991). Job satisfaction and organizational commitment as predictors of organizational citizenship and in-role behaviors. Journal of Management, 17, 601–619. [Google Scholar] [CrossRef]
- Yu, R., Burke, M., & Raad, N. (2019). Exploring impact of future flexible working model evolution on urban environment, economy and planning. Journal of Urban Management, 8(3), 447–457. [Google Scholar] [CrossRef]
- Zarei, H., Yazdifar, H., & Soofi, F. (2021). The perceived impact of working agreements toward employed female in the accounting profession: Evidence from Iran. Journal of Applied Accounting Research, 22(2), 197–222. [Google Scholar] [CrossRef]
- Ziuznys, A. (2022). Remote Work Trends During COVID-19 in the US and Europe. Available online: https://coresignal.com/blog/remote-work-trends-during-covid-19/ (accessed on 31 May 2024).
- Zoe Talent Solutions. (2023). Remote Work Statistics Europe (2023). Available online: https://zoetalentsolutions.com/remote-work-statistics-europe/ (accessed on 31 May 2024).


| Variable | M | SD | 1 | 2 | 3 | 4 | 5 | 6 | 7 | 8 | 9 | 10 | 11 | 12 |
|---|---|---|---|---|---|---|---|---|---|---|---|---|---|---|
| 1. Organization Type | 1.54 (1.73) | 0.50 (0.44) | - | −0.08 | 0.09 | 0.02 | 0.02 | −0.05 | −0.14 ** | −0.08 | 0.07 | 0.01 | 0.06 | 0.04 |
| 2. FW Policy | 1.74 (1.70) | 0.44 (0.46) | −0.23 ** | - | −0.09 | −0.12 | −0.10 | −0.17 ** | −0.14 ** | −0.04 | 0.03 | 0.03 | 0.02 | 0.03 |
| 3. FWO | 3.84 (4.13) | 0.77 (0.70) | −0.01 | −0.01 | 0.78 (0.77) | 0.23 ** | 0.30 ** | 0.24 ** | 0.30 ** | 0.35 ** | −0.20 ** | −0.09 | −0.30 ** | −0.03 |
| 4. Organizational Support | 4.73 (4.66) | 1.21 (1.13) | 0.12 ** | −0.18 ** | 0.20 ** | 0.90 (0.89) | 0.55 ** | 0.55 ** | 0.55 ** | 0.15 * | −0.26 ** | −0.21 ** | −0.12 * | −0.17 ** |
| 5. Organizational Justice | 3.31 (3.33) | 0.96 (0.98) | 0.06 | −0.13 * | 0.27 ** | 0.62 ** | 0.85 (0.83) | 0.44 ** | 0.43 ** | 0.20 ** | −0.25 ** | −0.24 ** | −0.15 * | −0.12 ** |
| 6. Affective Commitment | 3.56 (3.45) | 0.90 (0.92) | −0.04 | −0.15 * | 0.19 ** | 0.59 ** | 0.55 ** | 0.90 (0.91) | 0.66 ** | 0.20 ** | −0.38 ** | −0.10 | −0.17 ** | 0.02 |
| 7. Job Satisfaction | 5.11 (4.94) | 1.27 (1.32) | −0.11 * | −0.04 | 0.25 ** | 0.49 ** | 0.48 ** | 0.72 ** | 0.86 (0.87) | 0.27 ** | −0.48 ** | −0.27 ** | −0.31 ** | 0.00 |
| 8. Performance | 4.54 (4.55) | 0.65 (0.66) | −0.09 * | −0.04 | 0.23 ** | 0.13 ** | 0.16 ** | 0.21 ** | 0.28 ** | 0.88 (0.89) | −0.25 ** | −0.21 ** | −0.38 ** | 0.09 |
| 9. Stress | 2.88 (2.79) | 0.86 (0.86) | 0.11 | −0.06 | −0.28 ** | −0.31 ** | −0.29 ** | −0.38 ** | −0.50 ** | −0.25 ** | 0.68 (0.68) | 0.26 | 0.23 ** | 0.06 |
| 10. WFC | 2.33 (2.18) | 0.84 (0.79) | 0.00 | 0.05 | −0.38 ** | −0.24 ** | −0.24 ** | −0.22 ** | −0.24 ** | −0.05 | 0.31 ** | 0.72 (0.68) | 0.45 ** | 0.32 ** |
| 11. FWC | 1.88 (1.75) | 0.79 (0.74) | −0.01 | 0.07 | −0.37 ** | −0.22 ** | −0.23 ** | −0.27 ** | −0.31 ** | −0.26 ** | 0.33 ** | 0.55 ** | 0.73 (0.72) | −0.01 |
| 12. Workload | 3.47 (3.44) | 0.83 (0.91) | 0.03 | 0.04 | −0.20 ** | −0.13 ** | −0.15 ** | −0.07 | −0.10 * | 0.08 | 0.18 ** | 0.45 ** | 0.26 ** | 0.86 (0.89) |
| Model Fit | Model Comparison | ||||||||
|---|---|---|---|---|---|---|---|---|---|
| Models (M) | YBχ2 | df | RMSEA (90% CI) | CFI | TLI | SRMR | ΔM | Scaled ∆YBχ2 (∆df) | ΔCFI |
| Measurement Models | |||||||||
| Model in-person | 1080.14 *** | 528 | 0.043 (0.039−0.046) | 0.938 | 0.926 | 0.053 | − | − | − |
| Model flexible | 910.59 *** | 528 | 0.052 (0.046−0.058) | 0.910 | 0.900 | 0.066 | − | − | − |
| Measurement Invariance Models | |||||||||
| M1: Configural | 2001.59 *** | 1056 | 0.046 (0.043−0.049) | 0.929 | 0.915 | 0.058 | − | − | − |
| M2: Metric | 2015.01 *** | 1079 | 0.045 (0.042−0.048) | 0.929 | 0.917 | 0.060 | M2-M1 | 19.23(23) ns | 0 |
| M3: Scalar | 2074.52 *** | 1103 | 0.046 (0.043−0.049) | 0.927 | 0.916 | 0.060 | M3-M2 | 58.88(24) *** | 0.002 |
| M3a: Scalarpartial | 2045.84 *** | 1100 | 0.045 (0.042−0.048) | 0.928 | 0.918 | 0.060 | M3a-M2 | 31.24(21) ns | 0.001 |
| M4: Strict | 2040.61 *** | 1134 | 0.044 (0.041−0.047) | 0.931 | 0.924 | 0.062 | M4-M3a | 27.44(34) ns | −0.003 |
| M5. Latent Means | 2064.24 *** | 1144 | 0.044 (0.041−0.047) | 0.930 | 0.923 | 0.065 | M5-M4 | 23.11(10) ns | 0.001 |
Disclaimer/Publisher’s Note: The statements, opinions and data contained in all publications are solely those of the individual author(s) and contributor(s) and not of MDPI and/or the editor(s). MDPI and/or the editor(s) disclaim responsibility for any injury to people or property resulting from any ideas, methods, instructions or products referred to in the content. |
© 2025 by the authors. Licensee MDPI, Basel, Switzerland. This article is an open access article distributed under the terms and conditions of the Creative Commons Attribution (CC BY) license (https://creativecommons.org/licenses/by/4.0/).
Share and Cite
Petitta, L.; Ghezzi, V. Disentangling the Pros and Cons of Flexible Work Arrangements: Curvilinear Effects on Individual and Organizational Outcomes. Economies 2025, 13, 20. https://doi.org/10.3390/economies13010020
Petitta L, Ghezzi V. Disentangling the Pros and Cons of Flexible Work Arrangements: Curvilinear Effects on Individual and Organizational Outcomes. Economies. 2025; 13(1):20. https://doi.org/10.3390/economies13010020
Chicago/Turabian StylePetitta, Laura, and Valerio Ghezzi. 2025. "Disentangling the Pros and Cons of Flexible Work Arrangements: Curvilinear Effects on Individual and Organizational Outcomes" Economies 13, no. 1: 20. https://doi.org/10.3390/economies13010020
APA StylePetitta, L., & Ghezzi, V. (2025). Disentangling the Pros and Cons of Flexible Work Arrangements: Curvilinear Effects on Individual and Organizational Outcomes. Economies, 13(1), 20. https://doi.org/10.3390/economies13010020

