Analysis on Characteristics of Mixed Traffic Flow with Intelligent Connected Vehicles at Airport Two-Lane Curbside Based on Traffic Characteristics
Abstract
1. Introduction
2. Research Scenario and Framework
2.1. Curbside Characteristics
- The vehicle enters the curbside area in the direction of the traffic flow indication direction;
- The vehicle performs stop and drop off service within the designated drop-off lane;
- The vehicle exits through the ride lane after service is completed.
2.2. Mixed Traffic Flow Configurations
2.3. Research Framework for the Operating Characteristics of Mixed Traffic Flow
3. Method
3.1. Model Construction
3.1.1. Car-Following Model
3.1.2. Analysis of Vehicle Lane-Changing Conditions
- We ignore the lateral motion of the vehicle and assume that the vehicle enters the destination lane in a translational attitude at one instant;
- When an emergency occurs in the lead vehicle, the back vehicle can immediately sense and act, assuming a reaction time of 0 for the driver;
- The vehicle brakes well and brakes at maximum acceleration;
- The occurrence of an emergency is only considered when a vehicle leaves the drop-off lane and is related to the departing vehicle;
- Vehicles entering the ride lane drive at the speed of the lead vehicle as the desired speed, and when there is no lead vehicle, the vehicle speed is 0.
3.2. Simulation Program Design
3.2.1. Selection of Car-Following Models
3.2.2. Treatments of Vehicle Status
3.2.3. Treatments of Parking Space Status
3.2.4. Simulation Principle
- The first mode is that the Carn is in the AFR status. The Carn updates its position and speed by constantly updating itself. When the of the Carn is within the range of , the Carn transitions to the AB status. Then, the final realization of braking and stopping occurs.
- The second mode is that the Carn is in the ACF status. In this status, the Carn is affected by the vehicle in front of it. The Carn can only select a parking space between the vehicle in front and the Carn for parking. When the status of the parking space selected by the Carn changes to PSL. The Carn performs braking and eventually stops.
4. Results and Discussion
4.1. Average Vehicle Speed Analysis
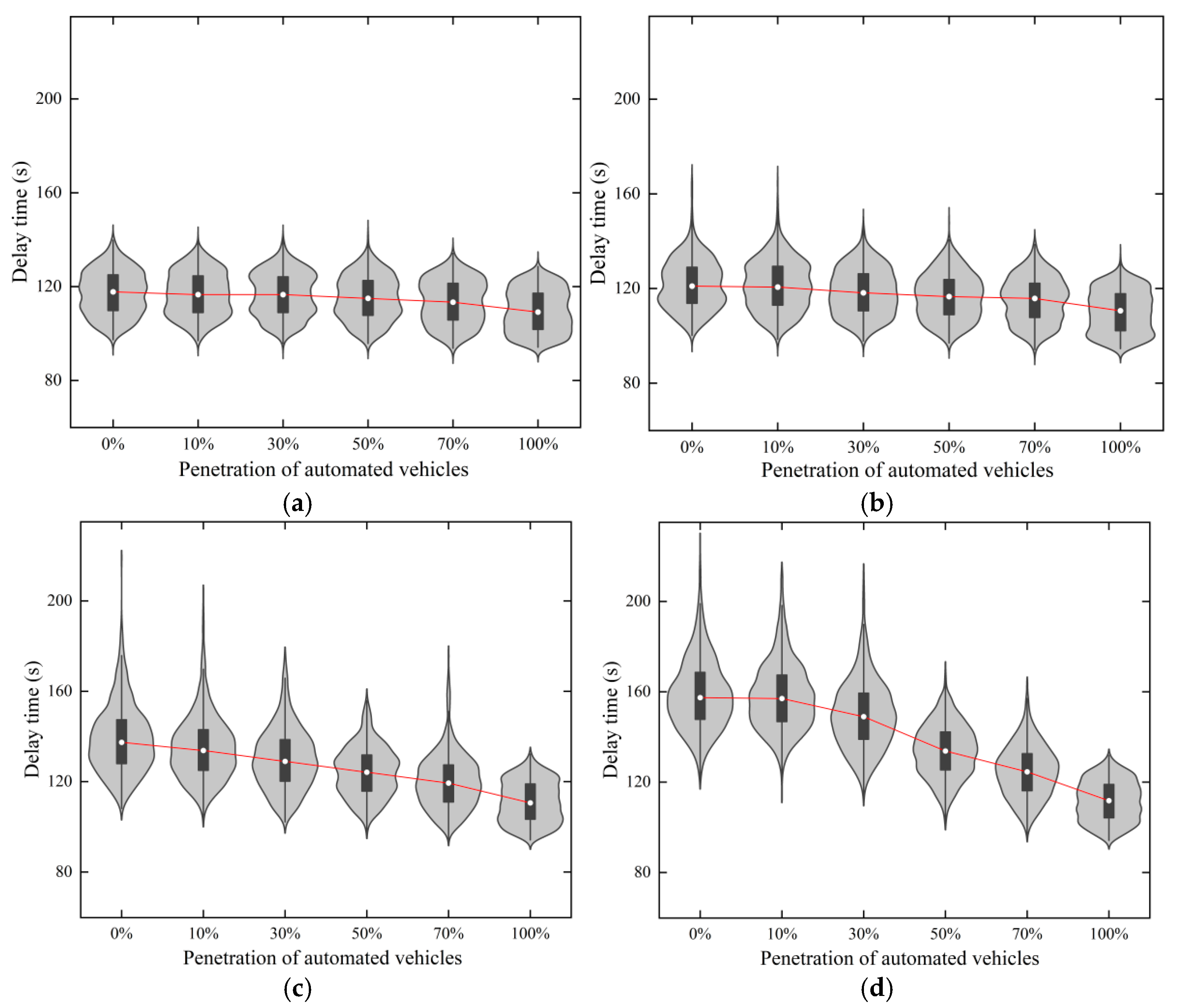
4.2. Analysis of Vehicle Delays
4.3. Parking Space Utilization Analysis
- First Stage (0–30% of berths): Occupancy is stable and concentrated.
- Second Stage (30–70% of berths): Known as the transition stage, occupancy shows a slow decreasing trend but remains high.
- Third Stage (70–100% of berths): Occupancy declines rapidly at a steady rate with a consistent slope.
5. Conclusions
Author Contributions
Funding
Data Availability Statement
Conflicts of Interest
Abbreviations
| CAV | Connected autonomous vehicle |
| HDV | Human-driven vehicle |
| CACC | Cooperative adaptive cruise control |
| ACC | Adaptive cruise control |
| IDM | Intelligent driver model |
| CF | Car-following |
| ACF | Arriving and car-followed |
| AFR | Arriving and free-running |
| AB | Arriving and braking |
| AP | Arriving and parking |
| AL | Arriving and leaving |
| TPS | Target parking space |
| PSL | Parking space locking |
| PSU | Parking space unlocking |
References
- La Demanda Global del Transporte aéreo de Pasajeros Continuó Recuperándose en 2024. Available online: https://www.iata.org/en/pressroom/2025-releases/2025-01-30-01/ (accessed on 20 May 2024).
- AlKheder, S.; Alhadeyah, S.; Albaghli, Z. Simulation modeling of passengers flow at airport terminals to reduce delay and enhance level of service. Case Stud. Transp. Policy 2024, 18, 101312. [Google Scholar] [CrossRef]
- Scheelhaase, J.; Braun, M.; Maertens, S.; Grimme, W. Costs for passengers and airlines due to the significant delays and other irregularities at European airports in the 2022 summer season. Transp. Res. Procedia 2023, 75, 96–105. [Google Scholar] [CrossRef]
- Gong, Z.; Zhang, F.; Liu, W.; Graham, D.J. On the effects of airport capacity expansion under responsive airlines and elastic passenger demand. Transp. Res. Part B Methodol. 2023, 170, 48–76. [Google Scholar] [CrossRef]
- Parizi, M.S.; Braaksma, J.P. Optimum design of airport enplaning curbside areas. J. Transp. Eng. 1994, 120, 536–551. [Google Scholar] [CrossRef]
- Lu, X.; Zhu, J.F.; Tang, X.W. Capacity assessment and optimization of terminal curbside. J. Harbin Inst. Technol 2009, 41, 96–99. [Google Scholar]
- Zhang, Y. Analysis on dynamic capacity of curbside on transportation hub. Technol. Econ. Areas Commun. 2013, 5, 78–81. [Google Scholar]
- Zhao, J.; Knoop, V.L.; Wang, M. Microscopic traffic modeling inside intersections: Interactions between drivers. Transp. Sci. 2023, 57, 135–155. [Google Scholar] [CrossRef]
- Hu, Y.; Luo, X.; Bai, D. Passenger congestion alleviation in large hub airport ground-access system based on queueing theory. Transp. B Transp. Dyn. 2023, 11, 257–278. [Google Scholar] [CrossRef]
- Chen, Y.; Zhang, N.; Wu, H.; Lu, Y.; Zhang, L.; He, J. Calculation Method of Traffic Capacity in Airport Curbside. In Green Intelligent Transportation Systems, Proceedings of the 7th International Conference on Green Intelligent Transportation System and Safety 7, Online, 12 July 2017; Springer: Singapore, 2018; pp. 725–736. [Google Scholar]
- Liu, S.; Zhou, C.; Rong, J.; Ma, J.; Wang, Y. Measuring the length of a two-lane curbside based on traffic features. Transp. Res. Rec. 2020, 2674, 590–599. [Google Scholar] [CrossRef]
- Harris, T.M.; Nourinejad, M.; Roorda, M.J. A mesoscopic simulation model for airport curbside management. J. Adv. Transp. 2017, 2017, 4950425. [Google Scholar] [CrossRef]
- van Geelen, H.; Redant, K. Connected & Autonomous Vehicles and road infrastructure–state of play and outlook. Transp. Res. Procedia 2023, 72, 1311–1317. [Google Scholar]
- Luo, S.; Zhang, S. Dynamic signal control for at-grade intersections under preliminary autonomous vehicle environment. J. Cent. South Univ. 2019, 26, 893–904. [Google Scholar] [CrossRef]
- Yi, Z.; Lu, W.; Xu, L.; Qu, X.; Ran, B. Intelligent back-looking distance driver model and stability analysis for connected and automated vehicles. J. Cent. South Univ. 2020, 27, 3499–3512. [Google Scholar] [CrossRef]
- Pan, Y.; Wu, Y.; Xu, L.; Xia, C.; Olson, D.L. The impacts of connected autonomous vehicles on mixed traffic flow: A comprehensive review. Phys. A Stat. Mech. Its Appl. 2024, 635, 129454. [Google Scholar] [CrossRef]
- Gokasar, I.; Arisoy, A.A.; Deveci, M.; Mardani, A. Evaluation of a New Real-Life Traffic Management Using a Limited Number of Connected Autonomous Vehicles. IEEE Trans. Intell. Transp. Syst. 2023, 25, 3031–3040. [Google Scholar] [CrossRef]
- Cao, Z.; Lu, L.; Chen, C.; Chen, X.U. Modeling and simulating urban traffic flow mixed with regular and connected vehicles. IEEE Access 2021, 9, 10392–10399. [Google Scholar] [CrossRef]
- Yao, Z.; Ren, T.; Wang, Y.; Xu, Z.; Jiang, Y. Fundamental diagram of mixed traffic flow considering dedicated and shared lanes management policies for CAVs. IEEE Trans. Transp. Electrif. 2023, 10, 6964–6978. [Google Scholar] [CrossRef]
- Ma, L.; Qu, S.; Ren, J.; Zhang, X. Mixed traffic flow of human-driven vehicles and connected autonomous vehicles: String stability and fundamental diagram. Math. Biosci. Eng. 2023, 20, 2280–2295. [Google Scholar] [CrossRef]
- Yao, Z.; Hu, R.; Jiang, Y.; Xu, T. Stability and safety evaluation of mixed traffic flow with connected automated vehicles on expressways. J. Saf. Res. 2020, 75, 262–274. [Google Scholar] [CrossRef]
- Sultana, T.; Hassan, H.M. Does recognizability of connected and automated vehicles (CAVs) platoons affect drivers’ behavior and safety? Transp. Res. Part F Traffic Psychol. Behav. 2024, 103, 368–386. [Google Scholar] [CrossRef]
- Amirgholy, M.; Nourinejad, M. Connected automated vehicles orchestrating human-driven vehicles: Optimizing traffic speed and density in urban networks. Transp. Res. Part C Emerg. Technol. 2024, 165, 104741. [Google Scholar] [CrossRef]
- Cen, B.; Xue, Y.; Zhang, K.; Jia, L.; He, H.D. Study on traffic flows with connected vehicles and human-driven vehicles. Appl. Math. Comput. 2025, 490, 129182. [Google Scholar] [CrossRef]
- Colovic, A.; Pilone, S.G.; Kukić, K.; Kalić, M.; Dožić, S.; Babić, D.; Ottomanelli, M. Airport access mode choice: Analysis of passengers’ behavior in European countries. Sustainability 2022, 14, 9267. [Google Scholar] [CrossRef]
- Nikhil, T.R.; Anusha, S.M. A critical review on transport planning analysis of airport connectivity-airport surface access. Int. J. Sci. Res. 2021, 10, 2277–8179. [Google Scholar]
- Rassu, N.; Coni, M.; Maltinti, F. Analysis of the impact on the safety and sustainability of vehicular traffic in the landside area of Olbia-Costa Smeralda-airport. In International Conference on Computational Science and Its Applications; Springer: Cham, Switzerland, 2023; pp. 290–307. [Google Scholar]
- Chen, C.C.F.; Schonfeld, P. Optimal clustering analysis for airport parking. J. Air Transp. Manag. 2024, 120, 102659. [Google Scholar] [CrossRef]
- Yang, F.; Gu, W.; Cassidy, M.J.; Li, X.; Li, T. Achieving higher taxi outflows from a drop-off lane: A simulation-based study. Transp. Res. Part C Emerg. Technol. 2020, 115, 102623. [Google Scholar] [CrossRef]
- Zhang, M.; Uno, N.; Yang, X. Traffic safety evaluation for mixed traffic flow caused by degradation of connected automated vehicles. Phys. A Stat. Mech. Its Appl. 2025, 659, 130353. [Google Scholar] [CrossRef]
- Wang, Y.; Sun, L. Effects of safe driving climate among peers on the reckless driving behaviours of young drivers: The moderating effects of family climate and safety attitudes. Transp. Res. Part F Traffic Psychol. Behav. 2025, 112, 90–98. [Google Scholar] [CrossRef]
- He, Y.; Hu, Y.; Li, J.; Sun, K.; Yin, J. Multi-scenario driving style research based on driving behavior pattern extraction. Accid. Anal. Prev. 2025, 214, 107963. [Google Scholar] [CrossRef]
- Zhou, Z.; Li, L.; Qu, X.; Ran, B. A self-adaptive IDM car-following strategy considering asymptotic stability and damping characteristics. Phys. A Stat. Mech. Its Appl. 2024, 637, 129539. [Google Scholar] [CrossRef]
- Wang, J.; Zhao, W.; Min, H.; Huang, Y.; Liu, C. String stability of the heterogeneous vehicle platoon considering connectivity uncertainty and autonomous driving levels under variable time headway strategy. Transp. Lett. 2025, 1–22. [Google Scholar] [CrossRef]
- Kim, B.; Heaslip, K.P. Identifying suitable car-following models to simulate automated vehicles on highways. Int. J. Transp. Sci. Technol. 2023, 12, 652–664. [Google Scholar] [CrossRef]
- Bai, Y.; Tu, P.; Ong, G.P. An extended intelligent driving model for autonomous and manually driven vehicles in a mixed traffic environment with consideration to roadside crossing. Int. J. Transp. Sci. Technol. 2025, 17, 375–391. [Google Scholar] [CrossRef]
- Chen, X.; Wu, Z.; Liang, Y. Modeling mixed traffic flow with connected autonomous vehicles and human-Driven vehicles in off-ramp diverging areas. Sustainability 2023, 15, 5651. [Google Scholar] [CrossRef]
- Song, C.; Jia, H. Multi-State car-following behavior simulation in a mixed traffic flow for ICVs and MDVs. Sustainability 2022, 14, 13562. [Google Scholar] [CrossRef]
- Zhang, T.T.; Jin, P.J.; McQuade, S.T.; Bayen, A.; Piccoli, B. Car-Following Models: A Multidisciplinary Review. IEEE Trans. Intell. Veh. 2024, 10, 92–116. [Google Scholar] [CrossRef]
- He, Y.; Montanino, M.; Mattas, K.; Punzo, V.; Ciuffo, B. Physics-augmented models to simulate commercial adaptive cruise control (ACC) systems. Transp. Res. Part C Emerg. Technol. 2022, 139, 103692. [Google Scholar] [CrossRef]
- Zhang, J.F.; Wan, Q.; Liu, Q.Q.; Xiao, Y.; Lv, B.; Tang, J.Y. Analyzing the Features of Passenger Drop-Off Behavior at Airport Curbsides: A Case Study From Guangxi Province, China. IEEE Access 2023, 11, 120209–120221. [Google Scholar] [CrossRef]
- Chang, X.; Li, H.; Rong, J.; Zhao, X.; Li, A. Analysis on traffic stability and capacity for mixed traffic flow with platoons of intelligent connected vehicles. Phys. A Stat. Mech. Its Appl. 2020, 557, 124829. [Google Scholar] [CrossRef]
- Ramireddy, S.; Ala, V.; Mehar, A. Acceleration and deceleration rates of various vehicle categories at signalized intersections in mixed traffic conditions. Transp. Eng. 2021, 49, 324–332. [Google Scholar] [CrossRef]
- Chang, X.; Li, H.; Zhang, X.; Rong, J.; Zhao, X. Transition patterns of driving style from a traditional driving environment to a connected vehicle environment: A case of an extra-long tunnel road. Transp. Res. Part F Traffic Psychol. Behav. 2022, 90, 181–195. [Google Scholar] [CrossRef]
- Liu, S.; Jian, R.; Zhou, C.; Weng, Z.; Wang, Y. Research on the Calculation Method of Terminal Curbside Length. In CICTP 2019; American Society of Civil Engineers: New York, NY, USA, 2019; pp. 2136–2146. [Google Scholar]

















| Curbside | Vehicle | Space Occupation | Dwell Time |
|---|---|---|---|
| Departing curbside | Bus | 20 m | 120 s |
| Airport bus | 14 m | 121 s | |
| Taxi | 8 m | 50 s |
| Type | Parameter | Value |
|---|---|---|
| IDM | bi | 2.0 m/s2 |
| ami | 2.17 m/s2 | |
| v0 | 11.1 m/s | |
| δ | 4 | |
| ACC | kp | 0.45 |
| kd | 0.25 | |
| 0.8 s | ||
| Δt | 0.01 s | |
| CACC | kc | 0.23 |
| kv | 0.07 | |
| T | 1.1 s |
| Vehicle Status | Substitute Mode |
|---|---|
| Arriving and car-followed (ACF) | S(n,t) = 1 |
| Arriving and free-running (AFR) | S(n,t) = 2 |
| Arriving and braking (AB) | S(n,t) = 3 |
| Arriving and parking (AP) | S(n,t) = 4 |
| Arriving and leaving (AL) | S(n,t) = 5 |
| Parking Space Status | Substitute Mode |
|---|---|
| Target parking space (TPS) | M(i) = TPS |
| Parking space locking (PSL) | M(i) = PSL |
| Parking space unlocking (PSU) | M(i) = PSU |
| Penetration Rate p | Maximum Difference in Average Speed for Different Parking Demands | ||
|---|---|---|---|
| 240 m | 400 m | 560 m | |
| p = 0 | 2.81 m/s | 3.30 m/s | 3.70 m/s |
| p = 0.1 | 2.76 m/s | 2.91 m/s | 3.29 m/s |
| p = 0.3 | 1.81 m/s | 2.85 m/s | 3.36 m/s |
| p = 0.5 | 1.39 m/s | 2.54 m/s | 2.31 m/s |
| p = 0.7 | 1.07 m/s | 1.84 m/s | 1.56 m/s |
| p = 1.0 | 0.11 m/s | 0.27 m/s | 0.26 m/s |
| Parking Demands (pcph) | Decrease in Average Delay Time | ||
|---|---|---|---|
| 240 m | 400 m | 560 m | |
| 900 pcph | 5.62% | 6.41% | 6.46% |
| 1100 pcph | 7.84% | 9.34% | 10.05% |
| 1300 pcph | 12.60% | 20.00% | 23.22% |
| 1500 pcph | 19.22% | 29.71% | 30.00% |
Disclaimer/Publisher’s Note: The statements, opinions and data contained in all publications are solely those of the individual author(s) and contributor(s) and not of MDPI and/or the editor(s). MDPI and/or the editor(s) disclaim responsibility for any injury to people or property resulting from any ideas, methods, instructions or products referred to in the content. |
© 2025 by the authors. Licensee MDPI, Basel, Switzerland. This article is an open access article distributed under the terms and conditions of the Creative Commons Attribution (CC BY) license (https://creativecommons.org/licenses/by/4.0/).
Share and Cite
Chang, X.; Yang, W.; Tang, Y.; Liu, Z.; Liu, Z. Analysis on Characteristics of Mixed Traffic Flow with Intelligent Connected Vehicles at Airport Two-Lane Curbside Based on Traffic Characteristics. Aerospace 2025, 12, 738. https://doi.org/10.3390/aerospace12080738
Chang X, Yang W, Tang Y, Liu Z, Liu Z. Analysis on Characteristics of Mixed Traffic Flow with Intelligent Connected Vehicles at Airport Two-Lane Curbside Based on Traffic Characteristics. Aerospace. 2025; 12(8):738. https://doi.org/10.3390/aerospace12080738
Chicago/Turabian StyleChang, Xin, Weiping Yang, Yao Tang, Zhe Liu, and Zheng Liu. 2025. "Analysis on Characteristics of Mixed Traffic Flow with Intelligent Connected Vehicles at Airport Two-Lane Curbside Based on Traffic Characteristics" Aerospace 12, no. 8: 738. https://doi.org/10.3390/aerospace12080738
APA StyleChang, X., Yang, W., Tang, Y., Liu, Z., & Liu, Z. (2025). Analysis on Characteristics of Mixed Traffic Flow with Intelligent Connected Vehicles at Airport Two-Lane Curbside Based on Traffic Characteristics. Aerospace, 12(8), 738. https://doi.org/10.3390/aerospace12080738

