Thermal Environment for Lunar Orbiting Spacecraft Based on Non-Uniform Planetary Infrared Radiation Model
Abstract
1. Introduction
2. Mathematical Model
2.1. Coordinate System Establishment and Transformation
2.2. Model Parameters and Assumptions
2.3. Solar Radiation Heat Flux
2.4. Lunar Albedo Heat Flux
2.5. Lunar Infrared Radiation Heat Flux
3. Discussion
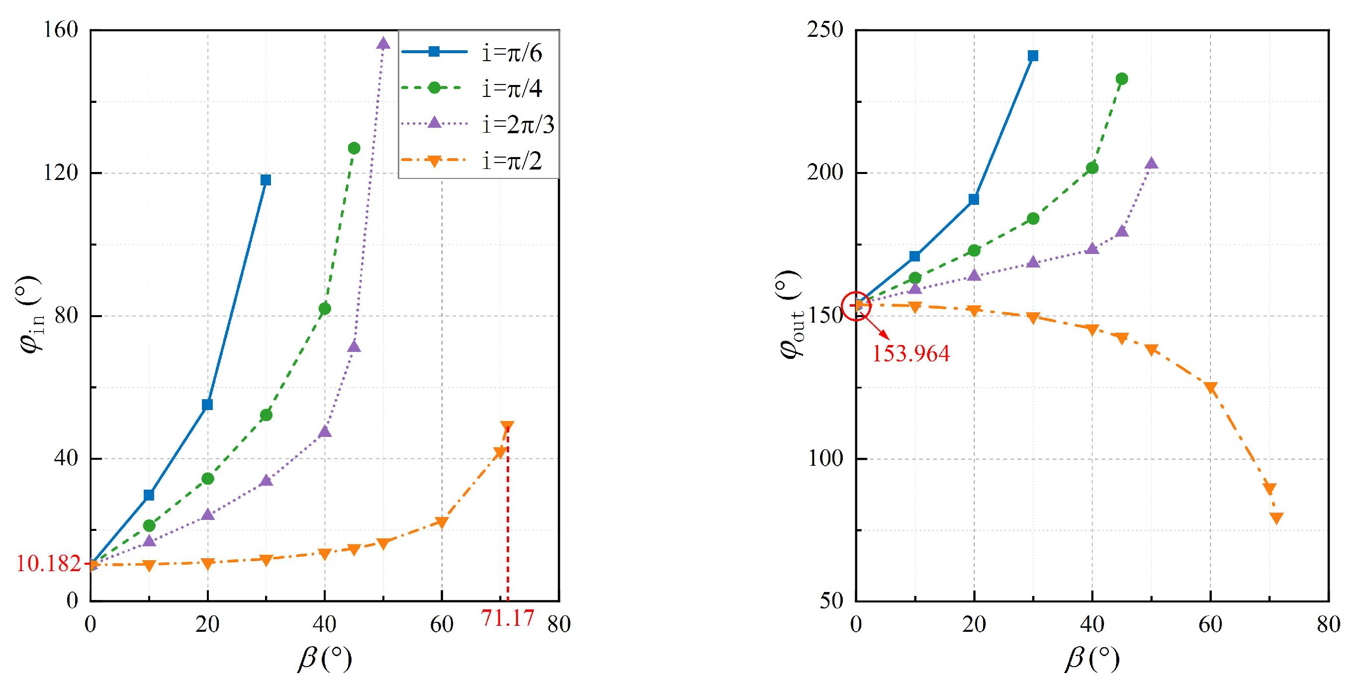
3.1. Calculation Verification of Infrared View Factor
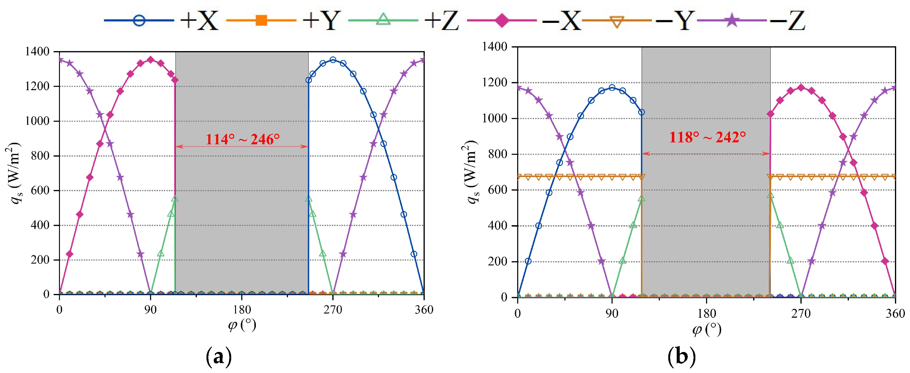
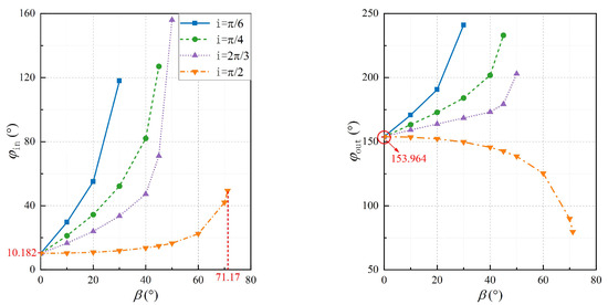
3.2. Solar Radiation Heat Flux Analysis
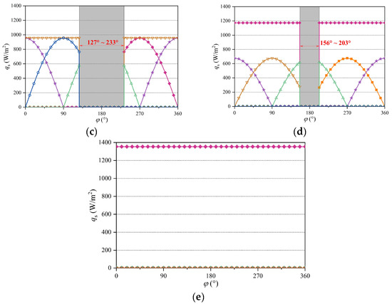
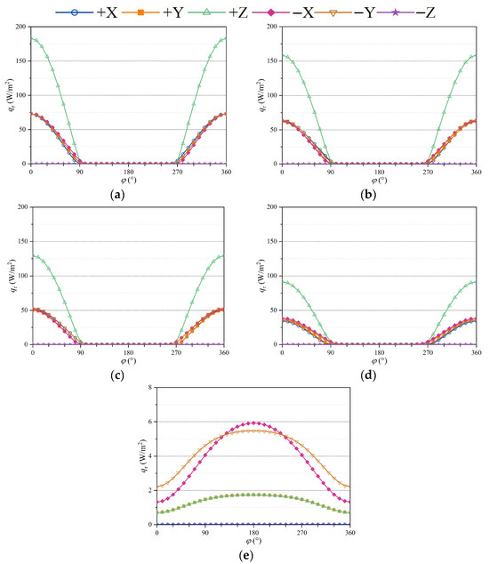
3.3. Lunar Albedo Heat Flux Analysis
3.4. Lunar Infrared Radiation Heat Flux Analysis
4. Conclusions
Author Contributions
Funding
Data Availability Statement
Conflicts of Interest
Abbreviations
| UPIRM | Uniform planetary infrared radiation model |
| LRO | Lunar Reconnaissance Orbiter |
| NUPIRM | Non-uniform planetary infrared radiation model |
| LLCD | Lunar Laser Communication Demonstration |
| MSE | Mean squared error |
References
- Meseguer, J.; Pérez-Grande, I.; Sanz-Andrés, A. Spacecraft Thermal Control; Elsevier: Philadelphia, PA, USA, 2012; pp. 15–38. [Google Scholar]
- Lv, Y.G.; Wang, Y.T.; Meng, T.; Wang, Q.W.; Chu, W.X. Review on thermal management technologies for electronics in spacecraft environment. Energy Storage Sav. 2024, 3, 153–189. [Google Scholar] [CrossRef]
- Shin, S.; Lim, J.H.; Kim, C.G. Thermal parameter determination in underdetermined spacecraft thermal models using surrogate modeling. Acta Astronaut. 2024, 214, 583–592. [Google Scholar] [CrossRef]
- Cui, Q.; Lin, G.; Cao, D.; Zhang, Z.; Huang, Y. Thermal design parameters analysis and model updating using Kriging model for space instruments. Int. J. Therm. Sci. 2022, 171, 107239. [Google Scholar] [CrossRef]
- Xiong, Y.; Guo, L.; Yang, Y.T.; Wang, H.L. Intelligent sensitivity analysis framework based on machine learning for spacecraft thermal design. Aerosp. Sci. Technol. 2021, 118, 106927. [Google Scholar] [CrossRef]
- Huang, H.Z.; Bu, C.G. Thermal Design and Experimental Validation of a Lightweight Microsatellite. Aerospace 2025, 12, 52–66. [Google Scholar] [CrossRef]
- De Zanet, G.; Viquerat, A.; Aglietti, G. Predicted thermal response of a deployable high-strain composite telescope in low-Earth orbit. Acta Astronaut. 2023, 205, 127–143. [Google Scholar] [CrossRef]
- Yi, H.; Huang, X.; Jiang, H. Common Calculation Method for Orbital Heat Flux of Spacecraft on Circular Orbit. Spacecr. Eng. 2021, 30, 53–58. [Google Scholar] [CrossRef]
- Li, P.; Zhao, J.Z.; Lai, X.Y.; Li, Z.G. Investigation of an Accurate Calculation Method for Moon Infrared Radiation on Target Surface in Lunar Orbit. Aerosp. Shanghai 2015, 32, 31–41. [Google Scholar] [CrossRef]
- Mermer, E.; Ünal, R. A novel entropy calculation approach for sensor placement optimization for a satellite thermal control system. Measurement 2025, 249, 116963. [Google Scholar] [CrossRef]
- Selvadurai, S.; Chandran, A.; Valentini, D.; Lamprecht, B. Passive Thermal Control Design Methods, Analysis, Comparison, and Evaluation for Micro and Nanosatellites Carrying Infrared Imager. Appl. Sci. 2022, 12, 2858. [Google Scholar] [CrossRef]
- Garzón, A.; Tami, J.A.; Campos-Julca, C.D.; Acero-Niño, I.F. Effect of beta angle and contact conductances on the temperature distribution of a 3U CubeSat. Therm. Sci. Eng. Prog. 2022, 29, 101183. [Google Scholar] [CrossRef]
- Wang, L.Y.; Zhu, H.; Xu, W.; Meng, N.Y. Thermal-structural analysis of a large space hoop-column antenna under unidirectional solar radiations. Thin-Walled Struct. 2024, 198, 111695. [Google Scholar] [CrossRef]
- Li, S.; Jiang, X.Q.; Tao, T. Guidance Summary and Assessment of the Chang’e-3 Powered Descent and Landing. J. Spacecr. Rocket. 2016, 53, 258–277. [Google Scholar] [CrossRef]
- Xiao, X.; Yu, S.R.; Huang, J.; Zhang, H.; Zhang, Y.W.; Xiao, L. Thermophysical properties of the regolith on the lunar far side revealed by the in situ temperature probing of the Chang’E-4 mission. Natl Sci Rev 2022, 9, 175–184. [Google Scholar] [CrossRef] [PubMed]
- Pettit, E.; Nicholson, S.B. Lunar radiation and temperatures. Astrophys. J. 1930, 71, 102–135. [Google Scholar] [CrossRef]
- Chin, G. Lunar Reconnaissance Orbiter: Mission Overview. In Proceedings of the 36th COSPAR Scientific Assembly, Beijing, China, 16–23 July 2006; p. 668. [Google Scholar]
- Hayne, P.O.; Bandfield, J.L.; Siegler, M.A.; Vasavada, A.R.; Ghent, R.R.; Williams, J.P.; Greenhagen, B.T.; Aharonson, O.; Elder, C.M.; Lucey, P.G.; et al. Global Regolith Thermophysical Properties of the Moon From the Diviner Lunar Radiometer Experiment. J. Geophys. Res. Planets 2017, 122, 2371–2400. [Google Scholar] [CrossRef]
- Gan, H.; Zhao, C.X.; Wei, G.F.; Li, X.Y.; Xia, G.J.; Zhang, X.; Shi, J.J. Numerical Simulation of the Lunar Polar Environment: Implications for Rover Exploration Challenge. Aerospace 2023, 10, 598–612. [Google Scholar] [CrossRef]
- Yin, Z.L.; Liu, N.T.; Jin, Y.Q. Simulation of the temperatures in the permanently shadowed region of the Moon’s south pole and data validation. Icarus 2024, 411, 115917. [Google Scholar] [CrossRef]
- Boroson, D.M.; Robinson, B.S.; Murphy, D.V.; Burianek, D.A.; Khatri, F.; Kovalik, J.M.; Sodnik, Z.; Cornwell, D.M. Overview and results of the Lunar Laser Communication Demonstration. Proc. SPIE 2014, 8971, 213–223. [Google Scholar] [CrossRef]
- Ping, J.S. Thermal environmental effect on the Chang’E-5 lander revealed by in-situ temperature data. Sci. China Phys. Mech. Astron. 2023, 66, 22–36. [Google Scholar] [CrossRef]
- Ma, Y.; Zhang, S.; Liu, Y.; Ma, C. Lunar long-wave infrared radiation characteristics based on space based quantitative measured data. Chin. Opt. 2022, 15, 525–533. [Google Scholar] [CrossRef]


















| Mode/ Condition | Forward Flight/ +Y Surface Sun-Avoided | Side Flight/ +X Surface Sun-Avoided | ||
|---|---|---|---|---|
| Attitude | Forward flight | Reverse flight | Side-swing forward | Side-swing reverse |
| X-axis of | +X-axis points to the direction of velocity | −X-axis points to the direction of velocity | Perpendicular to the orbital plane | |
| Y-axis of | Perpendicular to the orbital plane | +Y-axis points to the direction of velocity | –Y-axis points to the direction of velocity | |
| Z-axis of | +Z-axis points to the lunar | |||
| Number | |||
|---|---|---|---|
| 0 | 382.15 | 517.86 | −379,669.39 |
| 1 | 32.80 | −74.46 | 61,402.96 |
| 2 | 40.93 | −577.70 | 313,158.96 |
| 3 | −66.71 | 33.56 | 21,730.75 |
| 4 | −133.16 | 87.91 | −48,919.99 |
| 5 | −217.27 | 322.78 | −102,892.53 |
| 6 | −268.23 | −144.26 | −2430.28 |
| 7 | 350.06 | 39.36 | −10,892.76 |
| 8 | 143.07 | −52.29 | 14,327.07 |
| 9 | 254.91 | −89.09 | 16,824.01 |
| 10 | 424.05 | 128.88 | 1401.50 |
| 11 | −385.57 | −5.53 | 245.06 |
| 12 | −74.74 | −12.30 | 1788.28 |
| 13 | −149.31 | 13.23 | −1839.45 |
| 14 | −164.25 | 11.93 | −1366.75 |
| 15 | −184.36 | −50.67 | −125.20 |
| 16 | 138.14 | 10.75 | −197.68 |
| 17 | 11.95 | −3.35 | 26.39 |
| 18 | 62.09 | 1.92 | −105.30 |
| 19 | 35.38 | −1.24 | 87.74 |
| 20 | 25.57 | −0.61 | 44.05 |
| R2 | 0.99845 | 0.99626 | 0.99787 |
| MSE | 9.898 | 1.099 | 12.391 |
Disclaimer/Publisher’s Note: The statements, opinions and data contained in all publications are solely those of the individual author(s) and contributor(s) and not of MDPI and/or the editor(s). MDPI and/or the editor(s) disclaim responsibility for any injury to people or property resulting from any ideas, methods, instructions or products referred to in the content. |
© 2025 by the authors. Licensee MDPI, Basel, Switzerland. This article is an open access article distributed under the terms and conditions of the Creative Commons Attribution (CC BY) license (https://creativecommons.org/licenses/by/4.0/).
Share and Cite
Li, X.; Tan, L.; Ma, J.; Qian, X. Thermal Environment for Lunar Orbiting Spacecraft Based on Non-Uniform Planetary Infrared Radiation Model. Aerospace 2025, 12, 737. https://doi.org/10.3390/aerospace12080737
Li X, Tan L, Ma J, Qian X. Thermal Environment for Lunar Orbiting Spacecraft Based on Non-Uniform Planetary Infrared Radiation Model. Aerospace. 2025; 12(8):737. https://doi.org/10.3390/aerospace12080737
Chicago/Turabian StyleLi, Xinqi, Liying Tan, Jing Ma, and Xuemin Qian. 2025. "Thermal Environment for Lunar Orbiting Spacecraft Based on Non-Uniform Planetary Infrared Radiation Model" Aerospace 12, no. 8: 737. https://doi.org/10.3390/aerospace12080737
APA StyleLi, X., Tan, L., Ma, J., & Qian, X. (2025). Thermal Environment for Lunar Orbiting Spacecraft Based on Non-Uniform Planetary Infrared Radiation Model. Aerospace, 12(8), 737. https://doi.org/10.3390/aerospace12080737
