Fuzzy Neural Network PID Control Used in Individual Blade Control
Abstract
1. Introduction
2. Calculation Methods
2.1. Aeroelastic Model
2.1.1. Rotor Blade Airfoil Aerodynamics
2.1.2. Elastic Model
2.1.3. Response Solution
2.2. Hub Loads
2.3. Optimization Algorithm
2.4. Fuzzy Neural Network Combined with PID Controller
3. Results
3.1. Model Validation
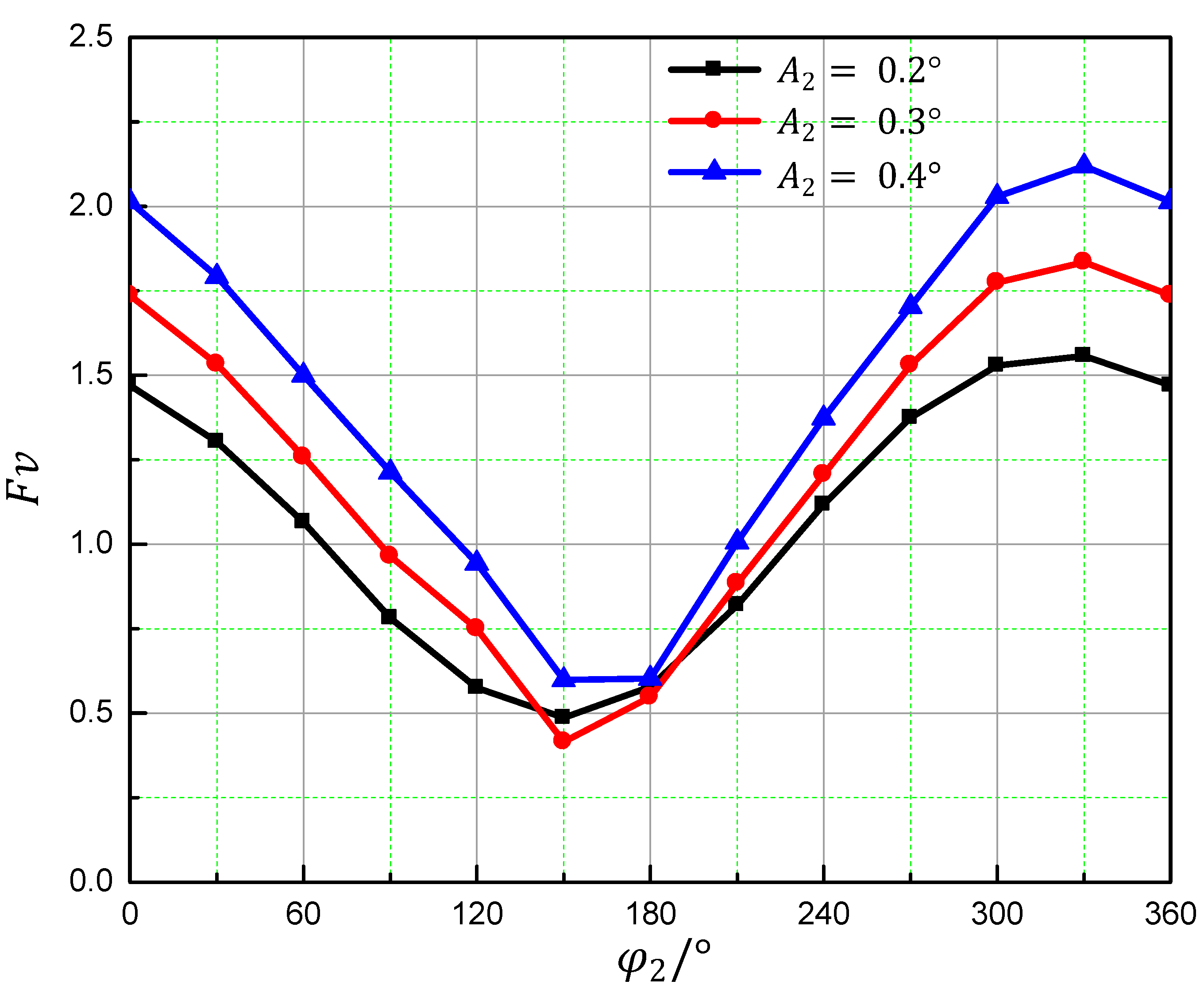
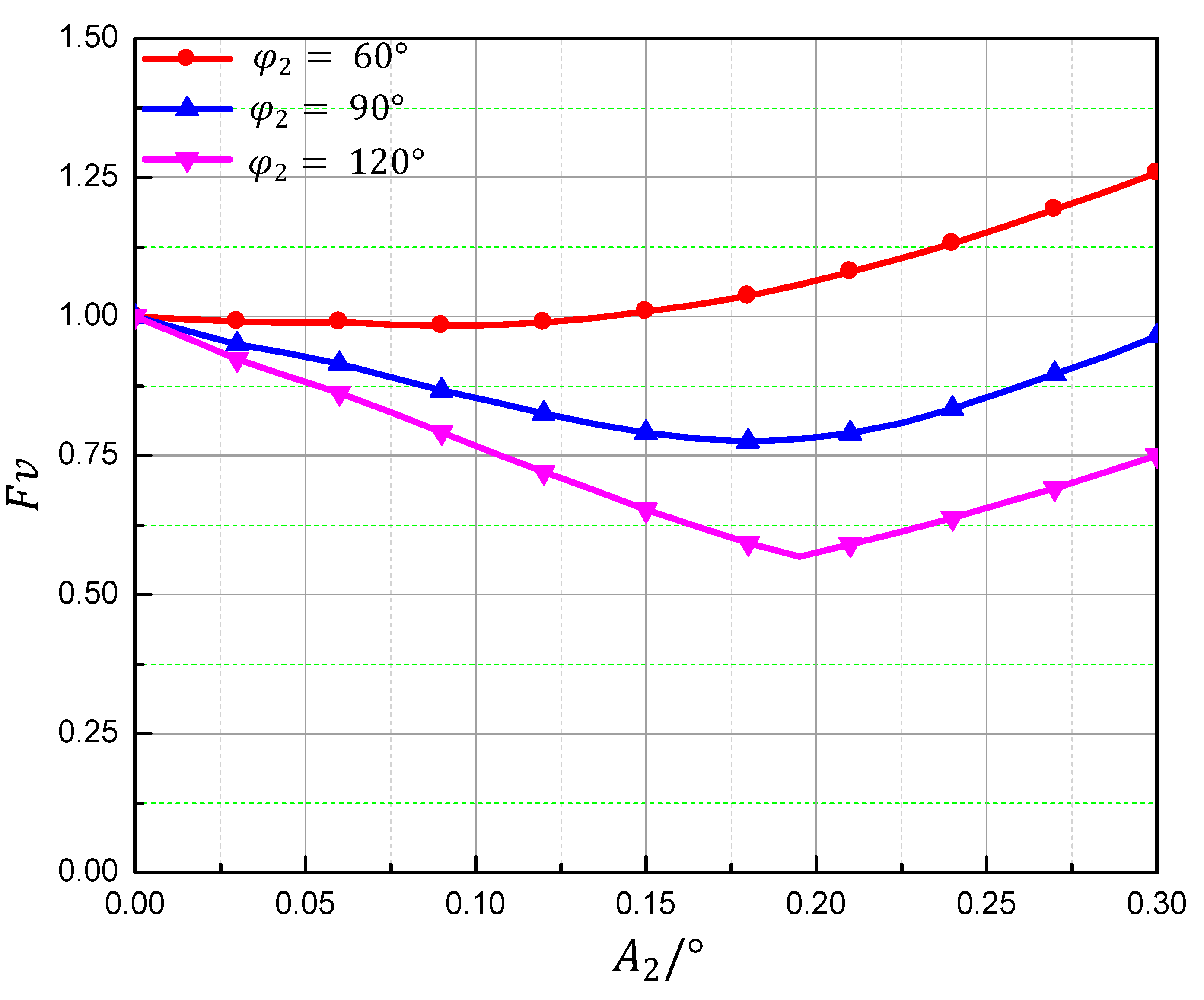
3.2. Optimal Parameters
3.3. Results under Fuzzy Neural Network PID Control
4. Conclusions
Author Contributions
Funding
Data Availability Statement
Conflicts of Interest
References
- Ellis, C.; Jones, R. Application of an Absorber to Reduce Helicopter Vibration Levels. J. Am. Helicopter Soc. 1963, 8, 30–42. [Google Scholar] [CrossRef]
- Lu, Y. Research on Electronically Controlled Rotor System. Ph.D. Thesis, Nanjing University of Aeronautics and Astronautics, Nanjing, China, 2004. [Google Scholar]
- Shin, S.; Cesnik, C.; Wilbur, M. Dynamic response of active twist rotor blades. Smart Mater. Struct. 2001, 10, 62–76. [Google Scholar]
- Staple, A. Development and testing of active control techniques to minimise helicopter vibration. Environmental engineering. 1990, 3, 16–17. [Google Scholar]
- Kessler, C. Active rotor control for helicopters: Motivation and survey on higher harmonic control. CEAS Aeronaut. J. 2011, 1, 3–22. [Google Scholar] [CrossRef]
- Ham, N.D. A simple system for helicopter individual-blade-control and its application to gust alleviation. In Proceedings of the 16th European Rotorcraft Forum, Bristol, UK, 18–21 September 1990; pp. 57–68. [Google Scholar]
- Ham, N.D. Helicopter individual-blade-control and its applications. In Proceedings of the 39th Annual Forum of the American Helicopter Society, Alexandria, VA, USA, 9–11 May 1983; pp. 613–623. [Google Scholar]
- Jacklin, S.A.; Leyland, J.A.; Blaas, A. Full-scale wind tunnel investigation of a helicopter individual blade control system. In Proceedings of the 34th Structures, Structural Dynamics and Materials Conference, La Jolla, CA, USA, 19–22 April 1993. [Google Scholar]
- Nitzsche, F.; D’Assunção, D.; De Marqui Junior, C. Aeroelastic control of non-rotating and rotating wings using the dynamic stiffness modulation principle via piezoelectric actuators. J. Intell. Mater. Syst. Struct. 2015, 26, 1656–1668. [Google Scholar] [CrossRef]
- Küfmann, P.; Bartels, R.; Wall, B.; Schneider, O.; Postma, J. Individual blade control of a 5-bladed rotor using the multiple swashplate system. In Proceedings of the 6th ARF & Heli Japan 2017, Milano, Italy, 12–15 September 2017. [Google Scholar]
- Yang, R.; Gao, Y.; Wang, H.; Ni, X. Reducing helicopter vibration loads by individual blade control with genetic algorithm. Machines 2022, 10, 479. [Google Scholar] [CrossRef]
- Gao, Y.; Huang, D.; Yu, X.; Zhang, H. Bionic Intelligent Algorithms Used in Helicopter Individual Blade Control Optimization. Appl. Sci. 2022, 12, 4392. [Google Scholar] [CrossRef]
- Lee, S.C.; Lee, E.T. Fuzzy neural networks. Math. Biosci. 1975, 23, 151–177. [Google Scholar] [CrossRef]
- Burr, D.J. Experiments on neural net recognition of spoken and written text. Acoust. Speech Signal Process. IEEE Trans. 1988, 36, 1162–1168. [Google Scholar] [CrossRef]
- Gorman, R.P.; Sejnowski, T.J. Learned Classifications of Sonar Targets Using a Massively Parallel Network. IEEE Trans. Acoust. Speech Signal Process. 1988, 36, 1135–1140. [Google Scholar] [CrossRef]
- Widrow, B.; Winter, R.G.; Baxter, R.A. Layered neural nets for pattern recognition. IEEE Trans. Acoust. Speech Signal Process. 1988, 36, 1109–1118. [Google Scholar] [CrossRef]
- Gang, L.; Mcginnity, T.M.; Prasad, G. Design for self-organizing fuzzy neural networks based on genetic algorithms. IEEE Trans. Fuzzy Syst. 2006, 14, 755–766. [Google Scholar]
- Mathiyalagan, K.; Sakthivel, R.; Anthoni, S.M. New stability and stabilization criteria for fuzzy neural networks with various activation functions. Phys. Scr. 2011, 84, 7–15. [Google Scholar] [CrossRef]
- Lemos, A.P.; Caminhas, W.; Gomide, F. A fast learning algorithm for uninorm-based fuzzy neural networks. In Proceedings of the Fuzzy Information Processing Society, Berkeley, CA, USA, 6–8 August 2012. [Google Scholar]
- Ahn, C.K. Passive and exponential filter design for fuzzy neural networks. Inf. Sci. 2013, 238, 126–137. [Google Scholar] [CrossRef]
- Fei, J.; Chen, Y.; Liu, L.; Fang, Y. Fuzzy multiple hidden layer recurrent neural control of nonlinear system using terminal sliding-mode controller. IEEE Trans. Cybern. 2022, 52, 9519–9534. [Google Scholar] [CrossRef] [PubMed]
- Omar, H.M. Optimal Geno-Fuzzy Lateral Control of Powered Parachute Flying Vehicles. Aerospace 2021, 8, 400. [Google Scholar] [CrossRef]
- Sabzalian, M.H.; Kharajinezhadian, F.; Tajally, A.; Reihanisaransari, R.; Ali Alkhazaleh, H.; Bokov, D. New bidirectional recurrent neural network optimized by improved Ebola search optimization algorithm for lung cancer diagnosis. Biomed. Signal Process. Control 2023, 84, 104965. [Google Scholar] [CrossRef]
- Beddoes, T.S. Representation of airfoil behaviour. Vertica 1983, 7, 183–197. [Google Scholar]
- Bir, G.; Chopra, I. University of Maryland Advanced Rotor Code (UMARC) Theory Manual; Center for Rotorcraft Education and Research University of Maryland College Park: College Park, MD, USA, 1994. [Google Scholar]
- Brown, R.E. Rotor wake modeling for flight dynamic simulation of helicopters. AIAA J. 2000, 38, 57–63. [Google Scholar] [CrossRef]
- Hodges, D.; Dowell, H. Nonlinear Equations of Motion for the Elastic Bending and Torsion of Twisted Nonuniform Rotor Blades; NASA: Washington, DC, USA, 1974.
- Huiping, S. An improved mode superposition method for linear damped systems. Commun. Appl. Numer. Methods 1991, 7, 579–580. [Google Scholar] [CrossRef]
- Mohammadzadeh, A.; Sabzalian, M.H.; Castillo, O.; Sakthivel, R.; El-Sousy, F.F.M.; Mobayen, S. Designing Neural-Fuzzy PID Controller Through Multiobjective Optimization. In Neural Networks and Learning Algorithms in MATLAB; Mohammadazadeh, A., Sabzalian, M.H., Castillo, O., Sakthivel, R., El-Sousy, F.F.M., Mobayen, S., Eds.; Springer International Publishing: Cham, Switzerland, 2022; pp. 79–117. [Google Scholar] [CrossRef]
- Heffernan, R.; Gaubert, M. Structural and aerodynamic loads and performance measurements of an SA349/2 helicopter with an advanced geometry rotor; NASA TM-88370; NASA Ames Research Center: Mountain View, CA, USA, 1986. Available online: https://www.semanticscholar.org/paper/Structural-and-aerodynamic-loads-and-performance-of-Heffernan-Gaubert/7363cb1f68dda822c24ef0936aeb3342b270f6e8 (accessed on 8 April 2023).
- Heffernan, R.M.; Yamauchi, G.K.; Gaubert, M.; Johnson, W. Hub Loads Analysis of the SA349/2 Helicopter; NASA TM-101061; NASA Ames Research Center: Mountain View, CA, USA, 1988.























| r/m | EIf/N·kg | EIl/N·kg | GJ/N·m2 | M/kg/m | YG/m |
|---|---|---|---|---|---|
| 0–0.042 | 164.1 | 890.1 | 70.3 | 0.643 | 0 |
| 0.042–0.082 | 159.2 | 744.2 | 68.4 | 0.624 | 0 |
| 0.082–0.892 | 12.8 | 562.6 | 7.47 | 0.283 | 0 |
| 0.892–0.912 | 13.4 | 596.9 | 7.49 | 0.255 | 0 |
| Mode | Calculation/Hz | Experiment/Hz | Error/% |
|---|---|---|---|
| 1st flap | 26.21 | 26.32 | −0.42 |
| 2nd flap | 74.89 | 75.93 | −1.37 |
| 3rd flap | 150.00 | 144.07 | 4.12 |
| 1st lag | 172.78 | 180.76 | −4.41 |
| 2nd lag | 490.51 | 517.54 | −5.22 |
| 1st torsion | 199.52 | 203.32 | −1.87 |
Disclaimer/Publisher’s Note: The statements, opinions and data contained in all publications are solely those of the individual author(s) and contributor(s) and not of MDPI and/or the editor(s). MDPI and/or the editor(s) disclaim responsibility for any injury to people or property resulting from any ideas, methods, instructions or products referred to in the content. |
© 2023 by the authors. Licensee MDPI, Basel, Switzerland. This article is an open access article distributed under the terms and conditions of the Creative Commons Attribution (CC BY) license (https://creativecommons.org/licenses/by/4.0/).
Share and Cite
Yang, R.; Gao, Y.; Wang, H.; Ni, X. Fuzzy Neural Network PID Control Used in Individual Blade Control. Aerospace 2023, 10, 623. https://doi.org/10.3390/aerospace10070623
Yang R, Gao Y, Wang H, Ni X. Fuzzy Neural Network PID Control Used in Individual Blade Control. Aerospace. 2023; 10(7):623. https://doi.org/10.3390/aerospace10070623
Chicago/Turabian StyleYang, Renguo, Yadong Gao, Huaming Wang, and Xianping Ni. 2023. "Fuzzy Neural Network PID Control Used in Individual Blade Control" Aerospace 10, no. 7: 623. https://doi.org/10.3390/aerospace10070623
APA StyleYang, R., Gao, Y., Wang, H., & Ni, X. (2023). Fuzzy Neural Network PID Control Used in Individual Blade Control. Aerospace, 10(7), 623. https://doi.org/10.3390/aerospace10070623

