Evaluation of Long-Term Trends of Rainfall in Perak, Malaysia
Abstract
:1. Introduction
2. Study Area and Data Source
2.1. Description of the Study Area
2.2. Data Acquisition and Preliminary Analysis
3. Methodology
3.1. Rainfall Indices
3.2. Precipitation Concentration Index (PCI)
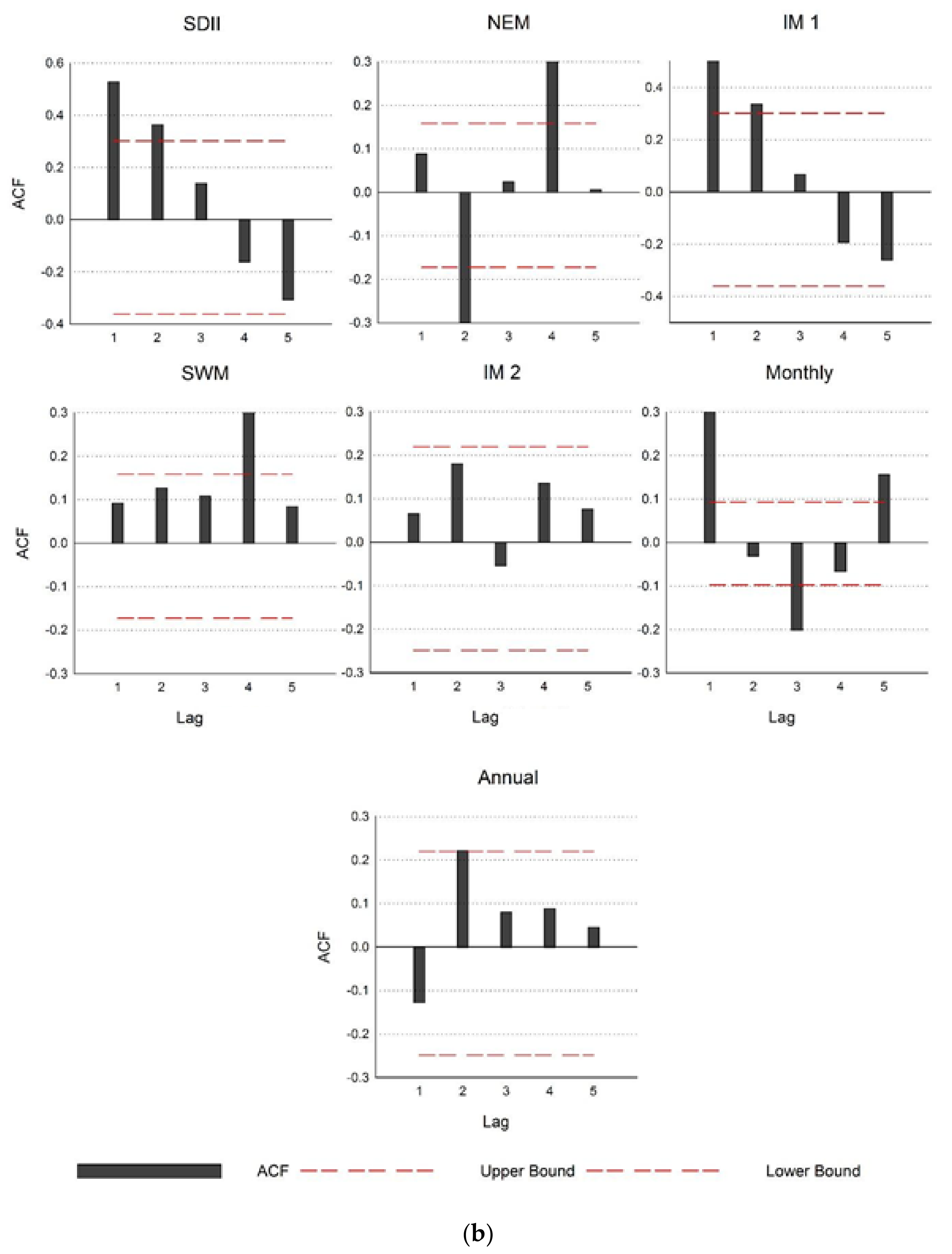
3.3. Autocorrelation Analysis
3.4. Trend Free Pre-Whitening Analysis
- (1)
- Estimation of the Theil–Sen slope (TSS) of the time series.
- (2)
- De-trend the time series by implementing Equation (4):Where shows the de-trended series, Xt is the values of the time series at time t, and TSS(t) is the Theil–Sen slope.
- (3)
- Test the again for the detrended time series; if the value of the does not reflect a serial correlation, then the MK test can be applied to the original time series data set. Contrary to this, if the shows the correlation, pre-whiten the de-trended series using Equation (5):where shows the pre-whitened time series.
- (4)
- The monotonic trend is then added back to the pre-whitened time series as mentioned in Equation (6):where represents the trend free pre-whitened time series.
3.5. Trend Analysis
3.6. Abrupt Change Analysis
3.7. Spatial Analysis
4. Results
4.1. Temporal Trends in Rainfall Series
4.2. Sudden Changes in Rainfall Series
4.3. Variations in the Concentration of Annual Rainfall
4.4. Spatial Distribution of Annual Rainfall
5. Discussion
6. Conclusions
Author Contributions
Funding
Data Availability Statement
Acknowledgments
Conflicts of Interest
References
- Treloar, N.C. Deconstructing Global Temperature Anomalies: An Hypothesis. Climate 2017, 5, 83. [Google Scholar] [CrossRef] [Green Version]
- Mahmood, R.; Babel, M.S. Evaluation of SDSM developed by annual and monthly sub-models for downscaling temperature and precipitation in the Jhelum basin, Pakistan and India. Theor. Appl. Climatol. 2013, 113, 27–44. [Google Scholar] [CrossRef]
- Masson-Delmotte, V.P.; Zhai, A.; Pirani, S.L.; Connors, C.; Péan, S.; Berger, N.; Caud, Y.; Chen, L.; Goldfarb, M.I.; Gomis, M.; et al. (Eds.) IPCC, 2021: Climate Change 2021: The Physical Science Basis. Contribution of Working Group I to the Sixth Assessment Report of the Intergovernmental Panel on Climate Change; Cambridge University Press: Cambridge, UK, 2021. [Google Scholar]
- Yang, S.; Kang, T.; Bu, J.; Chen, J.; Gao, Y. Evaluating the Impacts of Climate Change and Vegetation Restoration on the Hydrological Cycle over the Loess Plateau, China. Water 2019, 11, 2241. [Google Scholar] [CrossRef] [Green Version]
- Tanteliniaina, M.F.R.; Chen, J.; Adyel, T.M.; Zhai, J. Elevation Dependence of the Impact of Global Warming on Rainfall Variations in a Tropical Island. Water 2020, 12, 3582. [Google Scholar] [CrossRef]
- Huang, P.; Xie, S.-P.; Hu, K.; Huang, G.; Huang, R. Patterns of the seasonal response of tropical rainfall to global warming. Nat. Geosci. 2013, 6, 357–361. [Google Scholar] [CrossRef]
- Liaqat, M.U.; Grossi, G.; Hasson, S.u.; Ranzi, R. Characterization of interannual and seasonal variability of hydro-climatic trends in the Upper Indus Basin. Theor. Appl. Climatol. 2022, 147, 1163–1184. [Google Scholar] [CrossRef]
- Nalley, D.; Adamowski, J.; Khalil, B. Using discrete wavelet transforms to analyze trends in streamflow and precipitation in Quebec and Ontario (1954–2008). J. Hydrol. 2012, 475, 204–228. [Google Scholar] [CrossRef]
- Stocker, T. Climate Change 2013: The Physical Science Basis: Working Group I Contribution to the Fifth Assessment Report of the Intergovernmental Panel on Climate Change; Cambridge University Press: Cambridge, UK, 2014. [Google Scholar]
- Solomon, S.; Manning, M.; Marquis, M.; Qin, D. Climate Change 2007—The Physical Science Basis: Working Group I Contribution to the Fourth Assessment Report of the IPCC; Cambridge University Press: Cambridge, UK, 2007; Volume 4. [Google Scholar]
- Lau, C.L.; Smythe, L.D.; Craig, S.B.; Weinstein, P. Climate change, flooding, urbanisation and leptospirosis: Fuelling the fire? Trans. R. Soc. Trop. Med. Hyg. 2010, 104, 631–638. [Google Scholar] [CrossRef]
- Hirabayashi, Y.; Mahendran, R.; Koirala, S.; Konoshima, L.; Yamazaki, D.; Watanabe, S.; Kim, H.; Kanae, S. Global flood risk under climate change. Nat. Clim. Chang. 2013, 3, 816–821. [Google Scholar] [CrossRef]
- Kia, M.B.; Pirasteh, S.; Pradhan, B.; Mahmud, A.R.; Sulaiman, W.N.A.; Moradi, A. An artificial neural network model for flood simulation using GIS: Johor River Basin, Malaysia. Environ. Earth Sci. 2012, 67, 251–264. [Google Scholar] [CrossRef]
- Pradhan, B. Flood susceptible mapping and risk area delineation using logistic regression, GIS and remote sensing. J. Spat. Hydrol. 2010, 9, 1–18. [Google Scholar]
- Chan, N.W. Impacts of disasters and disaster risk management in Malaysia: The case of floods. In Resilience and Recovery in Asian Disasters; Springer: Berlin/Heidelberg, Germany, 2015; pp. 239–265. [Google Scholar]
- Brakenridge, G.; Anderson, E. Satellite-Based Inundation Vectors; Dartmouth Flood Observatory, Dartmouth College: Hanover, LS, USA, 2004. [Google Scholar]
- Pathak, P.; Kalra, A.; Ahmad, S. Temperature and precipitation changes in the Midwestern United States: Implications for water management. Int. J. Water Resour. Dev. 2017, 33, 1003–1019. [Google Scholar] [CrossRef]
- Pérez-Zanón, N.; Casas-Castillo, M.C.; Rodríguez-Solà, R.; Peña, J.C.; Rius, A.; Solé, J.G.; Redaño, Á. Analysis of extreme rainfall in the Ebre Observatory (Spain). Theor. Appl. Climatol. 2016, 124, 935–944. [Google Scholar] [CrossRef] [Green Version]
- Liu, Z. Evaluation of precipitation climatology derived from TRMM Multi-Satellite Precipitation Analysis (TMPA) monthly product over land with two gauge-based products. Climate 2015, 3, 964–982. [Google Scholar] [CrossRef] [Green Version]
- Ahmad, I.; Zhang, F.; Tayyab, M.; Anjum, M.N.; Zaman, M.; Liu, J.; Farid, H.U.; Saddique, Q. Spatiotemporal analysis of precipitation variability in annual, seasonal and extreme values over upper Indus River basin. Atmos. Res. 2018, 213, 346–360. [Google Scholar] [CrossRef]
- Krebs, G.; Camhy, D.; Muschalla, D. Hydro-Meteorological Trends in an Austrian Low-Mountain Catchment. Climate 2021, 9, 122. [Google Scholar] [CrossRef]
- Obubu, J.P.; Mengistou, S.; Fetahi, T.; Alamirew, T.; Odong, R.; Ekwacu, S. Recent Climate Change in the Lake Kyoga Basin, Uganda: An Analysis Using Short-Term and Long-Term Data with Standardized Precipitation and Anomaly Indexes. Climate 2021, 9, 179. [Google Scholar] [CrossRef]
- Wong, C.; Venneker, R.; Uhlenbrook, S.; Jamil, A.; Zhou, Y. Variability of rainfall in Peninsular Malaysia. Hydrol. Earth Syst. Sci. Discuss. 2009, 6, 5471–5503. [Google Scholar]
- Suhaila, J.; Jemain, A.A. Spatial analysis of daily rainfall intensity and concentration index in Peninsular Malaysia. Theor. Appl. Climatol. 2012, 108, 235–245. [Google Scholar] [CrossRef]
- Amirabadizadeh, M.; Huang, Y.F.; Lee, T.S. Recent trends in temperature and precipitation in the Langat River Basin, Malaysia. Adv. Meteorol. 2015, 2015, 579437. [Google Scholar] [CrossRef] [Green Version]
- Chabala, L.M.; Kuntashula, E.; Kaluba, P. Characterization of temporal changes in rainfall, temperature, flooding hazard and dry spells over Zambia. Univers. J. Agric. Res. 2013, 1, 134–144. [Google Scholar] [CrossRef]
- Hanif, M.F.; ul Mustafa, M.R.; Hashim, A.M.; Yusof, K.W. Spatio-temporal change analysis of Perak river basin using remote sensing and GIS. In Proceedings of the 2015 International Conference on Space Science and Communication (IconSpace), Langkawi, Malaysia, 10–12 August 2015; pp. 225–230. [Google Scholar]
- Bargaoui, Z.K.; Chebbi, A. Comparison of two kriging interpolation methods applied to spatiotemporal rainfall. J. Hydrol. 2009, 365, 56–73. [Google Scholar] [CrossRef]
- Verdin, A.; Funk, C.; Rajagopalan, B.; Kleiber, W. Kriging and local polynomial methods for blending satellite-derived and gauge precipitation estimates to support hydrologic early warning systems. IEEE Trans. Geosci. Remote Sens. 2016, 54, 2552–2562. [Google Scholar] [CrossRef]
- Stefanidis, S.; Stathis, D. Spatial and temporal rainfall variability over the Mountainous Central Pindus (Greece). Climate 2018, 6, 75. [Google Scholar] [CrossRef] [Green Version]
- Oliver, J.E. Monthly precipitation distribution: A comparative index. Prof. Geogr. 1980, 32, 300–309. [Google Scholar] [CrossRef]
- de Luis, M.; Gonzalez-Hidalgo, J.; Brunetti, M.; Longares, L. Precipitation concentration changes in Spain 1946–2005. Nat. Hazards Earth Syst. Sci. 2011, 11, 1259–1265. [Google Scholar] [CrossRef] [Green Version]
- Thomas, J.; Prasannakumar, V. Temporal analysis of rainfall (1871–2012) and drought characteristics over a tropical monsoon-dominated State (Kerala) of India. J. Hydrol. 2016, 534, 266–280. [Google Scholar] [CrossRef]
- Sayemuzzaman, M.; Jha, M.K. Seasonal and annual precipitation time series trend analysis in North Carolina, United States. Atmos. Res. 2014, 137, 183–194. [Google Scholar] [CrossRef]
- Yue, S.; Pilon, P.; Cavadias, G. Power of the Mann–Kendall and Spearman’s rho tests for detecting monotonic trends in hydrological series. J. Hydrol. 2002, 259, 254–271. [Google Scholar] [CrossRef]
- Önöz, B.; Bayazit, M. Block bootstrap for Mann–Kendall trend test of serially dependent data. Hydrol. Processes 2012, 26, 3552–3560. [Google Scholar] [CrossRef]
- Kendall, M.G. Rank Correlation Methods; University of Michigan: Ann Arbor, MI, USA, 1948. [Google Scholar]
- Mann, H.B. Nonparametric tests against trend. Econom. J. Econom. Soc. 1945, 13, 245–259. [Google Scholar] [CrossRef]
- Mohsin, T.; Gough, W.A. Trend analysis of long-term temperature time series in the Greater Toronto Area (GTA). Theor. Appl. Climatol. 2010, 101, 311–327. [Google Scholar] [CrossRef]
- Quansah, J.E.; Naliaka, A.B.; Fall, S.; Ankumah, R.; Afandi, G.E. Assessing Future Impacts of Climate Change on Streamflow within the Alabama River Basin. Climate 2021, 9, 55. [Google Scholar] [CrossRef]
- Amarouche, K.; Akpınar, A. Increasing Trend on Storm Wave Intensity in the Western Mediterranean. Climate 2021, 9, 11. [Google Scholar] [CrossRef]
- Manton, M.J.; Della-Marta, P.M.; Haylock, M.R.; Hennessy, K.; Nicholls, N.; Chambers, L.; Collins, D.; Daw, G.; Finet, A.; Gunawan, D. Trends in extreme daily rainfall and temperature in Southeast Asia and the South Pacific: 1961–1998. Int. J. Climatol. 2001, 21, 269–284. [Google Scholar] [CrossRef]
- Guo, L.; Xia, Z. Temperature and precipitation long-term trends and variations in the Ili-Balkhash Basin. Theor. Appl. Climatol. 2014, 115, 219–229. [Google Scholar] [CrossRef]
- Min, S.-K.; Zhang, X.; Zwiers, F.W.; Hegerl, G.C. Human contribution to more-intense precipitation extremes. Nature 2011, 470, 378–381. [Google Scholar] [CrossRef]
- Westra, S.; Alexander, L.V.; Zwiers, F.W. Global increasing trends in annual maximum daily precipitation. J. Clim. 2013, 26, 3904–3918. [Google Scholar] [CrossRef] [Green Version]
- Sato, T.; Kimura, F.; Kitoh, A. Projection of global warming onto regional precipitation over Mongolia using a regional climate model. J. Hydrol. 2007, 333, 144–154. [Google Scholar] [CrossRef]
- Tangang, F.; Juneng, L.; Ahmad, S. Trend and interannual variability of temperature in Malaysia: 1961–2002. Theor. Appl. Climatol. 2007, 89, 127–141. [Google Scholar] [CrossRef]
- Zin, W.Z.W.; Jamaludin, S.; Deni, S.M.; Jemain, A.A. Recent changes in extreme rainfall events in Peninsular Malaysia: 1971–2005. Theor. Appl. Climatol. 2010, 99, 303–314. [Google Scholar] [CrossRef]
- Sammathuria, M.; Ling, L. Regional climate observation and simulation of extreme temperature and precipitation trends. In Proceedings of the 14th International Rainwater Catchment Systems Conference, Kuala Lumpur, Malaysia, 3–6 August 2009; pp. 3–6. [Google Scholar]
- Portmann, R.W.; Solomon, S.; Hegerl, G.C. Spatial and seasonal patterns in climate change, temperatures, and precipitation across the United States. Proc. Natl. Acad. Sci. USA 2009, 106, 7324–7329. [Google Scholar] [CrossRef] [PubMed] [Green Version]
- Kundzewicz, Z.; Schellnhuber, H.-J. Floods in the IPCC TAR perspective. Nat. Hazards 2004, 31, 111–128. [Google Scholar] [CrossRef]
- Ramesh, A. Response of Flood Events to Land Use and Climate Change: Analyzed by Hydrological and Statistical Modeling in Barcelonnette, France; Springer Science & Business Media: Berlin/Heidelberg, Germany, 2012. [Google Scholar]







| Station ID | Location | Longitude | Latitude | Avg. Annual Rainfall |
|---|---|---|---|---|
| (mm) | ||||
| 5710061 | Dispensari Keroh | 101.00 | 5.71 | 1881 |
| 5411066 | Kuala Kenderong | 101.15 | 5.42 | 1961 |
| 5210069 | Stesen Pem. Hutan Lawin | 101.06 | 5.30 | 1606 |
| 5207001 | Kolam Air JKR Selama | 100.70 | 5.22 | 2632 |
| 5005003 | Jln. Mtg. Buloh Bgn Serai | 100.55 | 5.01 | 1682 |
| 4811075 | Rancangan Belia Perlop | 101.18 | 4.89 | 1728 |
| 4807016 | Bukit Larut Taiping | 100.79 | 4.86 | 3566 |
| 4511111 | Politeknik Ungku Umar | 101.13 | 4.59 | 2178 |
| 4409091 | Rumah Pam Kubang Haji | 100.90 | 4.46 | 1730 |
| 4311001 | Pejabat Daerah Kampar | 101.16 | 4.31 | 3131 |
| 4207048 | JPS Setiawan | 100.70 | 4.22 | 1501 |
| 4010001 | JPS Teluk Intan | 101.04 | 4.02 | 2133 |
| Months | Min. | Max. | SD. | Avg. | Coeff. of Var. | Share |
|---|---|---|---|---|---|---|
| (mm) | (mm) | (mm) | (mm) | (%) | (%) | |
| Jan | 38.10 | 204.43 | 42.30 | 115.94 | 36 | 5.38 |
| Feb | 23.41 | 242.36 | 56.40 | 125.04 | 45 | 5.80 |
| Mar | 21.89 | 353.50 | 69.54 | 180.24 | 39 | 8.36 |
| Apr | 71.66 | 355.62 | 67.82 | 217.45 | 31 | 10.08 |
| May | 52.69 | 302.74 | 59.74 | 189.40 | 32 | 8.78 |
| Jun | 50.50 | 191.32 | 39.05 | 124.92 | 31 | 5.79 |
| Jul | 60.63 | 256.34 | 56.04 | 142.51 | 39 | 6.61 |
| Aug | 6.48 | 265.75 | 64.32 | 161.35 | 40 | 7.48 |
| Sep | 77.66 | 363.70 | 66.48 | 207.09 | 32 | 9.60 |
| Oct | 126.92 | 426.38 | 75.87 | 248.96 | 30 | 11.55 |
| Nov | 111.53 | 469.57 | 66.74 | 262.38 | 25 | 12.17 |
| Dec | 56.26 | 354.67 | 63.04 | 181.13 | 35 | 8.40 |
| Annual | 1352.93 | 2735.49 | 337.05 | 2156.41 | 16 | 100.00 |
| NEM | 23.41 | 469.57 | 81.86 | 171.12 | 48 | 22.74 |
| IM 1 | 21.89 | 355.62 | 70.72 | 198.84 | 36 | 26.42 |
| SWM | 6.48 | 302.74 | 60.01 | 154.55 | 39 | 20.54 |
| IM 2 | 77.66 | 426.38 | 73.88 | 228.03 | 32 | 30.30 |
| Indices | Description | Units |
|---|---|---|
| RX1Day | Monthly maximum 1-day rainfall | mm |
| RX5Day | Monthly maximum consecutive 5-day rainfall | mm |
| R95p | Annual total rainfall when RR > 95p | mm |
| R99p | Annual total rainfall when RR > 99p | mm |
| PRCPTOT | Annual total rainfall in wet days | mm |
| R10mm | Annual count of days when Rainfall ≥ 10 mm | days |
| R20mm | Annual count of days when Rainfall ≥ 20 mm | days |
| CDD | Maximum length of dry spell, maximum number of consecutive days with RR < 1 mm | days |
| CWD | Maximum length of wet spell, maximum number of consecutive days with RR ≥ 1 mm | days |
| SDII | Simple precipitation intensity index | mm/day |
| NEM | Northeast Monsoon occurs from November to February | mm |
| IM 1 | Inter-monsoon 1 occurs from March to April | mm |
| SWM | Southwest Monsoon occurs from May to August | mm |
| IM 2 | Inter-monsoon 2 occurs from September to October | mm |
| Monthly | Monthly Rainfall | mm |
| Annual | Annual Rainfall | mm |
| Indices | SW Test | p-Value |
|---|---|---|
| RX1Day | 0.99 | 0.90 |
| RX5Day | 0.97 | 0.54 |
| R95p | 0.97 | 0.45 |
| R99p | 0.95 | 0.16 |
| PRCPTOT | 0.94 | 0.07 |
| R10mm | 0.93 | 0.03 |
| R20mm | 0.96 | 0.17 |
| CDD | 0.92 | 0.07 |
| CWD | 0.87 | 0.06 |
| SDII | 0.97 | 0.51 |
| NEM | 0.96 | 0.57 |
| IM 1 | 0.99 | 0.63 |
| SWM | 0.99 | 0.31 |
| IM 2 | 0.98 | 0.39 |
| Monthly | 0.98 | 0.10 |
| Annual | 0.94 | 0.07 |
| Indices | Z | p-Value | Sen’s Slope (mm) |
|---|---|---|---|
| RX1Day | −1.80 | 0.0713 | −0.3067 |
| RX5Day | 0.00 | 0.9773 | 0.0172 |
| R95p | −0.70 | 0.4955 | −2.3000 |
| R99p | −0.60 | 0.5403 | −0.6947 |
| PRCPTOT | −0.40 | 0.6701 | −1.9933 |
| R10mm | 0.10 | 0.8982 | 0.0312 |
| R20mm | −0.20 | 0.8754 | 0.0000 |
| CDD | 1.80 | 0.0759 | 0.1000 |
| CWD | −0.60 | 0.5218 | −0.0909 |
| SDII | −0.40 | 0.6902 | −0.0071 |
| NEM | 1.10 | 0.2695 | 0.2038 |
| IM 1 | 0.10 | 0.9515 | 0.0246 |
| SWM | −2.20 | 0.0299 | −0.2942 |
| IM 2 | −0.80 | 0.4410 | −0.3196 |
| Monthly | −0.70 | 0.4661 | −0.0235 |
| Annual | −0.40 | 0.6701 | −1.8293 |
Publisher’s Note: MDPI stays neutral with regard to jurisdictional claims in published maps and institutional affiliations. |
© 2022 by the authors. Licensee MDPI, Basel, Switzerland. This article is an open access article distributed under the terms and conditions of the Creative Commons Attribution (CC BY) license (https://creativecommons.org/licenses/by/4.0/).
Share and Cite
Hanif, M.F.; Mustafa, M.R.U.; Liaqat, M.U.; Hashim, A.M.; Yusof, K.W. Evaluation of Long-Term Trends of Rainfall in Perak, Malaysia. Climate 2022, 10, 44. https://doi.org/10.3390/cli10030044
Hanif MF, Mustafa MRU, Liaqat MU, Hashim AM, Yusof KW. Evaluation of Long-Term Trends of Rainfall in Perak, Malaysia. Climate. 2022; 10(3):44. https://doi.org/10.3390/cli10030044
Chicago/Turabian StyleHanif, Muhammad Faisal, Muhammad Raza Ul Mustafa, Muhammad Usman Liaqat, Ahmad Mustafa Hashim, and Khamaruzaman Wan Yusof. 2022. "Evaluation of Long-Term Trends of Rainfall in Perak, Malaysia" Climate 10, no. 3: 44. https://doi.org/10.3390/cli10030044
APA StyleHanif, M. F., Mustafa, M. R. U., Liaqat, M. U., Hashim, A. M., & Yusof, K. W. (2022). Evaluation of Long-Term Trends of Rainfall in Perak, Malaysia. Climate, 10(3), 44. https://doi.org/10.3390/cli10030044

