Precipitation Trends and Flood Hazard Assessment in a Greek World Heritage Site
Abstract
1. Introduction
2. Materials and Methods
2.1. Precipitation Data
2.2. Precipitation Trends and Statistical Analysis
2.3. Flood Risk Map Assessment
3. Results
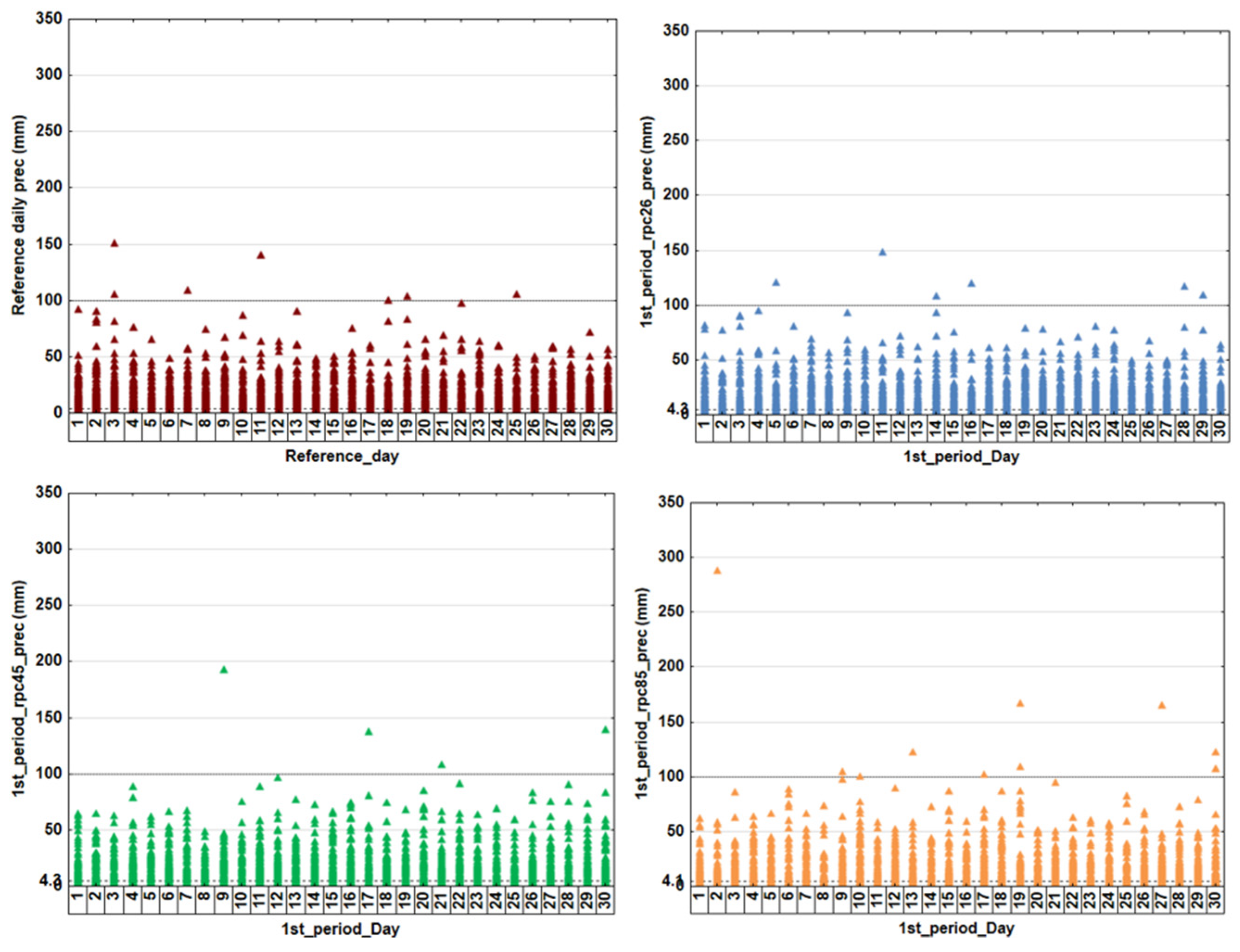
3.1. Precipitation Trends
3.2. MFI Index
3.3. Flood Risk
4. Discussion and Conclusions
Funding
Data Availability Statement
Conflicts of Interest
References
- Mentzafou, A.; Dimitriou, E. Hydrological Modeling for Flood Adaptation under Climate Change: The Case of the Ancient Messene Archaeological Site in Greece. Hydrology 2022, 9, 19. [Google Scholar] [CrossRef]
- Liu, J.; Xu, Z.; Chen, F.; Chen, F.; Zhang, L. Flood Hazard Mapping and Assessment on the Angkor World Heritage Site, Cambodia. Remote Sens. 2019, 11, 98. [Google Scholar] [CrossRef]
- Ortiz, P.; Antunez, V.; Martín, J.M.; Ortiz, R.; Vázquez, M.A.; Galán, E. Approach to environmental risk analysis for the main monuments in a historical city. J. Cult. Herit. 2014, 15, 432–440. [Google Scholar] [CrossRef]
- Lanza, S.G. Flood hazard threat on cultural heritage in the town of Genoa (Italy). J. Cult. Herit. 2003, 4, 159–167. [Google Scholar] [CrossRef]
- Mentzafou, A.; Markogianni, V.; Dimitriou, E. The Use of Geospatial Technologies in Flood Hazard Mapping and Assessment: Case Study from River Evros. In Geoinformatics and Atmospheric Science; Niedzielski, T., Migała, K., Eds.; Pageoph Topical Volumes; Birkhäuser: Cham, Switzerland, 2018. [Google Scholar] [CrossRef]
- Papageorgiou, M. Planning practices for the protection of cultural heritage: Lessons learnt from the Greek UNESCO sites. Eur. Spat. Res. Policy 2015, 22, 111–125. [Google Scholar] [CrossRef]
- IPCC, Fifth Assessment Report. 2020. Available online: https://www.ipcc.ch/assessment-report/ar5/ (accessed on 2 May 2022).
- Morgan, R.P.C. Soil Erosion and Conservation, 3rd ed.; Blackwell Publishing: Oxford, UK, 2005. [Google Scholar]
- Kourgialas, N.N.; Karatzas, G.P. Flood management and a GIS modeling method to assess flood-hazard areas—A case study. Hydrol. Sci. J. 2011, 56, 212–225. [Google Scholar] [CrossRef]
- Gemitzi, A.; Petalas, C.; Tsihrintzis, V.A.; Pisinaras, V. Assessment of groundwater vulnerability to pollution: A combi-nation of GIS, fuzzy logic and decision making techniques. Environ. Geol. 2006, 49, 653–673. [Google Scholar] [CrossRef]
- Schauble, H.; Marinoni, O.; Hinderer, M. A GIS -based method to calculate flow accumulation by considering dams and their specific operation time. Comput. Geosci. 2008, 34, 635–646. [Google Scholar] [CrossRef]
- Varlas, G.; Stefanidis, K.; Papaioannou, G.; Panagopoulos, Y.; Pytharoulis, I.; Katsafados, P.; Papadopoulos, A.; Dimitriou, E. Unraveling Precipitation Trends in Greece since 1950s Using ERA5 Climate Reanalysis Data. Climate 2022, 10, 12. [Google Scholar] [CrossRef]
- Valdés-Pineda, R.; Pizarro, R.; Valdés, J.B.; Carrasco, J.F.; -Chevesich, P.G.; Olivares, C. Spatio -temporal trends of precipitation, its aggressiveness and concentration, along the Pacific coast of South America (36–49°S). Hydrol. Sci. J. 2016, 61, 2110–2132. [Google Scholar] [CrossRef]
- Ravankhah, M.; de Wit, R.; Argyriou, A.V.; Chliaoutakis, A.; Revez, M.J.; Birkmann, J.; Žuvela-Aloise, M.; Sarris, A.; Tzigounaki, A.; Giapitsoglou, K. Integrated Assessment of Natural Hazards, Including Climate Change’s Influences, for Cultural Heritage Sites: The Case of the Historic Centre of Rethymno in Greece. Int. J. Disaster Risk Sci. 2019, 10, 343–361. [Google Scholar] [CrossRef]
- Gouett-Hanna, C.; Oulahen, C.; Henstra, D.; Thistlethwaite, J. Flood risk assessment data access and equity in Metro Vancouver. Can. Water Resour. J. Rev. Can. Des Ressour. Hydr. 2022, 47:4, 202–215. [Google Scholar] [CrossRef]
- Kumar, P.; Debele, S.E.; Sahani, J.; Rawat, N.; Marti-Cardona, B.; Alfieri, S.M.; Basu, B.; Basu, A.S.; Bowyer, P.; Charizopoulos, N.; et al. Nature-based solutions efficiency evaluation against natural hazards: Modelling methods, advantages and limitations. Sci. Total Environ. 2021, 784, 147058. [Google Scholar] [CrossRef] [PubMed]



















| No | Factor | Value Variation | Risk of Flooding | Factor Subweight (w) | Factor Gravity (x) | Factor (w×x) | Total Weight | Total Weight (%) |
|---|---|---|---|---|---|---|---|---|
| 1 | Flow concentration | >1762 | Very high | 10 | 2 | 20 | 52 | 14.6% |
| 844–1762 | High | 8 | 16 | |||||
| 322–844 | Moderate | 5 | 10 | |||||
| 73–322 | Low | 2 | 4 | |||||
| 0–73 | Very low | 1 | 2 | |||||
| 2 | Slope (degrees) | 0–3.0 | Very high | 10 | 1.5 | 15 | 39 | 11.0% |
| 3.0–8 | High | 8 | 12 | |||||
| 8–14 | Moderate | 5 | 7.5 | |||||
| 14–50 | Low | 2 | 3 | |||||
| >50 | Very low | 1 | 1.5 | |||||
| 3 | Land use | Coastal zones | Very high | 10 | 4.5 | 45 | 117 | 32.9% |
| Shrubland/meadows | High | 8 | 36 | |||||
| Intensive Crops | Moderate | 5 | 22.5 | |||||
| Non-intensive crops | Low | 2 | 9 | |||||
| Mixed vegetation zone | Very low | 1 | 4.5 | |||||
| 4 | MFI | >400 | Very high | 10 | 1.5 | 15 | 39 | 11.0% |
| 300–400 | High | 8 | 12 | |||||
| 200–300 | Moderate | 5 | 7.5 | |||||
| 100–200 | Low | 2 | 3 | |||||
| 100< | Very low | 1 | 1.5 | |||||
| 5 | Geology | Quaternary sediments | Very high–High | 9 | 2 | 18 | 31 | 8.7% |
| Neogene sediments | Moderate | 5 | 10 | |||||
| Rock formations | Low–Very low | 1.5 | 3 | |||||
| 6 | Altitude (m) | 0–8 | Very high | 10 | 3 | 30 | 78 | 21.9% |
| 8–18 | High | 8 | 24 | |||||
| 18–27 | Moderate | 5 | 15 | |||||
| 27–40 | Low | 2 | 6 | |||||
| >40 | Very low | 1 | 3 | |||||
| Total | 356 | 100.0% | ||||||
| 1971–2004 | RCP 2.6 /2031–2060 | RCP 2.6 /2061–2098 | RCP 4.5 /2031–2060 | RCP 4.5 /2069–2098 | RCP 8.5 /2031–2060 | RCP 8.5 /2069–2098 | |
|---|---|---|---|---|---|---|---|
| Average | 1437.9 | 1532.3 | 1482.7 | 1530.9 | 1427.3 | 1467.1 | 1381.2 |
| Median | 1385.3 | 1546.1 | 1391.2 | 1539.0 | 1489.1 | 1439.4 | 1310.9 |
| Min | 785.0 | 832.6 | 1049.9 | 1031.8 | 983.2 | 725.8 | 737.7 |
| Max | 2328.0 | 2048.9 | 2184.3 | 2214.4 | 2009.3 | 2380.9 | 1932.5 |
| 25th percentile | 1292.2 | 1428.1 | 1239.7 | 1324.9 | 1266.2 | 1165.8 | 1175.4 |
| 75th percentile | 1583.0 | 1690.5 | 1681.8 | 1714.2 | 1579.3 | 1701.6 | 1683.1 |
| Months | 1971–2004 | RCP 2.6 /2031–2060 | RCP 2.6 /2061–2098 | RCP 4.5 /2031–2060 | RCP 4.5 /2069–2098 | RCP 8.5 /2031–2060 | RCP 8.5 /2069–2098 |
|---|---|---|---|---|---|---|---|
| 1 | 184.11 | 239.06 | 243.88 | 220.98 | 194.60 | 217.25 | 221.54 |
| 2 | 139.98 | 166.63 | 178.16 | 153.43 | 172.23 | 143.81 | 129.16 |
| 3 | 105.45 | 89.84 | 100.85 | 89.73 | 121.50 | 99.88 | 120.12 |
| 4 | 86.82 | 87.52 | 77.08 | 77.95 | 85.71 | 78.99 | 69.65 |
| 5 | 56.20 | 81.69 | 57.67 | 70.09 | 50.36 | 66.03 | 40.84 |
| 6 | 35.81 | 41.44 | 50.76 | 32.40 | 43.25 | 39.07 | 34.86 |
| 7 | 15.27 | 10.11 | 16.35 | 9.47 | 16.00 | 9.51 | 9.67 |
| 8 | 24.55 | 22.92 | 30.15 | 24.64 | 38.40 | 33.01 | 39.66 |
| 9 | 92.66 | 109.42 | 120.88 | 105.70 | 104.57 | 85.36 | 106.47 |
| 10 | 219.44 | 209.41 | 173.90 | 212.30 | 213.07 | 219.04 | 200.54 |
| 11 | 231.03 | 256.70 | 242.88 | 285.80 | 222.87 | 262.80 | 203.78 |
| 12 | 246.57 | 217.54 | 190.19 | 248.38 | 164.72 | 212.33 | 204.88 |
| Months | 1971–2004 | RCP 2.6 /2031–2060 | RCP 2.6 /2061–2098 | RCP 4.5 /2031–2060 | RCP 4.5 /2069–2098 | RCP 8.5 /2031–2060 | RCP 8.5 /2069–2098 |
|---|---|---|---|---|---|---|---|
| 1 | 416.62 | 534.12 | 448.63 | 507.95 | 552.38 | 405.74 | 506.07 |
| 2 | 465.78 | 426.92 | 462.50 | 352.93 | 387.32 | 358.30 | 397.69 |
| 3 | 415.37 | 229.96 | 184.01 | 242.21 | 363.33 | 313.45 | 418.19 |
| 4 | 256.58 | 228.53 | 224.50 | 215.50 | 203.59 | 192.53 | 302.39 |
| 5 | 164.61 | 233.94 | 181.44 | 330.16 | 280.02 | 236.27 | 153.49 |
| 6 | 148.15 | 164.06 | 187.13 | 138.98 | 213.40 | 133.17 | 161.76 |
| 7 | 86.35 | 35.88 | 65.25 | 67.34 | 72.79 | 49.73 | 70.02 |
| 8 | 116.95 | 89.58 | 135.42 | 102.31 | 146.17 | 342.12 | 173.33 |
| 9 | 235.84 | 395.27 | 295.53 | 263.76 | 282.45 | 373.70 | 280.31 |
| 10 | 406.03 | 453.55 | 375.05 | 452.77 | 561.90 | 566.68 | 664.73 |
| 11 | 415.25 | 602.79 | 537.09 | 509.42 | 518.49 | 871.11 | 427.28 |
| 12 | 469.39 | 404.65 | 473.78 | 596.42 | 431.27 | 509.62 | 491.45 |
| Reference Period | 1st Period RCP 26 | 1st Period RCP 45 | 1st Period RCP 85 | 2nd Period RCP 26 | 2nd Period RCP 45 | 2nd Period RCP 85 | |
|---|---|---|---|---|---|---|---|
| Average | 220.93 | 240.87 | 256.28 | 258.02 | 231.98 | 227.75 | 235.29 |
| Max | 506.10 | 512.13 | 586.73 | 778.99 | 437.71 | 502.18 | 508.79 |
| Min | 68.02 | 74.91 | 109.97 | 56.40 | 112.64 | 104.71 | 52.74 |
| Median | 206.56 | 220.68 | 251.29 | 241.12 | 205.71 | 215.55 | 206.10 |
| 25th percentile | 173.78 | 184.51 | 155.77 | 141.42 | 160.79 | 152.45 | 156.42 |
| 75th percentile | 260.59 | 283.35 | 312.82 | 313.32 | 301.86 | 275.10 | 309.56 |
Publisher’s Note: MDPI stays neutral with regard to jurisdictional claims in published maps and institutional affiliations. |
© 2022 by the author. Licensee MDPI, Basel, Switzerland. This article is an open access article distributed under the terms and conditions of the Creative Commons Attribution (CC BY) license (https://creativecommons.org/licenses/by/4.0/).
Share and Cite
Dimitriou, E. Precipitation Trends and Flood Hazard Assessment in a Greek World Heritage Site. Climate 2022, 10, 194. https://doi.org/10.3390/cli10120194
Dimitriou E. Precipitation Trends and Flood Hazard Assessment in a Greek World Heritage Site. Climate. 2022; 10(12):194. https://doi.org/10.3390/cli10120194
Chicago/Turabian StyleDimitriou, Elias. 2022. "Precipitation Trends and Flood Hazard Assessment in a Greek World Heritage Site" Climate 10, no. 12: 194. https://doi.org/10.3390/cli10120194
APA StyleDimitriou, E. (2022). Precipitation Trends and Flood Hazard Assessment in a Greek World Heritage Site. Climate, 10(12), 194. https://doi.org/10.3390/cli10120194

