Socioeconomic Disparities in the Diversity, Abundance, Structure and Composition of Woody Plants in Residential Streetscapes: Insights for Transitioning to a More Environmentally Just City
Abstract
1. Introduction
2. Results
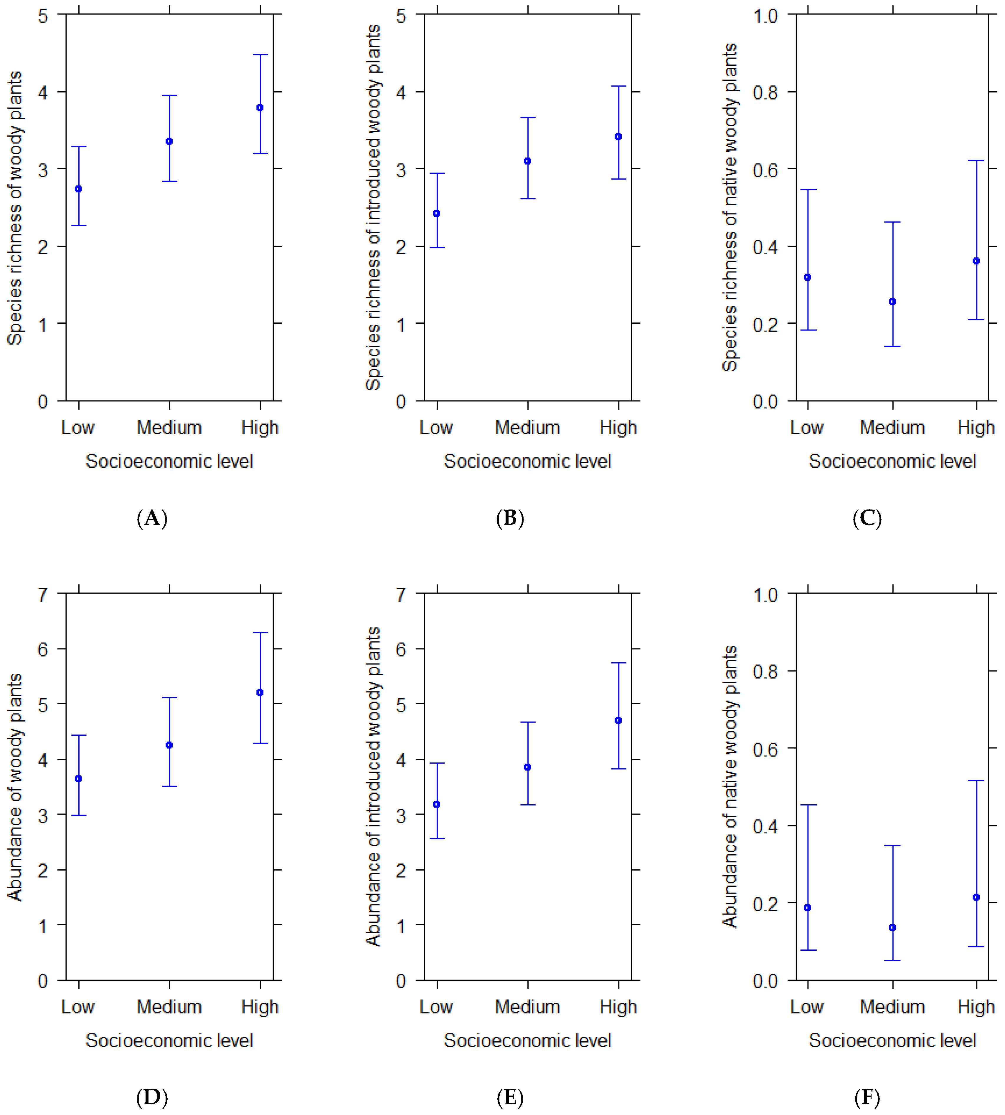
2.1. Richness and Abundance
2.2. Structure
2.3. Composition
3. Discussion
3.1. Richness and Abundance of Woody Plants
3.2. Structure of Woody Plants
3.3. Composition of Woody Plants
3.4. Recommendations
- 1.
- Governance and equity-based investment: A centralized, city-wide authority for public vegetation management should be established. This body would be responsible for allocating resources to correct budgetary inequalities between municipalities, ensuring that low-income neighborhoods receive equitable investment. It would also develop and enforce standardized guidelines for woody plant planting, maintenance, and conservation as a matter of state policy. A key function would be to institutionalize a proactive, city-wide tree protection and compensation policy. This policy must prioritize preventing damage to significant trees—such as heritage, large-canopy, or ecologically and socially valuable specimens—during planning and construction. For trees that cannot be preserved in situ, their rescue and replanting should be analyzed, considering prioritizing greening projects in historically underserved areas.
- 2.
- Prioritize local native species: To future-proof Santiago’s urban forest against escalating climatic pressures like drought, heat waves, and novel pests, a strategic shift toward native and drought-adapted woody species is imperative. A local native species pool should be promoted for both public and private plantings. These species are evolutionarily suited to local conditions, typically require less irrigation water, and support native biodiversity, thereby enhancing the long-term sustainability and adaptive capacity of the urban ecosystem.
- 3.
- Promote the use of non-tree woody plants: Urban planners and managers must recognize that shrubs and vines are critical components of the green infrastructure. These woody plant forms provide essential ecosystem services—such as thermal regulation, habitat, and aesthetic value—while enhancing structural heterogeneity, biodiversity, and overall ecological resilience. Actively incorporating them into planting schemes, particularly in low-income areas where canopy cover is low and there are scarce shrubs and vines, can rapidly augment green cover and its associated benefits.
- 4.
- Empower communities through capacity building and stewardship: In low-income neighborhoods, resident engagement is a powerful tool for expanding and sustaining green cover on private and eligible communal land. We recommend establishing community-based training and certification programs, overseen by local municipalities. These programs would equip interested residents with the skills to select appropriate species for the site, plant, and care for woody vegetation in their own private spaces (e.g., front yards, interior gardens) and in authorized communal areas. By focusing on private stewardship and providing official recognition, these initiatives can foster a culture of care, legally amplify greening efforts beyond public rights-of-way, and build social resilience alongside ecological benefits.
4. Materials and Methods
4.1. Study Area
4.2. Selection of Sampling Sites
4.3. Woody Plants Surveys
4.4. Statistical Analysis
5. Conclusions
Author Contributions
Funding
Data Availability Statement
Acknowledgments
Conflicts of Interest
Appendix A
| Order | Family | Genus | Species | Origin |
|---|---|---|---|---|
| Pinopsida | Araucariaceae | Araucaria | araucana | N |
| Pinopsida | Cupressaceae | Cupressus | macrocarpa | I |
| Pinopsida | Cupressaceae | Cupressus | sp. | I |
| Pinopsida | Cupressaceae | Thuja | sp. | I |
| Pinopsida | Pinaceae | Cedrus | sp. | I |
| Pinopsida | Pinaceae | Pinus | pinaster | I |
| Magnoliopsida | Adoxaceae | Viburnum | odoratissimum | I |
| Magnoliopsida | Adoxaceae | Viburnum | tinus | I |
| Magnoliopsida | Adoxaceae | Viburnum | sp. | I |
| Magnoliopsida | Altingiaceae | Liquidambar | styraciflua | I |
| Magnoliopsida | Anacardiaceae | Schinus | areira | N |
| Magnoliopsida | Apocynaceae | Nerium | oleander | I |
| Magnoliopsida | Araliaceae | Hedera | sp. | I |
| Magnoliopsida | Araliaceae | Schefflera | arboricola | I |
| Magnoliopsida | Bignoniaceae | Catalpa | bignonioides | I |
| Magnoliopsida | Bignoniaceae | Jacaranda | mimosifolia | I |
| Magnoliopsida | Bignoniaceae | Tecoma | stans | I |
| Magnoliopsida | Cannabaceae | Celtis | australis | I |
| Magnoliopsida | Caprifoliaceae | Abelia | grandiflora | I |
| Magnoliopsida | Caprifoliaceae | Abelia | sp. | I |
| Magnoliopsida | Celastraceae | Euonymus | japonicus | I |
| Magnoliopsida | Celastraceae | Maytenus | boaria | N |
| Magnoliopsida | Elaeocarpaceae | Aristotelia | chilensis | N |
| Magnoliopsida | Elaeagnaceae | Elaeagnus | angustifolia | I |
| Magnoliopsida | Ericaceae | Arbutus | unedo | I |
| Magnoliopsida | Euphorbiaceae | Euphorbia | sp. | I |
| Magnoliopsida | Fabaceae | Acacia | dealbata | I |
| Magnoliopsida | Fabaceae | Acacia | karroo | I |
| Magnoliopsida | Fabaceae | Acacia | sp. | I |
| Magnoliopsida | Fabaceae | Bauhinia | forficata | I |
| Magnoliopsida | Fabaceae | Erythrina | crista-galli | I |
| Magnoliopsida | Fabaceae | Erythrostemon | gilliesii | I |
| Magnoliopsida | Fabaceae | Parkinsonia | aculeata | I |
| Magnoliopsida | Fabaceae | Prosopis | chilensis | N |
| Magnoliopsida | Fabaceae | Robinia | pseudoacacia | I |
| Magnoliopsida | Fabaceae | Styphnolobium | japonicum | I |
| Magnoliopsida | Fabaceae | Tara | spinosa | N |
| Magnoliopsida | Fabaceae | Vachellia | caven | N |
| Magnoliopsida | Fagaceae | Quercus | falcata | I |
| Magnoliopsida | Fagaceae | Quercus | robur | I |
| Magnoliopsida | Juglandaceae | Juglans | regia | I |
| Magnoliopsida | Lamiaceae | Salvia | rosmarinus | I |
| Magnoliopsida | Lauraceae | Cryptocarya | alba | N |
| Magnoliopsida | Lauraceae | Laurus | nobilis | I |
| Magnoliopsida | Lauraceae | Persea | americana | I |
| Magnoliopsida | Lauraceae | Persea | sp. | I |
| Magnoliopsida | Loranthaceae | Tristerix | sp. | N |
| Magnoliopsida | Lythraceae | Lagerstroemia | indica | I |
| Magnoliopsida | Lythraceae | Punica | granatum | I |
| Magnoliopsida | Magnoliaceae | Liriodendron | tulipifera | I |
| Magnoliopsida | Magnoliaceae | Magnolia | soulangeana | I |
| Magnoliopsida | Magnoliaceae | Magnolia | grandiflora | I |
| Magnoliopsida | Malvaceae | Brachychiton | acerifolius | I |
| Magnoliopsida | Malvaceae | Brachychiton | populneus | I |
| Magnoliopsida | Malvaceae | Hibiscus | boryanus | I |
| Magnoliopsida | Malvaceae | Tilia | americana | I |
| Magnoliopsida | Meliaceae | Melia | azedarach | I |
| Magnoliopsida | Moraceae | Ficus | benjamina | I |
| Magnoliopsida | Moraceae | Ficus | elastica | I |
| Magnoliopsida | Moraceae | Morus | alba | I |
| Magnoliopsida | Myrtaceae | Eucalyptus | sp. | I |
| Magnoliopsida | Myrtaceae | Myrtus | communis | I |
| Magnoliopsida | Nyctaginaceae | Bougainvillea | sp. | I |
| Magnoliopsida | Oleaceae | Fraxinus | excelsior | I |
| Magnoliopsida | Oleaceae | Jasminum | mesnyi | I |
| Magnoliopsida | Oleaceae | Ligustrum | lucidum | I |
| Magnoliopsida | Oleaceae | Ligustrum | sinense | I |
| Magnoliopsida | Oleaceae | Olea | europaea | I |
| Magnoliopsida | Pittosporaceae | Pittosporum | tenuifolium | I |
| Magnoliopsida | Pittosporaceae | Pittosporum | tobira | I |
| Magnoliopsida | Pittosporaceae | Pittosporum | undulatum | I |
| Magnoliopsida | Platanaceae | Platanus | hispanica | I |
| Magnoliopsida | Proteaceae | Grevillea | robusta | I |
| Magnoliopsida | Quillajaceae | Quillaja | saponaria | N |
| Magnoliopsida | Rosaceae | Cotoneaster | coriaceus | I |
| Magnoliopsida | Rosaceae | Cotoneaster | sp. | I |
| Magnoliopsida | Rosaceae | Eriobotrya | japonica | I |
| Magnoliopsida | Rosaceae | Malus | purpurea | I |
| Magnoliopsida | Rosaceae | Prunus | armeniaca | I |
| Magnoliopsida | Rosaceae | Prunus | cerasifera | I |
| Magnoliopsida | Rosaceae | Prunus | cerasifera f. nigra | I |
| Magnoliopsida | Rosaceae | Prunus | dulcis | I |
| Magnoliopsida | Rosaceae | Prunus | persica | I |
| Magnoliopsida | Rosaceae | Prunus | sp. | I |
| Magnoliopsida | Rosaceae | Pyracantha | coccinea | I |
| Magnoliopsida | Rosaceae | Rosa | sp. | I |
| Magnoliopsida | Rubiaceae | Coprosma | baueri | I |
| Magnoliopsida | Rutaceae | Citrus | sinensis | I |
| Magnoliopsida | Rutaceae | Citrus | reticulata | I |
| Magnoliopsida | Rutaceae | Citrus | limon | I |
| Magnoliopsida | Salicaceae | Populus | alba | I |
| Magnoliopsida | Salicaceae | Populus | deltoides | I |
| Magnoliopsida | Salicaceae | Populus | sp. | I |
| Magnoliopsida | Sapindaceae | Acer | japonicum | I |
| Magnoliopsida | Sapindaceae | Acer | negundo | I |
| Magnoliopsida | Sapindaceae | Acer | pseudoplatanus | I |
| Magnoliopsida | Scrophulariaceae | Buddleja | globosa | N |
| Magnoliopsida | Scrophulariaceae | Myoporum | laetum | I |
| Magnoliopsida | Simaroubaceae | Ailanthus | altissima | I |
| Magnoliopsida | Solanaceae | Brugmansia | arborea | N |
| Magnoliopsida | Solanaceae | Brunfelsia | pauciflora | I |
| Magnoliopsida | Solanaceae | Cestrum | parqui | N |
| Magnoliopsida | Theaceae | Camellia | sp. | I |
| Magnoliopsida | Ulmaceae | Ulmus | minor | I |
| Magnoliopsida | Winteraceae | Drimys | winteri | N |
| Magnoliopsida | Unidentified | - | Morphotype-tree-01 | I |
| Magnoliopsida | Unidentified | - | Morphotype-shrub-01 | I |
| Magnoliopsida | Unidentified | - | Morphotype-climbing-01 | I |
References
- Shao, Q.; Peng, L.; Liu, Y.; Li, Y. A Bibliometric Analysis of Urban Ecosystem Services: Structure, Evolution, and Prospects. Land 2023, 12, 337. [Google Scholar] [CrossRef]
- Salmond, J.A.; Tadaki, M.; Vardoulakis, S.; Arbuthnott, K.; Coutts, A.; Demuzere, M.; Dirks, K.N.; Heaviside, C.; Lim, S.; MacIntyre, H.; et al. Health and climate related ecosystem services provided by street trees in the urban environment. Sci. J. Environ. Health A Glob. Access Sci. Source 2016, 15, S36. [Google Scholar] [CrossRef] [PubMed]
- Hidalgo, A.K. Mental health in winter cities: The effect of vegetation on streets. Urban For. Urban Green. 2021, 63, 127226. [Google Scholar] [CrossRef]
- Papafotiou, M.; Chatzijiannaki, Z.; Stilianaki, G. The effect of design of an urban park on traffic noise abatement. Acta Hortic. 2010, 881, 331–334. [Google Scholar] [CrossRef]
- Jeong, N.R.; Han, S.W.; Kim, J.H. Evaluation of Vegetation Configuration Models for Managing Particulate Matter along the Urban Street Environment. Forests 2022, 13, 46. [Google Scholar] [CrossRef]
- Lin, A.; Lou, J. Pedestrians’ and Cyclists’ Preferences for Street Greenscape Designs. Promet—Traffic Transp. 2022, 34, 367–380. [Google Scholar] [CrossRef]
- Buriánek, V.; Novotný, R.; Hellebrandová, K.; Šrámek, V. Ground vegetation as an important factor in the biodiversity of forest ecosystems and its evaluation in regard to nitrogen deposition. J. For. Sci. 2013, 59, 238–252. [Google Scholar] [CrossRef]
- Natsukawa, H. Raptor breeding sites indicate high taxonomic and functional diversities of wintering birds in urban ecosystems. Urban For. Urban Green. 2021, 60, 127066. [Google Scholar] [CrossRef]
- Zhang, S.; Zhao, J.; Yao, M. Urban landscape-level biodiversity assessments of aquatic and terrestrial vertebrates by environmental DNA metabarcoding. J. Environ. Manag. 2023, 340, 117971. [Google Scholar] [CrossRef]
- Clarke, L.W.; Jenerette, G.D.; Davila, A. The luxury of vegetation and the legacy of tree biodiversity in Los Angeles, CA. Landsc. Urban Plan. 2013, 116, 48–59. [Google Scholar] [CrossRef]
- Stanley, M.C.; Galbraith, J.A. Connecting people with place-specific nature in cities reduces unintentional harm. Environ. Res. Ecol. 2024, 3, 023001. [Google Scholar] [CrossRef]
- Roman, L.A.; Conway, T.M.; Eisenman, T.S.; Koeser, A.K.; Barona, C.O.; Locke, D.H.; Jenerette, G.D.; Östberg, J.; Vogt, J. Beyond ‘trees are good’: Disservices, management costs, and tradeoffs in urban forestry. Ambio 2021, 50, 615–630. [Google Scholar] [CrossRef]
- Lohr, V.I.; Kendal, D.; Dobbs, C. Urban trees worldwide have low species and genetic diversity, posing high risks of tree loss as stresses from climate change increase. Acta Hortic. 2016, 1108, 263–270. [Google Scholar] [CrossRef]
- Amazonas, N.T.; Forrester, D.I.; Silva, C.C.; Almeida, D.R.A.; Rodrigues, R.R.; Brancalion, P.H. High diversity mixed plantations of Eucalyptus and native trees: An interface between production and restoration for the tropics. For. Ecol. Manag. 2018, 417, 247–256. [Google Scholar] [CrossRef]
- Lüscher, A.; Barkaoui, K.; Finn, J.A.; Suter, D.; Suter, M.; Volaire, F. Using plant diversity to reduce vulnerability and increase drought resilience of permanent and sown productive grasslands. Grass Forage Sci. 2022, 77, 235–246. [Google Scholar] [CrossRef]
- Escobedo, F.J.; Palmas-Perez, S.; Dobbs, C.; Gezan, S.; Hernandez, J. Spatio-temporal changes in structure for a mediterranean urban forest: Santiago, Chile 2002 to 2014. Forests 2016, 7, 121. [Google Scholar] [CrossRef]
- Da, C.; Li, Y.; Gao, X.; Zhang, X.; Yang, Y.; Ma, H.; Zhao, B.; Hu, T.; Ma, Y.; Liu, J.; et al. Seasonal variations in psychophysiological stress recovery from street greenery: A virtual reality study on vegetation structures and configurations. Build Environ. 2024, 266, 112058. [Google Scholar] [CrossRef]
- Coverdale, T.C.; Davies, A.B. Unravelling the relationship between plant diversity and vegetation structural complexity: A review and theoretical framework. J. Ecol. 2023, 111, 1378–1395. [Google Scholar] [CrossRef]
- Beninde, J.; Veith, M.; Hochkirch, A. Biodiversity in cities needs space: A meta-analysis of factors determining intra-urban biodiversity variation. Ecol. Lett. 2015, 18, 581–592. [Google Scholar] [CrossRef]
- Meng, Q.; Evgrafova, O.; Li, M. A predictive model for traffic noise reduction effects of street green spaces with variable widths of coniferous vegetation. Forests 2025, 16, 238. [Google Scholar] [CrossRef]
- Brune, M. Urban Trees Under Climate Change; Climate Service Center Germany: Hamburg, Germany, 2016. [Google Scholar]
- Ponce-Donoso, M.; Vallejos-Barra, Ó.; Escobedo, F.J. Appraisal of urban trees using twelve valuation formulas and two appraiser groups. Arboric. Urban For. 2017, 43, 72–82. [Google Scholar] [CrossRef]
- Ngao, J.; Cárdenas, M.L.; Améglio, T.; Colin, J.; Saudreau, M. Implications of urban land management on the cooling properties of urban trees: Citizen science and laboratory analysis. Sustainability 2021, 13, 13656. [Google Scholar] [CrossRef]
- Luebert, F.; Pliscoff, P. Sinopsis Bioclimática y Vegetacional de Chile, 2nd ed.; Editorial Universitaria: Santiago, Chile, 2017. [Google Scholar]
- Ossola, A.; Hoeppner, M.J.; Burley, H.M.; Gallagher, R.V.; Beaumont, L.J.; Leishman, M.R. The Global Urban Tree Inventory: A database of the diverse tree flora that inhabits the world’s cities. Glob. Ecol. Biogeogr. 2020, 29, 1907–1914. [Google Scholar] [CrossRef]
- Galle, N.J.; Halpern, D.; Nitoslawski, S.; Duarte, F.; Ratti, C.; Pilla, F. Mapping the diversity of street tree inventories across eight cities internationally using open data. Urban For. Urban Green. 2021, 61, 127099. [Google Scholar] [CrossRef]
- Chamberlain, D.; Reynolds, C.; Amar, A.; Henry, D.; Caprio, E.; Batáry, P. Wealth, water and wildlife: Landscape aridity intensifies the urban luxury effect. Glob. Ecol. Biogeogr. 2020, 29, 1595–1605. [Google Scholar] [CrossRef]
- Steinfort, U.; Contreras, A.; Albornoz, F.; Reyes-Paecke, S.; Guilleminot, P. Vegetation survival and condition in public green spaces after their establishment: Evidence from a semi-arid metropolis. Int. J. Agric. Nat. Resour. 2020, 47, 90–104. [Google Scholar] [CrossRef]
- Falfán, I.; Macgregor-fors, I. Vegetación lenosa en un paisaje urbano: A case study of tree and composition in Xalapa. Madera y Bosque 2016, 22, 95–110. [Google Scholar]
- Cooper, D.S.; Wood, E.M.; Katz, N.D.; Superfisky, K.; Osborn, F.M.; Novoselov, A.; Tarczynski, J.; Bacasen, L.K. Large Cities Fall Behind in “Neighborhood Biodiversity”. Front. Conserv. Sci. 2021, 2, 734931. [Google Scholar] [CrossRef]
- Fratini, R.; Marone, E. Repository istituzionale dell’Università degli Studi di Firenze Green-space in Urban Areas: Evaluation of Ficiency of Public Spending for Management of Green Urban Areas. Int. J. E-Bus. Dev. 2011, 1, 9–14. [Google Scholar]
- Hernández, H.J.; Villaseñor, N.R. Twelve-year change in tree diversity and spatial segregation in the Mediterranean city of Santiago, Chile. Urban For. Urban Green. 2018, 29, 10–18. [Google Scholar] [CrossRef]
- Aznarez, C.; Svenning, J.-C.; Pacheco, J.P.; Kallesøe, F.H.; Baró, F.; Pascual, U. Luxury and legacy effects on urban biodiversity, vegetation cover and ecosystem services. NPJ Urban Sustain. 2023, 3, 47. [Google Scholar] [CrossRef]
- Lewthwaite, J.M.M.; Baiotto, T.M.; Brown, B.V.; Cheung, Y.Y.; Baker, A.J.; Lehnen, C.; McGlynn, T.P.; Shirey, V.; Gonzalez, L.; Hartop, E.; et al. Drivers of arthropod biodiversity in an urban ecosystem. Sci. Rep. 2024, 14, 7731. [Google Scholar] [CrossRef] [PubMed]
- Hope, D.; Gries, C.; Zhu, W.; Fagan, W.F.; Redman, C.L.; Grimm, N.B.; Nelson, A.L.; Martin, C.; Kinzig, A. Socioeconomics drive urban plant diversity. Proc. Natl. Acad. Sci. USA 2003, 100, 8788–8792. [Google Scholar] [CrossRef] [PubMed]
- Leong, M.; Dunn, R.R.; Trautwein, M.D. Biodiversity and socioeconomics in the city: A review of the luxury effect. Biol. Lett. 2018, 14, 20180082. [Google Scholar] [CrossRef]
- Morgenroth, J.; O’Neil-Dunne, J.; Apiolaza, L.A. Redevelopment and the urban forest: A study of tree removal and retention during demolition activities. Appl. Geogr. 2017, 82, 1–10. [Google Scholar] [CrossRef]
- Uribe, S.V.; Villaseñor, N.R. Inequities in urban tree care based on socioeconomic status. Urban For. Urban Green. 2024, 96, 128363. [Google Scholar] [CrossRef]
- Guevara, B.; Uribe, S.V.; de la Maza, C.L.; Villaseñor, N.R. Socioeconomic Disparities in Urban Forest Diversity and Structure in Green Areas of Santiago de Chile. Plants 2024, 13, 1841. [Google Scholar] [CrossRef]
- Henríquez, M.; Fuenzalida, J. Compensando la desigualdad de ingresos locales: El Fondo Común Municipal (FCM) en Chile. Rev. Iberoam. Estud. Munic. 2011, 4, 73–104. [Google Scholar] [CrossRef]
- Fernández, M.P.; Vargas, M.A.; Allamand, N. Arbolado Urbano: Desafíos y Propuestas Para la Región Metropolitana; Enel Chile: Santiago, Chile, 2022. [Google Scholar]
- Castro, S.A.; Ray, C.; Figueroa, J.A.; Alfaro, M.; Orrego, F.; Vergara, P.M. Effects of the Center-Edge Gradient and Habitat Type on the Spatial Distribution of Plant Species Richness in Santiago, Chile. Plants 2025, 14, 3433. [Google Scholar] [CrossRef]
- Reyes-Paecke, S.; Meza, L. Jardines residenciales en Santiago de Chile: Extensión, distribución y cobertura vegetal. Rev. Chil. Hist. Nat. 2011, 84, 581–592. [Google Scholar] [CrossRef]
- Rasse Figueroa, A.; Sarella Robles, M.; Sabatini Downey, F.; Cáceres Quiero, G.; Trebilcock, M.P. Desde la segregación a la exclusión residencial ¿Dónde están los nuevos hogares pobres (2000–2017) de la ciudad de Santiago, Chile? Revista de Urbanismo 2021, 44, 39–59. [Google Scholar] [CrossRef]
- Hernández, H.J.; Gutiérrez, M.A.; Acuña, M.P. Urban morphological dynamics in Santiago (Chile): Proposing sustainable indicators from remote sensing. Int. Arch. Photogramm. Remote Sens. Spat. Inf. Sci.—ISPRS Arch. 2016, 41, 873–877. [Google Scholar] [CrossRef]
- Morris, H. Tree Pruning: A Modern Approach; International Dendrology Society: Herefordshire, UK, 2013; 209p. [Google Scholar]
- Lin, J.; Wang, Q.; Li, X. Socioeconomic and spatial inequalities of street tree abundance, species diversity, and size structure in New York City. Landsc. Urban Plan. 2021, 206, 103992. [Google Scholar] [CrossRef]
- Ceballos, S.J.; Saravia, A.N.; Foguet, J.; Jimenez, Y.; González, M.V.; Coria, G.; Gibilisco, S.; Quiroga, P.; Aráoz, E. The legacy of neighborhood age: How the past shapes the current diversity, composition, and cover of urban trees. Urban Ecosyst. 2025, 28, 99. [Google Scholar] [CrossRef]
- Resolución de Calificación Ambiental (RCA). In Concesión Américo Vespucio Oriente. Tramo Avenida El Salto—Príncipe de Gales; Servicio de Evaluación Ambiental, Región Metropolitana de Santiago, República de Chile: Santiago, Chile, 2017.
- Threlfall, C.G.; Mata, L.; Mackie, J.A.; Hahs, A.K.; Stork, N.E.; Williams, N.S.G.; Livesley, S.J. Increasing biodiversity in urban green spaces through simple vegetation interventions. J. Appl. Ecol. 2017, 54, 1874–1883. [Google Scholar] [CrossRef]
- Kong, L.; Lau, K.; Yuan, C.; Chen, Y.; Xu, Y.; Ren, C.; Ng, E. Regulation of outdoor thermal comfort by trees in Hong Kong. Sustain. Cities Soc. 2017, 31, 12–25. [Google Scholar] [CrossRef]
- Solano-López, D.; Mora-Delgado, J.; Duque, G. Árboles notables: Un aporte a la belleza escénica de la ciudad de Cali (Colombia). Agroforestería Neotropical. 2022, 12, 17–29. [Google Scholar]
- Sharma, S.; Hussain, S.; Kumar, P.; Singh, A.N. Urban trees’ potential for regulatory services in the urban environment: An exploration of carbon sequestration. Environ. Monit. Assess. 2024, 196, 504. [Google Scholar] [CrossRef]
- Giorgioni, M.; Quitadamo, L. Ornamental shrub capacity for absorption and accumulation of heavy metals from urban polluted soil. Acta Hortic. 2013, 990, 501–508. [Google Scholar] [CrossRef]
- Strashok, O.; Bidolakh, D.; Zemiańska, M. Ecosystem benefits of urban woody plants for sustainable green space planning: A case study from Wroclaw. Sci. Rep. 2025, 15, 10999. [Google Scholar] [CrossRef]
- Santilli, L.; Castro, S.A.; Figueroa, J.A.; Guerrero, N.; Ray, C.; Romero-Mieres, M.; Rojas, G.; Lavandero, N. Exotic species predominates in the urban woody flora of central Chile. Gayana Bot. 2018, 75, 568–588. [Google Scholar] [CrossRef]
- Lozano-Diéguez, A.M.L.; Teillier, S. Frecuencia y abundancia de especies leñosas utilizadas en espacios públicos de la ciudad de Curicó-Región del Maule Chile. Chloris Chil. 2014, 17, 2. Available online: http://www.chlorischile.cl (accessed on 6 November 2025).
- Alvarado Ojeda, A.; Baldini Urrutia, A.; Guajardo Becchi, F. Árboles Urbanos de Chile: Guía de Reconocimiento. Programa de Arborización: Un Chileno, un Árbol; Corporación Nacional Foresta: Santiago, Chile, 2012; 368p. [Google Scholar]
- Escobedo, F.; Nowak, D.; Wagner, J.; De la Maza, C.; Rodríguez, M.; Crane, D.; Hernández, J. The socio-economics and management of Santiago de Chile’s public urban forests. Urban For. Urban Green. 2006, 4, 105–114. [Google Scholar] [CrossRef]
- Hoffmann, A. El Árbol Urbano en Chile; Cuarta Edición Revisada; Ediciones Fundación Claudio Gay: Santiago, Chile, 2010; 253p. [Google Scholar]
- Link, F.; Valenzuela, F. La Estructura de la Densidad Socio–Residencial en el Área Metropolitana de Santiago; Documentos de Trabajo del IEUT; Instituto de Estudios Urbanos y Territoriales UC: Santiago, Chile, 2018; N°3. [Google Scholar] [CrossRef]
- Valenzuela, P. El habitar residencial de la clase media en el suburbio metropolitano: El caso de la ciudad de Santiago de Chile. In Proceedings of the III Simposio Internacional de Doctorandos en Desarrollo Urbano Sustentable en Latinoamérica y el Caribe, Santiago, Chile, 17, 24–31 March 2023. [Google Scholar]
- Grijalba, J.P. El Antejardín (Des)programado: Transformaciones y Negociaciones de un Recinto Difuso. Master’s Thesis, Universidad Católica de Chile, Santiago, Chile, 2019. [Google Scholar]
- Aparicio-Rengifo, R.; Figueroa-Pereira, E.A.; Ospina-Tascón, J.J. El antejardín en la ciudad: Una aproximación histórico-evolutiva. Ciudad Y Territ. Estud. Territ. 2024, 56, 1113–1132. [Google Scholar] [CrossRef]
- Faúndez, E.I. Actualización de la distribución de Boisea trivittata (Say, 1825) (Heteroptera: Rhopalidae) en Chile. Rev. Chil. De Entomol. 2023, 49, 495–498. [Google Scholar]
- De Carvalho, C.A.; Raposo, M.; Pinto-Gomes, C.; Matos, R. Native or exotic: A bibliographical review of the debate on ecological science methodologies: Valuable lessons for urban green design. Land 2022, 11, 1201. [Google Scholar] [CrossRef]
- Leotta, L.; Toscano, S.; Ferrante, A.; Romano, D.; Francini, A. New strategies to increase the abiotic stress tolerance in woody ornamental plants in Mediterranean climate. Plants 2023, 12, 2022. [Google Scholar] [CrossRef]
- Guo, P.; Yu, F.; Ren, Y.; Liu, D.; Li, J.; Ouyang, Z.; Wang, X. Response of ruderal diversity to an urban environment: Implications for conservation and management. Int. J. Environ. Res. Public Health 2018, 15, 2832. [Google Scholar] [CrossRef]
- Garreaud, R.D.; Boisier, J.P.; Rondanelli, R.; Montecinos, A.; Sepúlveda, H.H.; Veloso-Águila, D. The central Chile megadrought (2010–2018): A climate dynamics perspective. Int. J. Climatol. 2019, 40, 421–439. [Google Scholar] [CrossRef]
- Figueroa, J.A.; Chandía-Jaure, R.; Cataldo-Cunich, A.; Cárdenas Muñoz, S.; Fernández Cano, F. Native Plants Can Strengthen Urban Green Infrastructure: An Experimental Case Study in the Mediterranean-Type Region of Central Chile. Plants 2025, 14, 3025. [Google Scholar] [CrossRef]
- INE. Resultados Nacionales Censo 2024. 2025. Available online: https://censo2024.ine.gob.cl/wp-content/uploads/2025/12/sintesis_resultados_censo2024.pdf (accessed on 1 October 2025).
- Peel, M.C.; Finlayson, B.L.; McMahon, T.A. Updated world map of the Köppen-Geiger climate classification. Hydrol. Earth Syst. Sci. 2007, 11, 1633–1644. [Google Scholar] [CrossRef]
- Dirección Meteorológica de Chile. Reporte Anual de la Evolución del Clima en Chile; Oficina Cambio Climático; Dirección General de Aeronáutica Civil: Santiago, Chile, 2025; 70p. [Google Scholar]
- De la Maza, C.L.; Hernández, J.; Bown, H.; Rodríguez, M.; Escobedo, F. Vegetation diversity in the Santiago de Chile urban ecosystem. Arboric. J. 2002, 26, 347–357. [Google Scholar] [CrossRef]
- Figueroa, J.A.; Teillier, S.; Guerrero-Leiva, N.; Ray-Bobadilla, C.; Rivano, S.; Saavedra, D.; Castro, S.A. Vascular flora in public spaces of Santiago, Chile. Gayana Botánica 2016, 73, 85–103. [Google Scholar] [CrossRef]
- Villaseñor, N.R.; Escobar, M.A.H. Linking Socioeconomics to Biodiversity in the City: The Case of a Migrant Keystone Bird Species. Front. Ecol. Evol. 2022, 10, 850065. [Google Scholar] [CrossRef]
- Gfk Chile. Estilo de Vida de los Nuevos Grupos Socioeconómicos de Chile; Gfk Chile: Santiago, Chile, 2019. [Google Scholar]
- Baldini, A.; Alvarado, A.; Guajardo, F. Programa de arborización: Un chileno, un árbol. In Árboles Urbanos de Chile: Guía de Reconocimiento, 1st ed.; Colegio de Ingenieros Forestales de Chile: Santiago, Chile, 2012. [Google Scholar]
- Rodriguez, R.; Marticorena, C.; Alarcon, D.; Baeza, C.; Cavieres, L.A.; Finot, V.L.; Fuentes, N.; Kiessling, A.; Mihoc, M.; Pauchard, A. Catalogue of the vascular plants of Chile. Gayana Bot. 2018, 75, 1–430. [Google Scholar] [CrossRef]
- WFO. World Flora Online. Published on the Internet. Available online: https://www.worldfloraonline.org (accessed on 15 December 2022).
- R Core Team. R: A Language and Environment for Statistical Computing; R Core Team: Vienna, Austria, 2021. [Google Scholar]
- Bates, D.; Mächler, M.; Bolker, B.M.; Walker, S.C. Fitting linear mixed-effects models using lme4. J. Stat. Softw. 2015, 67, 1–48. [Google Scholar] [CrossRef]
- Fox, J.; Weisberg, S. An R Companion to Applied Regression, 3rd ed.; SAGE Publications: Thousand Oaks, CA, USA, 2019. [Google Scholar]
- Oksanen, J.; Blanchet, F.G.; Friendly, M.; Kindt, R.; Legendre, P.; McGlinn, D.; Minchin, P.R.; O’Hara, R.B.; Simpson, G.L.; Solymos, P.; et al. Vegan: Community Ecology Package. R Package Version 2.5-7. 2020. Available online: http://CRAN.R-project.org/package=vegan (accessed on 1 March 2021).
- Clarke, K.R. Non-parametric multivariate analyses of changes in community structure. Aust. J. Ecol. 1993, 18, 117–143. [Google Scholar] [CrossRef]




| Total | Socioeconomic Level | |||
|---|---|---|---|---|
| Low | Medium | High | ||
| No. of plots | 120 | 41 | 43 | 36 |
| No. of plots with woody plants | 118 | 40 | 43 | 35 |
| No. of woody species | 108 | 48 | 67 | 60 |
| No. native of woody species | 14 (13%) | 5 | 7 | 7 |
| No. introduced of woody species | 94 (87%) | 43 | 60 | 53 |
| No. of woody plant individuals | 557 | 160 | 196 | 201 |
| No. of native woody plant individuals | 54 (9.7%) | 19 | 17 | 18 |
| No. of introduced woody plant individuals | 503 (90.3%) | 183 | 179 | 141 |
| No. of woody plant individuals/plot (mean ± SE) | 4.64 ± 0.27 | 3.9 ± 0.39 | 4.56 ± 0.44 | 5.58 ± 0.5 |
| Response Variable | Coefficient | Std. Error | z Value | p-Value | ||
|---|---|---|---|---|---|---|
| Species richness | Intercept | 1.33 | 0.085 | 15.50 | <0.001 | *** |
| Socioeconomic-Medium | −0.12 | 0.119 | −1.01 | 0.31 | ||
| Socioeconomic-Low | −0.32 | 0.128 | −2.54 | 0.01 | * | |
| Species richness of introduced woody plants | Intercept | 1.23 | 0.090 | 13.62 | <0.001 | *** |
| Socioeconomic-Medium | −0.10 | 0.125 | −0.79 | 0.43 | ||
| Socioeconomic-Low | −0.35 | 0.135 | −2.57 | 0.01 | * | |
| Species richness of native woody plants | Intercept | −1.02 | 0.28 | −3.67 | <0.001 | *** |
| Socioeconomic-Medium | −0.34 | 0.41 | −0.84 | 0.40 | ||
| Socioeconomic-Low | −0.13 | 0.39 | −0.33 | 0.74 | ||
| Total abundance | Intercept | 1.65 | 0.10 | 16.882 | <0.001 | *** |
| Socioeconomic-Medium | −0.20 | 0.13 | −1.529 | 0.13 | ||
| Socioeconomic-Low | −0.36 | 0.14 | −2.584 | 0.01 | ** | |
| Abundance of introduced woody plants | Intercept | 1.55 | 0.10 | 15.03 | <0.001 | *** |
| Socioeconomic-Medium | −0.20 | 0.14 | −1.42 | 0.16 | ||
| Socioeconomic-Low | −0.39 | 0.15 | −2.67 | 0.01 | ** | |
| Abundance of native woody plants | Intercept | −1.55 | 0.45 | −3.42 | <0.001 | *** |
| Socioeconomic-Medium | −0.6 | 0.46 | −0.86 | 0.39 | ||
| Socioeconomic-Low | −0.13 | 0.13 | −0.26 | 0.80 |
| Response Variables | Coefficient | Std. Error | t-Value | p-Value | ||
|---|---|---|---|---|---|---|
| Crown area | Intercept | 6.71 | 0.97 | 6.910 | <0.001 | *** |
| Socioeconomic-Medium | −3.05 | 1.36 | −2.249 | 0.03 | * | |
| Socioeconomic-Low | −3.04 | 1.42 | −2.150 | 0.03 | * | |
| Height (log-normal) | Intercept | 6.04 | 0.05 | 114.344 | <0.001 | *** |
| Socioeconomic-Medium | −0.29 | 0.07 | −3.934 | <0.001 | *** | |
| Socioeconomic-Low | −0.19 | 0.08 | −2.479 | 0.015 | * | |
| Species | Origin | Average Abundance in Socioeconomic Groups | Average Dissimilarities (%) | |||||||
|---|---|---|---|---|---|---|---|---|---|---|
| High | Medium | Low | High vs. Low | High vs. Medium | Low vs. Medium | |||||
| Liquidambar styraciflua | Introduced | 0.79 | 0.20 | 0.03 | 0.11 | * | 0.12 | *** | 0.04 | |
| Robinia pseudoacacia | Introduced | 0.46 | 0.23 | 0.79 | 0.14 | * | 0.09 | 0.13 | ||
| Platanus x hispanica | Introduced | 0.42 | 0.26 | 0.03 | 0.07 | 0.09 | * | 0.05 | ||
| Pittosporum tobira | Introduced | 0.30 | 0.11 | 0.03 | 0.04 | 0.04 | * | 0.01 | ||
| Ligustrum lucidum | Introduced | 0.21 | 0.51 | 0.38 | 0.06 | 0.08 | 0.09 | |||
| Fraxinus excelsior | Introduced | 0.18 | 0.06 | 0.18 | 0.05 | 0.04 | 0.04 | |||
| Melia azedarach | Introduced | 0.18 | 0.20 | 0.15 | 0.04 | 0.04 | 0.05 | |||
| Quillaja saponaria | Native | 0.18 | 0.29 | 0.12 | 0.04 | 0.06 | 0.06 | |||
| Ligustrum sinense | Introduced | 0.18 | 0.17 | 0.09 | 0.03 | 0.04 | 0.03 | |||
| Acer negundo | Introduced | 0.12 | 0.23 | 0.44 | 0.07 | 0.05 | 0.08 | . | ||
| Schinus areira | Native | 0.12 | 0.03 | 0.32 | 0.05 | . | 0.02 | 0.05 | ||
| Jacaranda mimosifolia | Introduced | 0.12 | 0.11 | 0.09 | 0.03 | 0.03 | 0.02 | |||
| Prunus cerasifera f. nigra | Introduced | 0.09 | 0.14 | 0.12 | 0.03 | 0.03 | 0.04 | |||
| Bougainvillea sp. | Introduced | 0.09 | 0.11 | 0.03 | 0.02 | 0.03 | 0.02 | |||
| Punica granatum | Introduced | 0.09 | 0.09 | 0.03 | 0.02 | 0.03 | 0.02 | |||
| Pyracantha coccinea | Introduced | 0.06 | 0.26 | 0.21 | 0.03 | 0.04 | 0.05 | |||
| Prunus cerasifera | Introduced | 0.03 | 0.20 | 0.15 | 0.03 | 0.02 | 0.04 | * | ||
| Prunus sp. | Introduced | 0.03 | 0.09 | 0.06 | 0.01 | 0.02 | 0.02 | |||
| Citrus limon | Introduced | 0.00 | 0.20 | 0.12 | 0.03 | 0.04 | 0.05 | * | ||
| Ailanthus altissima | Introduced | 0.00 | 0.23 | 0.09 | 0.01 | 0.03 | 0.04 | * | ||
Disclaimer/Publisher’s Note: The statements, opinions and data contained in all publications are solely those of the individual author(s) and contributor(s) and not of MDPI and/or the editor(s). MDPI and/or the editor(s) disclaim responsibility for any injury to people or property resulting from any ideas, methods, instructions or products referred to in the content. |
© 2025 by the authors. Licensee MDPI, Basel, Switzerland. This article is an open access article distributed under the terms and conditions of the Creative Commons Attribution (CC BY) license (https://creativecommons.org/licenses/by/4.0/).
Share and Cite
Uribe, S.V.; Valladares-Moreno, Á.; Escobar, M.A.H.; Villaseñor, N.R. Socioeconomic Disparities in the Diversity, Abundance, Structure and Composition of Woody Plants in Residential Streetscapes: Insights for Transitioning to a More Environmentally Just City. Plants 2025, 14, 3865. https://doi.org/10.3390/plants14243865
Uribe SV, Valladares-Moreno Á, Escobar MAH, Villaseñor NR. Socioeconomic Disparities in the Diversity, Abundance, Structure and Composition of Woody Plants in Residential Streetscapes: Insights for Transitioning to a More Environmentally Just City. Plants. 2025; 14(24):3865. https://doi.org/10.3390/plants14243865
Chicago/Turabian StyleUribe, Sandra V., Álvaro Valladares-Moreno, Martín A. H. Escobar, and Nélida R. Villaseñor. 2025. "Socioeconomic Disparities in the Diversity, Abundance, Structure and Composition of Woody Plants in Residential Streetscapes: Insights for Transitioning to a More Environmentally Just City" Plants 14, no. 24: 3865. https://doi.org/10.3390/plants14243865
APA StyleUribe, S. V., Valladares-Moreno, Á., Escobar, M. A. H., & Villaseñor, N. R. (2025). Socioeconomic Disparities in the Diversity, Abundance, Structure and Composition of Woody Plants in Residential Streetscapes: Insights for Transitioning to a More Environmentally Just City. Plants, 14(24), 3865. https://doi.org/10.3390/plants14243865

