Quinolizidine Alkaloid Composition of White Lupin Landraces and Breeding Lines, and Near-Infrared Spectroscopy-Based Discrimination of Low-Alkaloid Material
Abstract
1. Introduction
2. Results
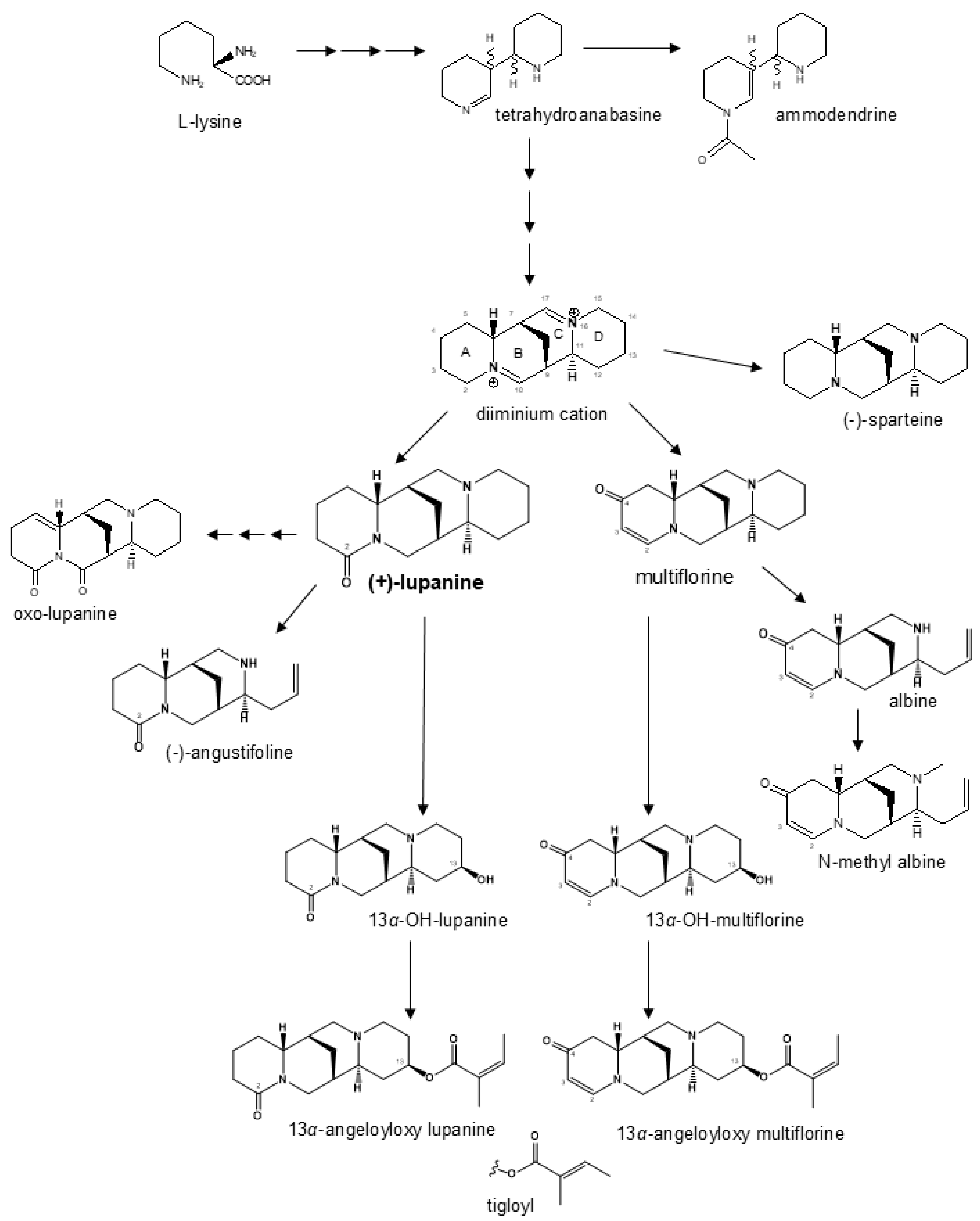
2.1. Variation for Quinolizidine Alkaloid Content
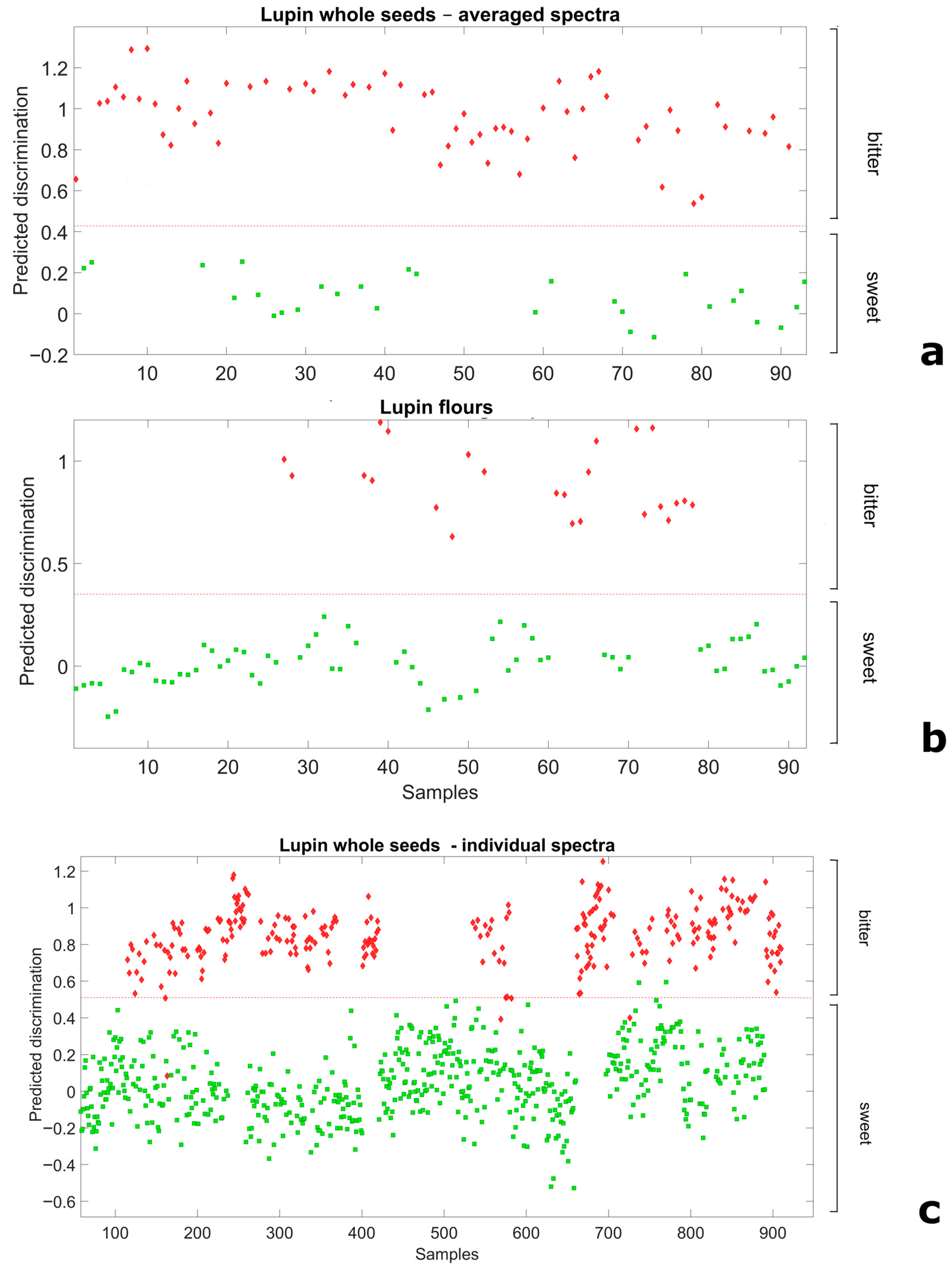
2.2. NIRS-Based Predictions
3. Discussion
4. Materials and Methods
4.1. Plant Material
4.2. NIRS-Based Evaluation of Quinolizidine Alkaloids
4.3. GC/FID and GC/MS Analysis of Quinolizidine Alkaloids
4.4. Statistical Analyses
Supplementary Materials
Author Contributions
Funding
Data Availability Statement
Acknowledgments
Conflicts of Interest
Abbreviations
| GC/FID | Gas Chromatography with Flame Ionization Detector |
| GC/MS | Gas chromatography–mass spectrometry |
| LV | Latent variables |
| NIRS | Near-Infrared Spectroscopy |
| RPD | Ratio of standard error of Prediction to standard Deviation |
References
- Kurlovich, B.S. The history of lupin domestication. In Lupins: Geography, Classification, Genetic Resources and Breeding; Kurlovich, B.S., Ed.; Intan: St. Petersburg, Russia, 2002; pp. 147–164. [Google Scholar]
- Duranti, M.; Consonni, A.; Magni, C.; Sessa, F.; Scarafoni, A. The major proteins of lupin seed: Characterisation and molecular properties for use as functional and nutraceutical ingredients. Trends Food Sci. Technol. 2008, 19, 624–633. [Google Scholar] [CrossRef]
- Boukid, F.; Pasqualone, A. Lupine (Lupinus spp.) proteins: Characteristics, safety and food applications. Eur. Food Res. Technol. 2022, 248, 345–356. [Google Scholar] [CrossRef]
- Prusinski, J. White lupin (Lupinus albus L.)-nutritional and health values in human nutrition—A review. Czech J. Food Sci. 2017, 35, 95–105. [Google Scholar] [CrossRef]
- Pereira, A.; Ramos, F.; Sanches Silva, A. Lupin (Lupinus albus L.) seeds: Balancing the good and the bad and addressing future challenges. Molecules 2022, 27, 8557. [Google Scholar] [CrossRef]
- Boschin, G.; D’Agostina, A.; Annicchiarico, P.; Arnoldi, A. The fatty acid composition of the oil from Lupinus albus cv. Luxe as affected by environmental and agricultural factors. Eur. Food Res. Technol. 2007, 225, 769–776. [Google Scholar] [CrossRef]
- Abraham, E.M.; Ganopoulos, I.; Madesis, P.; Mavromatis, A.; Mylona, P.; Nianiou-Obeidat, I.; Parissi, Z.; Polidoros, A.; Tani, E.; Vlachostergios, D. The use of lupin as a source of protein in animal feeding: Genomic tools and breeding approaches. Int. J. Mol. Sci. 2019, 20, 851. [Google Scholar] [CrossRef]
- Annicchiarico, P. Adaptation of cool-season grain legume species across climatically-contrasting environments of Southern Europe. Agron. J. 2008, 100, 1647–1654. [Google Scholar] [CrossRef]
- Gresta, F.; Wink, M.; Prins, U.; Abberton, M.; Capraro, J.; Scarafoni, A.; Hill, G. Lupins in European cropping systems. In Legumes in Cropping Systems; Murphy-Bokern, D., Stoddard, F., Watson, C., Eds.; CABI: Wallingford, UK, 2017; pp. 88–108. [Google Scholar]
- Noffsinger, S.L.; van Santen, E. Evaluation of Lupinus albus L. Germplasm for the Southeastern USA. Crop Sci. 2005, 45, 1941–1950. [Google Scholar] [CrossRef]
- Annicchiarico, P.; Harzic, N.; Carroni, A.M. Adaptation, diversity, and exploitation of global white lupin (Lupinus albus L.) landrace genetic resources. Field Crop Res. 2010, 119, 114–124. [Google Scholar] [CrossRef]
- Annicchiarico, P.; Romani, M.; Pecetti, L. White lupin (Lupinus albus) variation for adaptation to severe drought stress. Plant Breed. 2018, 137, 782–789. [Google Scholar] [CrossRef]
- Huyghe, C.; Papineau, J. Winter development of autumn sown white lupin: Agronomic and breeding consequences. Agronomie 1990, 10, 709–716. [Google Scholar] [CrossRef]
- Franguelli, N.; Cavalli, D.; Notario, T.; Pecetti, L.; Annicchiarico, P. Frost tolerance improvement in pea and white lupin by a high-throughput phenotyping platform. Front. Plant Sci. 2024, 15, 1490577. [Google Scholar] [CrossRef]
- Adhikari, K.N.; Buirchell, B.J.; Thomas, G.J.; Sweetingham, M.W.; Yang, H. Identification of anthracnose resistance in Lupinus albus L. and its transfer from landraces to modern cultivars. Crop Pasture Sci. 2009, 60, 472–479. [Google Scholar] [CrossRef]
- Alkemade, J.A.; Nazzicari, N.; Messmer, M.M.; Annicchiarico, P.; Ferrari, B.; Voegele, R.T.; Finckh, M.R.; Arncken, C.; Hohmann, P. Genome-wide association study reveals white lupin candidate gene involved in anthracnose resistance. Theor. Appl. Genet. 2022, 135, 1011–1024. [Google Scholar] [CrossRef] [PubMed]
- Kerley, S.J.; Norgaard, C.; Leach, J.E.; Christiansen, J.L.; Huyghe, C.; Römer, P. The development of potential screens based on shoot calcium and iron concentrations for the evaluation of tolerance in egyptian genotypes of white lupin (Lupinus albus L.) to limed soils. Ann. Bot-Lond. 2002, 89, 341–349. [Google Scholar] [CrossRef]
- Annicchiarico, P.; Thami Alami, I. Enhancing white lupin (Lupinus albus L.) adaptation to calcareous soils through selection of lime-tolerant plant germplasm and Bradyrhizobium strains. Plant Soil 2012, 350, 131–144. [Google Scholar] [CrossRef]
- Namdar, D.; Mulder, P.P.J.; Ben-Simchon, E.; Hacham, Y.; Basheer, L.; Cohen, O.; Sternberg, M.; Shelef, O. New analytical approach to quinolizidine alkaloids and their assumed biosynthesis pathways in lupin seeds. Toxins 2024, 16, 163. [Google Scholar] [CrossRef] [PubMed]
- Wink, M. Quinolizidine alkaloids. In Methods in Plant Biochemistry; Waterman, P., Ed.; Academic Press: London, UK, 1993; pp. 197–239. [Google Scholar]
- Mancinotti, D.; Frick, K.M.; Geu-Flores, F. Biosynthesis of quinolizidine alkaloids in lupins: Mechanistic considerations and prospects for pathway elucidation. Nat. Prod. Rep. 2022, 39, 1423–1437. [Google Scholar] [CrossRef] [PubMed]
- Wink, M. Quinolizidine and pyrrolizidine alkaloid chemical ecology—A mini-review on their similarities and differences. J. Chem. Ecol. 2019, 45, 109–115. [Google Scholar] [CrossRef] [PubMed]
- Frick, K.M.; Kamphuis, L.G.; Siddique, K.H.M.; Singh, K.B.; Foley, R.C. Quinolizidine alkaloid biosynthesis in lupins and prospects for grain quality improvement. Front. Plant Sci. 2017, 8, 87. [Google Scholar] [CrossRef] [PubMed]
- ACNFP Report on Seeds from Narrow Leafed Lupin; MAFF Publications: London, UK, 1996.
- ANZFA Lupin alkaloids in food. In A Toxicological Review and Risk Assessment; Australia New Zealand Food Authority: Canberra, Australia, 2001.
- FIRAG (Ed.) Risk Assessment of Alkaloid Occurrence in Lupin Seed; FIRAG: Berlin, Germany, 2017. [Google Scholar]
- Jacob, I.; Feuerstein, U.; Heinz, M.; Schott, M.; Urbatzka, P. Evaluation of new breeding lines of white lupin with improved resistance to anthracnose. Euphytica 2017, 213, 236. [Google Scholar] [CrossRef]
- Muzquiz, M.; Cuadrado, C.; Ayet, G.; de la Cuadra, C.; Burbano, C.; Osagie, A. Variation of alkaloid components of lupin seeds in 49 genotypes of Lupinus albus from different countries and locations. J. Agric. Food Chem. 1994, 42, 1447–1450. [Google Scholar] [CrossRef]
- Boschin, G.; Annicchiarico, P.; Resta, D.; D’Agostina, A.; Arnoldi, A. Quinolizidine alkaloids in seeds of lupin genotypes of different origins. J. Agric. Food Chem. 2008, 56, 3657–3663. [Google Scholar] [CrossRef]
- Harrison, J.E.M.; Williams, W. Genetical control of alkaloids in Lupinus albus. Euphytica 1982, 31, 357–364. [Google Scholar] [CrossRef]
- Osorio, C.E.; Till, B.J. A bitter-sweet story: Unraveling the genes involved in quinolizidine alkaloid synthesis in Lupinus albus. Front. Plant Sci. 2022, 12, 795091. [Google Scholar] [CrossRef]
- Mancinotti, D.; Czepiel, K.; Taylor, J.L.; Golshadi Galehshahi, H.; Møller, L.A.; Jensen, M.K.; Motawia, M.S.; Hufnagel, B.; Soriano, A.; Yeheyis, L.; et al. The causal mutation leading to sweetness in modern white lupin cultivars. Sci. Adv. 2023, 9, eadg8866. [Google Scholar] [CrossRef]
- Święcicki, W.; Górny, A.; Barzyk, P.; Gawłowska, M.; Kaczmarek, Z. Genetic analysis of alkaloid accumulation in seeds of white lupin (Lupinus albus L.). Genet.-Belgrade 2019, 51, 961–973. [Google Scholar] [CrossRef]
- Berger, J.D.; Buirchell, B.J.; Luckett, D.J.; Nelson, M.N. Domestication bottlenecks limit genetic diversity and constrain adaptation in narrow-leafed lupin (Lupinus angustifolius L.). Theor. Appl. Genet. 2012, 124, 637–652. [Google Scholar] [CrossRef]
- Lin, R.; Renshaw, D.; Luckett, D.; Clements, J.; Yan, G.; Adhikari, K.; Buirchell, B.; Sweetingham, M.; Yang, H. Development of a sequence-specific PCR marker linked to the gene “pauper” conferring low-alkaloids in white lupin (Lupinus albus L.) for marker assisted selection. Mol. Breed. 2009, 23, 153–161. [Google Scholar] [CrossRef]
- Książkiewicz, M.; Nazzicari, N.; Yang, H.A.; Nelson, M.N.; Renshaw, D.; Rychel, S.; Ferrari, B.; Carelli, M.; Tomaszewska, M.; Stawiński, S.; et al. A high-density consensus linkage map of white lupin highlights synteny with narrow-leafed lupin and provides markers tagging key agronomic traits. Sci. Rep. 2017, 7, 15335. [Google Scholar] [CrossRef]
- Rychel, S.; Książkiewicz, M. Development of gene-based molecular markers tagging low alkaloid pauper locus in white lupin (Lupinus albus L.). J. Appl. Genet. 2019, 60, 269–281. [Google Scholar] [CrossRef]
- Von Baer, E.; Perez, I. Quality standard propositions for commercial grain of white lupin (Lupinus albus). In Proceedings of the 6th International Lupin Conference, Temuco, Chile, 25–30 November 1991; International Lupin Association: Lima, Peru; pp. 158–167. [Google Scholar]
- Wink, M.; Hartmann, T. Sites of enzymatic synthesis of quinolizidine alkaloids and their accumulation in Lupinus polyphyllus. Z. Pflanzenphysiol. 1981, 102, 337–344. [Google Scholar] [CrossRef]
- Font, R.; del Río-Celestino, M.; de Haro-Bailón, A. The use of near-infrared spectroscopy (NIRS) in the study of seed quality components in plant breeding programs. Ind. Crop. Prod. 2006, 24, 307–313. [Google Scholar] [CrossRef]
- Lippolis, A.; Polo, P.V.; de Sousa, G.; Dechesne, A.; Pouvreau, L.; Trindade, L.M. High-throughput seed quality analysis in faba bean: Leveraging Near-InfraRed spectroscopy (NIRS) data and statistical methods. Food Chem. X 2024, 23, 101583. [Google Scholar] [CrossRef] [PubMed]
- Johnson, J.B.; Walsh, K.; Naiker, M. Application of infrared spectroscopy for the prediction of nutritional content and quality assessment of faba bean (Vicia faba L.). Legume Sci. 2020, 2, e40. [Google Scholar] [CrossRef]
- Krähmer, A.; Gudi, G.; Weiher, N.; Gierus, M.; Schütze, W.; Schulz, H. Characterization and quantification of secondary metabolite profiles in leaves of red and white clover species by NIR and ATR-IR spectroscopy. Vib. Spectrosc. 2013, 68, 96–103. [Google Scholar] [CrossRef]
- Ranjan, P.S.; Racheal, J.; Arti, B.; Kuldeep, T.; Kavita, G.; Pandhari, W.D.; Prakash, M.G.; Sanjeev, K.; Chand, R.J.; Amritbir, R.; et al. Development and optimization of NIRS prediction models for simultaneous multi-trait assessment in diverse cowpea germplasm. Front. Nutr. 2022, 9, 1001551. [Google Scholar] [CrossRef] [PubMed]
- Carbas, B.; Nelson Machado, N.; David Oppolzer, D.; Luis Ferreira, L.; Carla Brites, C.; Eduardo, A.S.; Rosa, E.A.S.; Barros, A.I.R.N.A. Comparison of near-infrared (NIR) and mid-infrared (MIR) spectroscopy for the determination of nutritional and antinutritional parameters in common beans. Food Chem. 2020, 306, 125509. [Google Scholar] [CrossRef]
- Cozzolino, D. Near infrared spectroscopy in natural products analysis. Planta Med. 2009, 75, 746–756. [Google Scholar] [CrossRef]
- Clark, D.H.; Ralphs, M.H.; Lamb, R.C. Total alkaloid determinations in larkspur and lupine with near infrared reflectance spectroscopy. Agron. J. 1987, 79, 481–485. [Google Scholar] [CrossRef]
- Xue, J.T.; Liu, Y.F.; Ye, L.M.; Li, C.Y.; Yang, Q.W.; Wang, W.Y.; Jing, Y.; Zhang, M.X.; Li, P. Rapid and simultaneous analysis of five alkaloids in four parts of Coptidis Rhizoma by near-infrared spectroscopy. Spectrochim Acta A Mol. Biomol. Spectrosc. 2018, 188, 611–618. [Google Scholar] [CrossRef]
- Schwertfirm, G.; Schneider, M.; Haase, F.; Riedel, C.; Lazzaro, M.; Rege-Wehling, B.; Schweizer, G. Genome-wide association study revealed significant SNPs for anthracnose resistance, seed alkaloids and protein content in white lupin. Theor. Appl. Genet. 2024, 137, 155. [Google Scholar] [CrossRef]
- Zeng, J.; Guo, Y.; Han, Y.; Li, Z.; Yang, Z.; Chai, Q.; Wang, W.; Zhang, Y.; Fu, C. A review of the discriminant analysis methods for for food quality based on near-infrared spectroscopy and pattern recognition. Molecules 2021, 26, 749. [Google Scholar] [CrossRef]
- Arganosa, G.C.; Warkentin, T.D.; Racz, V.J.; Blade, S.; Phillips, C.; Hsu, H. Prediction of crude protein content in field peas using near infrared reflectance spectroscopy. Can. J. Plant Sci. 2006, 86, 157–159. [Google Scholar] [CrossRef]
- Hacisalihoglu, G.; Freeman, J.; Armstrong, P.R.; Seabourn, B.W.; Porter, L.D.; Settles, A.M.; Gustin, J.L. Protein, weight, and oil prediction by single-seed near-infrared spectroscopy for selection of seed quality and yield traits in pea (Pisum sativum). Sci. Food Agric. 2020, 100, 3488–3497. [Google Scholar] [CrossRef]
- Pecetti, L.; Annicchiarico, P.; Crosta, M.; Notario, T.; Ferrari, B.; Nazzicari, N. White lupin drought tolerance: Genetic variation, trait genetic architecture, and genome-enabled prediction. Int. J. Mol. Sci. 2023, 24, 2351. [Google Scholar] [CrossRef] [PubMed]
- Williams, P. The RPD Statistic: A Tutorial Note. NIR News 2014, 25, 22–26. [Google Scholar] [CrossRef]
- Annicchiarico, P.; Manunza, P.; Arnoldi, A.; Boschin, G. Quality of Lupinus albus L. (white lupin) seed: Extent of genotypic and environmental effects. J. Agric. Food Chem. 2014, 62, 6539–6545. [Google Scholar] [CrossRef]
- Kroc, M.; Rybiński, W.; Wilczura, P.; Kamel, K.; Kaczmarek, Z.; Barzyk, P.; Święcicki, W. Quantitative and qualitative analysis of alkaloids composition in the seeds of a white lupin (Lupinus albus L.) collection. Genet. Resour. Crop Evol. 2017, 64, 1853–1860. [Google Scholar] [CrossRef]
- Wink, M.; Meißner, C.; Witte, L. Patterns of quinolizidine alkaloids in 56 species of the genus Lupinus. Phytochemistry 1995, 38, 139–153. [Google Scholar] [CrossRef]
- Petterson, D.S. Composition and food uses. In Lupins as Crop Plants: Biology, Production and Utilization; Gladstones, J.S., Atkins, C.A., Hamblin, J., Eds.; CAB International: New York, NY, USA, 1998; pp. 353–384. [Google Scholar]
- Rodés-Bachs, C.; Van der Fels-Klerx, H.J. Impact of environmental factors on the presence of quinolizidine alkaloids in lupins: A review. Food Addit. Contam. A 2023, 40, 757–769. [Google Scholar] [CrossRef] [PubMed]
- Annicchiarico, P.; Osorio, C.; Nazzicari, N.; Ferrari, B.; Barzaghi, S.; Biazzi, E.; Tava, A.; Pecetti, L.; Notario, T.; Romani, M.; et al. Genetic variation and genome-enabled selection of white lupin for key seed quality traits. BMC Genom. 2025, 26, 922. [Google Scholar] [CrossRef]
- Annicchiarico, P.; Nazzicari, N.; Ferrari, B.; Harzic, N.; Carroni, A.M.; Romani, M.; Pecetti, L. Genomic prediction of grain yield in contrasting environments for white lupin genetic resources. Mol Breed. 2019, 39, 142. [Google Scholar] [CrossRef]
- Annicchiarico, P.; de Buck, A.; Vlachostergios, D.N.; Heupink, D.; Koskosidis, A.; Nazzicari, N.; Crosta, M. White lupin adaptation to environments with calcareous soils: Phenotypic variation and genome-enabled prediction. Plants 2023, 12, 1139. [Google Scholar] [CrossRef]
- Patyi, A.; Kamp, M.; Arncken, C.; Biazzi, E.; Książkiewicz, M.; Messmer, M.M.; Schneider, M.; Tava, A.; Lazzaro, M. Identification of a new QTL associated to reduced quinolizidine alkaloid content in white lupin (Lupinus albus L.) and development of ultra-low alkaloid recombinants by stacking with the pauper allele. BMC Plant Biol. 2025, 25, 945. [Google Scholar] [CrossRef] [PubMed]
- NIST/EPA/NIH, Mass Spectral Database, version 2.1; Perkin-Elmer Instrument: Milan, Italy, 2000.
- SAS Institute. SAS/STAT 9.2 User’s Guide; SAS Institute: Cary, NC, USA, 2008. [Google Scholar]
- Filzmoser, P.; Liebmann, B.; Varmuza, K. Repeated double cross validation. J. Chemom. 2009, 23, 160–171. [Google Scholar] [CrossRef]




| Broadly Sweet-Seed Lines | Bitter-Seed Landrace Accessions | |||||
|---|---|---|---|---|---|---|
| Variable | Mean Value | Mean Proportion (%) | Range Values | Mean Value | Mean Proportion (%) | Range Values |
| Total QA content | 338.3 | − | 94.9–990.4 | 25,613.2 | − | 14,041.2–37,321.4 |
| Lupanine | 208.1 | 61.6 | 38.5–651.3 | 20,855.7 | 81.4 | 11,326.4–32,297.3 |
| 13α-hydroxylupanine | 32.5 | 9.6 | 0.0–139.1 | 418.6 | 1.6 | 57.0–1280.5 |
| 13α-angeloyloxylupanine | 28.5 | 8.4 | 0.0–126.6 | 153.9 | 0.6 | 51.4–496.2 |
| Angustifoline | 12.2 | 3.6 | 1.2–45.9 | 369.2 | 1.4 | 106.4–654.9 |
| N-methylalbine | 12.0 | 3.6 | 1.0–62.5 | 338.8 | 1.3 | 50.0–1601.1 |
| α-isolupanine | 11.3 | 3.3 | 2.8–29.2 | 145.8 | 0.6 | 66.8–264.6 |
| Ammodendrine | 11.2 | 3.3 | 3.0–27.5 | 120.0 | 0.5 | 46.4–350.2 |
| 13α-tigloyloxylupanine | 8.7 | 2.6 | 0.0–28.6 | 18.6 | 0.1 | 3.4–50.0 |
| Multiflorine | 5.1 | 1.5 | 1.0–29.5 | 2377.2 | 9.3 | 218.2–5011.8 |
| Tetrahydrorhombifoline | 4.7 | 1.4 | 1.0–17.3 | 195.5 | 0.8 | 35.6–449.6 |
| 17-oxolupanine | 2.1 | 0.6 | 0.0–13.4 | 143.2 | 0.6 | 32.4–582.4 |
| 13-hydroxymultiflorine | 1.2 | 0.4 | 0.0–7.6 | 24.1 | 0.1 | 7.1–50.1 |
| Albine | 0.8 | 0.2 | 0.0–5.3 | 452.2 | 1.8 | 101.3–1206.6 |
| Germplasm Pool | Number | Mean a | Range |
|---|---|---|---|
| Spain | 4 | 32,701.5 a | 31,056.8–34,502.1 |
| Greece | 4 | 32,078.4 a | 25,588.9–37,321.4 |
| Canary Islands | 4 | 30,260.1 a | 27,832.0–32,057.9 |
| Azores | 4 | 27,285.2 | 23,903.7–29,555.1 |
| Portugal | 4 | 26,110.6 | 20,686.6–30,291.3 |
| Maghreb | 4 | 25,680.4 | 22,024.5–27,425.5 |
| Egypt | 2 | 25,310.4 b | 22,663.9–27,956.8 |
| Turkey | 4 | 24,280.8 b | 20,616.7–30,361.6 |
| East Africa | 3 | 22,682.9 b | 18,007.9–27,461.6 |
| Italy | 8 | 20,341.5 b | 14,041.2–27,909.4 |
| Near East | 4 | 19,401.1 b | 15,776.9–22,149.3 |
| LSD (p < 0.05) | − | 5453.8 | − |
| Material | Samples | LV | SEP | R2 | RPD |
|---|---|---|---|---|---|
| Broadly sweet lupins | Whole seeds | 1 | 179.6 mg/kg | 0.038 | 1.02 |
| Broadly sweet lupins | Flours | 2 | 164.1 mg/kg | 0.088 | 1.05 |
| Bitter lupins | Whole seeds | 6 | 5598.8 mg/kg | 0.293 | 1.19 |
| Bitter lupins | Flours | 3 | 4122.9 mg/kg | 0.467 | 1.37 |
| Broadly sweet-seed + bitter lupins | Whole seeds | 6 | 0.260 Log(mg/kg) | 0.889 | 3.00 |
| Broadly sweet-seed + bitter lupins | Flours | 4 | 0.209 Log(mg/kg) | 0.932 | 3.84 |
Disclaimer/Publisher’s Note: The statements, opinions and data contained in all publications are solely those of the individual author(s) and contributor(s) and not of MDPI and/or the editor(s). MDPI and/or the editor(s) disclaim responsibility for any injury to people or property resulting from any ideas, methods, instructions or products referred to in the content. |
© 2025 by the authors. Licensee MDPI, Basel, Switzerland. This article is an open access article distributed under the terms and conditions of the Creative Commons Attribution (CC BY) license (https://creativecommons.org/licenses/by/4.0/).
Share and Cite
Barzaghi, S.; Ferrari, B.; Biazzi, E.; Tava, A.; Annicchiarico, P. Quinolizidine Alkaloid Composition of White Lupin Landraces and Breeding Lines, and Near-Infrared Spectroscopy-Based Discrimination of Low-Alkaloid Material. Plants 2025, 14, 3327. https://doi.org/10.3390/plants14213327
Barzaghi S, Ferrari B, Biazzi E, Tava A, Annicchiarico P. Quinolizidine Alkaloid Composition of White Lupin Landraces and Breeding Lines, and Near-Infrared Spectroscopy-Based Discrimination of Low-Alkaloid Material. Plants. 2025; 14(21):3327. https://doi.org/10.3390/plants14213327
Chicago/Turabian StyleBarzaghi, Stefania, Barbara Ferrari, Elisa Biazzi, Aldo Tava, and Paolo Annicchiarico. 2025. "Quinolizidine Alkaloid Composition of White Lupin Landraces and Breeding Lines, and Near-Infrared Spectroscopy-Based Discrimination of Low-Alkaloid Material" Plants 14, no. 21: 3327. https://doi.org/10.3390/plants14213327
APA StyleBarzaghi, S., Ferrari, B., Biazzi, E., Tava, A., & Annicchiarico, P. (2025). Quinolizidine Alkaloid Composition of White Lupin Landraces and Breeding Lines, and Near-Infrared Spectroscopy-Based Discrimination of Low-Alkaloid Material. Plants, 14(21), 3327. https://doi.org/10.3390/plants14213327

