Effects of Marquandomyces marquandii SGSF043 on the Germination Activity of Chinese Cabbage Seeds: Evidence from Phenotypic Indicators, Stress Resistance Indicators, Hormones and Functional Genes
Abstract
1. Introduction
2. Results
2.1. Effects of M. marquandii SGSF043 on Germination Vigor of Chinese Cabbage Seeds
2.2. Effects of M. marquandii SGSF043 on the Growth and Development of Chinese Cabbage
2.3. Effects of M. marquandii SGSF043 on Contents of Chlorophyll, MDA and Antioxidant Enzymes in Chinese Cabbage Buds
2.4. Effect of M. marquandii SGSF043 on the Content of Hormones in Chinese Cabbage
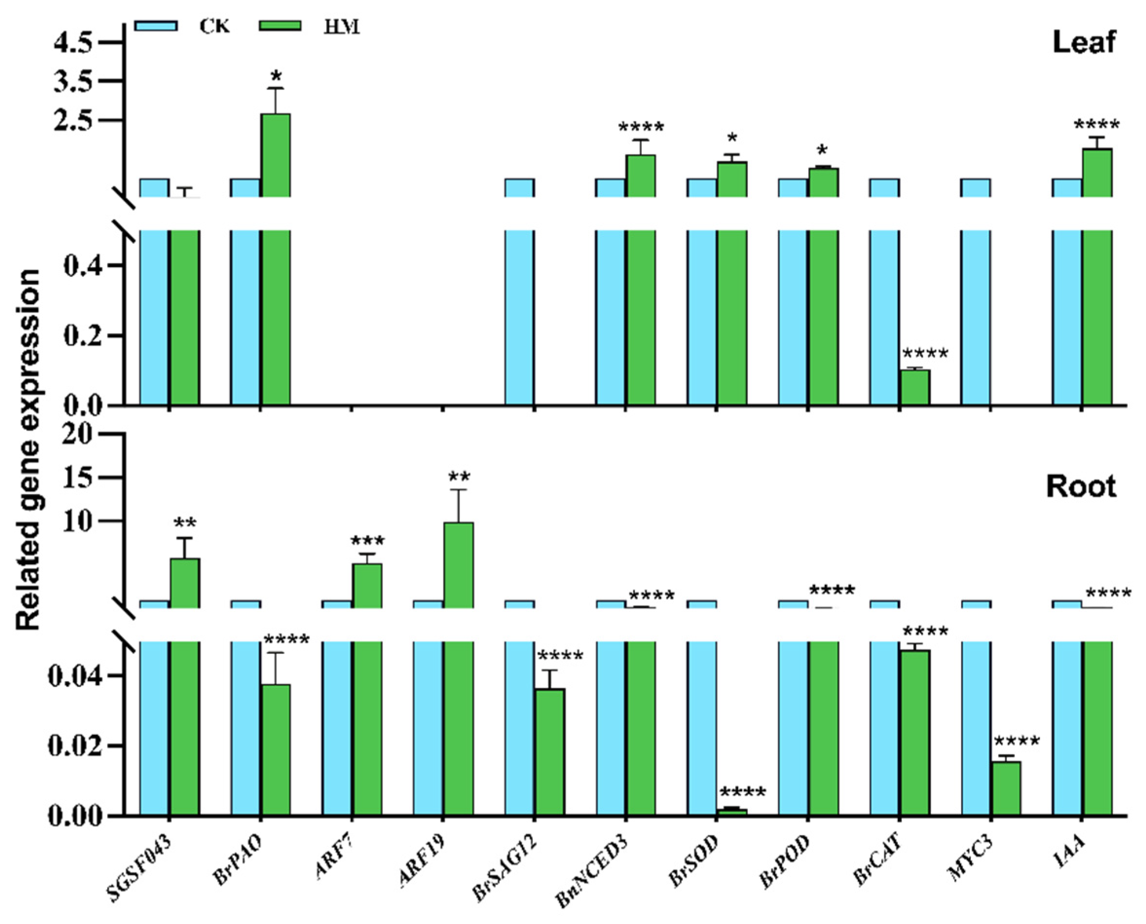
2.5. Expression of Genes Related to Growth Promotion and Resistance in Chinese Cabbage
2.6. Principal Component Analysis (PCA)
3. Discussion
3.1. Effects of M. marquandii SGSF043 on the Growth and Development of Chinese Cabbage Buds and Antioxidant Enzyme Indices
3.2. Effects of M. marquandii SGSF043 on Chinese Cabbage Bud Hormones
3.3. Expression of Related Functional Genes
3.3.1. Regulation of Genes Related to Chlorophyll Synthesis and Lateral Root Development by M. marquandii
3.3.2. Regulation of Functional Genes Related to the Regulation of Antioxidation System in M. marquandii
3.3.3. Regulation of Functional Genes of Plant Immunity and Disease Resistance
4. Materials and Methods
4.1. Preparing Materials
4.2. Preparation of Chinese Cabbage Seed Coating Agent
4.3. Experimental Design
4.4. Effects of M. marquandii SGSF043 on Seed Germination of Chinese Cabbage
4.5. Effects of M. marquandii SGSF043 on the Growth and Development of Chinese Cabbage Buds
4.6. Determination of Chlorophyll, MDA and Antioxidant Enzymes in Leaves of Chinese Cabbage Buds
4.7. Determination of Hormone Content in Chinese Cabbage Buds
4.8. Extraction of mRNA and Reverse Transcription of cDNA from Chinese Cabbage Buds
4.9. Real-Time Fluorescence Quantitative qRT-PCR Test
4.10. Statistical Analysis
5. Conclusions
Supplementary Materials
Author Contributions
Funding
Institutional Review Board Statement
Informed Consent Statement
Data Availability Statement
Acknowledgments
Conflicts of Interest
References
- Zhang, S.C.; Zhang, Y.L.; Guo, X.J.; Luo, M.; Li, S.D.; Guo, R.J. Combination of Bacillus and Low Fertigation Input Promoted the Growth and Productivity of Chinese Cabbage and Enriched Beneficial Rhizosphere Bacteria Lechevalieria. Biology 2023, 12, 1130. [Google Scholar] [CrossRef] [PubMed]
- Grasswitz, T.R. Integrated Pest Management (IPM) for Small-Scale Farms in Developed Economies: Challenges and Opportunities. Insects 2019, 10, 179. [Google Scholar] [CrossRef] [PubMed]
- Raad, M.; Glare, T.R.; Brochero, H.L.; Müller, C.; Rostás, M. Transcriptional Reprogramming of Arabidopsis thaliana Defence Pathways by the Entomopathogen Beauveria bassiana Correlates With Resistance Against a Fungal Pathogen but Not Against Insects. Front. Microbiol. 2019, 10, 1481. [Google Scholar] [CrossRef] [PubMed]
- Behie, S.W.; Zelisko, P.M.; Bidochka, M.J. Endophytic Insect-Parasitic Fungi Translocate Nitrogen Directly from Insects to Plants. Science 2012, 336, 1576–1577. [Google Scholar] [CrossRef]
- Vega, F.E.; Goettel, M.S.; Blackwell, M.; Chandler, D.; Jackson, M.A.; Keller, S.; Koike, M.; Maniania, N.K.; Monzon, A.; Ownley, B.H.; et al. Fungal entomopathogens: New insights on their ecology. Fungal Ecol. 2009, 2, 149–159. [Google Scholar] [CrossRef]
- Murugan, K.; Abd-Elsalam, K.A. Chapter 1—Sustainable nanoemulsions for agri-food applications: Today and future trends. In Bio-Based Nanoemulsions for Agri-Food Applications; Abd-Elsalam, K.A., Murugan, K., Eds.; Elsevier: Amsterdam, The Netherlands, 2022; pp. 1–11. [Google Scholar]
- Fang, T.Y.; Han, X.Y.; Yue, Y.L. Disease-resistant varieties of Chinese cabbage Brassica rapa L. ssp. pekinensis inhibit Plasmodiophora brassicae infestation by stabilising root flora structure. Front. Plant Sci. 2024, 15, 1328845. [Google Scholar] [CrossRef] [PubMed]
- Sun, C.A.; Johnson, J.; Cai, D.G.; Sherameti, I.; Oelmüller, R.; Lou, B.G. Piriformospora indica confers drought tolerance in Chinese cabbage leaves by stimulating antioxidant enzymes, the expression of drought-related genes and the plastid-localized CAS protein. J. Plant Physiol. 2010, 167, 1009–1017. [Google Scholar] [CrossRef] [PubMed]
- Kim, M.J.; Radhakrishnan, R.; Kang, S.M.; You, Y.H.; Jeong, E.J.; Kim, J.G.; Lee, I.J. Plant growth promoting effect of Bacillus amyloliquefaciens H-2-5 on crop plants and influence on physiological changes in soybean under soil salinity. Physiol. Mol. Biol. Plants 2017, 23, 571–580. [Google Scholar] [CrossRef] [PubMed]
- Sorokin, N. Plant parasites of man and animals as causes of infectious diseases. J. Mil. Med. 1883, 2, 268–291. [Google Scholar]
- Sasan, R.K.; Bidochka, M.J. The Insect-Pathogenic Fungus Metarhizium Robertsii (Clavicipitaceae) Is Also An Endophyte That Stimulates Plant Root Development. Am. J. Bot. 2012, 99, 101–107. [Google Scholar] [CrossRef]
- Diniz, K.A.; Silva, P.d.A.; Oliveira, J.A.; Emiliorelli Evangelista, J.R. Sweet pepper seed responses to inoculation with microorganisms and coating with micronutrients, aminoacids and plant growth regulators. Sci. Agric. 2009, 66, 293–297. [Google Scholar] [CrossRef]
- González-Pérez, E.; Ortega-Amaro, M.A.; Bautista, E.; Delgado-Sánchez, P.; Jiménez-Bremont, J.F. The entomopathogenic fungus Metarhizium anisopliae enhances Arabidopsis, tomato, and maize plant growth. Plant Physiol. Biochem. 2022, 176, 34–43. [Google Scholar] [CrossRef] [PubMed]
- Yang, J.-Y.; Chung, K.-R.; Huang, J.-W. A combined effect of Bacillus sp., tobacco extracts and plant oils on the control of cruciferous vegetable anthracnose. Arch. Phytopathol. Plant Prot. 2020, 53, 48–69. [Google Scholar] [CrossRef]
- Ali, A.; Elrys, A.S.; Liu, L.; Iqbal, M.; Zhao, J.; Huang, X.; Cai, Z. Cover Plants-Mediated Suppression of Fusarium Wilt and Root-Knot Incidence of Cucumber is Associated With the Changes of Rhizosphere Fungal Microbiome Structure-Under Plastic Shed System of North China. Front. Microbiol. 2022, 13, 697815. [Google Scholar] [CrossRef]
- Elena, G.J.; Beatriz, P.J.; Alejandro, P.; Lecuona, R. Metarhizium anisopliae (Metschnikoff) Sorokin promotes growth and has endophytic activity in tomato plants. Adv. Biol. Res. 2011, 5, 22–27. [Google Scholar]
- Leger, R.J.S. Studies on adaptations of Metarhizium anisopliae to life in the soil. J. Invertebr. Pathol. 2008, 98, 271–276. [Google Scholar] [CrossRef]
- Chirino-Valle, I.; Kandula, D.; Littlejohn, C.; Hill, R.; Walker, M.; Shields, M.; Cummings, N.; Hettiarachchi, D.; Wratten, S. Potential of the beneficial fungus Trichoderma to enhance ecosystem-service provision in the biofuel grass Miscanthus x giganteus in agriculture. Sci. Rep. 2016, 6, 25109. [Google Scholar] [CrossRef]
- Zheng, X.; Zhang, B.; Shi, F.; Chen, Y.; Zhao, X. Effects of Marquandomyces marquandii SGSF043 on Maize Growth Promotion and Soil Enzyme Activity. Seeds 2024, 3, 203–215. [Google Scholar] [CrossRef]
- Liu, R.; Cai, N.; Nong, X.; Wang, G.; Tu, X.; Feng, S.; Zhang, Z. Effects of entomopathogenic fungus Metarhizium anisopliae on alfalfa growth promotion and anti-aphid induction. J. Plant Prot. 2024, 51, 442–449. [Google Scholar] [CrossRef]
- Gao, L.; Li, X.F.; Xi, D.D.; Zhu, Y.Y.; Zhu, H.F. Effects of waterlogging stress on plant hormones in non-heading Chinese cabbage under different temperature conditions. Acta Agric. Shanghai 2022, 38, 33–40. [Google Scholar] [CrossRef]
- Gonzalez-Guzman, A.; Rey, M.-D.; Froussart, E.; Quesada-Moraga, E. Elucidating the Effect of Endophytic Entomopathogenic Fungi on Bread Wheat Growth through Signaling of Immune Response-Related Hormones. Appl. Environ. Microbiol. 2023, 89, e00882-22. [Google Scholar] [CrossRef] [PubMed]
- Wang, H.; Pei, J.; Ji, L.; Fu, J.; Bai, J. Research progress of Metarhizium in plant growth promotion. Chin. Bull. Life Sci. 2023, 35, 1052–1059. [Google Scholar] [CrossRef]
- Hu, S.; Bidochka, M.J. Abscisic acid implicated in differential plant responses of Phaseolus vulgaris during endophytic colonization by Metarhizium and pathogenic colonization by Fusarium. Sci. Rep. 2021, 11, 11327. [Google Scholar] [CrossRef]
- Posada-Vergara, C.; Vidal, S.; Rostas, M. Local Competition and Enhanced Defense: How Metarhizium brunneum Inhibits Verticillium longisporum in Oilseed Rape Plants. J. Fungi 2023, 9, 796. [Google Scholar] [CrossRef] [PubMed]
- Filipello Marchisio, V.; Curetti, D.; Cassinelli, C.; Bordese, C. Keratinolytic and keratinophilic fungi in the soils of Papua New Guinea. Mycopathologia 1991, 115, 113–119. [Google Scholar] [CrossRef]
- Mongkolsamrit, S.; Khonsanit, A.; Thanakitpipattana, D.; Tasanathai, K.; Noisripoom, W.; Lamlertthon, S.; Himaman, W.; Houbraken, J.; Samson, R.A.; Luangsa-ard, J. Revisiting Metarhizium and the description of new species from Thailand. Stud. Mycol. 2020, 95, 171–251. [Google Scholar] [CrossRef] [PubMed]
- Szewczyk, R.; Sobon, A.; Slaba, M.; Dlugonski, J. Mechanism study of alachlor biodegradation by Paecilomyces marquandii with proteomic and metabolomic methods. J. Hazard. Mater. 2015, 291, 52–64. [Google Scholar] [CrossRef] [PubMed]
- Baron, N.C.; Pollo, A.d.S.; Rigobelo, E.C. Purpureocillium lilacinum and Metarhizium marquandii as plant growth-promoting fungi. Peerj 2020, 8, e9005. [Google Scholar] [CrossRef]
- Chen, X.; Chen, K.; Xiao, Y.e.; Zhang, S.; Wang, Q. Effects of light and matrix on turion germination, seedling growth and leaf photosynthesis efficiency of Potamogeton crispus. J. Appl. Ecol. 2006, 17, 1413–1418. [Google Scholar] [CrossRef]
- Bi, G.; Hu, M.; Fu, L.; Zhang, X.; Zuo, J.; Li, J.; Yang, J.; Zhou, J.-M. The cytosolic thiol peroxidase PRXIIB is an intracellular sensor for H2O2 that regulates plant immunity through a redox relay. Nat. Plants 2022, 8, 1160–1175. [Google Scholar] [CrossRef]
- Zhang, B.; Shi, F.; Zheng, X.; Pan, H.; Wen, Y.; Song, F. Effects of AMF Compound Inoculants on Growth, Ion Homeostasis, and Salt Tolerance-Related Gene Expression in Oryza sativa L. Under Salt Treatments. Rice 2023, 16, 18. [Google Scholar] [CrossRef] [PubMed]
- Chowdhury, M.Z.H.; Mostofa, M.G.; Mim, M.F.; Haque, M.A.; Karim, M.A.; Sultana, R.; Rohman, M.M.; Bhuiyan, A.-U.-A.; Rupok, M.R.B.; Islam, S.M.N. The fungal endophyte Metarhizium anisopliae (MetA1) coordinates salt tolerance mechanisms of rice to enhance growth and yield. Plant Physiol. Biochem. 2024, 207, 108328. [Google Scholar] [CrossRef] [PubMed]
- He, J.; Zhang, X.; Wang, Q.; Li, N.; Ding, D.; Wang, B. Optimization of the Fermentation Conditions of Metarhizium robertsii and Its Biological Control of Wolfberry Root Rot Disease. Microorganisms 2023, 11, 2380. [Google Scholar] [CrossRef] [PubMed]
- Vivekanandhan, P.; Swathy, K.; Alford, L.; Pittarate, S.; Subala, S.P.R.R.; Mekchay, S.; Elangovan, D.; Krutmuang, P. Toxicity of Metarhizium flavoviride conidia virulence against Spodoptera litura (Lepidoptera: Noctuidae) and its impact on physiological and biochemical activities. Sci. Rep. 2022, 12, 16775. [Google Scholar] [CrossRef] [PubMed]
- Li, G.; Meng, X.; Cai, J.; Dong, T.; Li, Z.; Zhu, M. Advances in the function of reactive oxygen species in plant responses to abiotic stresses. Plant Physiol. J. 2018, 54, 951–959. [Google Scholar] [CrossRef]
- Barelli, L.; Behie, S.W.; Hu, S.; Bidochka, M.J. Profiling Destruxin Synthesis by Specialist and Generalist Metarhizium Insect Pathogens during Coculture with Plants. Appl. Environ. Microbiol. 2022, 88, e02474-21. [Google Scholar] [CrossRef]
- Horacio, P.I.; Fabiola, D.; Angélica, G.G.; Carlos, T.J.; Enrique, P.I. Hyphal Growth and Conidia Germination Are Induced by Phytohormones in the Root Colonizing and Plant Growth Promoting Fungus Metarhizium guizhouense. J. Fungi 2023, 9, 945. [Google Scholar] [CrossRef]
- Liao, X.; Lovett, B.; Fang, W.; St Leger, R.J. Metarhizium robertsii produces indole-3-acetic acid, which promotes root growth in Arabidopsis and enhances virulence to insects. Microbiol. Sgm 2017, 163, 980–991. [Google Scholar] [CrossRef]
- Si, J.; Xiao, X.-M.; Xu, Y.-M.; Fan, Z.-Q.; Tan, X.-L.; Shan, W.; Kuang, J.-F.; Lu, W.-J.; Su, X.-G.; Chen, J.-Y. BrJUB1, a NAC family transcription factor, regulates postharvest leaf senescence of Chinese flowering cabbage through the transcriptional activation of BrCCGs. N. Zeal. J. Crop Hortic. Sci. 2021, 49, 92–105. [Google Scholar] [CrossRef]
- Yan, D.; Cai, N.; Wang, F.; Nong, X.; Wang, G.; Tu, X.; Zhang, Z. Expression in vitro of Metarhizium anisopliae Adhesin MAD1 and Its Effect on Inducing Response in Peanut. Sci. Agric. Sin. 2021, 54, 744–753. [Google Scholar] [CrossRef]
- Okushima, Y.; Fukaki, H.; Onoda, M.; Theologis, A.; Tasaka, M. ARF7 and ARF19 regulate lateral root formation via direct activation of LBD/ASL genes in Arabidopsis. Plant Cell 2007, 19, 118–130. [Google Scholar] [CrossRef] [PubMed]
- Lanctot, A.; Nemhauser, J.L. It’s Morphin’ time: How multiple signals converge on ARF transcription factors to direct development. Curr. Opin. Plant Biol. 2020, 57, 1–7. [Google Scholar] [CrossRef] [PubMed]
- Jing, H.; Korasick, D.A.; Emenecker, R.J.; Morffy, N.; Wilkinson, E.G.; Powers, S.K.; Strader, L.C. Regulation of AUXIN RESPONSE FACTOR condensation and nucleo-cytoplasmic partitioning. Nat. Commun. 2022, 13, 4015. [Google Scholar] [CrossRef] [PubMed]
- Fang, J.; He, Y.; Yu, M.; Zheng, B. Recent advances with auxin response factors (ARFs): A review. J. Zhejiang A F Univ. 2012, 29, 611–616. [Google Scholar] [CrossRef]
- Gupta, A.; Mishra, R.; Rai, S.; Bano, A.; Pathak, N.; Fujita, M.; Kumar, M.; Hasanuzzaman, M. Mechanistic Insights of Plant Growth Promoting Bacteria Mediated Drought and Salt Stress Tolerance in Plants for Sustainable Agriculture. Int. J. Mol. Sci. 2022, 23, 3741. [Google Scholar] [CrossRef]
- Mittler, R. Oxidative stress, antioxidants and stress tolerance. Trends Plant Sci. 2002, 7, 405–410. [Google Scholar] [CrossRef]
- Xiang, Y.; Zhou, H.-F.; Liu, Y.-F.; Chen, Z.-Y. Isolation and Identification of Lipopeptide Antibiotics Produced by Bacillus amyloliquefaciens B1619 and the Inhibition of theLipopeptide Antibiotics to Fusarium oxysporum f. sp.lycopersici. Sci. Agric. Sin. 2016, 49, 2935–2944. [Google Scholar] [CrossRef]
- Sun, Y.-Y.; Chen, J.; Wang, Y.; Cheng, J.-N.; Han, Q.-Q.; Zhao, Q.; Li, H.-R.; Li, H.-P.; He, A.-L.; Gou, J.-Y.; et al. Advances in promotion mechanisms of PGPRs and Their Effects on Improving Plant Stress Tolerance. J. Pratacultural Sci. 2020, 28, 1203–1215. [Google Scholar]
- Wang, C.-M.; Zeng, Z.-X.; Su, X.-G.; Lakshmanan, P.; Shan, W.; Kuang, J.-F.; Lu, W.-J.; Chen, J.-Y.; Zhao, Y.-T. A transcriptional repressor BrDof2.4 regulates protease genes involved in postharvest leaf senescence in Chinese flowering cabbage. Postharvest Biol. Technol. 2021, 181, 111680. [Google Scholar] [CrossRef]
- Tan, X.-L.; Fan, Z.-Q.; Shan, W.; Yin, X.-R.; Kuang, J.-F.; Lu, W.-J.; Chen, J.-Y. Association of BrERF72 with methyl jasmonate-induced leaf senescence of Chinese flowering cabbage through activating JA biosynthesis-related genes. Hortic. Res. 2018, 5, 22. [Google Scholar] [CrossRef] [PubMed]
- Kim, S.-J.; Tran, B.Q.; Jung, S. Methyl jasmonate-induced senescence results in alterations in the status of chlorophyll precursors and enzymatic antioxidants in rice plants. Biochem. Biophys. Res. Commun. 2023, 671, 38–45. [Google Scholar] [CrossRef]
- Xu, P.; Cai, W. Functional characterization of the BnNCED3 gene in Brassica napus. Plant Sci. 2017, 256, 16–24. [Google Scholar] [CrossRef] [PubMed]
- Zou, W.; Su, Y.; Ren, Y.; Zhang, C.; Zang, S.; Zhao, Z.; Chen, Y.; Que, Y. Plant MYC Transcription Factor: Structural Characteristics, Action Mechanism and Functional Regulation. J. Agric. Biotechnol. 2022, 30, 1186–1201. [Google Scholar] [CrossRef]
- Etesami, H.; Glick, B.R. Bacterial indole-3-acetic acid: A key regulator for plant growth, plant-microbe interactions, and agricultural adaptive resilience. Microbiol. Res. 2024, 281, 127602. [Google Scholar] [CrossRef] [PubMed]
- Kang, S.-M.; Shahzad, R.; Bilal, S.; Khan, A.L.; Park, Y.-G.; Lee, K.-E.; Asaf, S.; Khan, M.A.; Lee, I.-J. Indole-3-acetic-acid and ACC deaminase producing Leclercia adecarboxylata MO1 improves Solanum lycopersicum L. growth and salinity stress tolerance by endogenous secondary metabolites regulation. BMC Microbiol. 2019, 19, 80. [Google Scholar] [CrossRef]
- Rocha, I.; Ma, Y.; Souza-Alonso, P.; Vosatka, M.; Freitas, H.; Oliveira, R.S. Seed Coating: A Tool for Delivering Beneficial Microbes to Agricultural Crops. Front. Plant Sci. 2019, 10, 1357. [Google Scholar] [CrossRef] [PubMed]
- Moller, E.M.; Bahnweg, G.; Sandermann, H.; Geiger, H.H. A simple and efficient protocol for isolation of high molecular weight DNA from filamentous fungi, fruit bodies, and infected plant tissues. Nucleic Acids Res. 1992, 20, 6115–6116. [Google Scholar] [CrossRef] [PubMed]
- White, T.J.; Bruns, T.; Lee, S.; Taylor, J. Amplification and direct sequencing of fugal ribosomal RNA genes for phylogenetics. In PCR Protocols; Innis, M.A., Gelfand, D.H., Sninsky, J.J., White, T.J., Eds.; Academic Press: San Diego, CA, USA, 1990; pp. 315–322. [Google Scholar]
- Bischoff, J.F.; Humber, R.R.A. Metarhizium frigidum sp. nov.: A cryptic species of M. anisopliae and a member of the M. flavoviride complex. Mycologia 2006, 98, 737–745. [Google Scholar] [CrossRef]
- Gao, S.; Zheng, X.; Yue, Q.; Zhang, L.; Xu, L. Biological activities of species of Metarhizium and its close genera from litter in the Greater Khingan Mountains. Plant Prot. 2021, 47, 19–27+85. [Google Scholar] [CrossRef]
- Wang, X.; Huang, J. Experimental Principles and Techniques of Plant Physiology and Biochemistry, 2th ed; Higher Education Press: Beijing, China, 2006. [Google Scholar]







| Treatment | Fungal Spore Content(/mL) | Germination Time/h | Germination Potential/% | Germination Rate/% | Germination Index | Bud Activity Index |
|---|---|---|---|---|---|---|
| M. marquandii SGSF043 | LM (1 × 106) | 48 | 100.00 ± 0.00 a | 100.00 ± 0.00 a | 15.00 ± 0.00 a | 311.46 ± 0.1 c |
| MM (1 × 107) | 48 | 100.00 ± 0.00 a | 100.00 ± 0.00 a | 15.00 ± 0.00 a | 343.88 ± 0.03 b | |
| HM (1 × 108) | 48 | 100.00 ± 0.00 a | 100.00 ± 0.00 a | 15.00 ± 0.00 a | 393.22 ± 0.02 a | |
| CK (PDB) | —— | 48 | 98.75 ± 0.04 a | 98.75 ± 0.04 a | 14.81 ± 0.53 a | 337.78 ± 0.04 bc |
Disclaimer/Publisher’s Note: The statements, opinions and data contained in all publications are solely those of the individual author(s) and contributor(s) and not of MDPI and/or the editor(s). MDPI and/or the editor(s) disclaim responsibility for any injury to people or property resulting from any ideas, methods, instructions or products referred to in the content. |
© 2024 by the authors. Licensee MDPI, Basel, Switzerland. This article is an open access article distributed under the terms and conditions of the Creative Commons Attribution (CC BY) license (https://creativecommons.org/licenses/by/4.0/).
Share and Cite
Zheng, X.; Huang, Y.; Lin, X.; Chen, Y.; Fu, H.; Liu, C.; Chu, D.; Yang, F. Effects of Marquandomyces marquandii SGSF043 on the Germination Activity of Chinese Cabbage Seeds: Evidence from Phenotypic Indicators, Stress Resistance Indicators, Hormones and Functional Genes. Plants 2025, 14, 58. https://doi.org/10.3390/plants14010058
Zheng X, Huang Y, Lin X, Chen Y, Fu H, Liu C, Chu D, Yang F. Effects of Marquandomyces marquandii SGSF043 on the Germination Activity of Chinese Cabbage Seeds: Evidence from Phenotypic Indicators, Stress Resistance Indicators, Hormones and Functional Genes. Plants. 2025; 14(1):58. https://doi.org/10.3390/plants14010058
Chicago/Turabian StyleZheng, Xu, Yuxia Huang, Xinpeng Lin, Yuanlong Chen, Haiyan Fu, Chunguang Liu, Dong Chu, and Fengshan Yang. 2025. "Effects of Marquandomyces marquandii SGSF043 on the Germination Activity of Chinese Cabbage Seeds: Evidence from Phenotypic Indicators, Stress Resistance Indicators, Hormones and Functional Genes" Plants 14, no. 1: 58. https://doi.org/10.3390/plants14010058
APA StyleZheng, X., Huang, Y., Lin, X., Chen, Y., Fu, H., Liu, C., Chu, D., & Yang, F. (2025). Effects of Marquandomyces marquandii SGSF043 on the Germination Activity of Chinese Cabbage Seeds: Evidence from Phenotypic Indicators, Stress Resistance Indicators, Hormones and Functional Genes. Plants, 14(1), 58. https://doi.org/10.3390/plants14010058

