The Physiological Basis of Alfalfa Plant Height Establishment
Abstract
1. Introduction
2. Results
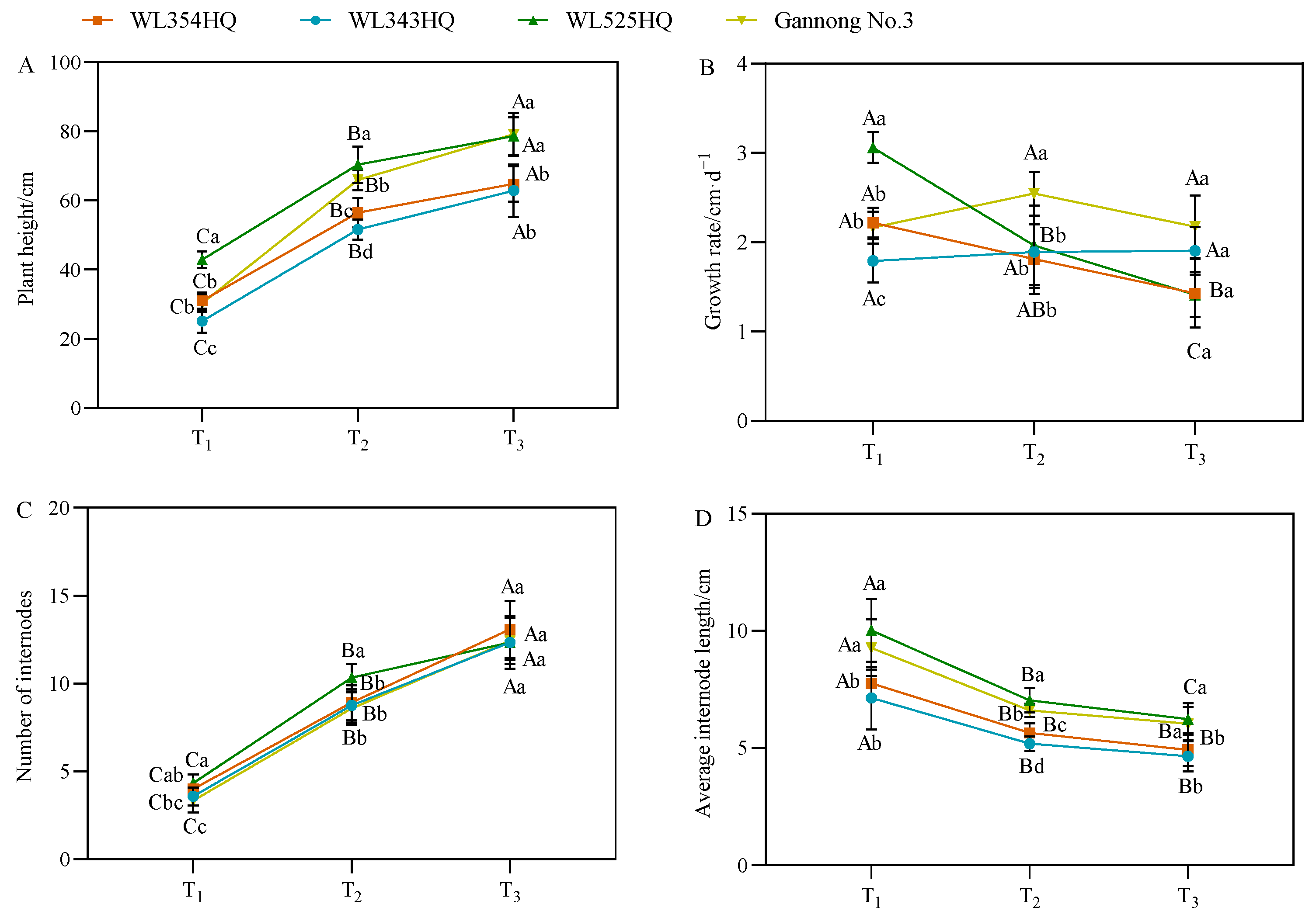
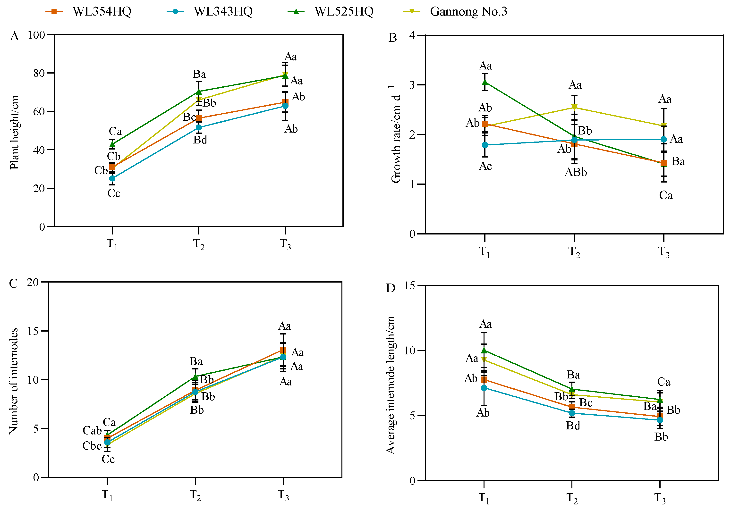
2.1. Changes in Plant Height-Related Traits during Alfalfa Plant Height Establishment
2.2. Changes in Leaf Characteristics during Alfalfa Plant Height Establishment
2.3. Changes in Photosynthetic Parameters during Alfalfa Plant Height Establishment
2.4. Changes in Photosynthetic Products during Alfalfa Plant Height Establishment
2.5. Changes in Cell Wall Composition during Alfalfa Plant Height Establishment
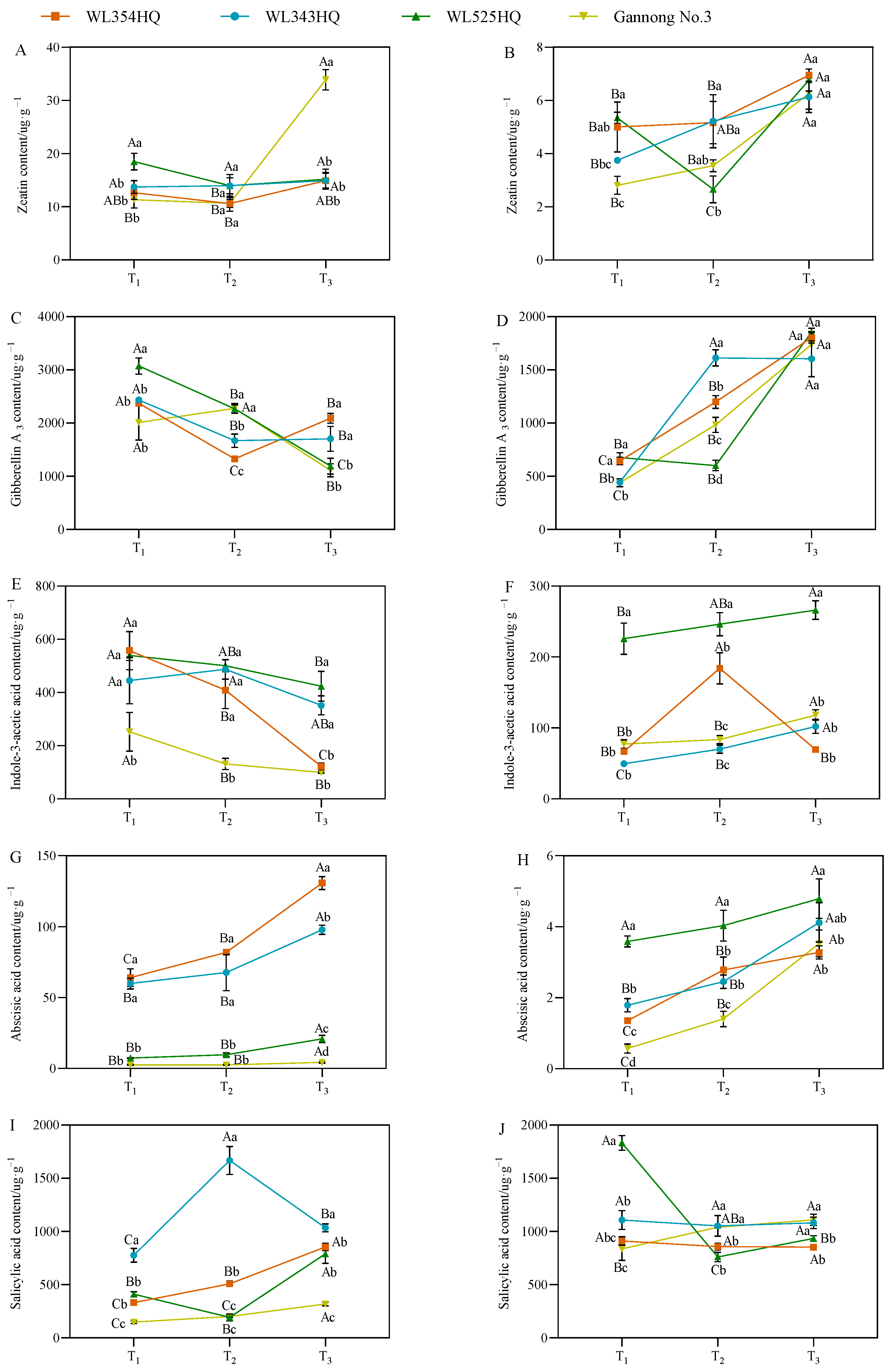
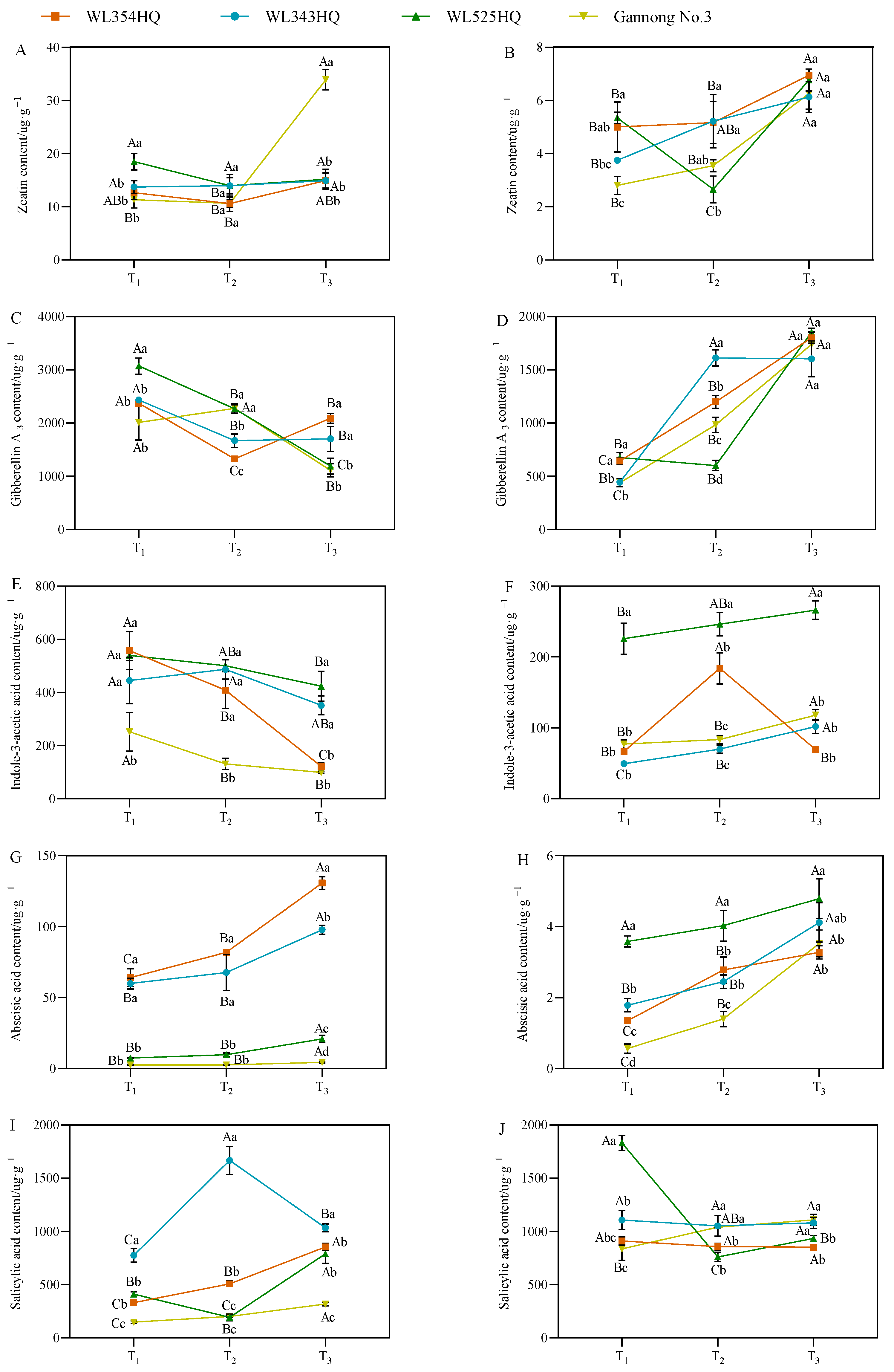
2.6. Changes in Endogenous Hormone Content during Alfalfa Plant Height Establishment
2.7. Association of Plant Height Traits with Leaf Characteristics and Physiological Indicators during Alfalfa Plant Height Establishment
2.8. Principal Component Analysis (PCA) of Height-Related Traits and Physiological Indicators during Alfalfa Plant Height Establishment
2.9. Physiological Basis of Alfalfa Plant Height Establishment
3. Discussion
3.1. Phenotypic Indicators Causing Plant Height Differences during Alfalfa Plant Height Establishment
3.2. Photosynthetic Physiological Indicators Causing Plant Height Differences during Alfalfa Plant Height Establishment
3.3. Endogenous Hormone Levels Causing Plant Height Differences during Alfalfa Plant Height Establishment
4. Materials and Methods
4.1. Plant Materials
4.2. Growth Conditions and Treatments
4.3. Measurement Indices
4.3.1. Measurement of Height-Related Traits
4.3.2. Measurement of Leaf Characteristic Indicators
4.3.3. Measurement of Photosynthetic Parameters
4.3.4. Determination of Photosynthetic Products
4.3.5. Determination of Cell Wall Composition
4.3.6. Determination of Endogenous Hormone Content
4.4. Statistical Analyses
5. Conclusions
Author Contributions
Funding
Data Availability Statement
Acknowledgments
Conflicts of Interest
References
- Ju, F.Y.; Liu, S.D.; Zhang, S.P.; Ma, H.J.; Chen, J.; Ge, C.W.; Shen, Q.; Zhang, X.M.; Zhao, X.H.; Zhang, Y.J.; et al. Transcriptome analysis and identification of genes associated with fruiting branch internode elongation in upland cotton. BMC Plant Biol. 2019, 19, 415. [Google Scholar] [CrossRef]
- Marois, J.J.; Wright, D.L.; Wiatrak, P.J.; Vargas, M.A. Effect of row width and nitrogen on cotton morphology and canopy microclimate. Crop Sci. 2004, 44, 870–877. [Google Scholar] [CrossRef]
- Kebrom, T.H.; McKinley, B.; Mullet, J.E. Dynamics of gene expression during development and expansion of vegetative stem internodes of bioenergy sorghum. Biotechnol. Biofuels. 2017, 10, 159. [Google Scholar] [CrossRef]
- Li, M.; Xiong, G.Y.; Li, R.; Cui, J.J.; Tang, D.; Zhang, B.C.; Pauly, M.; Cheng, Z.K.; Zhou, Y.H. Rice cellulose synthase-like D4 is essential for normal cell-wall biosynthesis and plant growth. Plant J. 2009, 60, 1055–1069. [Google Scholar] [CrossRef]
- Fukazawa, J.; Ito, T.; Kamiya, Y.; Yamaguchi, S.; Takahashi, Y. Binding of GID1 to DELLAs promotes dissociation of GAF1 from DELLA in GA dependent manner. Plant Signal. Behav. 2015, 10, e1052923. [Google Scholar] [CrossRef]
- Nora, G.B.; Timo, E.; Thorsten, H. Plant cell wall integrity maintenance in model plants and crop species-relevant cell wall components and underlying guiding principles. Cell Mol. Life Sci. 2020, 77, 2049–2077. [Google Scholar] [CrossRef]
- Amos, R.A.; Mohnen, D. Critical Review of Plant Cell Wall Matrix Polysaccharide Glycosyltransferase Activities Verified by Heterologous Protein Expression. Front. Plant Sci. 2019, 10, 915. [Google Scholar] [CrossRef]
- Rogers, L.A.; Campbell, M.M. The genetic control of lignin deposition during plant growth and development. New Phytol. 2004, 164, 17–30. [Google Scholar] [CrossRef]
- Yoon, J.; Choi, H.; An, G. Roles of lignin biosynthesis and regulatory genes in plant development. J. Integr. Plant Biol. 2015, 57, 902–912. [Google Scholar] [CrossRef]
- Aliche, E.B.; Prusova-Bourke, A.; Ruiz-Sanchez, M.; Oortwijn, M.; Gerkema, E.; Van As, H.; Visser, R.G.; Linden, C.G. Morphological and physiological responses of the potato stem transport tissues to dehydration stress. Planta 2020, 251, 45–59. [Google Scholar] [CrossRef]
- Oh, E.; Zhu, J.Y.; Bai, M.Y.; Arenhart, R.A.; Sun, Y.; Wang, Z.Y. Cell elongation is regulated through a central circuit of interacting transcription factors in the Arabidopsis hypocotyl. eLife 2014, 3, e03031. [Google Scholar] [CrossRef]
- He, H.F.; Yan, C.L.; Wu, N.; Liu, J.L.; Jia, Y.H. Effects of different nitrogen levels on photosynthetic characteristics and drought resistance of switch-grass (Panicum virgatum). Acta Prataculturae Sinica. 2021, 30, 107–115. [Google Scholar] [CrossRef]
- Mao, S.Y.; Wu, J.L.; Gao, J.; He, L.P.; Yang, X.Q.; Yang, F. Effects of shading on morphological structure and photosynthetic fluorescence characteristics of seedling soybean leaves. J. Sichuan Agric. Univ. 2020, 38, 409–415. [Google Scholar] [CrossRef]
- Wolters, H.; Jürgens, G. Survival of the flexible: Hormonal growth control and adaptation in plant development. Nat. Rev. Genet. 2009, 10, 305–317. [Google Scholar] [CrossRef]
- Perez, V.C.; Zhao, H.H.; Lin, M.; Kim, J. Occurrence, Function, and Biosynthesis of the Natural Auxin Phenylacetic Acid (PAA) in Plants. Plants 2023, 12, 266. [Google Scholar] [CrossRef]
- Korasick, D.A.; Enders, T.A.; Strader, L.C. Auxin biosynthesis and storage forms. J. Exp. Bot. 2013, 64, 2541–2555. [Google Scholar] [CrossRef]
- Claeys, H.; De Bodt, S.; Inze, D. Gibberellins and DELLAs: Central nodes in growth regulatory networks. Trends Plant Sci. 2014, 19, 231–239. [Google Scholar] [CrossRef]
- Li, S.M.; Zheng, H.X.; Zhang, X.S.; Sui, N. Cytokinins as central regulators during plant growth and stress response. Plant Cell Rep. 2021, 40, 271–282. [Google Scholar] [CrossRef]
- Su, Y.H.; Liu, Y.B.; Bai, B.; Zhang, X.S. Establishment of embryonic shoot–root axis is involved in auxin and cytokinin response during Arabidopsis somatic embryogenesis. Front. Plant Sci. 2015, 5, 792. [Google Scholar] [CrossRef]
- Schnurr, J.A.; Jung, H.G.; Samac, D.A. A comparative study of alfalfa and Medicago truncatula stem traits: Morphology, chemical composition, and ruminal digestibility. Crop Sci. 2007, 47, 1672–1680. [Google Scholar] [CrossRef]
- Annicchiarico, P.; Piano, E. Use of artificial environments to reproduce and exploit genotype x location interaction for lucerne in northern Italy. Theor. Appl. Genet. 2005, 110, 219–227. [Google Scholar] [CrossRef]
- Perez-Garcia, P.; Moreno-Risueno, M.A. Stem cells and plant regeneration. Dev. Biol. 2018, 442, 3–12. [Google Scholar] [CrossRef]
- Jaykumar, J.C.; Mahendra, L.A. In vitro callus induction and plant regeneration from stem explants of ceropegia noorjahaniae, a critically endangered medicinal herb. Methods Mol. Biol. 2016, 1391, 347–355. [Google Scholar] [CrossRef]
- Yin, D. Biomass dynamics of every stubble of spring-sowed alfalfa in the loess plateau of LongDong. Agric. Res. Arid. Areas 2009, 37, 178–183. [Google Scholar]
- Guo, F.D.; Hou, L.; Ma, C.L.; Li, G.H.; Lin, R.X.; Zhao, Y.X.; Wang, X.J. Comparative transcriptome analysis of the peanut semi-dwarf mutant 1 reveals regulatory mechanism involved in plant height. Gene 2021, 30, 791. [Google Scholar] [CrossRef]
- Liu, Z.Y.; Li, X.L.; Wang, Z.L.; Sun, Q.Z. Contrasting Strategies of Alfalfa Stem Elongation in Response to Fall Dormancy in Early Growth Stage: The Tradeoff between Internode Length and Internode Number. PLoS ONE 2015, 10, e0135934. [Google Scholar] [CrossRef]
- Kovi, M.R.; Zhang, Y.S.; Yu, S.B.; Yang, G.Y.; Yan, W.H.; Xing, Y.Z. Candidacy of a chitin-inducible gibberellin-responsive gene for a major locus affecting plant height in rice that is closely linked to green revolution gene sd1. Theor. Appl. Genet. 2011, 123, 705–714. [Google Scholar] [CrossRef]
- Zhu, Y.Y.; Nomura, T.; Xu, Y.H.; Zhang, Y.Y.; Peng, Y.; Mao, B.Z.; Hanada, A.; Zhou, H.C.; Wang, R.X.; Li, P.J.; et al. Elongated uppermost internode encodes a cytochrome P450 monooxygenase that epoxidizes gibberellins in a novel deactivation reaction in rice. Plant Cell 2006, 18, 442–456. [Google Scholar] [CrossRef]
- Sun, X.R.; Shu, J.S.; Mohamed, A.M.A.; Deng, X.B.; Zhi, X.N.; Bai, J.R.; Cui, Y.N.; Lu, X.X.; Du, Y.C.; Wang, X.X.; et al. Identification and characterization of EI (Elongated Internode) gene in Tomato (Solanum lycopersicum). Int. J. Mol. Sci. 2019, 20, 2204. [Google Scholar] [CrossRef]
- Li, Z.F.; Guo, Y.; Ou, L.; Hong, H.L.; Wang, J.; Liu, Z.Y.; Guo, B.F.; Zhang, L.J.; Qiu, L.J. Identification of the dwarf gene GmDW1 in Soybean (Glycine max L.) by combining mapping-by-sequencing and linkage analysis. Theor. Appl. Genet. 2018, 131, 1001–1016. [Google Scholar] [CrossRef]
- Huang, J.; Tang, D.; Shen, Y.; Qin, B.X.; Hong, L.L.; You, A.Q.; Li, M.; Wang, X.; Yu, H.X.; Gu, M.H.; et al. Activation of gibberellin 2-oxidase 6 decreases active gibberellin levels and creates a dominant semi-dwarf phenotype in rice (Oryza sativa L.). J. Genet. Genom. 2010, 37, 23–36. [Google Scholar] [CrossRef]
- Sun, Z.Q.; Xu, F.; Zhang, Y.Q.; Hai, G.; Yang, C.Y.; Wu, Z.; Wang, B.; Yu, Z. Comparison and Correlation of Agronomic Characteristics and Fermentation Quality of Different Types of Hybrid Corn. Acta Agrestia Sin. 2019, 27, 250–256. [Google Scholar] [CrossRef]
- Zhang, J.S.; Jia, Y.H.; Sun, P.; Liu, C.; Wang, H.; Luo, S.W.; Shi, S.B. Effects of uniform pattern and N application rate on colony, photosynthesis and dry matter accumulation of winter wheat. J. China Agric. Univ. 2021, 26, 12–24. [Google Scholar]
- Kang, J.M.; Yang, Q.C.; Guo, W.S.; Zhang, T.J.; Sun, Y. Yield Evaluation of Ten Introduced Alfalfa Cultivars in Beijing Area of China. Chin. J. Grassl. 2010, 32, 5–10. [Google Scholar]
- Sun, J.H.; Wang, Y.R.; Yu, L. Growth characteristics and their correlation with the yield of Medicago sativa. Acta Prataculturae Sin. 2004, 13, 80–86. [Google Scholar]
- Akin, D.E.; Robinson, E.L. Structure of leaves and stems of arrowleaf and crimson cloners as related to in vitro digestibility. Crop Sci. 1982, 22, 24–29. [Google Scholar] [CrossRef]
- Lin, K.Q.; Han, Z.L.; Song, Q.F.; Liang, S.H.; Zhou, Y.F. Photosynthetic physiological features and leaf functional traits of 15 tea cultivars (lines). Southwest. China J. Agric. Sci. 2021, 34, 2370–2377. [Google Scholar]
- Guo, Z.L.; Lu, C.D.; Li, Y.; Zhang, L.N.; Yun, X.D.; Sun, D. Photosynthetic Characteristics Research on Different Varieties, Growth Period, the Whole Plant Different Leaf of Millet. J. Agric. 2014, 4, 5–9. [Google Scholar]
- Liu, Y.X.; Zhang, Z.M.; Xiong, J.Y.; Bai, T. Photosynthetic characteristics and agronomic traits of mutated wheat strains induced by ultra-high-pressure treatment. J. Northwest AF Univ. 2013, 41, 86–92. [Google Scholar]
- Zhao, C.J.; Gao, F.; Li, Z.W.; Yang, J.Y.; Zhou, X.B. Effects of Different Maize/Soybean Intercropping Row Ratios on Photosynthetic Physiological Characteristics and Yield of Soybean. J. Sichuan Agric. Univ. 2023, 41, 820–825. [Google Scholar]
- Wu, X.L. Study on Physiological Characteristics of Different Alfalfa Varieties. Master’s Thesis, North West Agriculture and Forestry University, Xianyang, China, 2008. [Google Scholar]
- Makino, A. Photosynthesis, grain yield, and nitrogen utilization in rice and wheat. Plant Physiol. 2011, 155, 125–129. [Google Scholar] [CrossRef]
- Wiley, E.; Huepenbecker, S.; Casper, B.B.; Helliker, B.R. The effects of defoliation on carbon allocation: Can carbon limitation reduce growth in favour of storage. Tree Physiol. 2013, 33, 1216–1228. [Google Scholar] [CrossRef]
- Richardson, A.D.; Carbone, M.S.; Keenan, T.F.; Czimczik, C.I.; Hollinger, D.Y.; Murakami, P.; Schaberg, P.G.; Xu, X.M. Seasonal dynamics and age of stemwood nonstructural carbohydrates in temperate forest trees. New Phytol. 2013, 197, 850–861. [Google Scholar] [CrossRef]
- Kuronuma, T.; Wang, Q.; Ando, M.; Watanabe, H. Effects of Different Light Intensities on the Growth and Accumulation of Photosynthetic Products in Panax ginseng C. A. Meyers. Environ. Control Biol. 2020, 58, 131–135. [Google Scholar] [CrossRef]
- Wang, Y.P.; Tang, S.Q.; Chen, H.Z.; Wu, Z.F.; Zhang, H.; Duan, E.C.; Shi, Q.H.; Wu, Z.M.; Fransz, P. Identification and molecular mapping of indica high-tillering dwarf mutant htd4, a mild phenotype allelic mutant of D14 in rice (Oryza sativa L.). Plant Biol. 2017, 19, 851–858. [Google Scholar] [CrossRef]
- Loon, M.P.; Schieving, F.; Rietkerk, M.; Dekker, S.C.; Sterck, F.; Anten, N.P. How light competition between plants affects their response to climate change. New Phytol. 2014, 203, 1253–1263. [Google Scholar] [CrossRef]
- Stepanova, A.N.; Robertson-Hoyt, J.; Yun, J.; Benavente, L.M.; Xie, D.Y.; Dolezal, k.; Schlereth, A.; Jürgens, G.; Alonso, J.M. TAA1-mediated auxin biosynthesis is essential for hormone crosstalk and plant development. Cell 2008, 133, 177–191. [Google Scholar] [CrossRef]
- Kutschera, U.; Niklas, K.J. The epidermal-growth-control theory of stem elongation: An old and a new perspective. J. Plant Physiol. 2007, 164, 1395–1409. [Google Scholar] [CrossRef]
- Chen, Y.J. Transcriptomic and Metabolomic Integrative Analysis to Identify Key Genes Invoved in the Regulation Castor Plant Height Development. Ph.D. Thesis, Zhejiang University, Hangzhou, China, 2021. [Google Scholar]
- Werner, T.; Schmülling, T. Cytokinin action in plant development. Curr. Opin. Plant Biol. 2009, 12, 527–538. [Google Scholar] [CrossRef]
- Sakakibara, H. Cytokinin biosynthesis and transport for systemic nitrogen signaling. Plant J. 2021, 105, 421–430. [Google Scholar] [CrossRef]
- Nomura, T.; Bishop, G.J.; Kaneta, T.; Reid, J.B.; Chory, J.; Yokota, T. The LKA gene is a Brassinosteroid insensitive 1 homolog of pea. Plant J. 2003, 36, 291–300. [Google Scholar] [CrossRef]
- Hua, W.; Tan, C.; Xie, J.Z.; Zhu, J.H.; Shang, Y.; Yang, J.M.; Zhang, X.Q.; Wu, X.J.; Wang, J.M.; Li, C.D. Correction to: Alternative splicing of a barley gene results in an excess-tillering and semi-dwarf mutant. Theor. Appl. Genet. 2020, 133, 369. [Google Scholar] [CrossRef]
- Wang, Y.J.; Zhao, J.; Lu, W.J.; Deng, D.X. Gibberellin in plant height control: Old player, new story. Plant Cell Rep. 2017, 36, 391–398. [Google Scholar] [CrossRef]
- Takatsuka, H.; Umeda, M. ABA inhibits root cell elongation through repressing the cytokinin signaling. Plant Signal. Behav. 2019, 14, e1578632. [Google Scholar] [CrossRef]
- Olds, C.L.; Glennon, E.K.K.; Luckhart, S. Abscisic acid: New perspectives on an ancient universal stress signaling molecule. Microbes Infect. 2018, 20, 484–492. [Google Scholar] [CrossRef]
- Wang, K.L.; Zhang, Y.Y.; Zhang, H.M.; Lin, X.C.; Xia, R.; Song, L.L.; Wu, A.M. MicroRNAs play important roles in regulating the rapid growth of the Phyllostachys edulis culm internode. New Phytol. 2021, 231, 2215–2230. [Google Scholar] [CrossRef]
- Nanda, A.K.; Melnyk, C.W. The role of plant hormones during grafting. J. Plant Res. 2018, 131, 49–58. [Google Scholar] [CrossRef]
- Zhang, H.H.; Shi, S.L.; Wu, B.; Li, Z.L.; Li, X.L. A study of yield interactions in mixed sowings of alfalfa and three perennial grasses. Acta Prataculturae Sinica. 2022, 31, 159–170. [Google Scholar] [CrossRef]
- Arnon, D.I. Copper enzymes in isolated chloroplasts: Polyphenoloxidase in Beta vulgaris. Plant Physiol. 1949, 24, 1–15. [Google Scholar] [CrossRef]
- Buysse, J.; Merckx, R. An improved colorimetric method to quantify sugar content of plant tissue. J. Exp. Bot. 1993, 44, 1627–1629. [Google Scholar] [CrossRef]
- Bach Knudsen, K.E. Carbohydrate and lignin contents of plant materials used in animal feeding. Anim. Feed. Sci. Technol. 1997, 67, 319–338. [Google Scholar] [CrossRef]
- Xu, X.R.; Wang, M.; Liu, L.; Liu, C.W.; Hu, Y.D.; Cheng, X.L.; Zhao, G. Comparison of methods for determination of oat straw cellulose and optimization analysis of response surface. Feed. Res. 2020, 43, 68–73, (In Chinese with English abstract). [Google Scholar]
- Zhang, J.Y. The Study of Extraction of Hemicellulose from Corn Stover. Master’s Thesis, Dalian Polytechnic University, Dalian, China, 2014. [Google Scholar]
- Liu, C.W. Study on Cell Morphological Characteristics of Tissue Cell and Variation Regularity of Cell Wall Lignin of C3H RNAi Transgenic Poplar. Master’s Thesis, Chinese Academy of Forestry, Beijing, China, 2017. [Google Scholar]
- Jing, F.; Shi, S.L.; Guan, J.; Lu, B.F.; Wu, B.; Wang, W.W.; Ma, R.H.; Nan, P. Analysis of Phenotypic and Physiological Characteristics of Plant Height Difference in Alfalfa. Agronomy 2023, 13, 1744. [Google Scholar] [CrossRef]









| Correlation | Branching Stage | Budding Stage | Initial Flowering Period | |||||||
|---|---|---|---|---|---|---|---|---|---|---|
| PH | NI | IL | PH | NI | IL | PH | NI | IL | ||
| NI | 0.790 | - | 0.336 | 0.633 | - | 0.631 | −0.450 | - | −0.408 | |
| IL | 0.843 | 0.336 | - | 1.000 ** | 0.631 | - | 0.990 ** | −0.408 | - | |
| NLP | −0.207 | −0.763 | 0.351 | 0.831 | 0.907 * | 0.827 | 0.482 | −0.189 | 0.363 | |
| LA | 0.312 | −0.332 | 0.773 | 0.818 | 0.914 * | 0.819 | 0.633 | −0.528 | 0.520 | |
| LI | 0.272 | 0.804 | −0.288 | 0.823 | 0.521 | 0.828 | −0.352 | −0.129 | −0.246 | |
| LSR | −0.884 | −0.452 | −0.969 * | −0.934 * | −0.363 | −0.936 * | −0.862 | 0.574 | −0.784 | |
| LDWP | 0.962 * | 0.895 | 0.686 | 0.518 | 0.971* | 0.515 | 0.916 * | −0.218 | 0.871 | |
| SS | 0.168 | 0.434 | −0.153 | 0.971 * | 0.757 | 0.972 * | 0.795 | −0.681 | 0.837 | |
| Suc | −0.222 | −0.318 | −0.097 | 0.880 | 0.788 | 0.882 | −0.198 | 0.949 * | −0.180 | |
| Sta | −0.016 | 0.335 | −0.287 | 0.710 | −0.081 | 0.710 | −0.484 | −0.414 | −0.441 | |
| Tr | 0.068 | −0.532 | 0.559 | 0.061 | −0.556 | 0.068 | 0.631 | 0.406 | 0.668 | |
| Pn | 0.025 | −0.376 | 0.339 | 0.200 | −0.631 | 0.202 | 0.219 | 0.528 | 0.157 | |
| Ci | −0.598 | −0.588 | −0.431 | −0.939 * | −0.467 | −0.937 * | −0.587 | −0.420 | −0.579 | |
| Gs | −0.135 | −0.500 | 0.203 | −0.249 | −0.841 | −0.244 | 0.041 | 0.870 | 0.070 | |
| Lig | 0.383 | 0.631 | 0.008 | −0.011 | −0.149 | −0.020 | 0.600 | −0.699 | 0.659 | |
| Cel | −0.102 | 0.339 | −0.427 | 0.007 | −0.094 | −0.001 | −0.474 | −0.132 | −0.381 | |
| Hem | 0.203 | 0.388 | −0.060 | −0.567 | −0.259 | −0.560 | 0.587 | −0.328 | 0.684 | |
| ZT | Blade | −0.903 * | −0.474 | −0.978 * | −0.010 | 0.567 | −0.006 | 0.605 | −0.236 | 0.495 |
| Stem tip | 0.652 | 0.978 * | 0.147 | −0.974 * | −0.687 | −0.976 * | 0.028 | 0.683 | 0.143 | |
| GA3 | Blade | 0.770 | 0.893 | 0.384 | 0.836 | 0.394 | 0.841 | −0.904 * | 0.778 | −0.865 |
| Stem tip | 0.770 | 0.955 * | 0.356 | −0.966 * | −0.739 | −0.964 * | 0.553 | 0.329 | 0.644 | |
| IAA | Blade | 0.395 | 0.876 | −0.160 | −0.277 | 0.567 | −0.279 | 0.016 | −0.607 | 0.086 |
| Stem tip | 0.970 * | 0.755 | 0.818 | 0.541 | 0.867 | 0.535 | 0.631 | −0.416 | 0.720 | |
| ABA | Blade | −0.596 | 0.020 | −0.928 * | −0.923 * | −0.391 | −0.926 * | −0.971 * | 0.639 | −0.942 * |
| Stem tip | 0.762 | 0.847 | 0.410 | 0.287 | 0.916 * | 0.284 | 0.330 | −0.710 | 0.394 | |
| SA | Blade | −0.338 | 0.079 | −0.614 | −0.856 | −0.392 | −0.852 | −0.772 | 0.131 | −0.698 |
| Stem tip | 0.823 | 0.778 | 0.563 | −0.509 | −0.857 | −0.503 | 0.203 | −0.728 | 0.082 | |
| Variety | Varietal Origin | Main Characters |
|---|---|---|
| WL354HQ | Beijing Zhengdao Ecological Technology Co., Beijing, China. | High leaf number and nutritional value |
| WL343HQ | Beijing Zhengdao Ecological Technology Co., Beijing, China. | Multiple branches, leaves, and high crude protein content |
| WL525HQ | Beijing Zhengdao Ecological Technology Co., Beijing, China. | Tall plants, high yield, and high protein content |
| Gannong No. 3 | Key Laboratory of Grass Ecosystem, Ministry of Education, Gansu Agricultural University, Lanzhou, China. | Tall plant, stout stalks, high grass yield, well-developed lateral branches, and good growth |
Disclaimer/Publisher’s Note: The statements, opinions and data contained in all publications are solely those of the individual author(s) and contributor(s) and not of MDPI and/or the editor(s). MDPI and/or the editor(s) disclaim responsibility for any injury to people or property resulting from any ideas, methods, instructions or products referred to in the content. |
© 2024 by the authors. Licensee MDPI, Basel, Switzerland. This article is an open access article distributed under the terms and conditions of the Creative Commons Attribution (CC BY) license (https://creativecommons.org/licenses/by/4.0/).
Share and Cite
Jing, F.; Shi, S.; Kang, W.; Guan, J.; Lu, B.; Wu, B.; Wang, W. The Physiological Basis of Alfalfa Plant Height Establishment. Plants 2024, 13, 679. https://doi.org/10.3390/plants13050679
Jing F, Shi S, Kang W, Guan J, Lu B, Wu B, Wang W. The Physiological Basis of Alfalfa Plant Height Establishment. Plants. 2024; 13(5):679. https://doi.org/10.3390/plants13050679
Chicago/Turabian StyleJing, Fang, Shangli Shi, Wenjuan Kang, Jian Guan, Baofu Lu, Bei Wu, and Wenjuan Wang. 2024. "The Physiological Basis of Alfalfa Plant Height Establishment" Plants 13, no. 5: 679. https://doi.org/10.3390/plants13050679
APA StyleJing, F., Shi, S., Kang, W., Guan, J., Lu, B., Wu, B., & Wang, W. (2024). The Physiological Basis of Alfalfa Plant Height Establishment. Plants, 13(5), 679. https://doi.org/10.3390/plants13050679
