Diversity Patterns of Plant Communities along an Elevational Gradient in Arid and Semi-Arid Mountain Ecosystems in China
Abstract
1. Introduction
2. Results
2.1. Species Composition and Distribution of the Plant Communities
2.2. Classification of Plant Communities and the Range of Their Environmental Variables
2.2.1. Convolvulus and Stipa Community (C1)
2.2.2. Ulmus, Salsola, and Ajania Community (C2)
2.2.3. Ulmus, Prunus, and Stipa Community (C3)
2.2.4. Ulmus, Prunus, and Agropyron Community (C4)
2.2.5. Pinus, Cotoneaster, and Carex Community (C5)
2.2.6. Picea, Dasiphora, and Carex Community (C6)
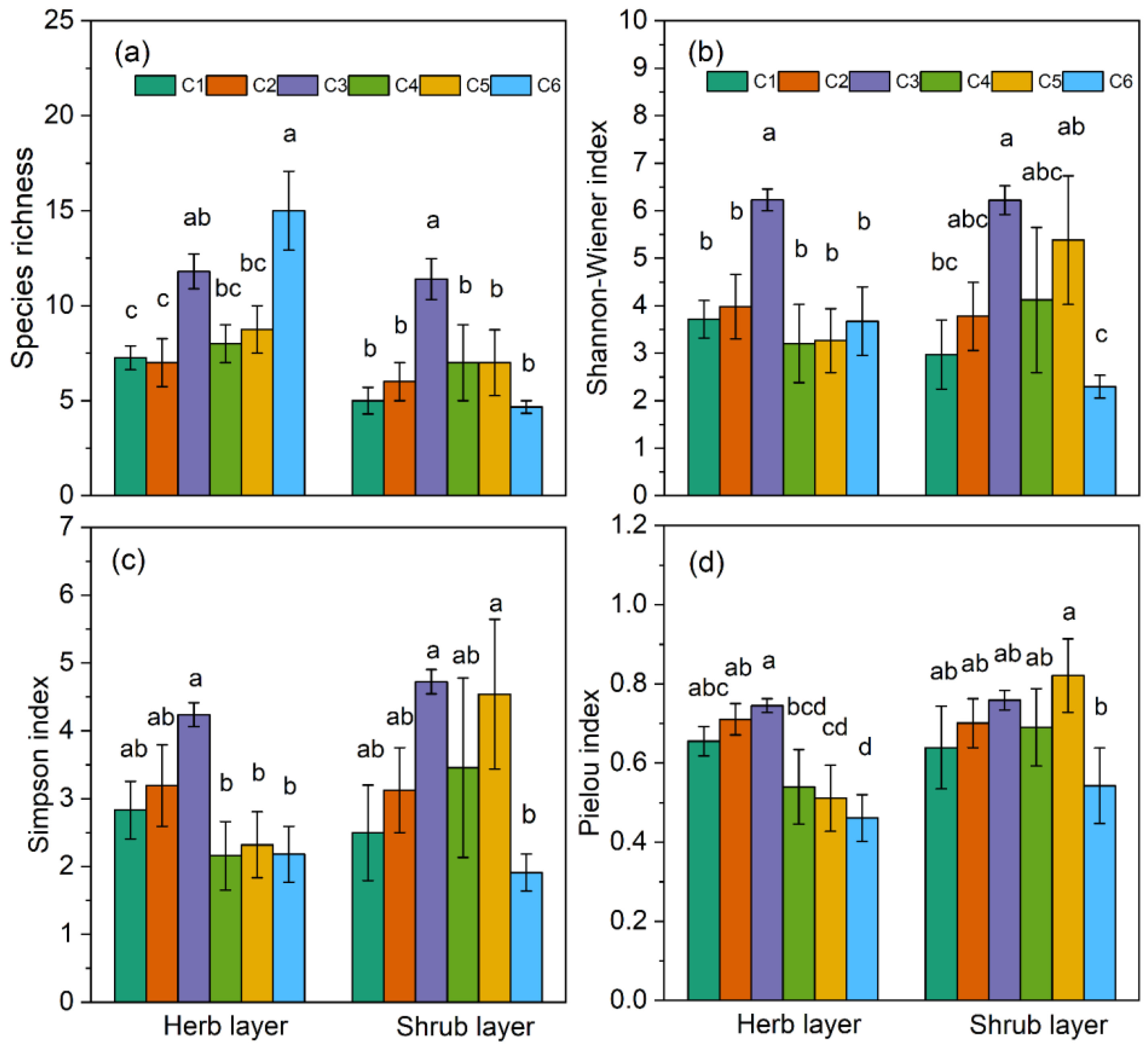
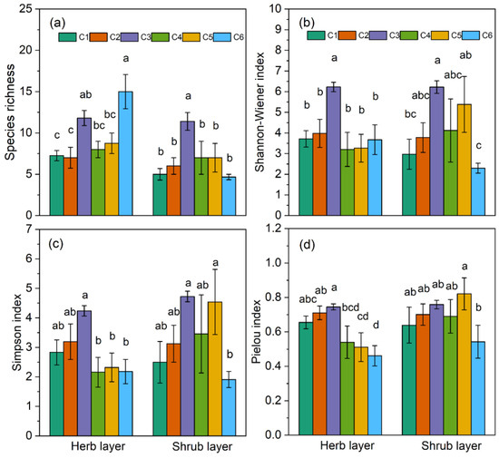
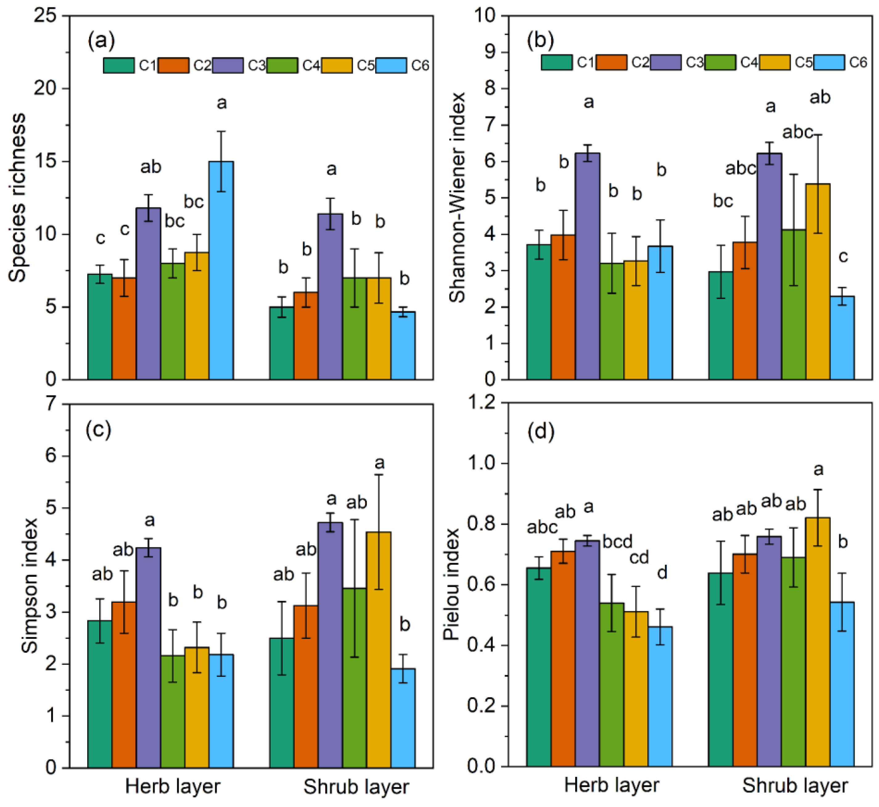
2.3. Alpha (α) Diversity Indices
2.4. Ordination
3. Discussion
3.1. Plant Community Characteristics
3.2. Spatial Distribution Patterns of α-Diversity
3.3. Classification and Ordination
4. Materials and Methods
4.1. Study Area
4.2. Field Investigation
4.3. Environmental Variables
4.4. Statistical Analysis
4.4.1. Two-Way Indicator Species Analysis (TWINSPAN)
4.4.2. α-Diversity Metrics
5. Conclusions
Supplementary Materials
Author Contributions
Funding
Data Availability Statement
Conflicts of Interest
References
- Parmesan, C.; Yohe, G. A globally coherent fingerprint of climate change impacts across natural systems. Nature 2003, 421, 37–42. [Google Scholar] [CrossRef] [PubMed]
- Fu, B.J.; Niu, D.; Zhao, S.D. Study on global change and terrestrial ecosystems: History and prospect. Adv. Earth Sci. 2005, 20, 556–560. [Google Scholar]
- Garcia-Porta, J.; Simo-Riudalbas, M.; Robinson, M.; Carranza, S. Diversification in arid mountains: Biogeography and cryptic diversity of Pristurus rupestris rupestris in Arabia. J. Biogeogr. 2017, 44, 1694–1704. [Google Scholar] [CrossRef]
- Rahbek, C.; Borregaard, M.K.; Colwell, R.K.; Dalsgaard, B.; Holt, B.; Morueta-Holme, N.; Nogués-Bravo, D.; Whittaker, J.; Fjeldså, J. Humboldt’s enigma: What causes global patterns of mountain biodiversity? Science 2019, 365, 1108–1113. [Google Scholar] [CrossRef]
- Shi, H.; Tian, H.Q.; Lange, S.; Yang, J.; Pan, S.F.; Fu, B.J.; Christopher, P.O. Terrestrial biodiversity threatened by increasing global aridity velocity under high-level warming. Proc. Natl. Acad. Sci. USA 2021, 118, 7. [Google Scholar] [CrossRef] [PubMed]
- Thomas, J.; El-Sheikh, M.A.; Alatar, A.A. Endemics and endangered species in the biodiversity hotspot of the Shada Mountains, Saudi Arabia. J. Arid Land 2017, 9, 109–121. [Google Scholar] [CrossRef]
- Di Pietro, R.; Wagensommer, R.P. A new Sesleria juncifolia association from south-eastern Italy and its position in the amphi-Adriatic biogeographical context. Acta Bot. Croat. 2014, 73, 171–207. [Google Scholar] [CrossRef]
- Payne, D.; Spehn, E.M.; Snethlage, M.; Fischer, M. Opportunities for research on mountain biodiversity under global change. Curr. Opin. Environ. Sustain. 2017, 29, 40–47. [Google Scholar] [CrossRef]
- Sheridan, J.A.; Kendrick, M.R. Relationships of primary productivity with anuran abundance, richness, and community composition in tropical streams. PLoS ONE 2024, 19, e0303886. [Google Scholar] [CrossRef]
- Rahman, I.U.; Afzal, A.; Iqbal, Z.; Bussmann, R.W.; Alsamadany, H.; Calixto, E.S.; Shah, G.M.; Kausar, R.; Shah, M.; Ali, N.; et al. Ecological gradients hosting plant communities in Himalayan subalpine pastures: Application of multivariate approaches to identify indicator species. Ecol. Inform. 2020, 60, 15. [Google Scholar] [CrossRef]
- Castillón, E.E.; Arévalo, J.R.; Quintanilla, J.A.V.; Rodríguez, M.M.S.; Encina-Domínguez, J.A.; Rodríguez, H.G.; Ayala, C.M.C. Classification and ordination of main plant communities along an altitudinal gradient in the arid and temperate climates of northeastern Mexico. Sci. Nat. 2015, 102, 11. [Google Scholar] [CrossRef] [PubMed]
- Liang, H.Z.; Fu, T.G.; Gao, H.; Li, M.; Liu, J.T. Climatic and non-climatic drivers of plant diversity along an altitudinal gradient in the Taihang Mountains of northern China. Diversity 2023, 15, 66. [Google Scholar] [CrossRef]
- Zu, K.L.; Luo, A.; Shrestha, N.; Liu, B.; Wang, Z.H.; Zhu, X.Y. Altitudinal biodiversity patterns of seed plants along Gongga Mountain in the southeastern Qinghai-Tibetan Plateau. Ecol. Evol. 2019, 9, 9586–9596. [Google Scholar] [CrossRef] [PubMed]
- Fan, Z.M.; Bai, R.Y.; Yue, T.X. Spatio-temporal distribution of vascular plant species abundance on Qinghai-Tibet Plateau. J. Geogr. Sci. 2019, 29, 1625–1636. [Google Scholar] [CrossRef]
- Shooner, S.; Davies, T.J.; Saikia, P.; Deka, J.; Bharali, S.; Tripathi, O.P.; Singha, L.; Khan, M.L.; Dayanandan, S. Phylogenetic diversity patterns in Himalayan forests reveal evidence for environmental filtering of distinct lineages. Ecosphere 2018, 9, 13. [Google Scholar] [CrossRef]
- Tolmos, M.L.; Kreft, H.; Ramirez, J.; Ospina, R.; Craven, D. Water and energy availability mediate biodiversity patterns along an elevational gradient in the tropical Andes. J. Biogeogr. 2022, 49, 712–726. [Google Scholar] [CrossRef]
- Worthy, S.J.; Paz, R.A.J.; Pérez, A.J.; Reynolds, A.; Cruse-Sanders, J.; Valencia, R.; Barone, J.A.; Burgess, K.S. Distribution and community assembly of trees along an Andean elevational gradient. Plants 2019, 8, 326. [Google Scholar] [CrossRef] [PubMed]
- Song, X.Y.; Cao, M.; Li, J.Q.; Kitching, R.L.; Nakamura, A.; Laidlaw, M.J.; Tang, Y.; Sun, Z.H.; Zhang, W.F.; Yang, J. Different environmental factors drive tree species diversity along elevation gradients in three climatic zones in Yunnan, southern China. Plant Divers. 2021, 43, 433–443. [Google Scholar] [CrossRef] [PubMed]
- Fattorini, S.; Di Biase, L.; Chiarucci, A. Recognizing and interpreting vegetational belts: New wine in the old bottles of a von Humboldt’s legacy. J. Biogeogr. 2019, 46, 1643–1651. [Google Scholar] [CrossRef]
- Burke, A. Classification and ordination of plant communities of the Naukluft mountains, Namibia. J. Veg. Sci. 2001, 12, 53–60. [Google Scholar] [CrossRef]
- Bai, X.H.; Zhang, J.T.; Cao, K.; Wang, Y.Q.; Sadia, S.; Cao, G. Relationship between forest communities and the environment in the Xiaowutai Mountain National Nature Reserve, Hebei. Acta Ecol. Sin. 2017, 37, 3683–3696. [Google Scholar] [CrossRef][Green Version]
- Virtanen, R.; Luoto, M.; Rämä, T.; Mikkola, K.; Hjort, J.; Grytnes, J.A.; Birks, H.J.B. Recent vegetation changes at the high-latitude tree line ecotone are controlled by geomorphological disturbance, productivity and diversity. Glob. Ecol. Biogeogr. 2010, 19, 810–821. [Google Scholar] [CrossRef]
- Li, T.T.; Ji, L.Z.; Yu, D.P.; Zhou, L.; Zhou, W.M.; Mao, Y.X.; Dai, L.M. Forest community classification, ordination, and comparison of species diversity in broadleaved-Korean pine mixed forests of Northeast China. Acta Ecol. Sin. 2019, 39, 620–628. [Google Scholar] [CrossRef]
- Zhao, H.; Wang, Q.R.; Fan, W.; Song, G.H. The relationship between secondary forest and environmental factors in the Southern Taihang mountains. Sci. Rep. 2017, 7, 16431. [Google Scholar] [CrossRef]
- Whittaker, R.H. Classification of Plant Communities; Springer: Dordrecht, The Netherlands, 1978. [Google Scholar]
- Liu, Y.Z.; Shen, H.H.; Ge, G.; Xing, A.J.; Tang, Z.Y.; Fang, J.Y. Classification and distribution of evergreen broad-leaved forests in Jiangxi, East China. J. Plant Ecol. 2023, 16, 12. [Google Scholar] [CrossRef]
- Bao, X.T.; Ding, L.B.; Yao, S.C.; Wang, J.S.; Shi, P.L.; Wang, T.; Li, C.; Liu, W.J. Quantitative classification and ordination of grassland communities on the Lhasa River Basin. Acta Ecol. Sin. 2019, 39, 779–786. [Google Scholar] [CrossRef]
- Guo, K.; Liu, C.C.; Xie, Z.Q.; Li, F.Y.; Franklin, S.B.; Lu, Z.J.; Ma, K.P. China Vegetation Classification: Concept, approach and applications. Phytocoenologia 2018, 48, 113–120. [Google Scholar] [CrossRef]
- Wu, P.P.; Wang, Z.; Jia, N.X.; Dong, S.Q.; Qu, X.Y.; Qiao, X.G.; Liu, C.C.; Guo, K. Vegetation classification and distribution patterns in the south slope of Yarlung Zangbo Grand Canyon National Nature Reserve, Eastern Himalayas. Plants 2022, 11, 1194. [Google Scholar] [CrossRef]
- Turland, N.J.; Wiersema, J.H.; Barrie, F.R.; Greuter, W.; Hawksworth, D.L.; Herendeen, P.S.; Knapp, S.; Kusber, W.H.; Li, D.Z.; Marhold, K.; et al. International Code of Nomenclature for Algae, Fungi, and Plants (Shenzhen Code); Regnum Vegetabile, 159; International Association for Plant Taxonomy: Bratislava, Slovakia, 2018; Volume XXXVIII, 254p, ISBN 978-3-946583-16-5. [Google Scholar]
- Rouhan, G.; Gaudeul, M. Plant Taxonomy: A Historical Perspective, Current Challenges, and Perspectives. Methods Mol. Biol. 2021, 2222, 1–38. [Google Scholar] [CrossRef]
- Zheng, J.; Arif, M.; He, X.R.; Ding, D.D.; Zhang, S.L.; Ni, X.L.; Li, C.X. Plant community assembly is jointly shaped by environmental and dispersal filtering along elevation gradients in a semiarid area, China. Front. Plant Sci. 2022, 13, 14. [Google Scholar] [CrossRef]
- Geng, Q.W.; Arif, M.; Yuan, Z.X.; Zheng, J.; He, X.R.; Ding, D.D.; Yin, F.; Li, C.X. Plant species composition and diversity along successional gradients in arid and semi-arid regions of China. For. Ecol. Manag. 2022, 524, 10. [Google Scholar] [CrossRef]
- Bernard, L.; Decau, M.L.; Morvan-Bertrand, A.; Lavorel, S.; Clément, J.C. Water-soluble carbohydrates in Patzkea paniculata (L.): A plant strategy to tolerate snowpack reduction and spring drought in subalpine grasslands. Plant Biol. 2020, 22, 441–449. [Google Scholar] [CrossRef] [PubMed]
- Rigui, A.P.; Carvalho, V.; dos Santos, A.L.W.; Morvan-Bertrand, A.; Prud’homme, M.P.; de Carvalho, M.A.M.; Gaspar, M. Fructan and antioxidant metabolisms in plants of Lolium perenne under drought are modulated by exogenous nitric oxide. Plant Physiol. Biochem. 2019, 145, 205–215. [Google Scholar] [CrossRef] [PubMed]
- Igiehon, N.O.; Babalola, O.O.; Aremu, B.R. Genomic insights into plant growth promoting rhizobia capable of enhancing soybean germination under drought stress. BMC Microbiol. 2019, 19, 22. [Google Scholar] [CrossRef]
- Marathe, A.; Priyadarsanan, D.R.; Krishnaswamy, J.; Shanker, K. Spatial and climatic variables independently drive elevational gradients in ant species richness in the Eastern Himalaya. PLoS ONE 2020, 15, 14. [Google Scholar] [CrossRef]
- Sun, L.; Luo, J.; Qian, L.S.; Deng, T.; Sun, H. The relationship between elevation and seed-plant species richness in the Mt. Namjagbarwa region (Eastern Himalayas) and its underlying determinants. Glob. Ecol. Conserv. 2020, 23, 11. [Google Scholar] [CrossRef]
- Xu, M.H.; Zhang, S.X.; Wen, J.; Yang, X.Y. Multiscale spatial patterns of species diversity and biomass together with their correlations along geographical gradients in subalpine meadows. PLoS ONE 2019, 14, 26. [Google Scholar] [CrossRef]
- Xu, M.H.; Du, R.; Li, X.L.; Yang, X.H.; Zhang, B.G.; Yu, X.L. The mid-domain effect of mountainous plants is determined by community life form and family flora on the Loess Plateau of China. Sci. Rep. 2021, 11, 15. [Google Scholar] [CrossRef]
- Wang, Z.H.; Tang, Z.Y.; Fang, J.Y. Altitudinal patterns of seed plant richness in the Gaoligong Mountains, south-east Tibet, China. Divers. Distrib. 2007, 13, 845–854. [Google Scholar] [CrossRef]
- da Silva, F.K.G.; de Faria Lopes, S.; Lopez, L.C.S.; de Melo, J.I.M.; Trovão, D.M.d.B.M. Patterns of species richness and conservation in the Caatinga along elevational gradients in a semi arid ecosystem. J. Arid. Environ. 2014, 110, 47–52. [Google Scholar] [CrossRef]
- Tang, Z.Y.; Fang, J.Y. A review on the elevational patterns of plant species diversity. Biodivers. Sci. 2004, 12, 20–28. [Google Scholar]
- McCain, C.M. Could temperature and water availability drive elevational species richness patterns? A global case study for bats. Glob. Ecol. Biogeogr. 2007, 16, 1–13. [Google Scholar] [CrossRef]
- Sedlacek, J.; Wheeler, J.A.; Cortés, A.J.; Bossdorf, O.; Hoch, G.; Lexer, C.; Wipf, J.; Karrenberg, S.; Kleunen, M.V.; Rixen, C. The response of the alpine dwarf shrub Salix herbacea to altered snowmelt timing: Lessons from a multisite transplant experiment. PLoS ONE 2015, 10, e0122395. [Google Scholar] [CrossRef] [PubMed]
- Steinbauer, M.J.; Grytnes, J.A.; Jurasinski, G.; Kulonen, A.; Lenoir, J.; Pauli, H.; Rixen, C.; Winkler, M.; Bardy-Durchhalter, M.; Barni, E.; et al. Accelerated increase in plant species richness on mountain summits is linked to warming. Nature 2018, 556, 231–234. [Google Scholar] [CrossRef]
- Wheeler, J.A.; Schnider, F.; Sedlacek, J.; Cortés, A.J.; Wipf, S.; Hoch, G.; Rixen, C. With a little help from my friends: Community facilitation increases performance in the dwarf shrub Salix herbacea. Basic Appl. Ecol. 2015, 16, 202–209. [Google Scholar] [CrossRef]
- Wang, C.T.; Long, R.; Wang, Q.J.; Ding, L.M.; Wang, M.P. Effects of altitude on plant-species diversity and productivity in an alpine meadow, Qinghai-Tibetan plateau. Aust. J. Bot. 2007, 55, 110–117. [Google Scholar] [CrossRef]
- Du, J.; Li, K.; He, Z.B.; Chen, L.F.; Lin, P.F.; Zhu, X. Daily minimum temperature and precipitation control on spring phenology in aridmountain ecosystems in China. Int. J. Climatol. 2020, 40, 2568–2579. [Google Scholar] [CrossRef]
- Niu, Y.J.; Yang, S.W.; Zhou, J.W.; Chu, B.; Ma, S.J.; Zhu, H.M.; Hua, L.M. Vegetation distribution along mountain environmental gradient predicts shifts in plant community response to climate change in alpine meadow on the Tibetan plateau. Sci. Total Environ. 2018, 650, 505–514. [Google Scholar] [CrossRef]
- Zhang, J.H.; Huang, Y.M. Biodiversity and stability mechanisms: Understanding and future research. Acta Ecol. Sin. 2016, 36, 3859–3870. [Google Scholar] [CrossRef]
- Hao, M.; von Gadow, K.; Alavi, S.J.; Álvarez-González, J.G.; Baluarte-Vásquez, J.R.; Corral-Rivas, J.; Hui, G.; Korol, M.; Kumar, R.; Liang, J.; et al. A classification of woody communities based on biological dissimilarity. Appl. Veg. Sci. 2021, 24, 14. [Google Scholar] [CrossRef]
- Dong, L.S.; Zhang, X.D.; Zhou, J.X.; Song, A.Y. Quantitative classification and ordination of shrub species and communities in a loess landscape of western Shanxi. Acta Ecol. Sin. 2007, 27, 3072–3080. [Google Scholar]
- Liu, Q.F.; Kang, M.Y.; Liu, Q.R. Quantitative classification and environmental interpretation of forest tree species in hungou, zhongtiao mountain. Chin. J. Plant Ecol. 2006, 30, 383–391. [Google Scholar] [CrossRef]
- Chen, Y.; Wang, H.L.; Han, J.W.; Wei, B.L.; Jia, H.R.; Ye, Y.Z.; Yuan, Z.L. Numerical classification, ordination and species diversity along elevation gradients of the forest community in Xiaoqinling. Acta Ecol. Sin. 2014, 34, 2068–2075. [Google Scholar] [CrossRef][Green Version]
- He, H.Q.; Li, S.C.; Sun, H.L.; Liu, S.C.; Xiong, W.L. Quantitative classification and ordination of Jinping hydropower station, Sichuan Province, China. Acta Ecol. Sin. 2008, 28, 3706–3712. [Google Scholar] [CrossRef]
- Shi, H.; Xie, F.L.; Zhou, Q.; Shu, X.; Zhang, K.R.; Dang, C.Q.; Feng, S.Y.; Zhang, Q.F.; Dang, H.S. Effects of topography on tree community structure in a Deciduous Broad-Leaved Forest in North-Central China. Forests 2019, 10, 53. [Google Scholar] [CrossRef]
- Shahriari, H.; Vajari, K.A.; Pilehvar, B.; Heydari, M. Diversity and biomass of different functional groups of herbaceous species along an altitudinal gradient in the semi-arid Zagros mountain forests of Iran. J. For. Res. 2020, 31, 1723–1731. [Google Scholar] [CrossRef]
- Korner, C. The use of ‘altitude’ in ecological research. Trends Ecol. Evol. 2007, 22, 569–574. [Google Scholar] [CrossRef]
- Rumpf, S.B.; Hulber, K.; Klonner, G.; Moser, D.; Schutz, M.; Wessely, J.; Willner, W.; Zimmermann, N.E.; Dullinger, S. Range dynamics of mountain plants decrease with elevation. Proc. Natl. Acad. Sci. USA 2018, 115, 1848–1853. [Google Scholar] [CrossRef]
- Li, S.Q.; Liber, K. Influence of different revegetation choices on plant community and soil development nine years after initial planting on a reclaimed coal gob pile in the Shanxi mining area, China. Sci. Total Environ. 2018, 618, 1314–1323. [Google Scholar] [CrossRef]
- Cao, J.J.; Wang, X.Y.; Adamowski, J.F.; Biswas, A.; Liu, C.F.; Chang, Z.Q.; Feng, Q. Response of leaf stoichiometry of Oxytropis ochrocephala to elevation and slope aspect. Catena 2020, 194, 10. [Google Scholar] [CrossRef]
- Qin, Y.Y.; Adamowski, J.F.; Deo, R.C.; Hu, Z.Y.; Cao, J.J.; Zhu, M.; Feng, Q. Controlling factors of plant community composition with respect to the slope aspect gradient in the Qilian Mountains. Ecosphere 2019, 10, 13. [Google Scholar] [CrossRef]
- Qin, Y.Y.; Feng, Q.; Adamowski, J.F.; Zhu, M.; Zhang, X.F. Community level response of leaf stoichiometry to slope aspect in a montane environment: A case study from the Central Qilian Mountains, China. Glob. Ecol. Conserv. 2021, 28, 10. [Google Scholar] [CrossRef]
- Cao, F.Q.; Dan, L.; Ma, Z.G.; Gao, T. Assessing the regional climate impact on terrestrial ecosystem over East Asia using coupled models with land use and land cover forcing during 1980–2010. Sci. Rep. 2020, 10, 15. [Google Scholar] [CrossRef] [PubMed]
- Shen, Z.H.; Zhang, X.S. A quantitative analysis on the floristic elements of the Chinese subtropical region and their spatial patterns. J. Syst. Evol. 2000, 38, 366–380. [Google Scholar]
- Perrino, E.V.; Tomaselli, V.; Wagensommer, R.P.; Silletti, G.N.; Esposito, A.; Stinca, A. Ophioglossum lusitanicum L.: New Records of Plant Community and 92/43/EEC Habitat in Italy. Agronomy 2022, 12, 3188. [Google Scholar] [CrossRef]
- Perrino, E.V.; Mahmoud, Z.N.A.; Valerio, F.; Tomaselli, V.; Wagensommer, R.P.; Trani, A. Synecology of Lagoecia cuminoides L. in Italy and evaluation of functional compounds presence in its water or hydroalcoholic extracts. Sci. Rep. 2023, 13, 20906. [Google Scholar] [CrossRef]
- Yan, P.X.; Hou, H.; Lv, Y.Z.; Zhang, H.Y.; Li, J.; Shao, L.L.; Xie, Q.M.; Liang, Y.L.; Li, J.Y.; Ni, X.L. Diversity characteristics of arbuscular mycorrhizal fungi communities in the soil along successional altitudes of Helan Mountain, arid, and semi-arid regions of China. Front. Microbiol. 2023, 14, 1099131. [Google Scholar] [CrossRef]
- Yang, Y.; Qiu, K.Y.; Xie, Y.Z.; Li, X.C.; Zhang, S.; Liu, W.S.; Huang, Y.Y.; Cui, L.Y.; Wang, S.Y.; Bao, P.G. Geographical, climatic, and soil factors control the altitudinal pattern of rhizosphere microbial diversity and its driving effect on root zone soil multifunctionality in mountain ecosystems. Sci. Total Environ. 2023, 904, 166932. [Google Scholar] [CrossRef]
- Wu, M.Y.; Chen, L.; Ma, J.P.; Zhang, Y.Q.; Li, X.B.; Pang, D.B. Aggregate-associated carbon contributes to soil organic carbon accumulation along the elevation gradient of Helan Mountains. Soil Biol. Biochem. 2023, 178, 108926. [Google Scholar] [CrossRef]
- Ahmad, M.; Uniyal, S.K.; Batish, D.; Singh, H.P.; Jaryan, V.; Kohli, R.K. Patterns of plant communities along vertical gradient in dhauladhar mountains in lesser Himalayas in north-Western India. Sci. Total Environ. 2020, 716, 136919. [Google Scholar] [CrossRef]
- Fick, S.E.; Hijmans, R.J. WorldClim 2: New 1-km spatial resolution climate surfaces for global land areas. Int. J. Climatol. 2017, 37, 4302–4315. [Google Scholar] [CrossRef]
- Ni, J. An introduction to bioclimatic factors in global change research. Quat. Sci. 2017, 37, 431–441. [Google Scholar] [CrossRef]
- Zhang, J.T.; Zhang, M.; Mian, R. Effects of elevation and disturbance gradients on forest diversity in the Wulingshan Nature Reserve, North China. Environ. Earth Sci. 2016, 7510, 10. [Google Scholar] [CrossRef]
- Yang, Q.C.; Zhang, H.H.; Wang, L.H.; Ling, F.; Wang, Z.X.; Li, T.T.; Huang, J.L. Topography and soil content contribute to plant community composition and structure in subtropical evergreen-deciduous broadleaved mixed forests. Plant Divers. 2021, 434, 264–274. [Google Scholar] [CrossRef]
- Liu, R.H.; Tu, H.R.; Li, J.F.; Liang, S.C.; Jiang, Y.; Rong, C.Y.; Li, Y.J. Numerical classification and ordination of Cyclobalanopsis glauca communities in karst hills of Guilin, Southwest China. Acta Ecol. Sin. 2019, 39, 8595–8605. [Google Scholar] [CrossRef]
- Tian, Y.; Zhao, Z.W.; Liu, Y. Classification and ordination of bryophyte communities in alpine meadow of eastern Tibet. Acta Ecol. Sin. 2022, 42, 755–765. [Google Scholar] [CrossRef]
- Gholizadeh, H.; Naqinezhad, A.; Chytry, M. Classification of the Hyrcanian forest vegetation, Northern Iran. Appl. Veg. Sci. 2020, 23, 107–126. [Google Scholar] [CrossRef]
- Haq, F.; Ahmad, H.; Iqbal, Z.; Alam, M.; Aksoy, A. Multivariate approach to the classification and ordination of the forest ecosystem of Nandiar valley western Himalayas. Ecol. Indic. 2017, 80, 232–241. [Google Scholar] [CrossRef]








| Environmental Variables | CCA1 | CCA2 | R2 | Significance |
|---|---|---|---|---|
| ELE | 0.99 | 0.17 | 0.96 | *** |
| SLO | 0.02 | 0.99 | 0.09 | ns |
| ASP | 0.35 | 0.94 | 0.38 | ** |
| LON | −0.60 | −0.80 | 0.76 | *** |
| LAT | −0.21 | −0.98 | 0.50 | ** |
| MAP | 0.86 | 0.50 | 0.91 | *** |
| MAT | −0.99 | −0.14 | 0.88 | *** |
| BK | 0.99 | 0.17 | 0.94 | *** |
Disclaimer/Publisher’s Note: The statements, opinions and data contained in all publications are solely those of the individual author(s) and contributor(s) and not of MDPI and/or the editor(s). MDPI and/or the editor(s) disclaim responsibility for any injury to people or property resulting from any ideas, methods, instructions or products referred to in the content. |
© 2024 by the authors. Licensee MDPI, Basel, Switzerland. This article is an open access article distributed under the terms and conditions of the Creative Commons Attribution (CC BY) license (https://creativecommons.org/licenses/by/4.0/).
Share and Cite
He, X.; Yin, F.; Arif, M.; Zheng, J.; Chen, Y.; Geng, Q.; Ni, X.; Li, C. Diversity Patterns of Plant Communities along an Elevational Gradient in Arid and Semi-Arid Mountain Ecosystems in China. Plants 2024, 13, 2858. https://doi.org/10.3390/plants13202858
He X, Yin F, Arif M, Zheng J, Chen Y, Geng Q, Ni X, Li C. Diversity Patterns of Plant Communities along an Elevational Gradient in Arid and Semi-Arid Mountain Ecosystems in China. Plants. 2024; 13(20):2858. https://doi.org/10.3390/plants13202858
Chicago/Turabian StyleHe, Xinrui, Fan Yin, Muhammad Arif, Jie Zheng, Yangyi Chen, Qianwen Geng, Xilu Ni, and Changxiao Li. 2024. "Diversity Patterns of Plant Communities along an Elevational Gradient in Arid and Semi-Arid Mountain Ecosystems in China" Plants 13, no. 20: 2858. https://doi.org/10.3390/plants13202858
APA StyleHe, X., Yin, F., Arif, M., Zheng, J., Chen, Y., Geng, Q., Ni, X., & Li, C. (2024). Diversity Patterns of Plant Communities along an Elevational Gradient in Arid and Semi-Arid Mountain Ecosystems in China. Plants, 13(20), 2858. https://doi.org/10.3390/plants13202858

