Maize, Peanut, and Millet Rotations Improve Crop Yields by Altering the Microbial Community and Chemistry of Sandy Saline–Alkaline Soils
Abstract
1. Introduction
2. Materials and Methods
2.1. Field Site
2.2. Experimental Design
2.3. Sampling
2.4. Measurements and Methods
2.4.1. Crop Yields
2.4.2. Physico-Chemical Attributes of Soil
2.4.3. High-Throughput Sequencing
2.5. Statistical Assessments
3. Results
3.1. Statistical Analysis
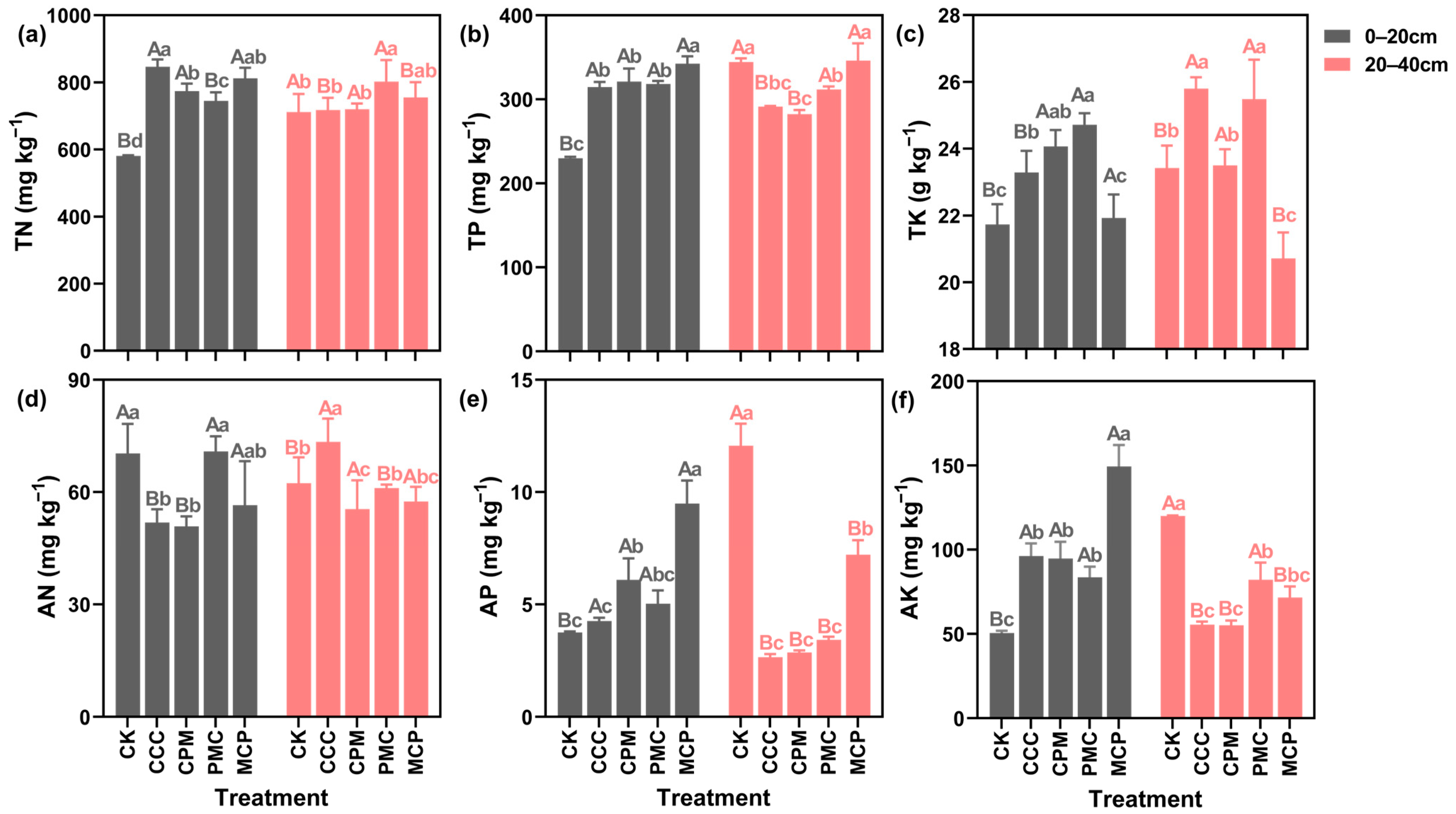
3.2. Soil Nitrogen, Phosphorus and Potassium
3.3. Principal Component Analysis of Soil Chemical Properties
3.4. Changes in Soil Microbial Communities
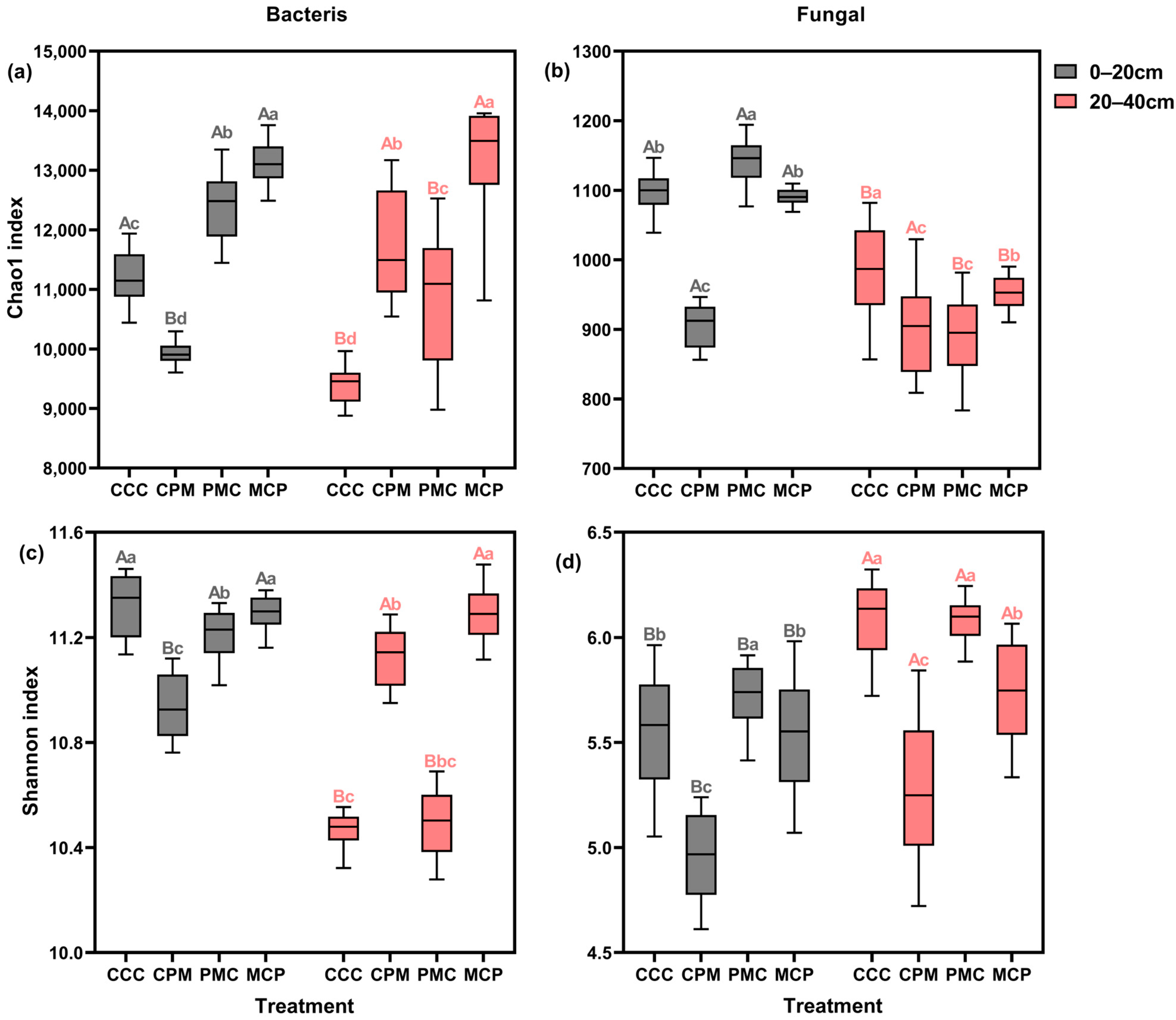
3.4.1. Alpha Diversity of Bacterial and Fungal Communities
3.4.2. Composition of the Bacterial and Fungal Communities
3.4.3. PCA Analysis of Bacterial and Fungal Communities
3.4.4. Co-Occurrence Networks and Ecological Clustering of Bacteria and Fungi
3.4.5. Correlation between Chemical Properties and Microbial Communities
3.4.6. Functional Analyses of Soil Microbial Communities
3.5. Crop Yield and Economic Benefits
3.6. Structural Equation Modelling
4. Discussion
4.1. Significantly Differential Impact of Varying Treatments on Soil Chemical Attributes
4.2. Higher Abundance of Microbial Communities in Rotational Treatment
4.3. Higher Grain Yields in Rotation Treatment
5. Conclusions
Author Contributions
Funding
Data Availability Statement
Acknowledgments
Conflicts of Interest
Abbreviations
| Abbreviations | Explanations |
| CK | 2019 soil samples |
| CPM | Maize–peanut–millet rotations |
| PMC | Peanut–millet–maize rotations |
| MCP | Millet–maize–peanut rotations |
| CCC | Maize continuous cropping |
| SOM | Soil organic matter |
| TN | soil total nitrogen |
| TP | total phosphorus |
| TK | total potassium |
| AN | available nitrogen |
| AP | rapidly available phosphorus |
| AK | available potassium |
References
- Qu, Y.K.; Tang, J.; Zhou, Z.H.; Liu, B.; Duan, Y.C.; Wang, J.J.; Wang, S.N.; Li, Y.F.; Li, Z.Y. The Development and Utilization of Saline-Alkali Land in Western Jilin Province Promoted the Sequestration of Organic Carbon Fractions in Soil Aggregates. Agronomy 2021, 11, 2563. [Google Scholar] [CrossRef]
- Lan, T.; Lu, J.L.; Hao, L.B.; Bai, R.J.; Sun, X.H.; Zhao, X.Y.; Wang, Y.Z. Identification of Saline Soils Using Soil Geochemical Data: A Case Study in Soda-Salinization Areas, NE China. Sustainability 2023, 15, 9302. [Google Scholar] [CrossRef]
- Genitsaris, S.; Stefanidou, N.; Leontidou, K.; Matsi, T.; Karamanoli, K.; Mellidou, I. Bacterial Communities in the Rhizosphere and Phyllosphere of Halophytes and Drought-Tolerant Plants in Mediterranean Ecosystems. Microorganisms 2020, 8, 1708. [Google Scholar] [CrossRef] [PubMed]
- Du, Y.Q.; Liu, X.F.; Zhang, L.; Zhou, W. Drip irrigation in agricultural saline-alkali land controls soil salinity and improves crop yield: Evidence from a global meta-analysis. Sci. Total Environ. 2023, 880, 163226. [Google Scholar] [CrossRef] [PubMed]
- Sun, L.; Wang, S.; Rao, M.P.N.; Shi, Y.; Lian, Z.H.; Jin, P.J.; Wang, W.; Li, Y.M.; Wang, K.K.; Banerjee, A.; et al. The shift of soil microbial community induced by cropping sequence affect soil properties and crop yield. Front. Microbiol. 2023, 14, 1095688. [Google Scholar] [CrossRef] [PubMed]
- Piao, J.L.; Che, W.K.; Li, X.; Li, X.B.; Zhang, C.B.; Wang, Q.S.; Jin, F.; Hua, S. Application of peanut shell biochar increases rice yield in saline-alkali paddy fields by regulating leaf ion concentrations and photosynthesis rate. Plant Soil 2023, 483, 589–606. [Google Scholar] [CrossRef]
- Zhao, X.Y.; Elcin, E.; He, L.Z.; Vithanage, M.; Zhang, X.K.; Wang, J.; Wang, S.; Deng, Y.; Niazi, N.K.; Shaheen, S.M.; et al. Using biochar for the treatment of continuous cropping obstacle of herbal remedies: A review. Appl. Soil Ecol. 2024, 193, 105127. [Google Scholar] [CrossRef]
- Sun, W.G.; Villamil, M.B.; Behnke, G.D.; Margenot, A.J. Long-term effects of crop rotation and nitrogen fertilization on phosphorus cycling and balances in loess-derived Mollisols. Geoderma 2022, 420, 115829. [Google Scholar] [CrossRef]
- Zhou, X.; Wang, T.; Wang, J.; Chen, S.; Ling, W. Research progress and prospect of glomalin-related soil protein in the remediation of slightly contaminated soil. Chemosphere 2023, 344, 140394. [Google Scholar] [CrossRef]
- Bhunia, S.; Bhowmik, A.; Mallick, R.; Mukherjee, J. Agronomic Efficiency of Animal-Derived Organic Fertilizers and Their Effects on Biology and Fertility of Soil: A Review. Agronomy 2021, 11, 823. [Google Scholar] [CrossRef]
- Yu, C.X.; Wang, G.M.; Liu, X.L.; Zhang, H.B.; Ma, Q.; Liu, H.W.; Zhang, Y.; Li, H.X. Effect of Sesbania and Triticale Rotation on Plant Characteristics and Soil Quality in Coastal Saline-alkaline Land: A Two-Year Field Experiment. BioResources 2023, 18, 7109–7123. [Google Scholar] [CrossRef]
- Ma, Y.J.; Shen, S.Z.; Wan, C.; Wang, S.Q.; Yang, F.X.; Zhang, K.Q.; Gao, W.X. Organic fertilizer substitution over six years improves the productivity of garlic, bacterial diversity, and microbial communities network complexity. Appl. Soil Ecol. 2023, 182, 104718. [Google Scholar] [CrossRef]
- Fernandes, M.M.H.; Coelho, A.P.; Silva, M.F.D.; Fernandes, C. Do fallow in the off-season and crop succession promote differences in soil aggregation in no-tillage systems? Geoderma 2022, 412, 115725. [Google Scholar] [CrossRef]
- Skinuliene, L.; Marcinkeviciene, A.; Dorelis, M.; Boguzas, V. The Effect of Long-Term Crop Rotations for the Soil Carbon Sequestration Rate Potential and Cereal Yield. Agriculture 2024, 14, 483. [Google Scholar] [CrossRef]
- Faligowska, A.; Szymanska, G.; Panasiewicz, K.; Szukala, J.; Koziara, W.; Ratajczak, K. The long-term effect of legumes as forecrops on the productivity of rotation (winter rape-winter wheat-winter wheat) with nitrogen fertilization. Plant Soil Environ. 2019, 65, 138–144. [Google Scholar] [CrossRef]
- Wu, G.; Yang, S.; Luan, C.S.; Wu, Q.; Lin, L.L.; Li, X.X.; Che, Z.; Zhou, D.B.; Dong, Z.R.; Song, H. Partial organic substitution for synthetic fertilizer improves soil fertility and crop yields while mitigating N2O emissions in wheat-maize rotation system. Eur. J. Agron. 2024, 154, 127077. [Google Scholar] [CrossRef]
- Zhang, K.; Wei, H.Y.; Chai, Q.; Li, L.L.; Wang, Y.; Sun, J. Biological soil conditioner with reduced rates of chemical fertilization improves soil functionality and enhances rice production in vegetable-rice rotation. Appl. Soil Ecol. 2024, 195, 105242. [Google Scholar] [CrossRef]
- Suwara, I.; Pawlak-Zareba, K.; Gozdowski, D.; Perzanowska, A. Physical properties of soil after 54 years of long-term fertilization and crop rotation. Plant Soil Environ. 2016, 62, 389–394. [Google Scholar] [CrossRef]
- Wei, J.; Cheng, M.; Zhu, J.F.; Zhang, Y.L.; Cui, K.; Wang, X.J.; Qi, J.Z. Comparative Genomic Analysis and Metabolic Potential Profiling of a Novel Culinary-Medicinal Mushroom, Hericium rajendrae (Basidiomycota). J. Fungi 2023, 9, 1018. [Google Scholar] [CrossRef]
- Liu, X.Q.; Liu, H.R.; Zhang, Y.S.; Chen, G.; Li, Z.H.; Zhang, M.C. Straw return drives soil microbial community assemblage to change metabolic processes for soil quality amendment in a rice-wheat rotation system. Soil Biol. Biochem. 2023, 185, 109131. [Google Scholar] [CrossRef]
- Liu, X.Y.; Zhong, L.; Yang, R.X.; Wang, H.Y.; Liu, X.B.; Xue, W.; Yang, H.; Shen, Y.X.; Li, J.L.; Sun, Z.G. Modifying soil bacterial communities in saline mudflats with organic acids and substrates. Front. Microbiol. 2024, 15, 1392441. [Google Scholar] [CrossRef] [PubMed]
- Ghani, M.I.; Ali, A.; Atif, M.J.; Pathan, S.I.; Pietramellara, G.; Ali, M.; Amin, B.; Cheng, Z.H. Diversified crop rotation improves continuous monocropping eggplant production by altering the soil microbial community and biochemical properties. Plant Soil 2022, 480, 603–624. [Google Scholar] [CrossRef]
- Merl, T.; Rasmussen, M.R.; Koch, L.R.; Sondergaard, J.V.; Bust, F.F.; Koren, K. Measuring soil pH at in situ like conditions using optical pH sensors (pH-optodes). Soil Biol. Biochem. 2022, 175, 108862. [Google Scholar] [CrossRef]
- Hui, R.; Zhao, R.M.; Liu, L.C.; Li, X.R. Effect of snow cover on water content, carbon and nutrient availability, and microbial biomass in complexes of biological soil crusts and subcrust soil in the desert. Geoderma 2022, 406, 115505. [Google Scholar] [CrossRef]
- Fang, H.Y. The Effect of Soil Conservation Measures on Runoff, Soil Erosion, TN, and TP Losses Based on Experimental Runoff Plots in Northern China. Water 2021, 13, 2334. [Google Scholar] [CrossRef]
- Huang, T.T.; Yang, N.; Lu, C.; Qin, X.L.; Siddique, K.H.M. Soil organic carbon, total nitrogen, available nutrients, and yield under different straw returning methods. Soil Tillage Res. 2021, 214, 105171. [Google Scholar] [CrossRef]
- Wang, R.T.; Liu, J.X.; Jiang, W.Y.; Ji, P.S.; Li, Y.G. Metabolomics and Microbiomics Reveal Impacts of Rhizosphere Metabolites on Alfalfa Continuous Cropping. Front. Microbiol. 2022, 13, 833968. [Google Scholar] [CrossRef] [PubMed]
- Faust, K. Open challenges for microbial network construction and analysis. Isme J. 2021, 15, 3111–3118. [Google Scholar] [CrossRef] [PubMed]
- Liu, L.; Miao, Q.; Wang, H.Y.; Xue, Y.F.; Qi, S.J.; Zhang, J.S.; Li, J.C.; Meng, Q.F.; Cui, Z.L. Optimizing Phosphorus Application for Winter Wheat Production in the Coastal Saline Area. Agronomy 2022, 12, 2966. [Google Scholar] [CrossRef]
- Saifullah; Dahlawi, S.; Naeem, A.; Rengel, Z.; Naidu, R. Biochar application for the remediation of salt-affected soils: Challenges and opportunities. Sci. Total Environ. 2018, 625, 320–335. [Google Scholar] [CrossRef]
- Zhang, S.; Han, W.; Liu, T.Q.; Feng, C.C.; Jiang, Q.; Zhang, B.; Chen, Y.K.; Zhang, Y. Tetracycline inhibits the nitrogen fixation ability of soybean (Glycine max (L.) Merr.) nodules in black soil by altering the root and rhizosphere bacterial communities. Sci. Total Environ. 2024, 908, 168047. [Google Scholar] [CrossRef] [PubMed]
- Hu, M.; Qu, Z.Y.; Li, Y.; Xiong, Y.W.; Huang, G.H. Contrasting effects of different straw return modes on net ecosystem carbon budget and carbon footprint in saline-alkali arid farmland. Soil Tillage Res. 2024, 239, 106031. [Google Scholar] [CrossRef]
- Aurangzeib, M.; Zhang, S.L.; Yan, S.H.; Zhou, J.H.; Niu, X.G.; Yan, P.K.; Wang, J.Q. Biochar Application Can Improve Most of the Chemical Properties of Acidic Soils: A Global Meta-Analysis. ACS Agric. Sci. Technol. 2024, 4, 292–306. [Google Scholar] [CrossRef]
- Amadou, A.; Song, X.; Huang, S.M.; Song, A.L.; Tang, Z.X.; Dong, W.L.; Zhao, S.C.; Zhang, B.; Yi, K.K.; Fan, F.L. Effects of long-term organic amendment on the fertility of soil, nodulation, yield, and seed quality of soybean in a soybean-wheat rotation system. J. Soils Sediments 2021, 21, 1385–1394. [Google Scholar] [CrossRef]
- Chen, L.; Liu, J.R.; Zhang, W.X.; Zhou, J.Q.; Luo, D.Q.; Li, Z.M. Uranium (U) source, speciation, uptake, toxicity and bioremediation strategies in soil-plant system: A review. J. Hazard. Mater. 2021, 413, 125319. [Google Scholar] [CrossRef] [PubMed]
- Gao, G.; Yan, L.; Tong, K.Q.; Yu, H.L.; Lu, M.; Wang, L.; Niu, Y.S. The potential and prospects of modified biochar for comprehensive management of salt-affected soils and plants: A critical review. Sci. Total Environ. 2024, 912, 169618. [Google Scholar] [CrossRef] [PubMed]
- Venter, Z.S.; Jacobs, K.; Hawkins, H.J. The impact of crop rotation on soil microbial diversity: A meta-analysis. Pedobiologia 2016, 59, 215–223. [Google Scholar] [CrossRef]
- Xu, L.T.; Jin, S.; Su, Y.; Lyu, X.; Yan, S.S.; Wang, C.; Cao, L.; Yan, C.; Ma, C.M. Combined metagenomics and metabolomic analysis of microbial community structure and metabolic function in continuous soybean cropping soils of Songnen Plain, China. Chem. Biol. Technol. Agric. 2024, 11, 46. [Google Scholar] [CrossRef]
- Fan, K.K.; Delgado-Baquerizo, M.; Guo, X.S.; Wang, D.Z.; Zhu, Y.G.; Chu, H.Y. Microbial resistance promotes plant production in a four-decade nutrient fertilization experiment. Soil Biol. Biochem. 2020, 141, 107679. [Google Scholar] [CrossRef]
- Ebrahimi-Zarandi, M.; Etesami, H.; Glick, B.R. Fostering plant resilience to drought with Actinobacteria: Unveiling perennial allies in drought stress tolerance. Plant Stress 2023, 10, 100242. [Google Scholar] [CrossRef]
- Gonçalves, C.M.; de Oliveira, R.J.V.; da Silva, R.M.F.; de Souza, C.A.F.; Lima, D.X.; da Silva, G.A. Mortierella verticillata Linnem. (Mortierellomycota, Mortierellales) isolated from mountainous environments: A first report from South America. Check List 2020, 16, 907–910. [Google Scholar] [CrossRef]
- Zhang, P.; Sun, J.Y.; Li, L.J.; Wang, X.X.; Li, X.T.; Qu, J.H. Effect of Soybean and Maize Rotation on Soil Microbial Community Structure. Agronomy 2019, 9, 42. [Google Scholar] [CrossRef]
- Wang, P.C.; Xie, W.H.; Ding, L.L.; Zhuo, Y.P.; Gao, Y.; Li, J.Q.; Zhao, L.L. Effects of Maize-Crop Rotation on Soil Physicochemical Properties, Enzyme Activities, Microbial Biomass and Microbial Community Structure in Southwest China. Microorganisms 2023, 11, 2621. [Google Scholar] [CrossRef] [PubMed]
- Tao, J.; Wu, L.H.; Gu, W.; Zhang, H.; Xu, Y.J. Effects of continuous application flue-gas desulfurization gypsum and brackish ice on soil chemical properties and maize growth in a saline soil in coastal area of China. Soil Sci. Plant Nutr. 2019, 65, 82–89. [Google Scholar] [CrossRef]
- An, X.; Liu, Q.; Pan, F.X.; Yao, Y.; Luo, X.H.; Chen, C.L.; Liu, T.T.; Zou, L.A.; Wang, W.D.; Wang, J.W.; et al. Research Advances in the Impacts of Biochar on the Physicochemical Properties and Microbial Communities of Saline Soils. Sustainability 2023, 15, 4439. [Google Scholar] [CrossRef]
- Mavi, M.S.; Singh, G.; Singh, B.P.; Sekhon, B.S.; Choudhary, O.P.; Robert, S.S.; Berry, R. Interactive effects of rice-residue biochar and N-fertilizer on soil functions and crop biomass in contrasting soils. J. Soil Sci. Plant Nutr. 2018, 18, 41–59. [Google Scholar]
- Saijai, S.; Ando, A.; Inukai, R.; Shinohara, M.; Ogawa, J. Analysis of microbial community and nitrogen transition with enriched nitrifying soil microbes for organic hydroponics. Biosci. Biotechnol. Biochem. 2016, 80, 2247–2254. [Google Scholar] [CrossRef] [PubMed]
- Hu, H.M.; Liu, L.L.; Zhang, X.; Lin, Y.; Shen, X.C.; Long, S.H.; Kang, J.C.; Wijayawardene, N.N.; Li, Q.R.; Long, Q.D. New species and records of Neomassaria, Oxydothis and Roussoella (Pezizomycotina, Ascomycota) associated with palm and bamboo from China. MycoKeys 2022, 93, 165–191. [Google Scholar] [CrossRef] [PubMed]
- Wu, X.; Hu, H.; Li, G.; Zhao, J.N.; Wang, L.L.; Zhang, G.L.; Xiu, W.M. Chemical fertilizer reduction combined with organic materials enhances nematode community structure stability. Arch. Agron. Soil Sci. 2023, 69, 399–416. [Google Scholar] [CrossRef]
- Zhou, Q.X.; Li, N.N.; Chang, K.F.; Hwang, S.F.; Strelkov, S.E.; Conner, R.L.; McLaren, D.L.; Fu, H.T.; Harding, M.W.; Turnbull, G.D. Genetic diversity and aggressiveness of Fusarium species isolated from soybean in Alberta, Canada. Crop Prot. 2018, 105, 49–58. [Google Scholar] [CrossRef]









| Ingredient | Initial Eigenvalue | Extracting the Sum of Squared Loads | Score | ||||
|---|---|---|---|---|---|---|---|
| Total | Percentage of Variance | Accumulation % | Total | Percentage of Variance | Accumulation % | ||
| EC | 3.19 | 35.46 | 35.46 | 3.19 | 35.46 | 35.46 | 0.71 |
| pH | 2.58 | 28.65 | 64.11 | 2.58 | 28.65 | 64.11 | 0.23 |
| AK | 1.47 | 16.51 | 80.63 | 1.49 | 16.51 | 80.63 | 0.28 |
| SOM * | 0.85 | 9.48 | 90.10 | 0.07 | |||
| AN | 0.52 | 5.98 | 96.08 | −0.09 | |||
| AP | 0.12 | 1.38 | 97.46 | −0.46 | |||
| TN | 0.11 | 1.21 | 98.67 | 0.89 | |||
| TK | 0.07 | 0.76 | 99.43 | −0.93 | |||
| TP | 0.05 | 0.57 | 100.00 | 0.83 | |||
| Soil Layer (cm) | Treatment | N Metabolism | P Metabolism | Plant Pathogen |
|---|---|---|---|---|
| 0–20 | CCC * | 0.46 ± 0.00 c | 0.10 ± 0.00 b | 0.15 ± 0.00 a |
| PMC | 0.65 ± 0.04 a | 0.17 ± 0.04 a | 0.12 ± 0.02 b | |
| CPM | 0.50 ± 0.02 b | 0.15 ± 0.05 ab | 0.11 ± 0.03 b | |
| MCP | 0.50 ± 0.02 b | 0.14 ± 0.04 ab | 0.12 ± 0.01 b | |
| 20–40 | CCC | 0.32 ± 0.01 c | 0.08 ± 0.01 c | 0.16 ± 0.00 a |
| PMC | 0.53 ± 0.03 a | 0.13 ± 0.02 b | 0.13 ± 0.01 b | |
| CPM | 0.42 ± 0.12 b | 0.16 ± 0.01 a | 0.13 ± 0.01 b | |
| MCP | 0.44 ± 0.00 b | 0.14 ± 0.01 ab | 0.12 ± 0.01 b |
| Year | Patterns | Crop Types | Input (USD ha−1) | Yield (t ha−1) | Price (USD kg−1) | Output (USD ha−1) | Net Output (USD ha−1) | Output/Input (%) |
|---|---|---|---|---|---|---|---|---|
| 2020 | CPM | Maize | 1733.68 | 12.94 | 319.93 | 4141.14 | 2407.46 | 238.86 |
| PMC | peanut | 1902.33 | 2.65 | 1130.78 | 2994.08 | 1091.75 | 157.39 | |
| MCP | millet | 1559.65 | 3.89 | 661.92 | 2573.08 | 1013.43 | 164.98 | |
| CCC * | Maize | 1733.68 | 9.85 | 319.93 | 3151.29 | 1417.61 | 181.77 | |
| 2021 | CPM | Maize | 1842.34 | 13.66 | 340.61 | 4652.75 | 2810.40 | 252.55 |
| PMC | peanut | 2111.25 | 3.03 | 1185.94 | 3591.47 | 1480.22 | 170.11 | |
| MCP | millet | 1657.56 | 4.73 | 689.50 | 3259.96 | 1602.40 | 196.67 | |
| CCC | Maize | 1842.34 | 9.59 | 340.61 | 3267.13 | 1424.78 | 177.34 | |
| 2022 | CPM | Maize | 2096.08 | 13.01 | 372.33 | 4845.12 | 2749.04 | 231.15 |
| PMC | peanut | 2275.35 | 3.44 | 1379.00 | 4740.31 | 2464.96 | 208.33 | |
| MCP | millet | 1820.28 | 5.76 | 581.94 | 3352.49 | 1532.21 | 184.17 | |
| CCC | Maize | 2096.08 | 10.56 | 372.33 | 3930.29 | 1834.21 | 187.51 | |
| Average | CPM | - | 1890.75 | 13.21 | 344.75 | 4546.29 | 2655.68 | 240.45 |
| PMC | - | 2096.36 | 3.04 | 1231.45 | 3775.29 | 1678.93 | 180.09 | |
| MCP | - | 1679.21 | 4.79 | 643.99 | 3061.79 | 1382.72 | 182.34 | |
| CCC | Maize | 1890.75 | 10.00 | 344.75 | 3449.57 | 1558.96 | 182.44 |
Disclaimer/Publisher’s Note: The statements, opinions and data contained in all publications are solely those of the individual author(s) and contributor(s) and not of MDPI and/or the editor(s). MDPI and/or the editor(s) disclaim responsibility for any injury to people or property resulting from any ideas, methods, instructions or products referred to in the content. |
© 2024 by the authors. Licensee MDPI, Basel, Switzerland. This article is an open access article distributed under the terms and conditions of the Creative Commons Attribution (CC BY) license (https://creativecommons.org/licenses/by/4.0/).
Share and Cite
Zhang, L.; Zhu, J.; Zhang, Y.; Xia, K.; Yang, Y.; Wang, H.; Li, Q.; Cui, J. Maize, Peanut, and Millet Rotations Improve Crop Yields by Altering the Microbial Community and Chemistry of Sandy Saline–Alkaline Soils. Plants 2024, 13, 2170. https://doi.org/10.3390/plants13152170
Zhang L, Zhu J, Zhang Y, Xia K, Yang Y, Wang H, Li Q, Cui J. Maize, Peanut, and Millet Rotations Improve Crop Yields by Altering the Microbial Community and Chemistry of Sandy Saline–Alkaline Soils. Plants. 2024; 13(15):2170. https://doi.org/10.3390/plants13152170
Chicago/Turabian StyleZhang, Liqiang, Jianguo Zhu, Yueming Zhang, Kexin Xia, Yuhan Yang, Hongyu Wang, Qiuzhu Li, and Jinhu Cui. 2024. "Maize, Peanut, and Millet Rotations Improve Crop Yields by Altering the Microbial Community and Chemistry of Sandy Saline–Alkaline Soils" Plants 13, no. 15: 2170. https://doi.org/10.3390/plants13152170
APA StyleZhang, L., Zhu, J., Zhang, Y., Xia, K., Yang, Y., Wang, H., Li, Q., & Cui, J. (2024). Maize, Peanut, and Millet Rotations Improve Crop Yields by Altering the Microbial Community and Chemistry of Sandy Saline–Alkaline Soils. Plants, 13(15), 2170. https://doi.org/10.3390/plants13152170

