Abstract
As a new vector insect of pine wood nematodes in China, the Monochamus saltuarius (Coleoptera: Cerambycidae) vectors pine wilt nematodes into healthy pine trees through feeding and oviposition, resulting in huge economic losses to forestry. A promising control strategy is to develop safe and efficient attractants. This study aims to screen for the key active volatiles of Pinus koraiensis (Pinales: Pinaceae), Pinus tabuliformis (Pinales: Pinaceae), and Picea asperata (Pinales: Pinaceae) that can attract M. saltuarius, and to study the synergistic attraction of the main attractant plant volatiles with ethanol and insect aggregation pheromones. The preference of M. saltuarius for three hosts is P. koraiensis > P. tabuliformis > Picea asperata. We detected 18 organic volatiles from three host plants. Through EAG assays and indoor Y-tube behavioral experiments, 3-carene, (-)-camphor, β-pinene, α-phellandrene, terpinolene, α-pinene, D-limonene, and myrcene were screened to have attractive effects on M. saltuarius. We found that 3-carene, β-pinene, and α-pinene are the most attractive kairomones in field experiments, which may play a crucial role in the host localization of M. saltuarius. Ethanol has a synergistic effect on the attractant activity of 3-carene and β-pinene, and the synergistic effect on β-pinene is the best. The mixture of ethanol, 2-undecyloxy-1-ethanol, and ipsdienol can significantly enhance the attraction effect of β-pinene on M. saltuarius. These new findings provide a theoretical basis for the development of attractants for adult M. saltuarius and contribute to the green control of M. saltuarius.
1. Introduction
Monochamus saltuarius (Coleoptera: Cerambycidae) is an important forest pest in Eurasia, feeding on important forest trees, such as Pinus koraiensis (Pinales: Pinaceae), Pinus tabuliformis (Pinales: Pinaceae), and Picea asperata (Pinales: Pinaceae) [1]. It affects tree growth and lumber quality and further reduces the economic value of wood. Recently, M. saltuarius has been identified as a vector for pine wood nematodes (PWNs) Bursaphelenchus xylophilus (Tylenchida: aphelenchidae) in Japan, Korea, and China, introducing PWNs into host plants through feeding and reproduction [2]. B. xylophilus is a plant-parasitic nematode native to North America that later invaded Europe and Asia and widely distributed in East Asia, causing deadly pine wood nematode disease and increasing the risk of tree death [3,4]. The spread of PWNs between host trees is mainly mediated by vector insects, and the Monochamus spp. are the main vectors [5,6,7,8,9]. In Northeast China, M. saltuarius plays a role in the transmission of pine wood nematodes and causes damage to important economic trees [8]. It is of great significance to develop attractants that can trap M. saltuarius efficiently for forest protection and management.
At present, the common strategies of insect pest control are chemical control, biological control, and breeding-resistant varieties [10,11,12,13]. Chemical control is the main method used to control pests, but there are also many problems with using chemical pesticide, such as polluting the environment, affecting non-target organisms, producing drug resistance, and so on [14,15,16,17]. It has been shown that insects determine the host location by detection of precise volatile ratios [18,19], and subtle changes in the volatile ratios of host plants can alter the behavior of insects and alter their perception and orientation [20]. Developing efficient attractants to trap M. saltuarius is a feasible and eco-friendly method for its controlling.
Plant volatiles can serve as semiochemicals to attract or repel insects. The volatiles of different host plants are significantly different, and are specific signal substances between plants in the same ecological environment, and are also important semiochemicals that directly affect the feeding and laying choice of adult insects. In short, plant volatiles play a very important role in the specific host and mate location for insects [21,22,23]. For example, the specific combination of α-pinene, camphene, and β-pinene was reported to be attractive to female Conogethes punctiferalis (Lepidoptera: Pyralidae) [24]. The compound 1-Octen-3-ol, a volatile from mango, induced the oviposition of female Bactrocera dorsalis Hendel (Diptera: Tephritidae) [25]. (Z)-3-Hexenyl-acetate in maize volatiles was reported to attract female Spodoptera frugiperda (Lepidoptera: Noctuidae) and stimulate oviposition [26]. 3-carene was found to be attractive for Dendroctonus and Hylurgops [27]. In addition, ethanol combined with host plant volatiles enhances the attraction of Monochamus species [28,29]. There are two types of volatile attractant pheromones in longhorn beetles (Coleoptera: Cerambycidae), aggregation pheromones and sex pheromones [30], which play an important role in pest control. In Monochamus titillator (Coleoptera: Cerambycidae) adults, males release aggregation pheromones and females release non-volatile contact pheromones [31], which enable male and female adults to recognize each other in sexual communication. The male adults of Monochamus alternatus (Coleoptera: Cerambycidae), M. titillator, and M. saltuarius lure female adults by releasing aggregation pheromones [32,33,34]. Moreover, pheromones of the same species in different subfamilies or genera have similar pheromone components [35]. The pheromones released by different species with the same host can also serve as mutualistic attractants for feeding or oviposition localization [33]. It is meaningful to find the key volatiles from the host plant and study the synergistic effect of plant volatiles and other pheromones for the development of M. saltuarius attractants.
Pinus koraiensis, P. tabuliformis, and Picea asperata are the main host plants of M. saltuarius. This article mainly analyzes the volatiles of these three host plants and selects host plant volatile organic compounds (VOCs) that have a seductive effect on M. saltuarius. At the same time, combining insect aggregation pheromones, the composite formulas of pheromones and VOCs were studied to screen attractants that can effectively attract adults of M. saltuarius. This plays an important role in green controlling the population of M. saltuarius and preventing the further spread of pine wilt disease.
2. Results
2.1. Feeding Preferences of M. saltuarius
The feeding areas of three host plants were as follows: P. koraiensis (959.00 ± 238.73 mm2/6 head/3d) > P. tabuliformis (452.25 ± 50.79 mm2/6 head/3d) > Picea asperata (269.25 ± 72.59 mm2/6 head/3d). There were significant differences in the feeding amount of the three plants, and the adults of M. saltuarius ate more P. koraiensis than P. tabuliformis and Picea asperata (p < 0.05) (Figure 1).
Figure 1.
Feeding preference assay of Monochamus saltuarius to three host plants: Pinus koraiensis, Pinus tabuliformis, and Picea asperata. Different lowercase letters indicate significant differences at p < 0.05.
2.2. Volatiles Identification of 3 Host Plants
There are mainly 18 volatile organic compounds in the volatiles of the three host plants of P. koraiensis, P. tabuliformis, and P. asperata, which can be divided into five categories: terpenes, aldehydes, ketones, alkanes, and esters (Table 1).
Table 1.
Volatiles identification of Pinus koraiensis, Pinus tabuliformis, and Picea asperata.
The volatile compounds of P. koraiensis contain four groups of compounds: terpenes (accounting for 98.83%), ketones (accounting for 0.74%), alkanes (accounting for 0.33%), and esters (accounting for 0.10%). Among the volatiles of P. koraiensis, terpenes make up the highest proportion, with D-limonene having the highest relative content of 28.00 ± 3.85%, followed by 3-carene, with a relative content of 22.75 ± 3.74%. The volatile compounds of P. tabuliformis contain two types of volatile compounds: terpenes (95.49%) and alkanes (4.51%), among which, β-pinene accounts for the largest proportion, at 34.62 ± 6.71%. There are three types of compounds in plant volatiles of P. asperata: terpenes (94.13%), aldehydes (1.99%), and ketones (3.87%). Among them, D-limonene makes up the highest relative content at 40.73 ± 8.14%, followed by 3-carene at 20.76 ± 6.18% (Table 1).
Limonene, α-pinene, and β-pinene were identified in three host plants, and their relative contents were high. The content of D-limonene in P. asperata was significantly higher than that of P. tabuliformis and P. koraiensis (p < 0.05). The contents of α-pinene and β-pinene in P. tabuliformis were significantly higher than those in P. koraiensis and P. asperata (p < 0.05). 3-carene, β-myrcene, and (-)-camphor were only present in P. tabuliformis and P. asperata, and the content of the three volatiles among the two plants was significantly different (p < 0.05). This may have contributed to the feeding preference of M. saltuarius (Table 1).
2.3. Electrophysiological Responses of M. saltuarius Adults to Volatiles in 3 Host Plants
From the analyzed plant volatiles, 11 compounds with a high relative content or those that have been reported to have attractant activity were selected for EAG experiments. As shown in Figure 2, the adults of M. saltuarius exhibited different degrees of EAG reaction to the 11 compounds, and the EAG relative response values of M. saltuarius to these volatiles at 100 μg/μL were greater than 10 μg/μL. At concentrations of 100 μg/μL, α-pinene, β-pinene, 3-carene, (-)-camphor, terpinolene, D-limonene, α-phellandrene, and myrcene, the relative antennal responses were 150% greater in both female and male insects (Figure 2).
Figure 2.
Electroantennography (EAG) relative response values of female and male M. saltuarius adults to the 11 active volatiles. (A) The 10 μg/μL active volatiles. (B) The 100 μg/μL active volatiles. Different lowercase letters on the bars are significantly different among EAG relative response values at different volatiles (p < 0.05 by Duncan’s multiple analysis).
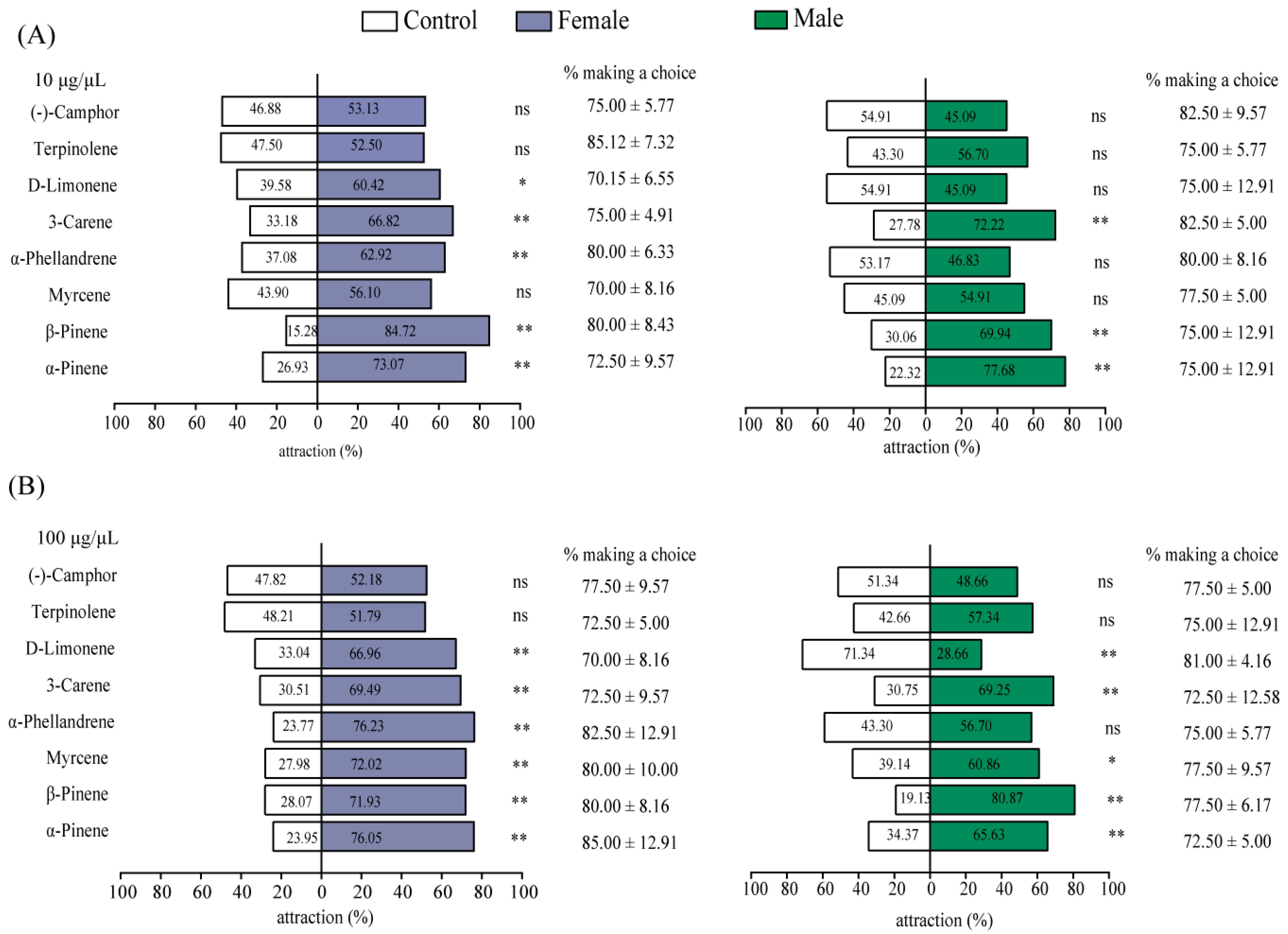
2.4. Olfaction Selection Preference on Antennal-Active Host Volatiles by Y-Tube Assay
To evaluate the effect of host plant volatiles on the directional behavior of M. saltuarius, eight host plant volatiles that can induce strong EAG responses were used for indoor Y-tube experiments. As shown in Figure 3, at the concentration of 10 μg/μL and 100 μg/μL, female insects can be significantly attracted by D-limonene (p < 0.05), but when the concentration of D-limonene is 100 μg/μL, female insects can be significantly attracted (p < 0.01) and male insects can be significantly repelled (p < 0.01). The 3-carene, β-pinene, and α-pinene at concentrations of 10 μg/μL and 100 μg/μL were highly attractive to both males and females (p < 0.01). α-Phellandrene at concentrations of 10 μg/μL and 100 μg/μL can significantly attract female adults (p < 0.01), but has no significant attractant or repellent effect on male adults (p > 0.05). When the concentration of myrcene was 10 μg/μL, it had no significant attractant or repellent effect on female and male M. saltuarius (p > 0.05), but when the concentration of myrcene was 100 μg/μL, it had a significant attractant effect on male (p < 0.05) and female (p < 0.01) insects. Camphor and terpinolene at concentrations of 10 μg/μL and 100 μg/μL had no significant attractant or repellent effects on female or adult insects (p > 0.05) (Figure 3). In conclusion, 3-carene, β-pinene, and α-pinene had the best trapping effect on M. saltuarius. At the same time, males and females showed different selectivity to D-limonene.
Figure 3.
Olfactory behavioral responses of female and male Monochamus saltuarius adults to 8 antennal-active host volatiles at 10 μg/μL (A) and 100 μg/μL (B). Asterisks (** and *) in the figure indicate significant differences at the p < 0.01 and p < 0.05 levels, respectively, by the Chi-squared test. ‘ns’ indicates no significant difference.
2.5. Forest Trapping Effects of 8 Active Volatiles to M. saltuarius Adults
We tested the trapping effect of eight antennal active volatiles on M. saltuarius adults in the forest. It was found that different volatiles had different trapping effects on adults of M. saltuarius. As presented in Figure 4, during 12 days of continuous observation, camphor, terpinolene, and D-limonene had a poor trapping effect on M. saltuarius which was not significantly different from the control (p > 0.05). α-Phellandrene, myrcene, 3-carene, β-pinene, and α-pinene had a significant trapping effect on M. saltuarius that was significantly higher than that of the control (p < 0.05) at 6 d, 9 d, and 12 d (Figure 4). Moreover, the trapping effects of 3-carene, β-pinene, and α-pinene were significantly greater than α-phellandrene and myrcene at 9 d and 12 d (Figure 4).
Figure 4.
Effects of forest trapping of 8 antennally-active volatiles on M. saltuarius adults at 3 d, 6 d, 9 d, and 12 d. Different letters on the bars indicate significant differences among the active volatiles at the same conditions (p < 0.05, Duncan’s multiple analysis).
2.6. Field Trapping Effects of Blends on M. saltuarius Adults
2.6.1. Responses of M. saltuarius Adults to Blends of Single Volatile and Ethanol
We studied the synergistic effects of ethanol on 3-carene, β-pinene, and α-pinene, respectively. It was found that ethanol had a good synergistic effect. When the lures were used for 9 d and 12 d in the forest, ethanol had a significant synergistic effect on 3-carene, β-pinene, and α-pinene, and the synergistic effect on β-pinene was the best (Figure 5). The price of β-pinene is cheaper than 3-carene, and it is more suitable for the development of pheromone products. Therefore, the synergistic effect of 2-undecyloxy-1-ethanol, ipsenol, and ipsdienol on β-pinene was further studied.
Figure 5.
Mean catches of Monochamus saltuarius adults in traps baited from 3 d to 12 d, with 180 mL α-pinene, 180 mL β-pinene, 180 mL 3-carene, 135 mL α-pinene + 45 mL ethanol, 135 mL β-pinene + 45 mL ethanol, 135 mL 3-carene + 45 mL ethanol. Different lowercase letters on the bars mean significantly differences in the means by Duncan’s multiple analysis (p < 0.05).
2.6.2. Responses of M. saltuarius Adults to Blends of β-Pinene, Ethanol and 2-Undecyloxy-1-ethanol
Based on the synergistic effect of ethanol, we compared the synergistic effects of β-pinene and ethanol combined with different doses of 2-undecyloxy-1-ethanol on the attraction of M. saltuarius adults. It was found that β-pinene, ethanol, and 2-undecyloxy-1-ethanol had a synergistic effect. According to the trapping effect on day 6 and day 12, the number of trapped adults changed with the increase in the concentration of 2-undecyloxy-1-ethanol. The trapping efficacy was as follows: 0 μL < 20 μL < 50 μL < 200 μL < 100 μL 2-undecyloxy-1-ethanol (Figure 6). The trapping effect was best when 100 μL of 2-undecyloxy-1-ethanol was mixed with β-pinene and ethanol, and the mean number of adults captured was respectively, 12.6 ± 1.8 adults/6d/trap and 19.6 ± 1.0 adults/12d/trap, respectively (Figure 6).
Figure 6.
Mean catches of M. saltuarius adults in traps baited with 135 mL β-pinene, 45 mL ethanol, and different volumes of 2-undecyloxy-1-ethanol (0 μL, 20 μL, 50 μL, 100 μL, 200 μL). The data on the Y-axis are mean ± standard error (p < 0.05, Duncan’s multiple analysis).
2.6.3. Responses of M. saltuarius Adults to Blends of β-Pinene, Ethanol, 2-Undecyloxy-1-ethanol, and Pheromones of Bark Beetles
Ipsenol and ipsdienol are aggregation pheromones of bark beetles that have been reported to synergistically enhance attraction to some Monochamus species with plant volatiles and pheromones. Therefore, based on the above results, we compared the synergistic effects of ipsenol and ipsdienol on the mixture of 135 mL β-pinene, 45 mL ethanol, and 100 μL 2-undecyloxy-1-ethanol. It was found that, after the addition of 20 μL or 40 μL ipsdienol, the lure effect of the mixture on M. saltuarius was as follows: 40 μL ipsdienol > 40 μL ipsdienol+ 40 μL ipsenol > 20 μL ipsdienol > 20 μL ipsenol > 40 μL ipsenol (Figure 7). The addition of 40 μL ipsenol did not indicate a significant synergistic effect with the mixture of 135 mL β-pinene + 45 mL ethanol + 100 μL 2-undecyloxy-1-ethanol at 6 d and 12 d, while 20 μL ipsdienol and 40 μL ipsdienol showed a significant synergistic effect (Figure 7). Thus, ipsdienol and plant-derived compounds β-pinene, ethanol, and monochamol have a good synergistic effect, which is suitable for the development of efficient trapping agents for M. saltuarius.
Figure 7.
Mean number of M. saltuarius adults caught in traps baited with (1) 20 μL ipsdienol+ 135 mL β-pinene + 45 mL ethanol+ 100 μL 2-undecyloxy-1-ethanol, (2) 40 μL ipsdienol+ 135 mL β-pinene + 45 mL ethanol+ 100 μL 2-undecyloxy-1-ethanol, (3) 20 μL ipsenol+ 135 mL β-pinene + 45 mL ethanol+ 100 μL 2-undecyloxy-1-ethanol, (4) 40 μL ipsenol+ 135 mL β-pinene + 45 mL ethanol+ 100 μL 2-undecyloxy-1-ethanol, (5) 40 μL ipsdienol +40 μL ipsenol + 135 mL β-pinene + 45 mL ethanol+ 100 μL 2-undecyloxy-1-ethanol, (6) 135 mL β-pinene + 45 mL ethanol+ 100 μL 2-undecyloxy-1-ethanol. Different letters on the bars indicate significantly differences by Duncan’s multiple analysis (p < 0.05).
3. Discussion
The selection and location of host plants are crucial for the survival and reproduction of herbivorous insects, which can distinguish nutritional and toxic compounds through their olfactory and gustatory systems [36,37,38]. Adults can detect and distinguish volatile substances from specific plants through VOCs [39,40,41,42], thus helping them search for host plants for oviposition or feeding.
This study collected and identified 18 VOCs from the following three host plants: P. koraiensis, P. tabuliformis, and P. asperata. These compounds mainly include terpenes, aldehydes, ketones, alkanes, and esters, with terpenes accounting for the largest proportion. α-Pinene β-pinene, and D-limonene were found in all three plants. Among terpenes, 3-carene and myrcene are present in P. koraiensis and P. asperata, while phellandrene and camphene are only identified in P. koraiensis. α-Pinene, β-pinene, 3-carene, myrcene, phellandrene, camphene, camphor, terpinolene, benzaldehyde, and γ-terpinene are relatively high in plants and some of them have been reported to attract other herbivorous insects [43,44]. D-Limonene is used as a repellent in some herbivorous insects. So, it is speculated that these 11 compounds may be potential attractants or repellent components for M. saltuarius. And, M. saltuarius revealed different degrees of EAG response to the 11 compounds, and the relative values of EAG responses to the 11 VOCs increase with increasing concentration. The EAG reaction cannot determine the selection or avoidance of compounds by M. saltuarius. From the analyzed compounds, 8 substances with strong EAG reaction values in M. saltuarius were selected for Y-tube behavior experiments. These results indicate that at two concentrations (10 μg/μL, 100 μg/μL), α- pinene, 3-carene, and β-pinene have significant attractant activity for both male and female adults of M. saltuarius, which may be the main plant-derived volatiles affecting host location.
The volatiles of the host plant of M. saltuarius are complex, and the composition and proportion of host volatiles may be influenced by various factors, such as plant age and physiological conditions, season, and biological and abiotic damage, all of which may affect the attractiveness to M. saltuarius [45,46]. Specific compounds from non-host plants may also be beneficial for host recognition [46,47,48,49,50]. This study indicates that, in forest trapping, 3-carene, β-pinene, and α-pinene have a strong attractive effect on M. saltuarius, with 3-carene having the highest number of individuals caught in traps.
Ethanol is a volatile indicator of stress and dying trees. When trees are stressed, the volatilization of ethanol from trees increases significantly. But, ethanol is attractive to some insects [51,52,53,54]. And, it has been reported that ethanol can work synergistically with α-pinene to increase the attraction effect of some beetles [49]. This study showed that β-pinene combined with ethanol had the best trapping effect on M. saltuarius. And, compared to using β-pinene, 3-carene, or α-pinene alone, the three volatiles combined with ethanol as a lure, have a higher number of individuals caught in traps. There is a synergistic effect between ethanol and the three compounds that enhances the attraction of M. saltuarius.
Compared with host volatiles, the aggregation pheromone of M. saltuarius is considered to have better attractant activity due to a higher sensitivity and selectivity [30,35]. The trapping effect of A. glabripennis on aggregation pheromones combined with plant volatiles was greater than that of aggregation pheromones alone [55]. Plant volatile compounds increase the attraction of sex pheromones to Holotrichia parallela (Coleoptera: Scarabaeidae), and a mixture of (E)-2-hexenyl acetate and sex pheromones results in significantly higher catches than sex pheromones alone [56]. It is reported that the combined use of different types of pheromones can effectively improve the attraction effect of Xylotrechus pyrrhoderus (Coleoptera: Cerambycidae), and when the sex pheromone (3-hydroxy-2-hexanone and 3-hydroxy-2-octanone) and the host pheromone (methyl benzoate) are mixed, its attraction effect is better [57]. The results showed that the aggregation pheromone 2-undecyloxy-1-ethanol had a synergistic effect on the combination of β-pinene and ethanol in the forest trapping. The trapping effect of the mixture with 2-undecyloxy-1-ethanol was significantly higher than that of the treatment without 2-undecyloxy-1-ethanol.
Different herbivorous insects may parasitize or lay eggs on the same host plant. To identify the same species on the host plant, more specific olfactory recognition pheromones are needed. As evolution progress, different insects feeding on the same host plant may also recognize each other’s pheromones. The suitable habitat of M. saltuarius, Monochamus galloprovincialis (Coleoptera: Cerambycidae), and bark beetles overlaps. The pheromones of bark beetles, ipsenol and ipsdienol, were also identified as synergists of the aggregation pheromone for M. galloprovincialis adults [58]. This study found that ipsdienol can also synergistically increase the trapping effect by mixing with aggregation pheromones of M. saltuarius and host plant volatiles.
This article describes a study on the feeding preferences of three hosts, the components of host volatiles, and the responses of M. saltuarius to host volatiles. The synergistic effects of host volatiles, ethanol, 2-undecyloxy-1-ethanol, and the pheromones of bark beetles were also evaluated. However, there are still some issues that need further exploration. The volatile compounds of host plants in the forest, as background odors, are usually complex in composition, and further exploration is needed to investigate the effects of the interactions between the components of host volatiles on the attraction of M. saltuarius. The different ratios of volatile organic compounds from different host plants on the attraction effect on M. saltuarius require further research. For other species with the same host, pheromones released by them can also serve as mutualists, which might be recognized by M. saltuarius for feeding or oviposition localization. Further research is needed to investigate the kairomonal attraction of pheromone components from other species to M. saltuarius or their interactions with identified host plant volatiles.
Developing attractants for longhorn beetles is a promising control strategy, but there are still some potential limitations and challenges. At present, most of the attractants developed can only trap sexually matured longhorn beetles, which have already spread pine nematodes through feeding and caused certain harm to trees. Therefore. it is urgent to develop attractants to trap longhorn beetles during their maturation feeding period. In addition, attractants were generally used to catch longhorn beetles to help control the pest population, but the control effects were limited. However, the attractants and chemical pesticides can be combined to improve the utilization efficiency of pesticides and reduce their use. In short, the development of attractants is promising, and we should make efforts to improve the effectiveness of attractants and overcome the challenges.
4. Materials and Methods
4.1. Insects and Plants
The insects of M. saltuarius used in the experiment were obtained from a farm in Qingyuan Manchu Autonomous County, Fushun City, Liaoning Province, China. They were lured and caught by traps, kept in insect cages, and fed with branches of P. koraiensis, and fresh branches were replaced every 2 days. Five-year-old healthy P. koraiensis, P. tabuliformis, and P. asperata were selected as test plants.
4.2. Chemicals
The CAS number, purity, and sources of chemicals involved in the research are listed in Table 2.
Table 2.
Information of compounds in the study.
4.3. Host Plant Preference Assays of M. saltuarius
Different plants were used to study the feeding tendency of M. saltuarius. Host materials were obtained by cutting 30 cm long fresh branches from the tops of three types of plants: P. koraiensis, P. tabuliformis, and P. asperata. The cut branches were placed in insect cages (1 m × 1 m × 0.5 m), with a lighting setting of 16 L: 8 D. In each cage, 6 adults of M. saltuarius, 3 females and 3 males, who had been hungry for 6 h and were still active were used for host plant preference assays. We fed the adults of M. saltuarius for 3 d, replaced fresh branches daily, and calculated the feeding area of the branches. Each experiment was repeated 8 times. The feeding marks on the branches were replicated using sulfuric acid paper, and the feeding area of the branches was calculated using coordinate paper.
4.4. Volatile Analysis of Three Host Plants
The plant volatiles from 3 healthy host plants in healthy states were collected using the methods of Fan et al. [59]. The side branches of tested plants were sealed in oven bags (Polypropylene, 482 × 569 mm, Reynolds, Patrick County, VA, USA) for 6 h. We inserted two polytetrachloroethylene pipes were inserted into the bag opening and tied tightly with iron wire. The bag opening was wrapped and sealed with parafilm sealing film. One served as the exhaust rubber pipe and the other served as the intake rubber pipe. One end of the intake rubber tube was connected to an activated carbon sampling tube and the activated carbon tube was also connected to the air inlet of the atmospheric sampler through a polytetrachloroethylene tube. The outlet rubber tube was connected to a TENAX tube (which contains 200 mg of adsorbent), and the other end of the TENAX tube was also connected to the air inlet of the atmospheric sampler through a rubber tube, forming a closed loop that enabled air to flow out sequentially from the inlet of the atmospheric sampler, activated carbon tube, sampling bag, TENAX tube, and the outlet of the atmospheric sampler. The TENAX tube was activated at 300 °C for 3 h in advance as an adsorption tube. The atmospheric sampler had a flow rate of 0.5 L/min and, after 6 h of collection, the adsorption tube was removed and marked. The two ends were sealed tightly with parafilm sealing film and stored in a −80 °C freezer for testing. Volatile substances were analyzed using GC-MS-QP 2010 gas chromatography–mass spectrometry (Agilent, Santa Clara, CA, USA). Each experiment was repeated 3 times.
4.5. Electroantennography
For the electroantennography (EAG) assays, an EAG detector (Syntech-IDAC 4, Kirchzarten, Germany) was used to record the olfactory response of M. saltuarius to volatile compounds. We fixed the head was fixed and the complete antennae of the M. saltuarius was cut. The antenna was connected to the electrode using Spectra 360 conductive adhesive (Parker Laboratories, Fairfield, NJ, USA), with the base of the antenna connected to the reference electrode and the tip of the tail of the antenna connected to the recording electrode. The different chemicals were dissolved in paraffin oil at concentrations of 10 μg/μL and 100 μg/μL, respectively, and paraffin oil was used as control. An aliquot of 20 μL of solvent was applied to a 5 mm × 20 mm filter paper strip and the filter paper strip was placed completely inside the Pasteur pipette. The Pasteur pipette was connected to the airflow control device and the tip was inserted into the side hole of the mixing tube. A continuous airflow flow rate, set at 120 mL/min, stimulated the airflow flow rate to 20 mL/min, and the stimulation source was about 1.5 cm away from the antenna. The duration of each stimulation was 0.2 s, with a 1 min interval between the two stimuli to avoid antenna fatigue or adaptation. Paraffin oil was applied at the beginning and end of the trial (one antenna) to monitor antenna status. The EAG response values were normalized relative to the average response to paraffin oil. There were 8 replicates for each male and female adult.
4.6. Olfactory Behavioral Responses to Synthetic Active Volatiles
A total of 8 chemicals were selected from the volatiles of the main host plants of M. saltuarius for Y-tube olfactometer experiments. These compounds were as follows: (-)-camphor, terpinolene, D-limonene, 3-carene, α-phellandrene, myrcene, α-pinene, and β-pinene. The standards of each compound were prepared with n-hexane as solvent at concentrations of 10 μg/μL and 100 μg/μL, respectively, and n-hexane was used as the control. Specifications of Y-tube olfactometer were as follows: the inner diameter and length of main arm were, respectively, 9 cm and 40 cm, and the inner diameter and length of two lateral arms with a 60° angle at the Y-junction were 6 cm and 25 cm, respectively. Air was pushed through activated charcoal filter and a bottle with distilled water by a vacuum pressure pump (Beijing Municipal Institute of Labour Protection, Beijing, China). The air flow rate was about 500 mL/min. The adults of M. saltuarius were placed in a Y-shaped glass olfactometer to observe behaviors. One adult was taken each time for behavior selection measurement and observed for 10 min. For those who entered the arm with volatiles or the control arm for more than 1/3 of the distance and stayed for more than 15 s, they were recorded as M. saltuarius made a choice; otherwise, they were noted as unresponsive. After testing 5 insects, arm positions were switched to eliminate the influence of the experimental environment on the olfactory behavior of the spruce spotted beetle. A total of 40 males and 40 females were tested for each concentration of volatile matter. After each experiment, the experimental apparatus was cleaned with ethanol and dried.
4.7. Field Experiments
The experiments were conducted in Qingyuan Manchu Autonomous County, Fushun City, Liaoning Province, China (41°59′ N, 124°31′ E). Traps were hung in the sample plot, and the compounds were released through sustained-release bottles.
4.7.1. Trapping Experiments of Single Compounds in Forests
(-)-Camphor, terpinolene, D-limonene, 3-carene, α-phellandrene, myrcene, α-pinene, and β-pinene were separately placed inside slow-release bottle at a volume of 180 mL. The slow-release bottles were used as lure core to put in traps. The empty slow-release bottles were used as a control. The 9 traps with different individual substance were put in a block with traps 20 m apart. A total of 5 blocks were set up for 5 repeated experiments. The interval between different blocks was 50 m. The survey was conducted every 3 days to count the adults of M. saltuarius caught by each lure core from 21 July to 1 August 2022, and then the adults in the trap collection cup were cleaned up. The lure core containing a single volatile was replaced by another trap during the same block every 3 days in order to reduce the impact of geographical location on the test results.
4.7.2. The Synergies of Ethanol on the Trapping Effect of M. saltuarius in the Forest
Catches of M. saltuarius were compared in traps baited with 180 mL α-pinene, 180 mL β-pinene, 180 mL 3-carene, 135 mL α-pinene + 45 mL ethanol, 135 mL β-pinene + 45 mL ethanol, and 135 mL 3-carene + 45 mL ethanol. There were 5 replicates for each treatment. These assays were conducted from 14 to 23 May 2023, and the number of M. saltuarius was counted every 3 days.
4.7.3. Trapping Assays on the Synergistic Effect of Aggregation Pheromones of M. saltuarius
The mixture combinations with aggregation pheromones for attracting M. saltuarius are shown in Table 3. These formulations were used to compare the synergistic effect of different concentrations of aggregation pheromones of M. saltuarius. The experiments were conducted from 29 May to 13 June 2023, and the number of captured adults of M. saltuarius was recorded every 6 days. Five replicates were carried out for each treatment.
Table 3.
Formulation of attracting Monochamus saltuarius with aggregation pheromone in forest.
4.7.4. Field Attraction Tests to Explore Synergies of Bark Beetle Pheromones—Ipsdienol and Ipsenol
To explore the potential synergies of bark beetle pheromones, the formulations used to attract M. saltuarius in the forest were made as shown in Table 4. The survey was conducted from 12–24 July 2023, and the number of M. saltuarius caught by each trap was recorded every 6 days. Each treatment was repeated 5 times.
Table 4.
Formulation of pheromones of bark beetles used to attract Monochamus saltuarius in the forest.
4.8. Data Analysis
All data were analyzed by SPSS 20.0 software, and the graphing was made by GraphPad Prism 9.5. The data from feeding experiments and forest experiments was conducted using one-way ANOVA and Duncan’s multiple comparisons. In the EAG experiment, a one-way ANOVA with Duncan’s multiple comparisons was also used to compare the relative EAG response values of male and female adults of M. saltuarius to different concentrations of different compounds. The indoor behavior data of Y-tube experiments were analyzed by using Chi-squared (χ2) goodness-of-fit tests.
5. Conclusions
In summary, we have identified plant volatiles that has attractive effects on M. saltuarius, identified key plant source volatiles for M. saltuarius host location, and further explored multi-component formulations using insect pheromones to optimize attractant formulations and improve trapping efficiency. We found that α-pinene, 3-carene, and β-pinene have significant attractant activity in adults of M. saltuarius, which may play an important role in the host location. β-Pinene, ethanol, 2-undecyloxy-1-ethanol, and ipsdienol had the best synergistic effect on luring M. saltuarius. This study provides a theoretical basis for controlling the population of M. saltuarius and preventing pine wood nematodes.
Author Contributions
Conceptualization, J.F.; methodology, Y.D. and D.C.; software, Y.D. and D.C.; formal analysis, Y.D., S.Z. and Z.M.; investigation, Y.D., S.Z. and Z.M.; resources, J.F.; data curation, Y.D. and D.C.; writing—original draft preparation, Y.D. and D.C.; writing—review and editing, Y.D., D.C. and J.F.; supervision, J.F.; project administration, J.F. All authors have read and agreed to the published version of the manuscript.
Funding
This research was funded by Central Finance Forestry Science and Technology Demonstration and Promotion Project ([2022]TS01-4).
Data Availability Statement
All data are incorporated into the article.
Acknowledgments
We would like to thank the staff who helped us to collect and investigate Monochamus saltuarius.
Conflicts of Interest
The authors declare no conflicts of interest.
References
- Ge, S.X.; Li, J.X.; Jiang, Z.H.; Zong, S.X.; Ren, L.L. Cradle for the newborn Monochamus saltuarius: Microbial associates to ward off entomopathogens and disarm plant defense. Insect Sci. 2023, 30, 1165–1182. [Google Scholar] [CrossRef] [PubMed]
- Wang, J.; Zhang, S.; Zheng, Y. Feeding Preferences and Responses of Monochamus saltuarius to Volatile Components of Host Pine Trees. Insects 2022, 13, 888. [Google Scholar] [CrossRef] [PubMed]
- Kim, J.; Jung, Y.; Lee, S. Diel rhythmicity of field responses to synthetic pheromone lures in the pine sawyer Monochamus saltuarius. Insects 2021, 12, 441. [Google Scholar] [CrossRef] [PubMed]
- Li, J.; Fu, N.; Ren, L.; Luo, Y. Identification and Validation of Reference Genes for Gene Expression Analysis in Monochamus saltuarius Under Bursaphelenchus xylophilus Treatment. Front. Physiol. 2022, 13, 882792. [Google Scholar] [CrossRef] [PubMed]
- Hou, Z.; Shi, F.; Ge, S.; Tao, J.; Ren, L.; Wu, H.; Zong, S. Comparative transcriptome analysis of the newly discovered insect vector of the pine wood nematode in China, revealing putative genes related to host plant adaptation. BMC Genom. 2021, 22, 189. [Google Scholar] [CrossRef]
- Kishi, Y. Pine Wood Nematode and the Japanese Pine Sawyer; Thomas Company Limited: Tokyo, Japan, 1995. [Google Scholar]
- Kwon, T.S.; Lim, J.H.; Sim, S.J.; Kwon, Y.D.; Son, S.K.; Lee, K.Y.; Kim, Y.T.; Park, J.W.; Shin, C.H.; Ryu, S.B. Distribution patterns of Monochamus alternatus and M. saltuarius (Coleoptera: Cerambycidae) in Korea. J. Korean Soc. For. Sci. 2006, 95, 543–550. [Google Scholar]
- Li, M.; Li, H.; Sheng, R.C.; Sun, H.; Sun, S.H.; Chen, F.M. The first record of Monochamus saltuarius (Coleoptera; Cerambycidae) as vector of Bursaphelenchus xylophilus and its new potential hosts in China. Insects 2020, 11, 636. [Google Scholar] [CrossRef] [PubMed]
- Linit, M. Nemtaode-vector relationships in the pine wilt disease system. J. Nematol. 1988, 20, 227. [Google Scholar]
- Buszewski, B.; Bukowska, M.; Ligor, M.; Staneczko-Baranowska, I. A holistic study of neonicotinoids neuroactive insecticides properties, applications, occurrence, and analysis. Environ. Sci. Pollut. Res. 2019, 26, 34723–34740. [Google Scholar] [CrossRef]
- Moon, J.H.; Won, S.J.; Maung, C.E.H.; Choi, J.H.; Choi, S.I.; Ajuna, H.B.; Ahn, Y.S. Bacillus velezensis CE 100 inhibits root rot diseases (Phytophthora spp.) and promotes growth of Japanese cypress (Chamaecyparis obtusa Endlicher) seedlings. Microorganisms 2021, 9, 821. [Google Scholar] [CrossRef]
- Bordat, A.; Marchand, G.; Langlade, N.B.; Pouilly, N.; Muños, S.; Dechamp-Guillaume, G.; Vincourt, P.; Bret-Mestries, E. Different genetic architectures underlie crop responses to the same pathogen: The {Helianthus annuus* Phoma macdonaldii} interaction case for black stem disease and premature ripening. BMC Plant Biol. 2017, 17, 167. [Google Scholar] [CrossRef] [PubMed]
- Chen, J.; Li, J.; Ma, M.; Li, B.; Zhou, Y.; Pan, Y.; Fan, Y.; Yi, B.; Tu, J. Improvement of resistance to clubroot disease in the Ogura CMS restorer line R2163 of Brassica napus. Plants 2022, 11, 2413. [Google Scholar] [CrossRef] [PubMed]
- Huang, K.; Jiang, Q.; Liu, L.; Zhang, S.; Liu, C.; Chen, H.; Ding, W.; Zhang, Y. Exploring the key microbial changes in the rhizosphere that affect the occurrence of tobacco root-knot nematodes. AMB Express 2020, 10, 72. [Google Scholar] [CrossRef] [PubMed]
- Li, M.; Yang, T.; Kandul, N.P.; Bui, M.; Gamez, S.; Raban, R.; Bennett, J.; Sánchez, C.H.M.; Lanzaro, G.C.; Schmidt, H. Development of a confinable gene drive system in the human disease vector Aedes aegypti. eLife 2020, 9, e51701. [Google Scholar] [CrossRef] [PubMed]
- Pilz-Junior, H.L.; de Lemos, A.B.; de Almeida, K.N.; Corção, G.; Schrekker, H.S.; Silva, C.E.; da Silva, O.S. Microbiota potentialized larvicidal action of imidazolium salts against Aedes aegypti (Diptera: Culicidae). Sci. Rep. 2019, 9, 16164. [Google Scholar] [CrossRef] [PubMed]
- Wang, Q.; Liu, Y.; Hu, J.; Zhang, Y.; Xie, K.; Wang, B.; Tuyen, L.Q.; Song, Z.; Wu, H.; Liu, Y.; et al. Detection of Quantitative Trait Loci (QTLs) for Resistances to Small Brown Planthopper and Rice Stripe Virus in Rice Using Recombinant Inbred Lines. Int. J. Mol. Sci. 2013, 14, 8406–8421. [Google Scholar] [CrossRef] [PubMed]
- Bruce, T.J.; Wadhams, L.J.; Woodcock, C.M. Insect host location: A volatile situation. Trends Plant Sci. 2005, 10, 269–274. [Google Scholar] [CrossRef] [PubMed]
- Kamala Jayanthi, P.D.; Kempraj, V.; Aurade, R.M.; Venkataramanappa, R.K.; Nandagopal, B.; Verghese, A.; Bruce, T.J. Specific volatile compounds from mango elicit oviposition in gravid Bactrocera dorsalis females. J. Chem. Ecol. 2014, 40, 259–266. [Google Scholar] [CrossRef] [PubMed]
- Beck, J.J.; Light, D.M.; Gee, W.S. Electroantennographic bioassay as a screening tool for host plant volatiles. J. Vis. Exp. 2012, 63, e3931. [Google Scholar] [CrossRef]
- Pérez-Aparicio, A.; Torres-Vila, L.M.; Gemeno, C. EAG responses of adult Lobesia botrana males and females collected from Vitis vinifera and Daphne gnidium to larval host-plant volatiles and sex pheromone. Insects 2019, 10, 281. [Google Scholar] [CrossRef]
- Fettköther, R.; Reddy, G.V.; Noldt, U.; Dettner, K. Effect of host and larval frass volatiles on behavioural response of the old house borer, Hylotrupes bajulus (L.) (Coleoptera: Cerambycidae), in a wind tunnel bioassay. Chemoecology 2000, 10, 1–10. [Google Scholar] [CrossRef]
- Das, A.; Lee, S.H.; Hyun, T.K.; Kim, S.W.; Kim, J.Y. Plant volatiles as method of communication. Plant Biotechnol. Rep. 2013, 7, 9–26. [Google Scholar] [CrossRef]
- Du, Y.; Zhang, J.; Yan, Z.; Ma, Y.; Yang, M.; Zhang, M.; Zhang, Z.; Qin, L.; Cao, Q. Host preference and performance of the yellow peach moth (Conogethes punctiferalis) on chestnut cultivars. PLoS ONE 2016, 11, e0157609. [Google Scholar] [CrossRef] [PubMed]
- Xu, L.; Jiang, H.B.; Yu, J.L.; Pan, D.; Tao, Y.; Lei, Q.; Chen, Y.; Liu, Z.; Wang, J.J. Two odorant receptors regulate 1-octen-3-ol induced oviposition behavior in the oriental fruit fly. Commun. Biol. 2023, 6, 176. [Google Scholar] [CrossRef] [PubMed]
- Wang, J.; Wei, J.; Yi, T.; Li, Y.-Y.; Xu, T.; Chen, L.; Xu, H. A green leaf volatile, (Z)-3-hexenyl-acetate, mediates differential oviposition by Spodoptera frugiperda on maize and rice. BMC Biol. 2023, 21, 140. [Google Scholar] [CrossRef] [PubMed]
- Kelsey, R.G.; Westlind, D.J. Attraction of red turpentine beetle and other SS colytinae to ethanol, 3-carene or ethanol+ 3-carene in an oregon pine forest. Agric. For. Entomol. 2018, 20, 272–278. [Google Scholar] [CrossRef]
- Ikeda, T.; Oda, K. The occurrence of attractiveness for Monochamus alternatus Hope (Coleoptera: Cerambycidae) in nematode-infected pine trees. J. Jpn. For. Soc. 1980, 62, 432–434. [Google Scholar]
- Ikeda, T.; Enda, N.; Yamane, A.; Oda, K.; Toyoda, T. Attractants for the Japanese pine sawyer, Monochamus alternatus hope (Coleoptera: Cerambycidae). Appl. Entomol. Zool. 1980, 15, 358–361. [Google Scholar] [CrossRef]
- Millar, J.; Hanks, L. Chemical Ecology of Cerambycid Beetles. In Cerambycidae of the World: Biology and Pest Management; CRC Press/Taylor & Francis: Boca Raton, FL, USA, 2016. [Google Scholar]
- Löbl, I.; Löbl, D. Catalogue of Palaearctic Coleoptera. Volume 1: Archostemata-Myxophaga-Adephaga; Brill Academic Publishers: Leiden, The Netherlands, 2018. [Google Scholar]
- Teale, S.A.; Wickham, J.D.; Zhang, F.; Su, J.; Chen, Y.; Xiao, W.; Hanks, L.M.; Millar, J.G. A male-produced aggregation pheromone of Monochamus alternatus (Coleoptera: Cerambycidae), a major vector of pine wood nematode. J. Econ. Entomol. 2011, 104, 1592–1598. [Google Scholar] [CrossRef]
- Lee, H.R.; Lee, S.C.; Lee, D.H.; Choi, W.S.; Jung, C.S.; Jeon, J.H.; Kim, J.E.; Park, I.K. Identification of the aggregation-sex pheromone produced by male Monochamus saltuarius, a major insect vector of the pine wood nematode. J. Chem. Ecol. 2017, 43, 670–678. [Google Scholar] [CrossRef]
- Allison, J.D.; McKenney, J.L.; Millar, J.G.; Mcelfresh, J.S.; Mitchell, R.F.; Hanks, L.M. Response of the woodborers Monochamus carolinensis and Monochamus titillator (Coleoptera: Cerambycidae) to known cerambycid pheromones in the presence and absence of the host plant volatile α-pinene. Environ. Entomol. 2012, 41, 1587–1596. [Google Scholar] [CrossRef] [PubMed]
- Hanks, L.M.; Millar, J.G. Sex and aggregation-sex pheromones of cerambycid beetles: Basic science and practical applications. J. Chem. Ecol. 2016, 42, 631–654. [Google Scholar] [CrossRef] [PubMed]
- Song, C.; Ma, L.; Zhao, J.; Xue, Z.; Yan, X.; Hao, C. Electrophysiological and behavioral responses of Plutella xylostella (Lepidoptera: Plutellidae) to volatiles from a non-host plant, Geranium, Pelargonium × hortorum (Geraniaceae). J. Agric. Food Chem. 2022, 70, 5982–5992. [Google Scholar] [CrossRef] [PubMed]
- Zhao, Y.Q.; Zhao, J.R.; Mao, L.J.; Shi, Z.H. Effects of the volatiles from different tomato varieties on host selection behavior of B-biotype Bemisia tabaci. J. Appl. Ecol. 2012, 23, 2509–2514. [Google Scholar]
- Yang, X.; Fan, F.; An, L.; Li, M.; Wei, G. Oviposition preferences in Grapholita molesta: The relative importance of visual and olfactory cues. Entomol. Exp. Et Appl. 2019, 167, 722–728. [Google Scholar] [CrossRef]
- Piesik, D.; Wenda-Piesik, A. Sitophilus granarius responses to blends of five groups of cereal kernels and one group of plant volatiles. J. Stored Prod. Res. 2015, 62, 36–39. [Google Scholar] [CrossRef]
- Fürstenau, B.; Rosell, G.; Guerrero, A.; Quero, C. Electrophysiological and behavioral responses of the black-banded oak borer, Coroebus florentinus, to conspecific and host-plant volatiles. J. Chem. Ecol. 2012, 38, 378–388. [Google Scholar] [CrossRef] [PubMed]
- Cloonan, K.R.; Abraham, J.; Angeli, S.; Syed, Z.; Rodriguez-Saona, C. Advances in the chemical ecology of the spotted wing drosophila (Drosophila suzukii) and its applications. J. Chem. Ecol. 2018, 44, 922–939. [Google Scholar] [CrossRef]
- Wenda-Piesik, A.; Piesik, D.; Nowak, A.; Wawrzyniak, M. Tribolium confusum responses to blends of cereal kernels and plant volatiles. J. Appl. Entomol. 2016, 140, 558–563. [Google Scholar] [CrossRef]
- Chénier, J.; Philogene, B. Field responses of certain forest Coleoptera to conifer monoterpenes and ethanol. J. Chem. Ecol. 1989, 15, 1729–1745. [Google Scholar] [CrossRef]
- Nehme, M.; Keena, M.; Zhang, A.; Baker, T.; Xu, Z.; Hoover, K. Evaluating the use of male-produced pheromone components and plant volatiles in two trap designs to monitor Anoplophora glabripennis. Environ. Entomol. 2010, 39, 169–176. [Google Scholar] [CrossRef] [PubMed]
- Li, J. Comparative analysis of volatile compounds from different host plants of Anoplophora glabripennis (Motsch.). J. Beijing For. Univ. 2002, 24, 165–169. [Google Scholar]
- Zhu, N.; Zhang, D.Y.; Wu, L.P.; Hu, Q.; Fan, J.T. Attractiveness of aggregation pheromones and host plant volatiles to Anoplophora glabripennis and A. chinensis (Coleoptera: Cerambycidae). Acta Entomol. Sin. 2017, 60, 421–430. [Google Scholar]
- Fan, L.Q.; Yan, S.C.; Sun, Z.H.; Meng, Z.J. EAG and behavioral responses of Asian longhorn beetle Anoplophora glabripennis (Coleoptera: Cerambycidae) to plant volatiles. Chin. J. Ecol. 2013, 32, 142–148. [Google Scholar]
- Li, S.; Gao, W.; Cheng, X.; Zhou, Y.; Cui, W. Electroantennogram response of Anoplophora glabripennis (Motsch.) to Acer negundo volatiles. For. Pest Dis. 2016, 35, 9–14. [Google Scholar]
- Nehme, M.; Keena, M.; Zhang, A.; Baker, T.; Hoover, K. Attraction of Anoplophora glabripennis to male-produced pheromone and plant volatiles. Environ. Entomol. 2009, 38, 1745–1755. [Google Scholar] [CrossRef] [PubMed]
- Yu, H.; Wang, Z.; Qin, H.; Wang, D.; Shi, J. Effects of lures to trap Anoplophora glabripennis (Motschulsky)(Coleoptera: Cerambycidae) in the coastal protection forest in Zhejiang, China. J. Environ. Entomol. 2017, 39, 694–700. [Google Scholar]
- Cavaletto, G.; Faccoli, M.; Ranger, C.M.; Rassati, D. Ambrosia beetle response to ethanol concentration and host tree species. J. Appl. Entomol. 2021, 145, 800–809. [Google Scholar] [CrossRef]
- Ranger, C.M.; Reding, M.E.; Persad, A.B.; Herms, D.A. Ability of stress-related volatiles to attract and induce attacks by Xylosandrus germanus and other ambrosia beetles. Agric. For. Entomol. 2010, 12, 177–185. [Google Scholar] [CrossRef]
- Ranger, C.M.; Reding, M.E.; Gandhi, K.J.; Oliver, J.B.; Schultz, P.B.; Cañas, L.; Herms, D.A. Species dependent influence of (−)-α-pinene on attraction of ambrosia beetles (Coleoptera: Curculionidae: Scolytinae) to ethanol-baited traps in nursery agroecosystems. J. Econ. Entomol. 2011, 104, 574–579. [Google Scholar] [CrossRef]
- Kendra, P.E.; Montgomery, W.S.; Narvaez, T.I.; Carrillo, D. Comparison of trap designs for detection of Euwallacea nr. fornicatus and other Scolytinae (Coleoptera: Curculionidae) that vector fungal pathogens of avocado trees in Florida. J. Econ. Entomol. 2020, 113, 980–987. [Google Scholar] [PubMed]
- Lyu, F.; Hai, X.; Wang, Z. A review of the host plant location and recognition mechanisms of Asian longhorn beetle. Insects 2023, 14, 292. [Google Scholar] [CrossRef] [PubMed]
- Ju, Q.; Guo, X.Q.; Li, X.; Jiang, X.J.; Jiang, X.G.; Ni, W.I.; Qu, M.J. Plant volatiles increase sex pheromone attraction of Holotrichia parallela (Coleoptera: Scarabaeoidea). J. Chem. Ecol. 2017, 43, 236–242. [Google Scholar] [CrossRef] [PubMed]
- Koczor, S.; Tóth, M. Field attraction of Eurydema ornata (Hemiptera: Pentatomidae) to allyl isothiocyanate. Sci. Rep. 2023, 13, 11063. [Google Scholar] [CrossRef] [PubMed]
- Pajares, J.; Ibeas, F.; Diez, J.; Gallego, D. Attractive responses by Monochamus galloprovincialis (Col., Cerambycidae) to host and bark beetle semiochemicals. J. Appl. Entomol. 2004, 128, 633–638. [Google Scholar] [CrossRef]
- Fan, J.T.; Zheng, K.W.; Dong, Y.F.; Gu, Y.T.; Wickham, J.D. Electrophysiological and Behavioral Responses of Batocera horsfieldi Hope to Volatiles from Pistacia chinensis Bunge. Insects 2023, 14, 911. [Google Scholar] [CrossRef]
Disclaimer/Publisher’s Note: The statements, opinions and data contained in all publications are solely those of the individual author(s) and contributor(s) and not of MDPI and/or the editor(s). MDPI and/or the editor(s) disclaim responsibility for any injury to people or property resulting from any ideas, methods, instructions or products referred to in the content. |
© 2024 by the authors. Licensee MDPI, Basel, Switzerland. This article is an open access article distributed under the terms and conditions of the Creative Commons Attribution (CC BY) license (https://creativecommons.org/licenses/by/4.0/).






