Abstract
Raphanus sativus L. is a potential source of raw material for biodiesel fuel due to the high oil content in its grains. In Brazil, this species is cultivated in the low rainfall off-season, which limits the productivity of the crop. The present study investigated the effects of water restriction on the physiological and biochemical responses, production components, and oil quality of R. sativus at different development stages. The treatments consisted of 100% water replacement (control), 66%, and 33% of field capacity during the phenological stages of vegetative growth, flowering, and grain filling. We evaluated characteristics of water relations, gas exchange, chlorophyll a fluorescence, chloroplast pigment, proline, and sugar content. The production components and chemical properties of the oil were also determined at the end of the harvest cycle. Drought tolerance of R. sativus was found to be mediated primarily during the vegetative growth stage by changes in photosynthetic metabolism, stability of photochemical efficiency, increased proline concentrations, and maintenance of tissue hydration. Grain filling was most sensitive to water limitation and showed a reduction in yield and oil content. However, the chemical composition of the oil was not altered by the water deficit. Our data suggest that R. sativus is a drought-tolerant species.
1. Introduction
Forage turnip (Raphanus sativus L. var. oleiferus Metzg.) is an oilseed crop of the Brassicaceae family. It is cultivated in southern and central Brazil as a winter crop and follows major crops such as soybeans and maize [1]. For some time, R. sativus has been used as green manure, soil cover, nutrient recycling [2,3], soil relief, and crop rotation [4,5]. Its high erucic acid content makes it toxic and, therefore, unsuitable for human consumption [6,7]. Recent studies have identified R. sativus as a potential source of raw materials for the chemical industry [8,9]. Its grains have a high oil content (40–54%) and exhibit physicochemical properties important for biodiesel production [1,6,7,10]. The predominance of fatty acids such as oleic acid gives the oil a higher oxidation stability than soybean and sunflower oil; fewer solid residues are produced in biodiesel [1,11]. The low viscosity of the oil improves engine performance, a particularly important property for biodiesel production [6]. In addition, vegetable oils cause fewer pollutant emissions [11].
As with other crops, grain yield depends on the genotype and adequate light, temperature, and water supply. Water deficits are particularly responsible for low crop yields [12]. This problem is exacerbated by increasing climatic instability, which leads to prolonged droughts in agricultural areas [13].
In response to limiting water conditions, plants respond in a variety of ways, including stomatal closure, inhibition of the transcriptional activity of genes related to CO2 fixation [14], reduction in photochemical activity [15], and cell damage [16]. These responses affect plant growth and productivity [17] and alter oil content and quality [18].
The negative effects of water restriction depend on the duration, intensity, severity, and timing, as well as the genotype of the plant [19,20]. In water restriction, plants trigger processes that prevent dehydration, including osmotic adjustment [17,21] and root system growth [22]. Electron dissipation [23] and increased activity of antioxidant enzymes [24,25] are also important in preventing and mitigating cell damage. These results suggest that the ability to detect water deficits and trigger physiological and biochemical responses is critical for plant survival.
The use of R. sativus in industrial oil production depends on the technical, economic– and socio-environmental competitiveness of the plant [7]. In addition, agronomic factors (e.g., plant productivity, seasonality, adaptability) also influence the commercialization of this species as an energy crop.
Since the current knowledge on water deficit and oil quality in R. sativus is incomplete, we aimed to measure the physiological and biochemical responses and production components, as well as the oil quality of plants at different developmental stages grown under water deficit conditions.
2. Results
2.1. Water Relations
Leaf water potential (Ψw) decreases as soil water availability increases (Figure 1A), independently during the vegetative, flowering, and grain-filling stages (Figure 1A). We observed the lowest Ψw values in plants with 100% FC water saturation at the FL stage (Table S1).
Figure 1.
Predawn leaf water potential (Ψw) (A), leaf osmotic potential (Ψs) (B) and relative water content (RWC) (C) in Raphanus sativus plants exposed to three water levels: 100% (control), 66% and 33% of field capacity (FC) and at three phenological stages of development: vegetative (VE), flowering (FL) and grain filling (GF). The bars represent mean values ± SE (n = 4). Mean values with different letters differ significantly according to Tukey’s test (p ≤ 0.05). Uppercase letters show the differences between water replacement within each developmental stage, and lowercase letters show the differences between developmental stages in each water replacement.
2.2. Physiological Traits
Water deficit affected gas exchange in the phenological stages studied (Figure 2). At the GF stage, photosynthetic rate (A), stomatal conductance (gs), transpiration rate (E), and instantaneous carboxylation efficiency (A/Ci) were lower in plants with a 33% FC water deficit (Figure 2A–C,E). The values of gs and E were also lower in treated plants with 66% FC at the GF stage than in control plants (Table S1).
Figure 2.
Photosynthetic net assimilation rate (A) (A), stomatal conductance (gs) (B), transpiration rate (E) (C), the ratio between internal and external CO2 concentration (Ci/Ca) (D), instantaneous carboxylation efficiency (A/Ci) (E) and water use efficiency (WUE) (F) in Raphanus sativus plants exposed to three water levels: 100% (control), 66% and 33% of field capacity (FC) and at three phenological stages of development: vegetative (VE), flowering (FL) and grain filling (GF). The bars represent mean values ± SE (n = 4). Mean values with different letters differ significantly according to Tukey’s test (p ≤ 0.05). Uppercase letters show the differences between water replacement within each developmental stage, and lowercase letters show the differences between developmental stages in each water replacement.
The ratio between internal and external CO2 concentration (Ci/Ca) varied only depending on the phenological stage, with the highest values observed at the FL stage (Figure 2D). Water use efficiency (WUE) was higher in the FL stage, while values were lower in the control (Figure 2F; Table S1).
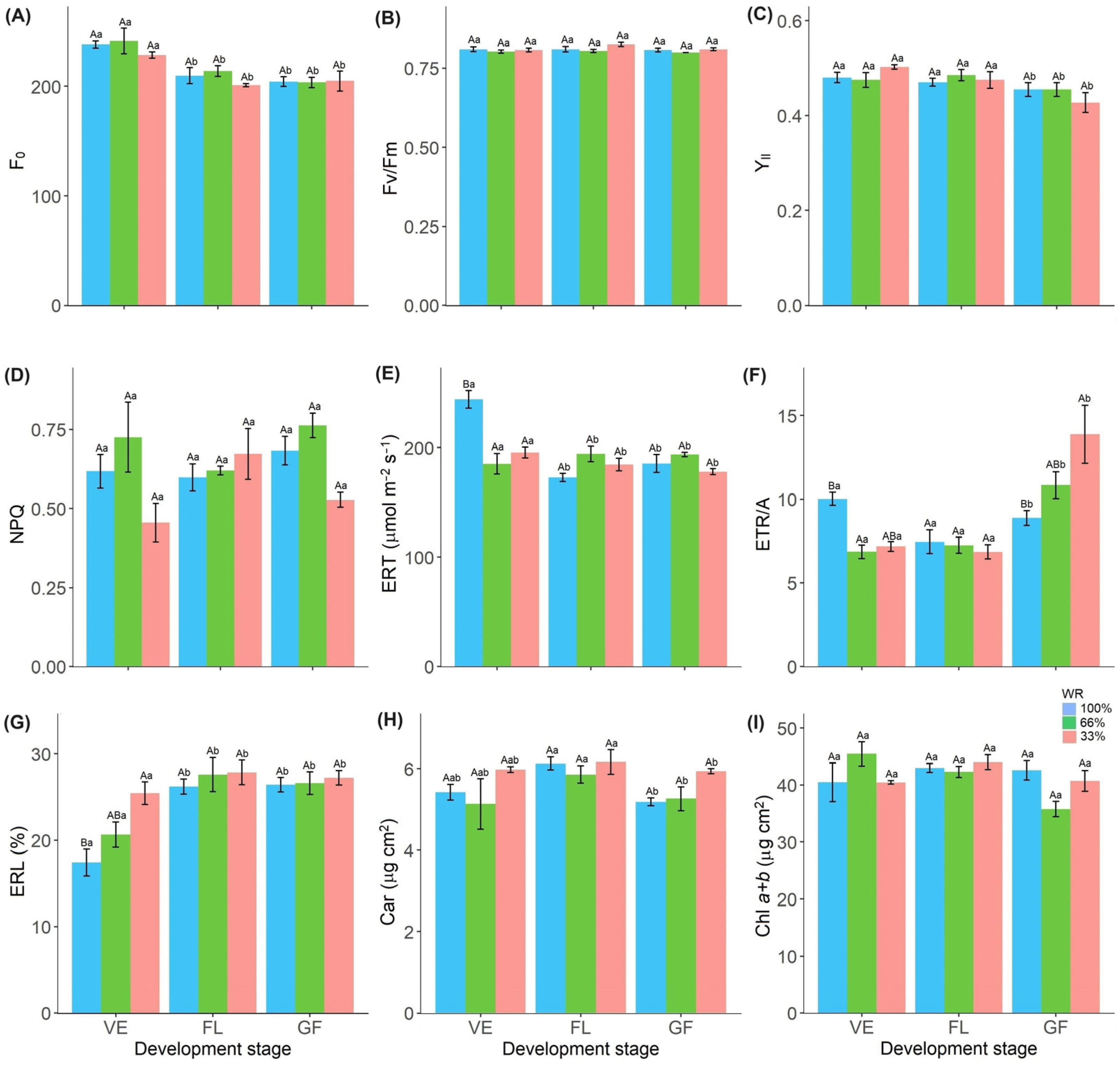
The minimum fluorescence (F0) varied according to the phenological stage, with the lowest values at the FL and GF stages (Figure 3A). The treatments did not affect the potential quantum yield of PSII (Fv/Fm) and averaged 0.81 throughout the experiment (Figure 3B). At the GF stage, the effective quantum yield of PSII (YII) was reduced (Figure 3C; Table S1).
Figure 3.
Minimum fluorescence (F0) (A), the potential quantum yield of PSII (Fv/Fm) (B), the effective quantum yield of PSII (YII) (C), non-photochemical quenching coefficient (NPQ) (D), apparent electron transport rate (E) and the ratio between ETR and photosynthetic assimilation rate (ETR/A) (F), electrolyte leakage rate (ELR) (G), carotenoids (Car) (H), total chlorophyll content (Chla+b) (I) in Raphanus sativus plants exposed to three water levels: 100% (control), 66% and 33% of field capacity (FC) and at three phenological stages of development: vegetative (VE), flowering (FL) and grain filling (GF). The bars represent mean values ± SE (n = 4). Mean values with different letters differ significantly according to Tukey’s test (p ≤ 0.05). Uppercase letters show the differences between water replacement within each developmental stage, and lowercase letters show the differences between developmental stages in each water replacement.
The plants showed no differences in non-photochemical quenching (NPQ) (Figure 3D). The apparent electron transport rate (ETR) was lower in plants exposed to a 33% and 66% water deficit during the VE stage (Figure 3E). The water deficit led to a decrease in ETR/A during the VE stage. However, the same variable increased in the plants treated with 33% FC at the GF stage compared to the values of the control plants (Figure 3F).
2.3. Biochemical Traits
Total soluble sugars (TSS) and reducing sugars (RS) content were only affected by phenological stages and were higher at the FL stage (Figure 4A,B). The content of non-reducing sugars (NRS) was lower in the VE (66% FC), FL (33% and 66% FC) and GF (33% FC) stages compared to the respective controls (Figure 4C). Starch (Sta) and total nonstructural carbohydrate (TNC) contents were lower in the VE, FL, and GF stages in the plants with 33% FC water deficit than in the plants treated with 66% FC in FL and GF (Figure 4D,E; Table S1). The water deficit increased in Pro content, especially in the VE and FL stages (Figure 4F).
Figure 4.
Total soluble sugars (TSS) (A), reducing sugars (RS) (B), non-reducing sugars (NRS) (C), starch (Sta) (D), total non-structural carbohydrates (TNC) (E), free proline (PRO) content (F) in Raphanus sativus plants exposed to three water levels: 100% (control), 66% and 33% of field capacity (FC) and at three different phenological stages of development: vegetative (VE), flowering (FL) and grain filling (GF). The bars represent mean values ± SE (n = 4). Mean values with different letters differ significantly according to Tukey’s test (p ≤ 0.05). Uppercase letters show the differences between water replacement within each developmental stage, and lowercase letters show the differences between developmental stages in each water replacement.
2.4. Component Production and Characterization of the Crude Oil
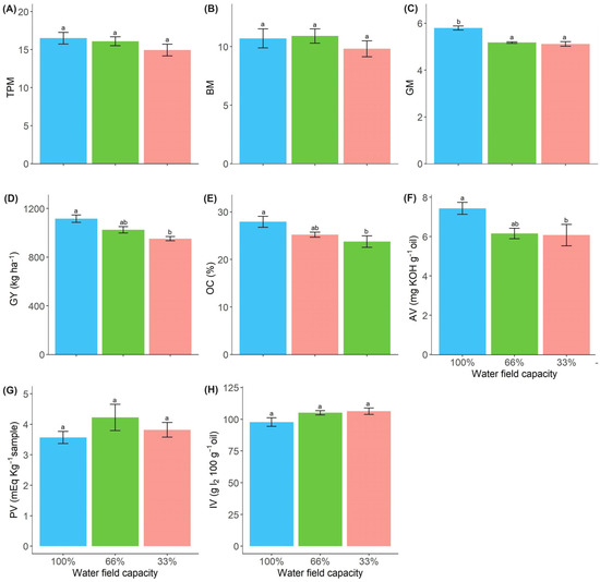
The treatments did not affect the total pod matter (TPM) and bark matter (BM) of 100 pods (Figure 5A,B). However, we observed higher grain matter (GM) and grain yield (GY) in plants treated with 100% FC (Figure 5C,D).
Figure 5.
Total pod matter (TPM) (A), bark matter (BM) (B), grain matter of 100 pods (GM) (C), grain yield (GY) (D), grain oil content (OC) (E), acid value (AV) (F), peroxide value (PV) (G) and iodine value (IV) (H) in Raphanus sativus plants exposed to three water levels: 100% (control), 66% and 33% of field capacity (FC). The bars represent mean values ± SE [n = 4 (A–D), n = 8 (E), n = 12 (F–H)]. Mean values with different letters differ significantly according to Tukey’s test (p ≤ 0.05).
The water deficit reduced grain oil content. Compared to the control, plants treated with 33% FC obtained the lowest oil content (OC) and AV values (Figure 5E,F). The water deficit did not affect the PV (Figure 5G) or IV (Figure 5H) crude oil content of R. sativus (Table S2).
We can observe segregation between water relations physiological and biochemical traits considering the stages of development (F35,2 = 10.58, p = 0.001). For water replacement, we found a difference between 33% and 100% (F35,2 = 4.90, p = 0.001). The first axis of the PCA explains 28.5% of the variation in the data, and the second axis corresponds to 19.1%. The first axis segregates the GF (●) from the FL (∆) and the VE (□), while the second axis segregates the VE and FL (Figure 6A). The VE was associated with the RWC, ETR, PRO, F0, and YII. The FL was associated with Ψw, gs, Fv/Fm, NRS, NPQ, WUE, Ci/Ca, Chla+b, Car, TSS, RS, Sta and TNC (Figure 6A). The GF was associated with the ETR/A and Ψs. We found no difference in productivity between water treatments (F = 0.00, p = 1.00; Figure 6B; Table S2).
Figure 6.
Biplot variation for physiological parameters (A) and productivity (B) in Raphanus sativus plants exposed to three water levels: 100% (control), 66%, and 33% of field capacity (FC). The bars represent mean values ± SE (n = 4 in (A); n = 12 in (B)). Pre-dawn leaf water potential (Ψw), leaf osmotic potential (Ψs), relative water content (RWC), photosynthetic net assimilation rate (A), stomatal conductance (gs), transpiration rate €, the ratio between internal and external CO2 concentration (Ci/Ca), instantaneous carboxylation efficiency (A/Ci), water use efficiency (WUE), minimum fluorescence (F0), the potential quantum yield of PSII (Fv/Fm), the effective quantum yield of PSII (YII), non-photochemical quenching (NPQ), apparent electron transport rate (ETR), the ratio between ETR and photosynthetic assimilation rate (ETR/A), electrolyte leakage rate (ELR), carotenoids (Car), total chlorophyll (Chla+b), proline content (Pro), total soluble sugars (TSS), reducing sugars (RS), non-reducing sugars (NRS), starch (Sta), total non-structural carbohydrates (TNC), total pod matter (TPM), bark matter (BM), grain matter of 100 pods (GM), grain yield (GY), grain oil content (OC), acid value (AV), peroxide value (PV) and iodine value (IV).
3. Discussion
Raphanus sativus plants maintained their physiological processes under water restriction conditions (Table S1). This ability to physiologically adapt to drought may be crucial for survival, growth, and, consequently, crop yield in areas with limited water supply [17].
Under water stress conditions, reduced leaf water potential is usually accompanied by reduced stomatal conductance to minimize water loss through transpiration [26]. However, this was not observed in R. sativus plants, as stomatal conductance and transpiration rate were not altered during the initial phase of stress (Figure 2B,C); plants maintained a high relative water content in the leaves (Figure 1C). Water potential and relative water content are important physiological indicators of a plant’s water status [27]. Plants that are more resistant to water deficit have higher WUE than sensitive plants [20], as this allows higher photosynthetic rates with the least water loss [14], as observed in R. sativus grown under low water conditions (Figure 2A–F). The absence of photochemical damage (Figure 3B) is also related to the maintenance of hydration of R. sativus leaves. Zivcak et al. [28] observed a correlation between the relative water content reduction and the electron transport reduction. They increased non-photochemical extinction in wheat plants grown under limited water conditions.
Maintenance of turgor under water stress partially occurs through osmotic adjustment by increasing Pro synthesis and protecting cell membranes from desiccation [17,21]. The Pro accumulation observed in R. sativus leaves (Figure 4F) suggests that it is a compatible solute, which has also been observed in chickpeas [29], fava beans [30], and soybeans [31]. It also suggests a role in antioxidant defense, as described in chickpeas [25], wheat [32], and rice [16]. In R. sativus, this was evidenced by the negative correlations between Pro and osmotic potential and ELR (Figure 6, Table S2). In addition, the increased energy requirement at the reproductive stage explains the decrease in Pro content at all developmental stages of R. sativus (Figure 4F).
Oxidative stress is usually described as a secondary effect of various abiotic stress factors that cause oxidation of photosynthetic pigments [24,33] and act on the antenna complex and reaction centers of photosystems. We observed the maintenance of the potential quantum yield of PSII, ETR (Figure 3B–E), photosynthetic pigments (Figure 3H,I), and ELR (Figure 3G) in conjunction with the photosynthetic rates (Figure 2), indicating the absence of oxidative damage and demonstrating the physiological drought-tolerance of R. sativus. Under high photochemical activity, carbohydrate production was maintained, contributing to the growth and productivity of R. sativus plants, even under limited water conditions.
During the GF stage, despite the higher WUE in the stressed plants under water limitation, there was a reduction in photosynthetic rates caused by both stomatal (initial) and non-stomatal limitations, the latter indicated by the maintenance of Ci/Ca and the reduction in carboxylation efficiency (Figure 2D,E). These changes may be due to different factors related to the limitation of the enzymatic activity of RuBisCo, the enzymes of the Calvin cycle [34], or even the depletion of ATP and NADPH in the photochemical phase [35]. Similar responses have been observed in beans with Ci accumulation in leaf mesophyll and a reduction in CO2 assimilation, indicating non-stomatal limitations [36], and in tomato plants with a reduction in the activity of enzymes involved in the CO2 fixation process [37], due to low A/Ci, grown under low-water conditions.
The increase in the ETR/A ratio (Figure 3F) indicates electron dissipation by alternative sinks, such as cyclic electron flow [38] or the water-water cycle [39], as the quantum efficiency of PSII was maintained (Figure 3C). However, less ATP and reduced energy were produced and utilized in the Calvin cycle for CO2 fixation.
Despite the decrease in photosynthetic activity, we observed no photoinhibition, as evidenced by the maintenance of the Fv/Fm ratio and the lack of a significant increase in thermal dissipation or minimum fluorescence throughout the stress period (Figure 3A,B). Thermal dissipation is directly related to the xanthophyll cycle, in which activation of violaxanthin de-epoxidase during the conversion of violaxanthin to zeaxanthin serves to prevent overexcitation of PSII and protect against damage from excessive light [40,41].
In addition, the demand for photoassimilates is higher during the reproductive stage due to the high demands of flowering and fruiting [42]. We observed the maintenance of total soluble sugar and reducing soluble sugar content in the leaves of R. sativus, even under water deficit conditions (Figure 4A,B). The maintenance or increase in sugar content under drought conditions is due to the degradation of starch [43], which provides energy and carbon to plants [14]. The carbon derived from carbohydrate degradation in the GF stage was probably utilized for grain production [19,29], as bark dry matter and total pod dry matter were maintained at similar levels in drought-treated R. sativus plants as in control plants (Figure 5A,B). The bark prevents premature seed death by protecting the seeds from stress and serving as a source of assimilation [29].
The translocation of photoassimilates into the pods and the remobilization of the pods for grain development are important mechanisms for adaptation to water deficit [44]. Nevertheless, the decrease in photoassimilate production in leaves and the change in carbon distribution in the plant during the GF stage impaired the fractionation of carbohydrates between organs, leading to a decrease in 100-grain matter and productivity of R. sativus under water deficit conditions (Figure 5C,D). Damage to grain size, weight, and yield was also observed in soybean plants in response to water deficit during the GF phase [13]. These results suggest that the sensitivity of R. sativus plants to water limitation is more pronounced during reproductive development, a critical phase that has also been described as hypersensitive in other crops [19,45].
The oil content of R. sativus grains decreased with water deficit, but their chemical composition was maintained (Figure 5E–H). Water deficits have been reported to lead to changes in the oil content and chemical properties of the oil [18,46], thereby affecting biodiesel quality [47]. The acidity, peroxide, and iodine content of R. sativus oil were maintained even under restricted water conditions (Figure 5F–H). The PV and IV values (Figure 5G,H) were similar to those observed by Ávila and Sodré [6], Chammoun et al. [7], and Oliveira et al. [1] in Brassicaceae species. They comply with the standards of the National Agency of Petroleum, Natural Gas and Biofuels (ANP) [48]. According to the ANP, the maximum values for acid, peroxide, and iodine in crude oil for biodiesel production are 0.50 mg KOH g−1, 10 mEq kg−1, and 120 g I2 100 g−1, respectively. In this study, AV (Figure 5F), PV (Figure 5G), and IV (Figure 5H) remained at about 7 mg KOH g−1, 4 mEq kg−1, and 106 g I2 100 g−1, respectively, even in plants subjected to water restriction. AV values above the recommended value for biodiesel use can be attributed to large amounts of polyunsaturated fatty acids in the oil of R. sativus seeds [6,10]. The chemical instability and susceptibility of vegetable oils with unsaturated fatty acids to hydrolysis leads to the release of free fatty acids [1,10].
Vegetable oils with free fatty acids, high degrees of unsaturation, and high viscosity are undesirable for fuel production, as these properties are transferred to biodiesel [9,47]. The quality of oil from R. sativus plants under water restriction was not affected by this stress, highlighting the potential of this species for biodiesel production, even when grown in regions with low rainfall, compared to other oilseeds such as sunflower [49,50], canola [51,52] and crambe [53,54].
4. Materials and Methods
4.1. Plant Material and Experimental Conditions
We conducted the experiment at the experimental station of the Goiano Federal Institute of Science and Technology—Rio Verde campus, Goiás, Brazil (17°48′28″ S, 50°53′57″ W) between July and October. The regional climate is classified as tropical savanna (Aw; Köppen 1931) with two clearly defined seasons: rainy summer (November to April) and dry winter (May to October). The average annual temperature and precipitation are between 20 °C and 35 °C and 1200 and 1800 mm, respectively.
The soil was classified as a dystroferric red latosol (LVdf) with medium texture [55]. The chemical and water-physical properties of the soil at 0.00–0.20 m and 0.20–0.40 m are described in Table 1. Liming and fertilization of the soil were based on chemical analysis and species requirements [56].
Table 1.
Chemical and water physical properties of the soil in the experimental area. Rio Verde, GO, Brazil.
To establish an adequate plant population, 20 seeds of Raphanus sativus L. var. oleiferus Metzg, cultivar CATI AL 1000, were sown per running meter of furrow at a depth of 0.02 m and used to establish the crop. After crop establishment (28 days after planting—DAP), we suspended the irrigation until the soil reached the critical tension of 20 kPa. Then, we initiated the treatments: water replacement at 100% (control), 66%, and 33% of soil moisture at field capacity (FC). We applied the irrigation using a dripline model with a nominal flow rate of 1.0 L h−1 and a drip spacing of 0.5 m. Irrigation demand was based on the predetermined critical tension and monitored using digital puncture tensiometry. We installed the tensiometers at depths of 0.10 m, 0.20 m, and 0.30 m parallel to the planting row, and we measured daily the soil matrix (Ψm). The physical and hydraulic properties of the soil were determined using the Van Genuchten [57] soil water retention curve. We carried out the crop management measures as needed during the experimental period. We monitored the temperature and relative humidity using an automated meteorological station (Table 2) in the city of Rio Verde (Rio Verde University), and we obtained precipitation data from pluviometers installed in the experimental area (Table 2).
Table 2.
Monthly average values of climatic variables recorded during the experimental period. Rio Verde, GO, Brazil.
We experimented with a randomized block design with four replicates in a temporal split-plot scheme. The treatments consisted of three levels of water replacement: 100% (control), 66%, and 33% of FC in the subplots during the three phenological development stages: vegetative (VE), flowering (FL), and grain filling (GF). The experimental plots with an area of 8.0 m2 (2.0 × 4.0 m) consisted of four seed rows, each 0.50 m apart, and only the two middle rows were considered for measurement to avoid edge effects. About 15 days after sowing, we introduced a water restriction, which was maintained until the grain-filling phase and then suspended.
Analyzes of water relations, gas exchange, chlorophyll a fluorescence, chloroplast pigment, sugar, and proline (Pro) content were performed during the developmental stages vegetative (VE; 36 DAP), flowering (FL; 50 DAP) and grain filling (GF; 57 DAP). We carried out the physiological and biochemical assessments on three randomly selected plants within the cultivation area of each experimental unit. We evaluated the oil production components and chemical properties at the end of the crop cycle (120 DAP).
4.2. Water Relations
Pre-dawn leaf water potential (Ψw) was measured using a Scholander pressure chamber (3005-1412, Soilmoisture Equipment Corp., Goleta, CA, USA). We determined the osmotic potential (Ψs) of the leaves with a vapor pressure osmometer (5600, Vapro, Wescor, Logan, UT, USA), according to Pask et al. [58]. We determined The Ψs values using Van’t Hoff equation: Ψs = −R × T × CS, where R is the universal gas constant (0.08205 L atm mol−1 K−1), T is the temperature in degrees Kelvin (T °K = T °C + 273) and CS is the solute concentration (M) expressed in MPa (0.987 ≈ 1 atm = 0.1 Mpa). We determined the relative water content (RWC) by weighing the fresh matter (FM), the turgid matter ™, and the dry matter (DM) of the leaf discs and calculated as RWC (%) = (FM − DM)/(TM − DM) × 100, according to Barrs and Weatherley [59]. We measured the Ψw and RWC between 0400 and 0600 h and the leaves for the Ψs measurements between 0900 and 1000 h.
4.3. Gas Exchange
Gas exchange was measured in fully developed leaves in the middle third of the plant to determine the photosynthetic net assimilation rate (A, μmol CO2 m−2 s−1), stomatal conductance (gs, mol H2O m−2 s−1), transpiration rate (E, mmol H2O m−2 s−1) and the ratio between internal and external CO2 concentration (Ci/Ca). We calculated the water use efficiency as WUE = A/E and the instantaneous carboxylation efficiency as A/Ci (µmol m−2 s−1) [60]. We performed measurements between 0800 and 1100 h using an infrared gas analyzer (IRGA, LI-6400XTR, Licor®, Lincoln, NE, USA) under constant photosynthetically active radiation (1000 µmol photons m−2 s−1) and atmospheric CO2 concentration (Ca) (~430 µmol mol−1), temperature (~25 °C) and relative humidity (48–65%).
4.4. Chlorophyll Fluorescence
We measured chlorophyll fluorescence parameters on the same leaf used for gas exchange measurements using a pulse amplitude modulation fluorometer (MINI-PAM, Walz, Effeltrich, Germany). First, we recorded the minimum (F0) and maximum (Fm) fluorescence in dark-adapted leaves and calculated the potential quantum yield of PSII (Fv/Fm = [Fm − F0]/Fm). After prior light exposure, we applied a saturating pulse to determine the maximum fluorescence (Fm′), steady-state fluorescence (Fs), and initial fluorescence in light-adapted leaves (F0′ = F0/[Fm − F0/Fm] + [F0/Fm′]) and the effective quantum yield of PSII (YII = [Fm′ − F]/Fm′ [61]). We also used ΔF/Fm′ to estimate the apparent electron transport rate (ETR = ΔF/Fm′.PAR.0.84.0.5) [62], where PAR is the photon flux (µmol m−2 s−1) on the leaves, 0.84 is the absorbed fraction of light incident on the leaves [63], and 0.5 is the fraction of excitation energy directed to PSII [64]. From these data, we calculated the non-photochemical quenching coefficient (NPQ = [Fm − Fm′]/Fm′) and the estimate of the ratio between ETR and photosynthetic assimilation rate (ETR/A) [65]. We carried out the measurements between 0700 h and 1100 h.
4.5. Electrolyte Leakage Rate
We measured cell membrane stability by the electrolyte leakage rate (ELR) in the leaf discs. We immersed the samples in ultrapure water and measured the initial conductivity (IC, µS/cm) after 24 h using a conductivity meter (CD-850, Instruthern, São Paulo, Brazil). Subsequently, we dried the samples in an oven at 100 °C for one hour to obtain the total conductivity (TC, µS/cm). We calculated the ELR as ELR (%) = [(IC/TC) × 100], according to Pimentel et al. [66]. We collected leaf discs at 0600 h.
4.6. Chloroplast Pigments
Pigment concentrations were determined by leaf extraction with dimethyl sulfoxide (DMSO) saturated with calcium carbonate, according to Ronen and Galun [67]. The leaf discs were incubated in the DMSO solution for 24 h at 65 °C in a water bath. The sample solution was measured at 480, 649, and 665 nm using a UV-VIS spectrophotometer (Evolution 60S, Thermo Fisher Scientific Inc., Needham, MA, USA). The concentration of chlorophyll a (Chla = 12.19A665 − 3.45A649), b (Chlb = 21.99A649 − 5.32A665), and the total carotenoid content (Car = (1000A480 − 2.14Ca − 70.16Cb)/220) were calculated according to Wellburn [68] and expressed by area. We collected leaf discs between 0400 h and 0600 h.
4.7. Proline
We analyzed the concentration of free proline according to Bates et al. [69], with modifications. We homogenized fresh leaf material in 80% ethanol to obtain the crude extract. We incubated the reaction solution, consisting of the crude extract, ninhydric acid solution (ninhydrin, glacial acetic acid, and 6 M orthophosphoric acid, 1.25:30:20 m/v/v), glacial acetic acid, and 125 mM glycine, at 90 °C. After 35 min, we stopped the reaction in an ice bath and added toluene to separate the proline. We measured the supernatants at 515 nm in a UV-VIS spectrophotometer and compared the absorbance values with the proline standard curve (0 to 100 μg mL−1). The results were expressed in μmol mg−1 fresh matter (FM).
4.8. Sugar and Starch
Fresh leaf material was immersed in 80% ethanol, incubated at 65 °C for 30 min, and then homogenized. We used the final extracts obtained from the supernatants after three extraction washes of the leaf material to determine the content of total soluble sugars, reducing sugars, and non-reducing sugars. The pellet was dried in an oven at 65 °C for 72 h to determine the starch content.
The total soluble sugar (TSS) content was determined using the phenol-sulfur method of DuBois et al. [70]. The reaction solution containing an ethanolic extract, 5% phenol, and sulfuric acid (H2SO4) was kept in a water bath at 30 °C for 20 min. After reaching room temperature, we read the solution at 490 nm in a UV-VIS spectrophotometer, and the TSS was calculated using a standard sucrose curve (0–40 μg) and expressed as mg g−1 FM.
The reducing sugars (RS) were determined using the dinitrosalicylic acid method of Miller [71]. The reaction solution containing potassium sodium tartrate, sodium carbonate (Na2CO3), sodium bicarbonate (NaHCO3), sodium sulfate (Na2SO4), copper sulfate (CuSO4), ammonium molybdate (NH4)2MoO4), sodium arsenate (Na2HAsO4) and H2SO4 was read at 540 nm in a UV-VIS spectrophotometer. RS content was calculated using a standard glucose curve (0–50 μg) and expressed as fresh matter (mg g−1 FM). We calculated the non-reducing sugar (NRS) content using the difference between the total and reduced sugar content.
We determined the starch content (Sta) according to McCready et al. [72]. The dried pellets, obtained after sugar extraction, were resuspended in 52% perchloric acid, held for 30 min, and then measured at 490 nm. The starch content was calculated using a sucrose standard curve (0–50 μg) and expressed in mg g−1 FM. The total non-structural carbohydrate (TNC) content was calculated as TNC = TSS + Sta, according to Silva et al. [73].
4.9. Productivity Components
We evaluated the total pod matter (TPM), bark matter (BM), and grain matter (GM) of 100 pods. Plants were manually harvested in a 1-m2 area of each plot and air-dried in an oven to determine grain yield (GY). We extrapolated the GY to kg ha−1.
4.10. Chemical Characterization of R. sativus Crude Oil
The oil of R. sativus was extracted from the dried and ground grains (~100 g) with hexane PA in a Soxhlet extractor after heating for 8 h, according to Instituto Adolfo Lutz [74]. We separated the oil extracted from the solvent under reduced pressure in a rotary evaporator (TE-210, Tecnal, Piracicaba, Brazil). We calculated the oil content from the oil matter (OM) and the milled grain matter (GM) as OC (%) = [(OM/GM) × 100].
We analyzed the crude oil chemical properties volumetrically, including acid value (AV), peroxide value (PV), and iodine value (IV) according to AOCS [70] and IAL [75]. We performed triplicate measurements and read a blank value for each analysis.
We determined the AV (mg KOH g−1 oil) from 1.5 g oil with potassium hydroxide (KOH) titration solution. We standardized the KOH titration solution with potassium dichromate in an acidic medium. We determined the PV (mEq kg−1 sample) from 1.0 g of oil with a titration solution of sodium thiosulphate (Na2S2O3). We determined he IV (g I2 100 g−1 oil) in 0.1 g oil using the Hanus method with Na2S2O3 as tritant. For both PV and IV analysis, we previously tritant solution standardized with potassium dichromate (K2Cr2O7) in an acidic medium.
4.11. Statistical Analysis
We evaluated the water relations, physiological, and biochemical traits in the three developmental stages and water replacements. We used a two-way ANOVA to compare these factors (stage and water). The component production and crude oil characterization were evaluated only at the end of the experiment, and a one-way ANOVA was used to compare differences between water changes. To evaluate whether there is a separation of parameters considering the development stage and water levels for the water relations, physiological, and biochemical traits, we used principal component analysis (PCA). We used the same analysis to assess whether there was a segregation between the production and characterization of the crude oil and the water replacement treatments. The PCA was followed by permutative multivariate analysis of variance (PERMANOVA) using Euclidean distance to test for the significance of ordination using the “adonis2” command. We considered all data significant if p-values were <0.05, corresponding to 95% of the confidence interval. For ANOVA, PCA, and PERMANOVA, we used the “vegan” package [76] in the Rstudio program [77].
5. Conclusions
R. sativus plants showed drought tolerance mainly during their vegetative stage due to an adaptation of photosynthetic metabolism that allowed high stability of PSII and the complex antenna and, consequently, photochemical processes. The increase in Pro content served to prevent membrane damage and maintain the water content of the tissue. The GF stage was the most sensitive to water stress. Despite a slight decrease in grain yield and oil content, the oil produced by R. sativus had adequate chemical properties, indicating its potential suitability for biodiesel production.
Supplementary Materials
The following supporting information can be downloaded at: https://www.mdpi.com/article/10.3390/plants13121583/s1, Table S1: Analysis of variance for physiological parameters between water replacement and vegetative stage. F and p-values obtained in ANOVA two-way analysis; Table S2: Analysis of variance for productivity parameters between water replacement. F and p-values obtained in ANOVA one-way analysis; Table S3: Pre-dawn leaf water potential (Ψw, MPa), leaf osmotic potential (Ψs, MPa), relative water content (RWC, %), photosynthetic net assimilation rate (A, μmol CO2 m−2 s−1), stomatal conductance (gs, mol H2O m−2 s−1), transpiration rate (E, mmol H2O m−2 s−1), ratio between internal and external CO2 concentration (Ci/Ca), water use efficiency (WUE), instantaneous carboxylation efficiency (A/Ci, µmol m−2 s−1), minimum fluorescence (F0), potential quantum yield of PSII (Fv/Fm), effective quantum yield of PSII (YII ′), apparent electron transport rate (ETR), ratio between ETR and photosynthetic assimilation rate (ETR/A), non-photochemical quenching coefficient (NPQ), electrolyte leakage rate (ELR, %), total chlorophyll (Chla+b), total carotenoid content (Car), proline concentration (PRO, μmol mg−1 FM), total soluble sugar content (TSS, mg g−1 FM), reducing sugars (RS, mg g−1 FM), non-reducing sugar sugar content (NRS, mg g−1 FM), starch content (Sta, mg g−1 FM), total non-structural carbohydrate content (TNC, mg g−1 FM), grain yield (GY, kg ha−1), total pod matter (TPM), bark matter (BM) and grain matter (GM) of 100 pods, oil content (OC, %), oil acid value (AV, mg KOH g−1 oil), oil peroxide value (PV, mEq kg−1 sample) and oil iodine value (IV, g I2 100 g−1 oil) in Raphanus sativus plants exposed to three water levels: 100% (control), 66% and 33% of field capacity and at three phenological stages of development: vegetative (VE), flowering (FL) and grain filling (GF).
Author Contributions
Conceptualization: L.M.d.F.M., A.C.d.C. and M.B.T.; Investigation: L.M.d.F.M., C.M., R.d.O.S.-F., G.M.A. and F.N.C.; Data curation: L.M.d.F.M., C.M., R.d.O.S.-F., G.M.A., A.A.d.S. and F.N.C.; Formal analysis: E.S.C.; Visualization: L.M.d.F.M.; Supervision: A.C.d.C., C.M. and A.A.d.S.; Funding acquisition: A.C.d.C. and M.B.T.; Writing—original draft: L.M.d.F.M.; Writing—review & editing: A.C.d.C., C.M., A.A.d.S. and E.S.C. All authors have read and agreed to the published version of the manuscript.
Funding
This work was supported by the Conselho Nacional de Desenvolvimento Científico e Tecnológico (CNPq; grants no: 551456/2010-8 and 552689/2011-4), Instituto Federal de Educação, Ciência e Tecnologia Goiano (IFGoiano), Campus Rio Verde (grant no: DPPG 038/2016), Centro de Excelência em Agricultura Exponencial (CEAGRE, no. 23216.002816.2019-66/IFGOIANO), Centro de Excelência em Bioinsumos (CEBIO), Fundação de Amparo à Pesquisa do Estado de Goiás (FAPEG), Financiadora de Estudos e Projetos (FINEP), and the Coordenação de Aperfeiçoamento de Pessoal de Nível Superior (CAPES).
Data Availability Statement
Data is contained within the article.
Acknowledgments
We thank to the Centro de Excelência em Agricultura Exponencial (CEAGRE), the Fundação de Amparo à Pesquisa do Estado de Goiás (FAPEG), the Conselho Nacional de Desenvolvimento Científico e Tecnológico (CNPq) and the Coordenação de Aperfeiçoamento de Pessoal de Nível Superior (CAPES) for fellowships and scholarships.
Conflicts of Interest
The authors declare that there are no conflicts of interest. The funders had no role in the design of the study, on the collection, analysis, or interpretation of the data, on the writing of the manuscript or on the decision to publish the results.
References
- Oliveira, I.P.; Souza, A.F.; Lescano, C.H.; Caires, A.R.L.; Muzzi, R.M. Thermal oxidation analysis of forage turnip (Raphanus sativus L. Var. Oleiferus Metzg.) oil. J. Am. Oil Chem. Soc. 2015, 92, 403–408. [Google Scholar] [CrossRef]
- Scavo, A.; Fontanazza, S.; Restuccia, A.; Pesce, G.; Abbate, C.; Mauromicale, G. The role of cover crops in improving soil fertility and plant nutritional status in temperate climates. Agron. Sustain. Dev. 2022, 42, 93. [Google Scholar] [CrossRef]
- Wang, F.; Li, W.; Chen, H.; Weil, R.R.; Zhu, L.; Nan, X. Forage radish cover crops improve soil quality and fruit yield of Lycium barbarum L. in an arid area of northwest China. Agronomy 2023, 13, 1634. [Google Scholar] [CrossRef]
- Guedes Filho, O.; da Silva, A.P.; Giarola, N.F.B.; Tormena, C.A. Structural properties of the soil seedbed submitted to mechanical and biological chiseling under no-tillage. Geoderma 2013, 204–205, 94–101. [Google Scholar] [CrossRef]
- Forte, C.T.; Beutler, A.N.; Galon, L.; Castoldi, C.T.; Winter, F.L.; Holz, C.M.; Bianchessi, F.; Concenço, G.; Chechi, L.; Ferreira, M.M.; et al. Soil physical properties and grain yield influenced by cover crops and crop rotation. Am. J. Plant Sci. 2018, 9, 584–598. [Google Scholar] [CrossRef]
- de Andrade Ávila, R.N.; Sodré, J.R. Physical–chemical properties and thermal behavior of fodder radish crude oil and biodiesel. Ind. Crops Prod. 2012, 38, 54–57. [Google Scholar] [CrossRef]
- Chammoun, N.; Geller, D.P.; Das, K.C. Fuel properties, performance testing and economic feasibility of Raphanus sativus (oilseed radish) biodiesel. Ind. Crops Prod. 2013, 45, 155–159. [Google Scholar] [CrossRef]
- Vasconcelos, M.d.S.; Passos, W.E.; Lescanos, C.H.; Pires de Oliveira, I.; Trindade, M.A.G.; Caires, A.R.L.; Muzzi, R.M. Fluorescence spectroscopy applied to monitoring biodiesel degradation: Correlation with acid value and uv absorption analyses. J. Anal. Methods Chem. 2018, 2018, 4175843. [Google Scholar] [CrossRef] [PubMed]
- Tsytsiura, Y. Evaluation of oilseed radish (Raphanus sativus L. Var. Oleiformis Pers.) oil as a potential component of biofuels. Eng. Agríc. 2023, 43, e20220137. [Google Scholar] [CrossRef]
- Stevanato, N.; de Mello, B.; Massa, T.; Silva, C. Potential radish for biodiesel: Oil extraction and production of esters. Uningá Rev. 2020, 35, eRUR2872. [Google Scholar] [CrossRef]
- Zhu, L.-H.; Krens, F.; Smith, M.A.; Li, X.; Qi, W.; van Loo, E.N.; Iven, T.; Feussner, I.; Nazarenus, T.J.; Huai, D.; et al. Dedicated industrial oilseed crops as metabolic engineering platforms for sustainable industrial feedstock production. Sci. Rep. 2016, 6, 22181. [Google Scholar] [CrossRef] [PubMed]
- Martins, R.F.A.; Souza, A.F.C.; Pitol, C.; Falqueto, A.R. Physiological responses to intense water deficit in two genotypes of crambe (Crambe abyssinica Hochst.). Aust. J. Crop Sci. 2017, 11, 821–827. [Google Scholar] [CrossRef]
- Tavares, C.; Ribeiro Junior, W.; Ramos, M.; Pereira, L.; Casari, R.; Pereira, A.; de Sousa, C.; da Silva, A.; Neto, S.; Mertz-Henning, L. Water stress alters morphophysiological, grain quality and vegetation indices of soybean cultivars. Plants 2022, 11, 559. [Google Scholar] [CrossRef]
- Hu, F.; Zhang, Y.; Guo, J. Effects of drought stress on photosynthetic physiological characteristics, leaf microstructure and related gene expression of yellow horn. Plant Signal. Behav. 2023, 18, 2215025. [Google Scholar] [CrossRef] [PubMed]
- Demmig-Adams, B.; Adams, W.W. An integrative approach to photoinhibition and photoprotection of photosynthesis. Environ. Exp. Bot. 2018, 154, 1–3. [Google Scholar] [CrossRef]
- Swapna, S.; Shylaraj, K.S. Screening for osmotic stress responses in rice varieties under drought condition. Rice Sci. 2017, 24, 253–263. [Google Scholar] [CrossRef]
- Hosseinifard, M.; Stefaniak, S.; Ghorbani Javid, M.; Soltani, E.; Wojtyla, Ł.; Garnczarska, M. Contribution of exogenous proline to abiotic stresses tolerance in plants: A review. Int. J. Mol. Sci. 2022, 23, 5186. [Google Scholar] [CrossRef] [PubMed]
- Wang, Y.; Frei, M. Stressed food—The impact of abiotic environmental stresses on crop quality. Agric. Ecosyst. Environ. 2011, 141, 271–286. [Google Scholar] [CrossRef]
- Farooq, M.; Gogoi, N.; Barthakur, S.; Baroowa, B.; Bharadwaj, N.; Alghamdi, S.S.; Siddique, K.H.M. Drought stress in grain legumes during reproduction and grain filling. J. Agron. Crop Sci. 2017, 203, 81–102. [Google Scholar] [CrossRef]
- Zegaoui, Z.; Planchais, S.; Cabassa, C.; Djebbar, R.; Belbachir, O.A.; Carol, P. Variation in relative water content, proline accumulation and stress gene expression in two cowpea landraces under drought. J. Plant Physiol. 2017, 218, 26–34. [Google Scholar] [CrossRef]
- Herppich, W.B.; Landahl, S. Physiological responses of radish (Raphanus sativus L.) to controlled water limitations—Potential effects on tuber quality and shelf life. Acta Hortic. 2022, 1335, 163–170. [Google Scholar] [CrossRef]
- Hasibeder, R.; Fuchslueger, L.; Richter, A.; Bahn, M. Summer drought alters carbon allocation to roots and root respiration in mountain grassland. New Phytol. 2015, 205, 1117–1127. [Google Scholar] [CrossRef] [PubMed]
- Shanker, A.K.; Amirineni, S.; Bhanu, D.; Yadav, S.K.; Jyothilakshmi, N.; Vanaja, M.; Singh, J.; Sarkar, B.; Maheswari, M.; Singh, V.K. High-resolution dissection of photosystem ii electron transport reveals differential response to water deficit and heat stress in isolation and combination in pearl millet [Pennisetum glaucum (L.) R. Br.]. Front. Plant Sci. 2022, 13, 892676. [Google Scholar] [CrossRef] [PubMed]
- Al Hassan, M.; Chaura, J.; Donat-Torres, M.P.; Boscaiu, M.; Vicente, O. Antioxidant responses under salinity and drought in three closely related wild monocots with different ecological optima. AoB Plants 2017, 9, plx009. [Google Scholar] [CrossRef]
- Hussain, N.; Yasmeen, A.; Yousaf, M.M. Antioxidant status and their enhancements strategies for water stress tolerance in chickpea. Braz. J. Biol. 2022, 82, e237809. [Google Scholar] [CrossRef]
- Dodd, I.C.; Hirons, A.D.; Puértolas, J. Plant-water relations. In Encyclopedia of Soils in the Environment; Elsevier: Amsterdam, The Netherlands, 2023; pp. 516–526. [Google Scholar]
- Yan, W.; Zhong, Y.; Shangguan, Z. A Meta-analysis of leaf gas exchange and water status responses to drought. Sci. Rep. 2016, 6, 20917. [Google Scholar] [CrossRef]
- Zivcak, M.; Brestic, M.; Balatova, Z.; Drevenakova, P.; Olsovska, K.; Kalaji, H.M.; Yang, X.; Allakhverdiev, S.I. Photosynthetic electron transport and specific photoprotective responses in wheat leaves under drought stress. Photosynth. Res. 2013, 117, 529–546. [Google Scholar] [CrossRef] [PubMed]
- Kaur, D.; Grewal, S.K.; Kaur, J.; Singh, S. Differential proline metabolism in vegetative and reproductive tissues determine drought tolerance in chickpea. Biol. Plant. 2017, 61, 359–366. [Google Scholar] [CrossRef]
- Ammar, M.H.; Anwar, F.; El−Harty, E.H.; Migdadi, H.M.; Abdel−Khalik, S.M.; Al−Faifi, S.A.; Farooq, M.; Alghamdi, S.S. Physiological and yield responses of faba bean (Vicia faba L.) to drought stress in managed and open field environments. J. Agron. Crop Sci. 2015, 201, 280–287. [Google Scholar] [CrossRef]
- Akitha Devi, M.K.; Giridhar, P. Variations in physiological response, lipid peroxidation, antioxidant enzyme activities, proline and isoflavones content in soybean varieties subjected to drought stress. Proc. Natl. Acad. Sci. India Sect. B Biol. Sci. 2015, 85, 35–44. [Google Scholar] [CrossRef]
- Vendruscolo, E.C.G.; Schuster, I.; Pileggi, M.; Scapim, C.A.; Molinari, H.B.C.; Marur, C.J.; Vieira, L.G.E. Stress-induced synthesis of proline confers tolerance to water deficit in transgenic wheat. J. Plant Physiol. 2007, 164, 1367–1376. [Google Scholar] [CrossRef]
- Anjum, S.; Xie, X.; Wang, L.; Saleem, M.; Man, C.; Lei, W. Morphological, physiological and biochemical responses of plants to drought stress. Afr. J. Agric. Res. 2011, 6, 2026–2032. [Google Scholar] [CrossRef]
- Lawlor, D.W.; Tezara, W. Causes of decreased photosynthetic rate and metabolic capacity in water-deficient leaf cells: A critical evaluation of mechanisms and integration of processes. Ann. Bot. 2009, 103, 561–579. [Google Scholar] [CrossRef]
- Hu, C.; Elias, E.; Nawrocki, W.J.; Croce, R. Drought affects both photosystems in Arabidopsis thaliana. New Phytol. 2023, 240, 663–675. [Google Scholar] [CrossRef]
- Magalhães, I.D.; Lyra, G.B.; Souza, J.L.; Teodoro, I.; Cavalcante, C.A.; Ferreira Junior, R.A.; Souza, R.C. Physiology and grain yield of common beans under evapotranspirated water reposition levels. Irrig. Drain. Syst. Eng. 2017, 6, 183. [Google Scholar] [CrossRef]
- Borba, M.E.A.; Maciel, G.M.; Fraga Júnior, E.F.; Machado Júnior, C.S.; Marquez, G.R.; Silva, I.G.; Almeida, R.S. Gas exchanges and water use efficiency in the selection of tomato genotypes tolerant to water stress. Genet. Mol. Res. 2017, 16, gmr16029685. [Google Scholar] [CrossRef] [PubMed]
- Yamori, W.; Shikanai, T. Physiological functions of cyclic electron transport around photosystem I in sustaining photosynthesis and plant growth. Annu. Rev. Plant Biol. 2016, 67, 81–106. [Google Scholar] [CrossRef] [PubMed]
- Weng, X.; Zheng, C.; Xu, H.; Sun, J. Characteristics of photosynthesis and functions of the water–water cycle in rice (Oryza sativa) leaves in response to potassium deficiency. Physiol. Plant. 2007, 131, 614–621. [Google Scholar] [CrossRef]
- Demmig-Adams, B.; Stewart, J.J.; López-Pozo, M.; Polutchko, S.K.; Adams, W.W. Zeaxanthin, a molecule for photoprotection in many different environments. Molecules 2020, 25, 5825. [Google Scholar] [CrossRef]
- Jin, E.; Yokthongwattana, K.; Polle, J.E.W.; Melis, A. Role of the reversible xanthophyll cycle in the photosystem II damage and repair cycle in Dunaliella salina. Plant Physiol. 2003, 132, 352–364. [Google Scholar] [CrossRef]
- Lemoine, R.; Camera, S.L.; Atanassova, R.; Dédaldéchamp, F.; Allario, T.; Pourtau, N.; Bonnemain, J.-L.; Laloi, M.; Coutos-Thévenot, P.; Maurousset, L.; et al. Source-to-sink transport of sugar and regulation by environmental factors. Front. Plant Sci. 2013, 4, 272. [Google Scholar] [CrossRef] [PubMed]
- Thalmann, M.; Santelia, D. Starch as a determinant of plant fitness under abiotic stress. New Phytol. 2017, 214, 943–951. [Google Scholar] [CrossRef] [PubMed]
- Rao, I.; Beebe, S.; Polania, J.; Ricaurte, J.; Cajiao, C.; Garcia, R.; Rivera, M. Can tepary bean be a model for improvement of drought resistance in common bean? Afr. Crop Sci. J. 2013, 21, 265–281. [Google Scholar]
- Pushpavalli, R.; Zaman-Allah, M.; Turner, N.C.; Baddam, R.; Rao, M.V.; Vadez, V. Higher flower and seed number leads to higher yield under water stress conditions imposed during reproduction in chickpea. Funct. Plant Biol. 2015, 42, 162–174. [Google Scholar] [CrossRef] [PubMed]
- Enjalbert, J.-N.; Zheng, S.; Johnson, J.J.; Mullen, J.L.; Byrne, P.F.; McKay, J.K. Brassicaceae germplasm diversity for agronomic and seed quality traits under drought stress. Ind. Crops Prod. 2013, 47, 176–185. [Google Scholar] [CrossRef]
- Ramos, M.J.; Fernández, C.M.; Casas, A.; Rodríguez, L.; Pérez, Á. Influence of fatty acid composition of raw materials on biodiesel properties. Bioresour. Technol. 2009, 100, 261–268. [Google Scholar] [CrossRef] [PubMed]
- ANP—Brazilian National Agency of Petroleum Natural Gas and Biofuels Resolução ANP Nº 45, de 25 de Agosto de 2014. Available online: https://atosoficiais.com.br/anp/resolucao-n-45-2014?origin=instituicao (accessed on 18 November 2022).
- Ghaffari, M.; Gholizadeh, A.; Rauf, S.; Shariati, F. Drought-stress induced changes of fatty acid composition affecting sunflower grain yield and oil quality. Food Sci. Nutr. 2023, 11, 7718–7731. [Google Scholar] [CrossRef] [PubMed]
- Pekcan, V.; Yilmaz, M.I.; Evci, G.; Cil, A.N.; Sahin, V.; Gunduz, O.; Koc, H.; Kaya, Y. Oil content determination on sunflower seeds in drought conditions. J. Food Process. Preserv. 2021, 46, e15481. [Google Scholar] [CrossRef]
- Morsi, N.A.A.; Hashem, O.S.M.; El−Hady, M.A.A.; Abd−Elkrem, Y.M.; El−temsah, M.E.; Galal, E.G.; Gad, K.I.; Boudiar, R.; Silvar, C.; El−Hendawy, S.; et al. Assessing drought tolerance of newly developed tissue-cultured canola genotypes under varying irrigation regimes. Agronomy 2023, 13, 836. [Google Scholar] [CrossRef]
- Secchi, M.A.; Fernandez, J.A.; Stamm, M.J.; Durrett, T.; Prasad, P.V.V.; Messina, C.D.; Ciampitti, I.A. Effects of heat and drought on canola (Brassica napus L.) yield, oil and protein: A meta-analysis. Field Crops Res. 2023, 293, 108848. [Google Scholar] [CrossRef]
- Braga, P.C.S.; Martins, J.P.R.; Bonomo, R.; Falqueto, A.R. Morphophysiological responses of Crambe abyssinica Hochst. lineages submitted to water deficit during flowering. Photosynthetica 2021, 59, 486–495. [Google Scholar] [CrossRef]
- Pushkarova, N.; Yemets, A. Biotechnological approach for improvement of Crambe species as valuable oilseed plants for industrial purposes. RSC Adv. 2022, 12, 7168–7178. [Google Scholar] [CrossRef] [PubMed]
- Embrapa—Brazilian Agricultural Research Cooperation. Brazilian System of Soil Classification; Embrapa: Brasília, Brazil, 2013. [Google Scholar]
- Souza, D.; Lobato, E. Cerrado: Soil Correction and Fertilization; Embrapa: Brasília, Brazil, 2004. [Google Scholar]
- van Genuchten, M.T. A closed−form equation for predicting the hydraulic conductivity of unsaturated soils. Soil Sci. Soc. Am. J. 1980, 44, 892–898. [Google Scholar] [CrossRef]
- Pask, A.; Pietragalla, J.; Mullan, D.; Reynolds, M. Physiological breeding II: A field guide to wheat phenotyping. In Osmotic Adjustment; Pierre, C.S., Arce, V.T., Eds.; CIMMYT: México-Veracruz, Mexico, 2012; pp. 21–24. [Google Scholar]
- Barrs, H.; Weatherley, P. A re-examination of the relative turgidity technique for estimating water deficits in leaves. Aust. J. Biol. Sci. 1962, 15, 413–428. [Google Scholar] [CrossRef]
- Machado, E.C.; Schmidt, P.T.; Medina, C.L.; Ribeiro, R.V. Respostas da fotossíntese de três espécies de citros a fatores ambientais. Pesqui. Agropecu. Bras. 2005, 40, 1161–1170. [Google Scholar] [CrossRef]
- Genty, B.; Briantais, J.-M.; Baker, N.R. The relationship between the quantum yield of photosynthetic electron transport and quenching of chlorophyll fluorescence. Biochim. Biophys. Acta (BBA)-Gen. Subj. 1989, 990, 87–92. [Google Scholar] [CrossRef]
- Bilger, W.; Schreiber, U.; Bock, M. Determination of the quantum efficiency of photosystem II and of non-photochemical quenching of chlorophyll fluorescence in the field. Oecologia 1995, 102, 425–432. [Google Scholar] [CrossRef] [PubMed]
- Ehleringer, J. Leaf absorptances of mohave and sonoran desert plants. Oecologia 1981, 49, 366–370. [Google Scholar] [CrossRef]
- Laisk, A.; Loreto, F. Determining photosynthetic parameters from leaf CO2 exchange and chlorophyll fluorescence (ribulose-1,5-bisphosphate carboxylase/oxygenase specificity factor, dark respiration in the light, excitation distribution between photosystems, alternative electron transport rate, and mesophyll diffusion resistance. Plant Physiol. 1996, 110, 903–912. [Google Scholar] [CrossRef]
- Ribeiro, R.V.; Machado, E.C.; Santos, M.G.; Oliveira, R.F. Seasonal and diurnal changes in photosynthetic limitation of young sweet orange trees. Environ. Exp. Bot. 2009, 66, 203–211. [Google Scholar] [CrossRef]
- Pimentel, C.; Sarr, B.; Diouf, O.; Abboud, A.; Roy-Macauley, H. Tolerância protoplasmática foliar à seca, em dois genótipos de caupi cultivadas em campo. Rev. Univ. Rural Sér. Ciênc. Vida 2002, 22, 7–14. [Google Scholar]
- Ronen, R.; Galun, M. Pigment extraction from lichens with dimethyl sulfoxide (DMSO) and estimation of chlorophyll degradation. Environ. Exp. Bot. 1984, 24, 239–245. [Google Scholar] [CrossRef]
- Wellburn, A.R. The spectral determination of chlorophylls a and b, as well as total carotenoids, using various solvents with spectrophotometers of different resolution. J. Plant Physiol. 1994, 144, 307–313. [Google Scholar] [CrossRef]
- Bates, L.S.; Waldren, R.P.; Teare, I.D. Rapid determination of free proline for water-stress studies. Plant Soil 1973, 39, 205–207. [Google Scholar] [CrossRef]
- DuBois, M.; Gilles, K.A.; Hamilton, J.K.; Rebers, P.A.; Smith, F. Colorimetric method for determination of sugars and related substances. Anal. Chem. 1956, 28, 350–356. [Google Scholar] [CrossRef]
- Miller, G.L. Use of Dinitrosalicylic acid reagent for determination of reducing sugar. Anal. Chem. 1959, 31, 426–428. [Google Scholar] [CrossRef]
- McCready, R.M.; Guggolz, J.; Silviera, V.; Owens, H.S. Determination of starch and amylose in vegetables. Anal. Chem. 1950, 22, 1156–1158. [Google Scholar] [CrossRef]
- Silva, L.D.; Marchiori, P.E.R.; Maciel, C.P.; Machado, E.C.; Ribeiro, R.V. Fotossíntese, relações hídricas e crescimento de cafeeiros jovens em relação à disponibilidade de fósforo. Pesqui. Agropecu. Bras. 2010, 45, 965–972. [Google Scholar] [CrossRef]
- IAL—Adolfo Lutz Institute. Physicochemical Methods for Food Analysis, 4th ed.; Adolfo Lutz Institute: São Paulo, Brazil, 2008. [Google Scholar]
- AOCS—American Oil Chemists Society. Official Methods and Recommended Practices of the American Oil Chemist’s Society, 5th ed.; AOCS: Champaign, IL, USA, 2003. [Google Scholar]
- Oksanen, J.; Blanchet, F.G.; Friendly, M.; Kindt, R.; Legendre, P.; Minchin, P.R.; O’Hara, R.B.; Solymos, P.; Stevens, M.H.H.; Szoecs, E.; et al. Package Vegan: Community Ecology; Posit: Boston, MA, USA, 2020. [Google Scholar]
- RStudio. R Core Team R: A Language and Environment for Statistical Computing; RStudio: Boston, MA, USA, 2022. [Google Scholar]
Disclaimer/Publisher’s Note: The statements, opinions and data contained in all publications are solely those of the individual author(s) and contributor(s) and not of MDPI and/or the editor(s). MDPI and/or the editor(s) disclaim responsibility for any injury to people or property resulting from any ideas, methods, instructions or products referred to in the content. |
© 2024 by the authors. Licensee MDPI, Basel, Switzerland. This article is an open access article distributed under the terms and conditions of the Creative Commons Attribution (CC BY) license (https://creativecommons.org/licenses/by/4.0/).





