The Stability of Hop (Humulus lupulus L.) Resins during Long-Period Storage
Abstract
1. Introduction
2. Results and Discussion
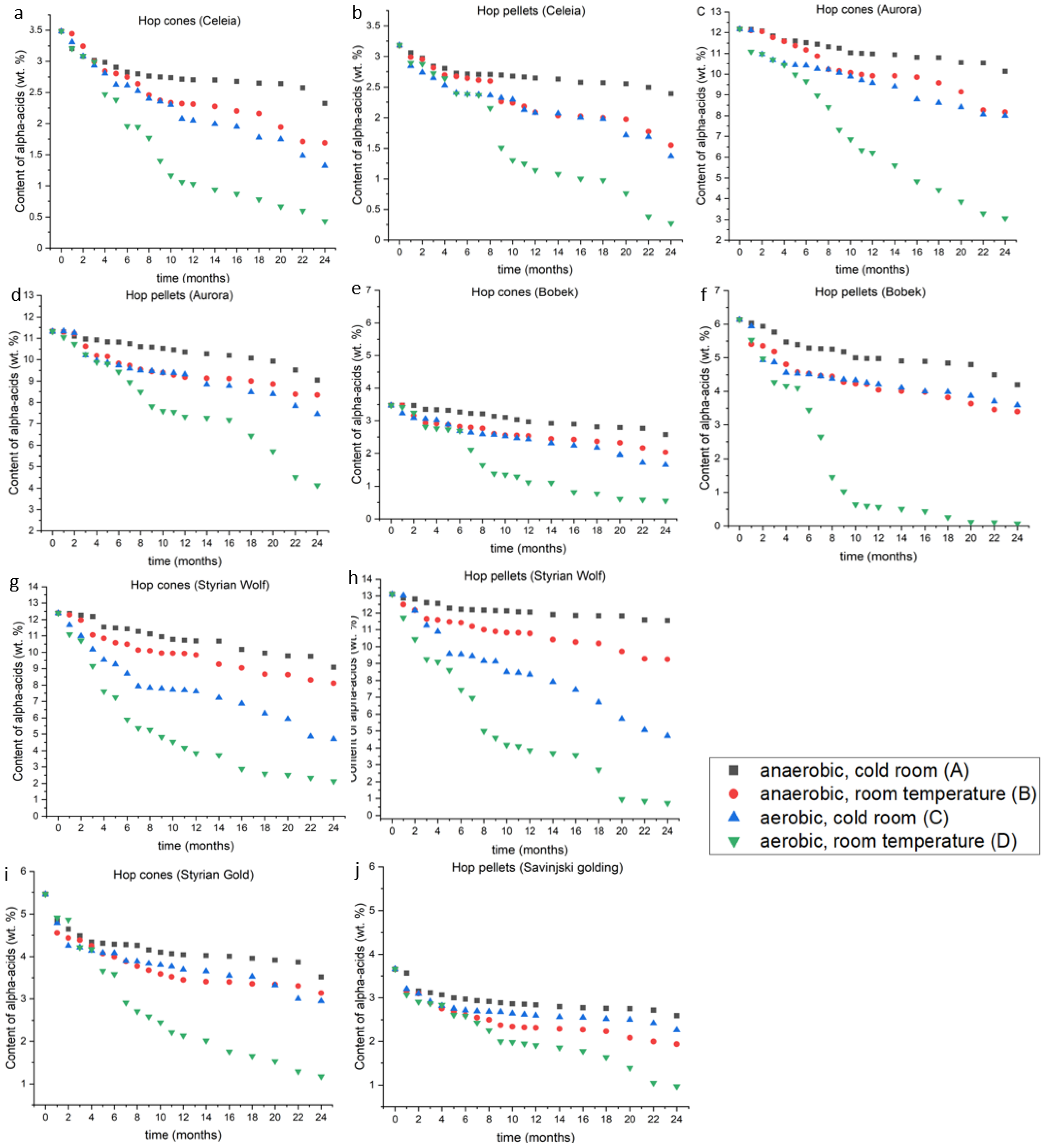
2.1. Alpha-Acids
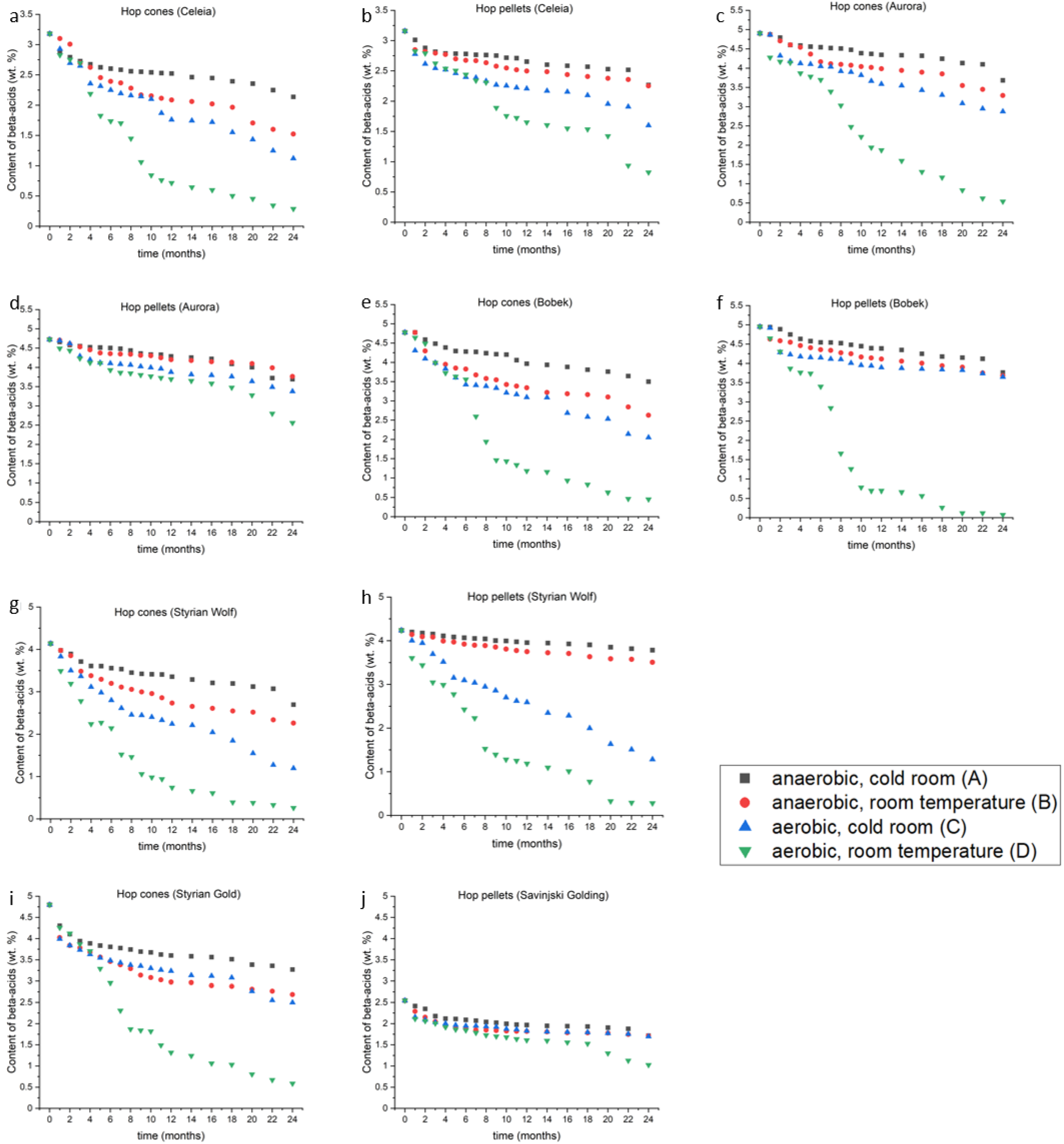
2.2. Beta-Acids
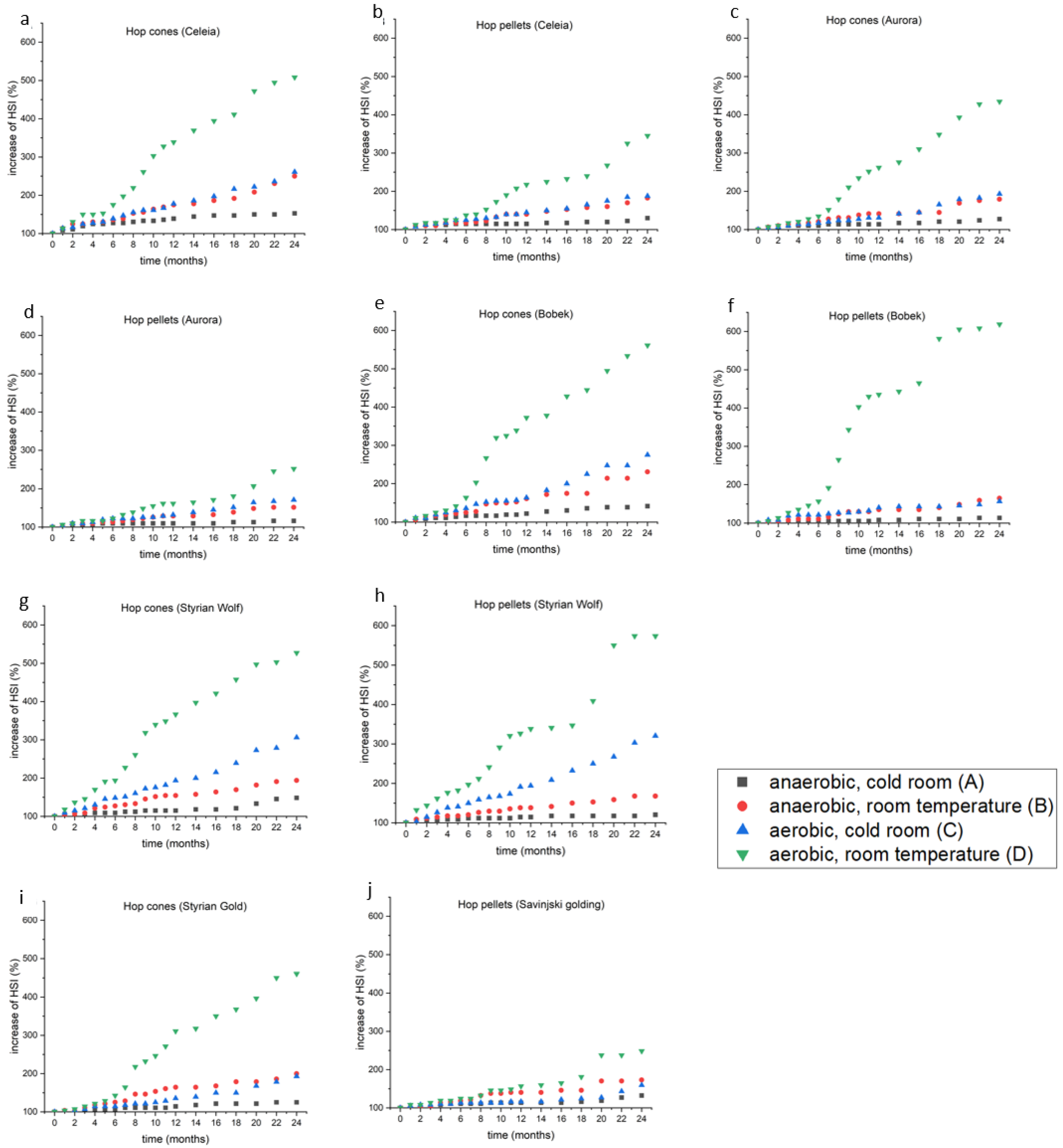
2.3. Hop Storage Index
3. Materials and Methods
3.1. Materials
3.2. Storage and Sampling
3.3. Alpha- and Beta-Acids Determination by HPLC
3.4. Hop Storage Index (HSI)
3.5. Statistical Analysis
4. Conclusions
Supplementary Materials
Author Contributions
Funding
Data Availability Statement
Conflicts of Interest
References
- Almaguer, C.; Schönberger, C.; Gastl, M.; Arendt, E.K.; Becker, T. Humulus lupulus- a story that begs to be told. A review. J. Inst. Brew. 2014, 120, 289–314. [Google Scholar] [CrossRef]
- Stevens, R. The Chemistry of Hop Constituents. Chem. Rev. 1967, 67, 19–71. [Google Scholar] [CrossRef]
- Taniguchi, Y.; Taniguchi, H.; Yamada, M.; Matsukura, Y.; Koizumi, H.; Furihata, K.; Shindo, K. Analysis of the Components of Hard Resin in Hops (Humulus lupulus L.) and Structural Elucidation of Their Transformation Products Formed during the Brewing Process. J. Agric. Food Chem. 2014, 62, 11602–11612. [Google Scholar] [CrossRef]
- Protsenko, L.; Ryzhuk, S.; Liashenko, M.; Shevchenko, O.; Litvynchuk, S.; Yanse, L.; Milosta, H. Influence of alpha acids hop homologues of bitter and aromatic varieties on beer quality. Ukr. Food J. 2020, 9, 425–436. [Google Scholar] [CrossRef]
- Rigby, F.L. A Theory on the Hop Flavor of Beer. Proc. Annu. Meet.-Am. Soc. Brew. Chem. 1972, 30, 46–50. [Google Scholar] [CrossRef]
- Wackerbauer, K.; Balzer, U. Hop bitter compounds in beer. Part II: The influence of cohumulon on beer quality. Brauwelt Int. 1993, 11, 116–117. [Google Scholar]
- Hughes, P. The Significance of Iso-α-Acids for Beer Quality Cambridge Prize Paper. J. Inst. Brew. 2000, 106, 271–276. [Google Scholar] [CrossRef]
- Shellhammer, T.H.; Gitelman, A.I.; McDaniel, M. Bitter Quality of Beer as Affected by Isocohumulone Levels. In Proceedings of the World Brewing Congress, San Diego, CA, USA, 24–28 July 2004. [Google Scholar]
- Schönberger, C. Why cohumulone is better than its reputation. Brauwelt Int. 2009, 27, 159–160. [Google Scholar]
- Jaskula, B.; Kafarski, P.; Aerts, G.; De Cooman, L. A Kinetic Study on the Isomerization of Hop α-Acids. J. Agric. Food Chem. 2008, 56, 6408–6415. [Google Scholar] [CrossRef]
- Maye, J.P.; Smith, R. Dry Hopping and Its Effects on the International Bitterness Unit Test and Beer Bitterness. Tech. Q. 2016, 53, 134–136. [Google Scholar] [CrossRef]
- Foster, A. The quality chain from hops to hop products. In Proceedings of the Technical Commission IHGC of the 48th IHGC Congress, Canterbury, UK, 6–10 August 2001. [Google Scholar]
- Mikyška, A.; Krofta, K. Assessment of changes in hop resins and polyphenols during long-term storage. J. Inst. Brew. 2012, 118, 269–279. [Google Scholar] [CrossRef]
- Srečec, S.; Rezić, T.; Šantek, B.; Marić, V. Hop pellets type 90: Influence of manufacture and storage on losses of α-acids. Acta Aliment. 2009, 38, 141–147. [Google Scholar] [CrossRef]
- Tembo, G.M. Effects of Storage Conditions on Alpha Acid Degradation of Indiana Grown Hops (Humulus lupulus). Ph.D. Thesis, Purdue University Graduate School, West Lafayette, IN, USA, 2020. [Google Scholar]
- Canbaş, A.; Erten, H.; Özşahin, F. The effects of storage temperature on the chemical composition of hop pellets. Process. Biochem. 2001, 36, 1053–1058. [Google Scholar] [CrossRef]
- Veríssimo, L.S.; Ferreira, A.; Pinheiro, P.F.; Ribeiro, J.S. Chemometric studies of hops degradation at different storage forms using UV-Vis, NIRS and UPLC analyses. Braz. J. Food Technol. 2022, 25, 1–13. [Google Scholar] [CrossRef]
- Táborský, J.; Hcjtmánková, A.; Illavatá, E.; Chládck, L. A study of dynamics of bitter acids and xantohumol in hop pellets during storage. Agron. Res. 2018, 16, 1509–1516. [Google Scholar]
- Wain, J.; Baker, C.D.; Laws, D.R.J. Deterioration of pelleted hop powders during long-term storage. J. Inst. Brew. 1977, 83, 235–240. [Google Scholar] [CrossRef]
- Howard, G.A.; Tatchell, A.R. Development of resins during the ripening of hops. J. Inst. Brew. 1956, 62, 251–256. [Google Scholar] [CrossRef]
- Nesvadba, V.; Krofta, K. Aspects Of Breeding Aroma Hops. In Proceedings of the International Hop Growers’ Convention, Paris, France, 27 August 2007; I.H.G.C.: Tettnang, Germany, 2007; pp. 14–17. [Google Scholar]
- Krofta, K.; Mikyška, A. Hop beta acids: Properties, significance and utilization. Kvasny Prumysl 2014, 60, 96–105. [Google Scholar] [CrossRef]
- Algazzali, V.; Shellhammer, T. Bitterness Intensity of Oxidized Hop Acids: Humulinones and Hulupones. J. Am. Soc. Brew. Chem. 2016, 74, 36–43. [Google Scholar] [CrossRef]
- Krofta, K.; Vrabcová, S.; Mikyška, A.; Jurková, M. The effect of hop beta acids oxidation products on beer bitterness. Kvasny Prumysl 2013, 59, 306–312. [Google Scholar] [CrossRef]
- Haseleu, G.; Intelmann, D.; Hofmann, T. Structure determination and sensory evaluation of novel bitter compounds formed from β-acids of hop (Humulus lupulus L.) upon wort boiling. Food Chem. 2009, 116, 71–81. [Google Scholar] [CrossRef]
- Haseleu, G.; Intelmann, D.; Hofmann, T. Identification and RP-HPLC-ESI-MS/MS Quantitation of Bitter-Tasting β-Acid Transformation Products in Beer. J. Agric. Food Chem. 2009, 57, 7480–7489. [Google Scholar] [CrossRef] [PubMed]
- Jelínek, L.; Šneberger, M.; Karabín, M.; Dostálek, P. Comparison of Czech hop cultivars based on their contenst of secondary metabolites. Czech J. Food Sci. 2010, 28, 309–316. [Google Scholar] [CrossRef]
- Beatson, R.A.; Inglis, T.E. Development of Aroma Hop Cultivars in New Zealand*. J. Inst. Brew. 1999, 105, 382–385. [Google Scholar] [CrossRef]
- Analytica EBC. 7.7—α- and β-Acids in Hops and Hop Products by HPLC. Analytica EBC 2012. Available online: https://brewup.eu/ebc-analytica/hops-and-hop-products/and-acids-in-hops-and-hop-products-by-hplc7/7.7 (accessed on 17 October 2022).
- Analytica EBC. 7.2—Moisture Content of Hops and Hop Products. Analytica EBC 1997. Available online: https://brewup.eu/ebc-analytica/hops-and-hop-products/moisture-content-of-hops-and-hop-products/7.2 (accessed on 17 October 2022).
- Analytica EBC. 7.13—Hop Storage Index of Hops and Hop Pellets. Analytica EBC 2007. Available online: https://brewup.eu/ebc-analytica/hops-and-hop-products/hop-storage-index-of-hops-and-hop-pellets/7.13 (accessed on 17 October 2022).



| Storage Conditions | Variety | Shape of Hops | Loss of Alpha-Acids [%] |
|---|---|---|---|
| Anaerobic conditions. cold room | Celeia | cones | 33.3 ± 0.8 |
| Celeia | pellets | 24.8 ± 0.6 | |
| Aurora | cones | 16.8 ± 0.4 | |
| Aurora | pellets | 20.1 ± 0.5 | |
| Bobek | cones | 26.1 ± 0.6 | |
| Bobek | pellets | 31.7 ± 0.8 | |
| Styrian Wolf | cones | 26.8 ± 0.7 | |
| Styrian Wolf | pellets | 11.8 ± 0.3 | |
| Styrian Gold | cones | 35.5 ± 0.9 | |
| Savinjski golding | pellets | 29.0 ± 0.7 | |
| Anaerobic conditions. room temperature | Celeia | cones | 51.4 ± 1.3 |
| Celeia | pellets | 51.3 ± 1.3 | |
| Aurora | cones | 32.9 ± 0.8 | |
| Aurora | pellets | 26.2 ± 0.7 | |
| Bobek | cones | 41.7 ± 1.0 | |
| Bobek | pellets | 44.7 ± 1.1 | |
| Styrian Wolf | cones | 34.6 ± 0.9 | |
| Styrian Wolf | pellets | 29.5 ± 0.7 | |
| Styrian Gold | cones | 42.5 ± 1.0 | |
| Savinjski Golding | pellets | 47.0 ± 1.2 | |
| Aerobic conditions. cold room | Celeia | cones | 62.1 ± 1.5 |
| Celeia | pellets | 52.2 ± 1.4 | |
| Aurora | cones | 34.3 ± 0.8 | |
| Aurora | pellets | 34.1 ± 0.9 | |
| Bobek | cones | 52.6 ± 1.3 | |
| Bobek | pellets | 41.6 ± 1.1 | |
| Styrian Wolf | cones | 62.1 ± 1.5 | |
| Styrian Wolf | pellets | 65.0 ± 1.6 | |
| Styrian Gold | cones | 46.0 ± 1.1 | |
| Savinjski Golding | pellets | 38.3 ± 1.0 | |
| Aerobic conditions. room temperature | Celeia | cones | 87.6 ± 2.1 |
| Celeia | pellets | 91.2 ± 2.4 | |
| Aurora | cones | 74.9 ± 1.8 | |
| Aurora | pellets | 63.5 ± 1.6 | |
| Bobek | cones | 84.2 ± 2.1 | |
| Bobek | pellets | 98.7 ± 2.5 | |
| Styrian Wolf | cones | 82.8 ± 2.0 | |
| Styrian Wolf | pellets | 94.4 ± 2.4 | |
| Styrian Gold | cones | 78.6 ± 1.9 | |
| Savinjski Golding | pellets | 73.5 ± 1.9 |
| Time | Co-Humulone | (n+ad)-Humulone | % Co-Humulone in Alpha-Acids | ||||||||||
|---|---|---|---|---|---|---|---|---|---|---|---|---|---|
| Variety/ Conditions | A | B | C | D | A | B | C | D | A | B | C | D | |
| Aurora cones | 0 | 2.70 ± 0.05 | 2.7 ± 0.05 | 2.7 ± 0.05 | 2.7 ± 0.05 | 9.48 ± 0.17 | 9.48 ± 0.17 | 9.48 ± 0.17 | 9.48 ± 0.17 | 22.2 ± 1.2 | 22.2 ± 1.2 | 22.2 ± 1.2 | 22.2 ± 1.2 |
| 6 | 2.54 ± 0.04 | 2.43 ± 0.04 | 2.29 ± 0.04 | 2.16 ± 0.04 | 8.98 ± 0.16 | 8.75 ± 0.16 | 8.12 ± 0.15 | 7.5 ± 0.13 | 22.1 ± 1.2 | 22.0 ± 1.1 | 22.4 ± 1.1 | 22.4 ± 1.1 | |
| 12 | 2.43 ± 0.04 | 2.2 ± 0.04 | 2.13 ± 0.04 | 1.39 ± 0.02 | 8.55 ± 0.15 | 7.72 ± 0.14 | 7.44 ± 0.13 | 4.83 ± 0.09 | 22.1 ± 1.1 | 22.3 ± 1.1 | 22.3 ± 1.1 | 22.6 ± 0.9 | |
| 18 | 2.39 ± 0.04 | 2.11 ± 0.04 | 1.95 ± 0.03 | 1.03 ± 0.02 | 8.41 ± 0.15 | 7.47 ± 0.13 | 6.66 ± 0.12 | 3.43 ± 0.06 | 22.1 ± 1.1 | 22.6 ± 1.1 | 23.1 ± 1.1 | 22.7 ± 0.8 | |
| 24 | 2.26 ± 0.04 | 1.79 ± 0.03 | 1.75 ± 0.03 | 0.70 ± 0.01 | 7.88 ± 0.14 | 6.38 ± 0.11 | 6.25 ± 0.11 | 2.35 ± 0.04 | 22.3 ± 1.1 | 21.9 ± 1.0 | 23.0 ± 1.0 | 22.9 ± 0.7 | |
| Styrian Wolf cones | 0 | 2.69 ± 0.05 | 2.69 ± 0.05 | 2.69 ± 0.05 | 2.69 ± 0.05 | 9.71 ± 0.17 | 9.71 ± 0.17 | 9.71 ± 0.17 | 9.71 ± 0.17 | 21.7 ± 1.2 | 21.7 ± 1.2 | 21.7 ± 1.2 | 21.7 ± 1.2 |
| 6 | 2.47 ± 0.04 | 2.32 ± 0.04 | 1.92 ± 0.03 | 1.43 ± 0.02 | 8.96 ± 0.16 | 8.16 ± 0.15 | 6.77 ± 0.12 | 5.02 ± 0.09 | 21.6 ± 1.1 | 22.2 ± 1.1 | 22.1 ± 1.0 | 22.2 ± 0.9 | |
| 12 | 2.34 ± 0.04 | 2.13 ± 0.04 | 1.68 ± 0.03 | 0.88 ± 0.02 | 8.35 ± 0.15 | 7.71 ± 0.14 | 5.94 ± 0.11 | 2.96 ± 0.05 | 21.9 ± 1.1 | 21.7 ± 1.1 | 22.0 ± 1.0 | 22.9 ± 0.8 | |
| 18 | 2.23 ± 0.04 | 1.89 ± 0.03 | 1.38 ± 0.02 | 0.58 ± 0.01 | 7.72 ± 0.14 | 6.77 ± 0.12 | 4.9 ± 0.09 | 2.01 ± 0.04 | 22.4 ± 1.1 | 21.9 ± 1.0 | 22.0 ± 0.9 | 22.3 ± 0.6 | |
| 24 | 1.99 ± 0.03 | 1.79 ± 0.03 | 1.04 ± 0.02 | 0.45 ± 0.01 | 7.09 ± 0.13 | 6.32 ± 0.11 | 3.66 ± 0.07 | 1.68 ± 0.03 | 21.9 ± 1.0 | 22.1 ± 1.0 | 22.2 ± 0.8 | 21.2 ± 0.6 | |
| Aurora pellets | 0 | 2.55 ± 0.04 | 2.55 ± 0.04 | 2.55 ± 0.04 | 2.55 ± 0.04 | 8.77 ± 0.16 | 8.77 ± 0.16 | 8.77 ± 0.16 | 8.77 ± 0.16 | 22.5 ± 1.2 | 22.5 ± 1.2 | 22.5 ± 1.2 | 22.5 ± 1.2 |
| 6 | 2.42 ± 0.04 | 2.22 ± 0.04 | 2.21 ± 0.04 | 2.13 ± 0.04 | 8.41 ± 0.15 | 7.61 ± 0.14 | 7.53 ± 0.13 | 7.31 ± 0.13 | 22.4 ± 1.1 | 22.6 ± 1.1 | 22.7 ± 1.1 | 22.5 ± 1.1 | |
| 12 | 2.35 ± 0.04 | 2.08 ± 0.04 | 2.1 ± 0.04 | 1.67 ± 0.03 | 8.02 ± 0.14 | 7.11 ± 0.13 | 7.22 ± 0.13 | 5.66 ± 0.10 | 22.6 ± 1.1 | 22.6 ± 1.1 | 22.5 ± 1.1 | 22.8 ± 1.0 | |
| 18 | 2.29 ± 0.04 | 2.01 ± 0.03 | 1.94 ± 0.03 | 1.45 ± 0.03 | 7.78 ± 0.14 | 6.99 ± 0.13 | 6.54 ± 0.12 | 4.99 ± 0.09 | 22.7 ± 1.1 | 22.3 ± 1.0 | 22.9 ± 1.0 | 22.5 ± 0.9 | |
| 24 | 2.07 ± 0.04 | 1.86 ± 0.03 | 1.70 ± 0.03 | 0.91 ± 0.02 | 6.98 ± 0.12 | 6.49 ± 0.12 | 5.76 ± 0.1 | 3.22 ± 0.06 | 22.9 ± 1.1 | 22.3 ± 1.0 | 22.8 ± 1.0 | 22.0 ± 0.8 | |
| Styrian Wolf pellets | 0 | 3.01 ± 0.05 | 3.01 ± 0.05 | 3.01 ± 0.05 | 3.01 ± 0.05 | 10.1 ± 0.18 | 10.1 ± 0.18 | 10.1 ± 0.18 | 10.1 ± 0.18 | 23.0 ± 1.3 | 23.0 ± 1.3 | 23.0 ± 1.3 | 23.0 ± 1.3 |
| 6 | 2.78 ± 0.05 | 2.61 ± 0.05 | 2.17 ± 0.04 | 1.70 ± 0.03 | 9.44 ± 0.17 | 8.83 ± 0.16 | 7.38 ± 0.13 | 5.74 ± 0.10 | 22.7 ± 1.2 | 22.8 ± 1.2 | 22.8 ± 1.1 | 22.9 ± 1.0 | |
| 12 | 2.74 ± 0.05 | 2.43 ± 0.04 | 1.91 ± 0.03 | 0.87 ± 0.02 | 9.31 ± 0.17 | 8.34 ± 0.15 | 6.44 ± 0.12 | 3.00 ± 0.05 | 22.7 ± 1.2 | 22.6 ± 1.1 | 22.9 ± 1.0 | 22.4 ± 0.7 | |
| 18 | 2.71 ± 0.05 | 2.31 ± 0.04 | 1.54 ± 0.03 | 0.60 ± 0.01 | 9.13 ± 0.16 | 7.89 ± 0.14 | 5.16 ± 0.09 | 2.10 ± 0.04 | 22.9 ± 1.2 | 22.6 ± 1.1 | 23.0 ± 0.9 | 22.2 ± 0.7 | |
| 24 | 2.62 ± 0.05 | 2.09 ± 0.04 | 1.05 ± 0.02 | 0.16 ± 0.01 | 8.94 ± 0.16 | 7.15 ± 0.13 | 3.55 ± 0.06 | 0.56 ± 0.01 | 22.7 ± 1.2 | 22.6 ± 1.1 | 22.8 ± 0.8 | 22.4 ± 0.5 | |
| Alpha/Beta Ratio | |||||||||
|---|---|---|---|---|---|---|---|---|---|
| Conditions | |||||||||
| Variety | Form | A (Beginning) | A (End) | B (Beginning) | B (End) | C (Beginning) | C (End) | D (Beginning) | D (End) |
| Celeia | cones | 1.1 | 1.1 | 1.1 | 1.1 | 1.1 | 1.2 | 1.1 | 1.5 |
| pellets | 1.0 | 1.1 | 1.0 | 0.7 | 1.0 | 0.9 | 1.0 | 0.3 | |
| Aurora | cones | 2.5 | 2.8 | 2.5 | 2.5 | 2.5 | 2.8 | 2.5 | 5.7 |
| pellets | 2.4 | 2.5 | 2.4 | 2.2 | 2.4 | 2.2 | 2.4 | 1.6 | |
| Bobek | cones | 0.7 | 0.7 | 0.7 | 0.8 | 0.7 | 0.8 | 0.7 | 1.2 |
| pellets | 1.2 | 1.1 | 1.2 | 0.9 | 1.2 | 1.0 | 1.2 | 1.0 | |
| Styrian Wolf | cones | 3.0 | 3.4 | 3.0 | 3.6 | 3.0 | 3.9 | 3.0 | 8.2 |
| pellets | 3.1 | 3.1 | 3.1 | 2.6 | 3.1 | 3.6 | 3.1 | 2.6 | |
| Styrian Gold | cones | 1.1 | 1.1 | 1.1 | 1.2 | 1.1 | 1.2 | 1.1 | 2.0 |
| Savinjski golding | pellets | 1.4 | 1.5 | 1.4 | 1.1 | 1.4 | 1.3 | 1.4 | 0.9 |
| Correlation Coefficient R2 | ||||||||||
|---|---|---|---|---|---|---|---|---|---|---|
| Conditions/ Variety | Celeia | Aurora | Bobek | Styrian Wolf | Styrian Gold/Savinjski Golding | |||||
| Cones | Pellets | Cones | Pellets | Cones | Pellets | Cones | Pellets | Cones | Pellets | |
| A | 0.96 | 0.95 | 0.97 | 0.89 | 0.97 | 0.93 | 0.88 | 0.88 | 0.88 | 0.88 |
| B | 0.95 | 0.97 | 0.98 | 0.94 | 0.92 | 0.94 | 0.91 | 0.87 | 0.91 | 0.87 |
| C | 0.97 | 0.96 | 0.94 | 0.95 | 0.96 | 0.91 | 0.88 | 0.74 | 0.88 | 0.74 |
| D | 0.93 | 0.97 | 0.98 | 0.98 | 0.96 | 0.94 | 0.93 | 0.92 | 0.93 | 0.92 |
Disclaimer/Publisher’s Note: The statements, opinions and data contained in all publications are solely those of the individual author(s) and contributor(s) and not of MDPI and/or the editor(s). MDPI and/or the editor(s) disclaim responsibility for any injury to people or property resulting from any ideas, methods, instructions or products referred to in the content. |
© 2023 by the authors. Licensee MDPI, Basel, Switzerland. This article is an open access article distributed under the terms and conditions of the Creative Commons Attribution (CC BY) license (https://creativecommons.org/licenses/by/4.0/).
Share and Cite
Rutnik, K.; Ocvirk, M.; Košir, I.J. The Stability of Hop (Humulus lupulus L.) Resins during Long-Period Storage. Plants 2023, 12, 936. https://doi.org/10.3390/plants12040936
Rutnik K, Ocvirk M, Košir IJ. The Stability of Hop (Humulus lupulus L.) Resins during Long-Period Storage. Plants. 2023; 12(4):936. https://doi.org/10.3390/plants12040936
Chicago/Turabian StyleRutnik, Ksenija, Miha Ocvirk, and Iztok Jože Košir. 2023. "The Stability of Hop (Humulus lupulus L.) Resins during Long-Period Storage" Plants 12, no. 4: 936. https://doi.org/10.3390/plants12040936
APA StyleRutnik, K., Ocvirk, M., & Košir, I. J. (2023). The Stability of Hop (Humulus lupulus L.) Resins during Long-Period Storage. Plants, 12(4), 936. https://doi.org/10.3390/plants12040936

