Treatment of Landfill Leachate by Short-Rotation Willow Coppice Plantations in a Large-Scale Experiment in Eastern Canada
Abstract
1. Introduction
2. Results
2.1. Water Balance
2.1.1. Rainfall, Leachate and Water Irrigation
2.1.2. Root Zone Depletion Model
2.2. Soil Analytical Results
2.2.1. Ammonia and Nitrate Content
2.2.2. Micro- and Macronutrient Soil Content Variation
2.3. Porewater Analysis
2.3.1. Chemical Oxygen Demand
2.3.2. TKN and Ammonia
2.3.3. Variation in Micro- and Macro-Element Porewater Content
2.4. Plant Analysis
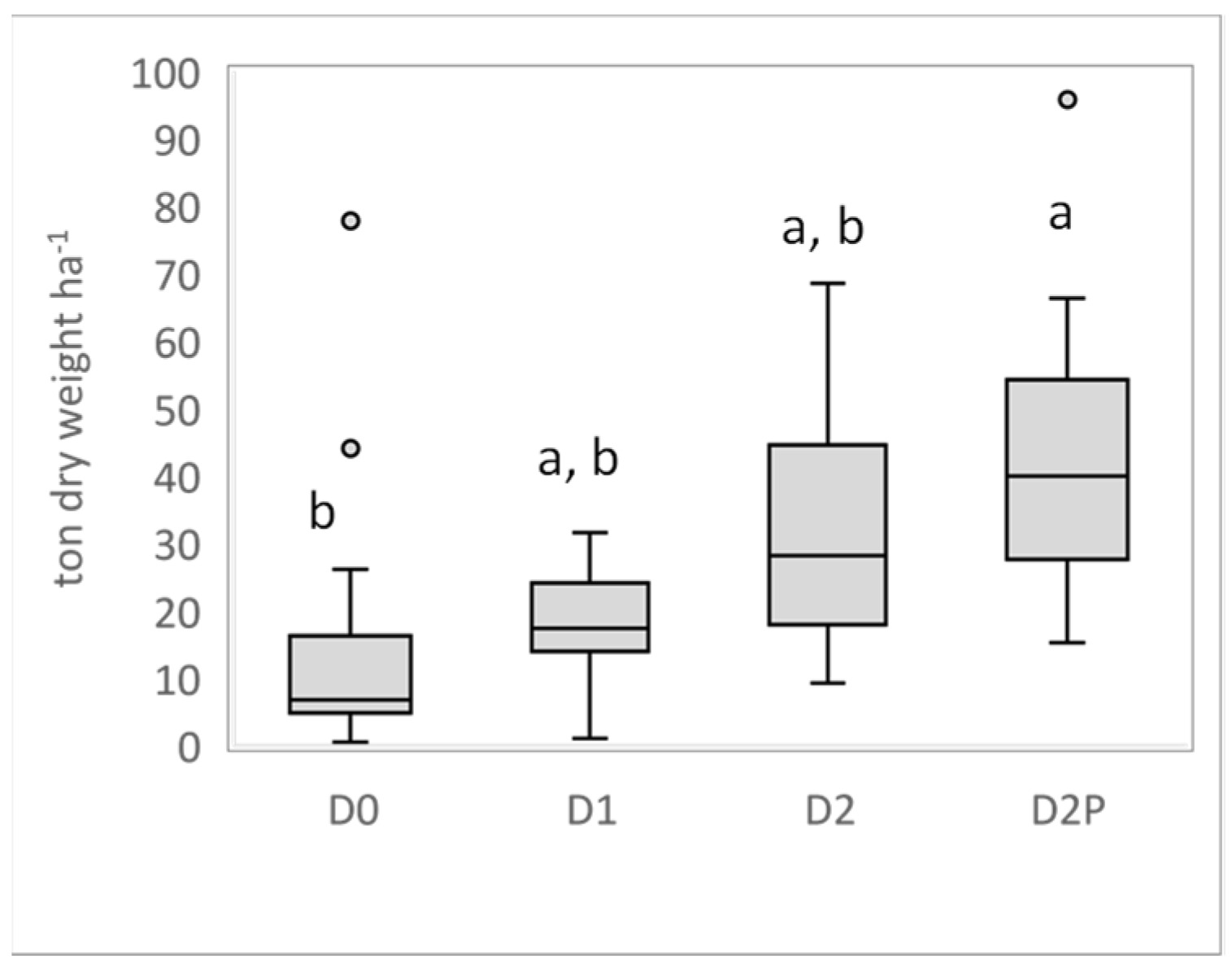
2.4.1. Biomass Productivity
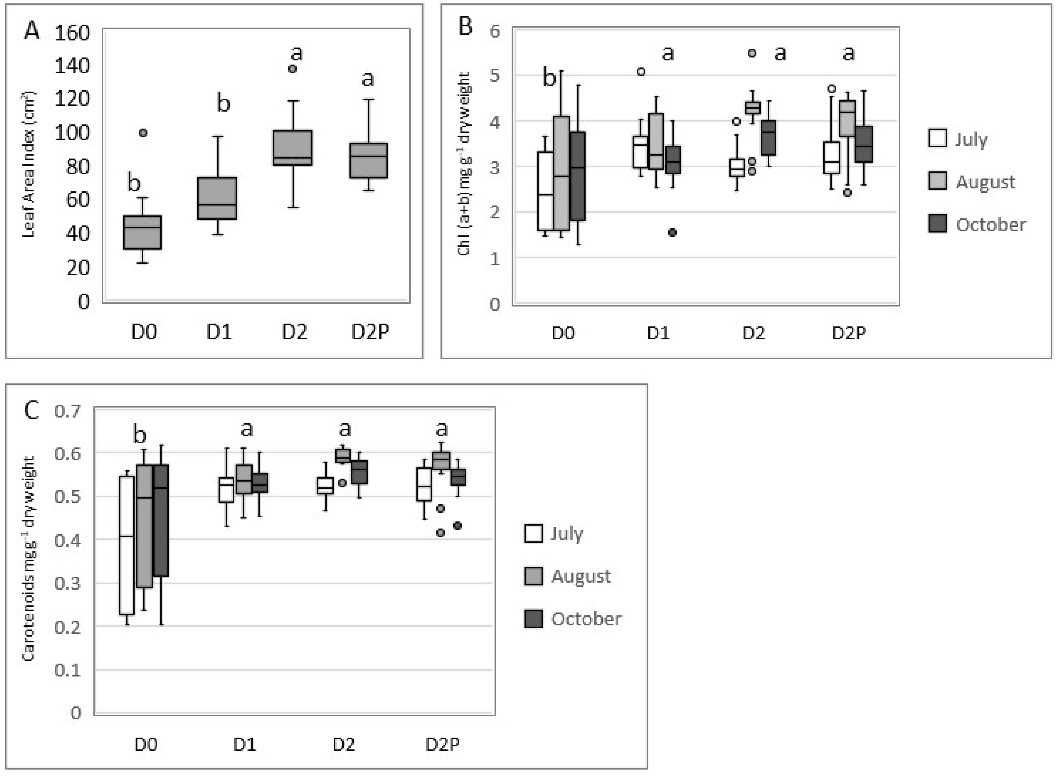
2.4.2. Leaf Surface Area
2.4.3. Leaf Pigment Content
2.4.4. Leaf Nutrient Analysis
3. Discussion
4. Materials and Methods
4.1. Site Description
4.2. Experimental Setup and Willow Treatment
4.3. Soil, Leachate, Groundwater and Porewater Sampling and Analysis
4.4. Plant Biomass
4.5. Plant Sampling and Analysis
4.6. Data Analysis
4.7. Statistical Analysis
5. Conclusions
Author Contributions
Funding
Data Availability Statement
Acknowledgments
Conflicts of Interest
References
- Das, S.; Lee, S.H.; Kumar, P.; Kim, K.H.; Lee, S.S.; Bhattacharya, S. Solid waste management: Scope and the challenge of sustainability. J. Clean. Prod. 2019, 228, 658–678. [Google Scholar] [CrossRef]
- Giroux, L. State of Waste Management in Canada (No. PN 1528); Conseil Canadien des Ministres de L’environnement: Winnipeg, MB, Canada, 2014. [Google Scholar]
- Lema, J.M.; Mendez, R.; Blazquez, R. Characteristics of landfill leachates and alternatives for their treatment: A review. Water Air Soil Pollut. 1988, 40, 223–250. [Google Scholar] [CrossRef]
- Christensen, T.H.; Baun, D.L. Speciation of heavy metals in landfill leachate: A Review. Waste Manag. Res. 2004, 22, 3–23. [Google Scholar]
- Ray, C.; Chan, P. Heavy metals in landfill leachate. Int. J. Environ. Stud. 2008, 27, 225–237. [Google Scholar] [CrossRef]
- Peng, Y. Perspectives on technology for landfill leachate treatment. Arab. J. Chem. 2017, 10, S2567–S2574. [Google Scholar] [CrossRef]
- Luo, H.; Zeng, Y.; Cheng, Y.; He, D.; Pan, X. Recent advances in municipal landfill leachate: A review focusing on its characteristics, treatment, and toxicity assessment. Sci. Total Environ. 2020, 703, 135468. [Google Scholar]
- Kjeldsen, P.; Barlaz, M.A.; Rooker, A.P.; Baun, A.; Ledin, A.; Christensen, T.H. Present and long-term composition of MSW landfill leachate: A review. Crit. Rev. Environ. Sci. Technol. 2002, 32, 297–336. [Google Scholar] [CrossRef]
- MELCC, Règlement sur L’Enfouissement ET L’Incinération des Matières Résiduelles. Available online: https://www.environnement.gouv.qc.ca/matieres/reimr.htm (accessed on 1 April 2022).
- Renou, S.; Givaudan, J.G.; Poulain, S.; Dirassouyan, F.; Moulin, P. Landfill leachate treatment: Review and opportunity. J. Haz. Mat. 2008, 150, 468–493. [Google Scholar] [CrossRef]
- Dimitriou, I.; Aronsson, P.; Weih, M. Stress tolerance of five willow clones after irrigation with different amounts of landfill leachate. Bioresour. Technol. 2006, 97, 150–157. [Google Scholar] [CrossRef] [PubMed]
- Bialowiec, A.; Wojnowska-Baryla, I.; Agopsowicz, M. The efficiency of evapotranspiration of landfill leachate in the soil-plant system with willow Salix amygdalina L. Ecol. Eng. 2007, 30, 356–361. [Google Scholar] [CrossRef]
- Zalesny, R.S.; Bauer, E.O. Evaluation of Populus and Salix continuously irrigated with landfill leachate II. Soils and early tree development. Int. J. Phytoremediation 2007, 9, 307–323. [Google Scholar] [CrossRef] [PubMed]
- Rosenkranz, T. Phytoremediation of Landfill Leachate by Irrigation to Willow Short-Rotation Coppice. Master’s Thesis, Swedish University of Agricultural Sciences, Uppsala, Sweden, 2013. [Google Scholar]
- Livingstone, D.; Smyth, B.M.; McDonald, J.; Johnston, C. Willow for landfill leachate remediation and bioenergy, is it an effective solution? In Proceedings of the 15th Conference on Sustainable Development of Energy, Water and Environment Systems, Cologne, Germany, 1–5 September 2020. [Google Scholar]
- Stephens, W.; Tyrrel, S.F.; Tiberghien, J. Irrigating short rotation coppice with landfill leachate: Constraints to productivity due to chloride. Bioresour. Technol. 2000, 75, 227–229. [Google Scholar] [CrossRef]
- Dimitriou, I. Performance and Sustainability of Short-Rotation Energy Crops Treated with Municipal and Industrial Residues. Ph.D. Thesis, Acta Universitatis Agriculturae Sueciae, Swedish University of Agricultural Sciences, Uppsala, Sweden, 2005. [Google Scholar]
- Jones, D.L.; Williamson, K.L.; Owen, A.G. Phytoremediation of landfill leachate. Waste Manag. 2006, 26, 825–837. [Google Scholar] [CrossRef]
- Cavanagh, A.; Gasser, M.O.; Labrecque, M. Pig slurry as fertilizer on willow plantation. Biomass Bioenergy 2011, 35, 4165–4173. [Google Scholar] [CrossRef]
- Guidi, W.; Pitre, F.; Labrecque, M. Short-rotation coppice of willows for the production of biomass in Eastern Canada. In Biomass Now-Sustainable Growth and Use; Matovic, M.D., Ed.; Tech Open Science: London, UK, 2013; ISBN 978-953-51-1105-4. [Google Scholar]
- Nissim, W.G.; Jerbi, A.; Lafleur, B.; Fluet, R.; Labrecque, M. Willows for the treatment of municipal wastewater: Performance under different irrigation rates. Ecol. Eng. 2015, 81, 395–404. [Google Scholar] [CrossRef]
- Dimitriou, I.P.; Aronsson, P. Landfill leachate treatment with willows and poplars–Efficiency and plant response. Waste Manag. 2010, 30, 2137–2145. [Google Scholar] [CrossRef]
- Lachapelle-T, X.; Labrecque, M.; Comeau, Y. Treatment and valorization of a primary municipal wastewater by a short rotation willow coppice vegetation filter. Ecol. Eng. 2019, 130, 32–44. [Google Scholar] [CrossRef]
- Sas, E.; Hennequin, L.M.; Frémont, A.; Jerbi, A.; Legault, N.; Lamontagne, J.; Fagoaga, N.; Sarrazin, M.; Hallett, J.P.; Fennell, P.S.; et al. Biorefinery potential of sustainable municipal wastewater treatment using fast-growing willow. Sci. Total. Environ. 2021, 792, 148146. [Google Scholar] [CrossRef] [PubMed]
- Hänel, M.; Istenič, D.; Brix, H.; Arias, C.A. Wastewater-Fertigated Short-Rotation Coppice, a Combined Scheme of Wastewater Treatment and Biomass Production: A State-of-the-Art Review. Forests 2022, 13, 810. [Google Scholar] [CrossRef]
- McCracken, A.R.; Chris, R.; Johnston, C.J. Potential for wastewater management using energy crops. Manag. Econ. Eng. Agric. Rural. Dev. 2015, 15, 275–284. [Google Scholar]
- Aronsson, P.; Dahlin, T.; Dimitriou, I. Treatment of landfill leachate by irrigation of willow coppice–Plant response and treatment efficiency. Environ. Pollut. 2010, 158, 795–804. [Google Scholar] [CrossRef]
- Holm, B.; Heinsoo, K. Municipal wastewater application to Short Rotation Coppice of willows-Treatment efficiency and clone response in Estonian case study. Biomass Bioenerg 2013, 57, 126–135. [Google Scholar] [CrossRef]
- Guidi Nissim, W.; Palm, E.; Camilla Pandolfi, C.; Mancuso, S.; Azzarello, E. Willow and poplar for the phyto-treatment of landfill leachate in Mediterranean climate. J. Environ. Manag. 2021, 277, 111454. [Google Scholar] [CrossRef]
- Kuzovkina, Y.A.; Knee, M.; Quigley, M.F. Soil compaction and flooding effects on the growth of twelve Salix L. species. J. Environ. Hort. 2004, 22, 155–160. [Google Scholar]
- Amlin, N.A.; Rood, S.B. Inundation tolerances of riparian willows and cottonwoods. J. Am. Water Resour. Assoc. 2001, 37, 1709–1720. [Google Scholar] [CrossRef]
- Jerbi, A.; Brereton, N.J.B.; Sas, E.; Amiott, S.; Lachapelle-T, X.; Comeau, Y.; Pitre, F.E.; Labrecque, M. High biomass yield increases in a primary effluent wastewater phytofiltration are associated to altered leaf morphology and stomatal size in Salix miyabeana. Sci. Total Environ. 2020, 738, 139728. [Google Scholar] [CrossRef]
- Amiot, S.; Jerbi, A.; Lachapelle-T, X.; Frédette, C.; Labrecque, M.; Comeau, Y. Optimization of the wastewater treatment capacity of a short rotation willow coppice vegetation filter. Ecol. Eng. 2020, 158, 106013. [Google Scholar] [CrossRef]
- Frédette, C.; Labrecque, M.; Comeau, Y.; Brisson, J. Willows for environmental projects: A literature review of results on evapotranspiration rate and its driving factors across the genus Salix. J. Environ. Manag. 2018, 246, 526–537. [Google Scholar] [CrossRef]
- Curneen, S.J.; Gill, L.W. A comparison of the suitability of different willow varieties to treat on-site wastewater effluent in an Irish climate. J. Environ. Manag. 2014, 133, 153–161. [Google Scholar] [CrossRef] [PubMed]
- Palm. E.; Guidi Nissim; W.; Gagnon-Fee, D.; Labrecque, M. Photosynthetic patterns during autumn in three different Salix cultivars grown on a brownfield site. Photosynth. Res. 2022, 154, 155–167. [Google Scholar] [CrossRef] [PubMed]
- Jerbi, A.; Guidi Nissim, W.; Fluet, R.; Labrecque, M. Willow root development and morphology changes under different irrigation and fertilization regimes in a vegetation filter. Bioenergy Res. 2015, 8, 775–787. [Google Scholar] [CrossRef]
- Tischner, R. Nitrate uptake and reduction in higher and lower plants. Plant Cell Environ. 2000, 23, 1005–1024. [Google Scholar] [CrossRef]
- MELCC. Règlement sur L’Enfouissement et L’Incinération de Matières Résiduelles, Q2, r. 19. 2022. Available online: https://www.legisquebec.gouv.qc.ca/fr/document/rc/Q-2 (accessed on 1 April 2022).
- Caslin, B.; Finnan, J.; Johnston, C.; McCracken, A.; Walsh, L. Short Rotation Coppice Willow Best Practice Guidelines; AFBI, Agri-Food and Bioscience Institute: Newforge Lane, Belfast, Antrim, 2010. [Google Scholar]
- Ericsson, T. Nutrient cycling in energy forest plantations. Biomass Bioenerg 1994, 6, 115–121. [Google Scholar] [CrossRef]
- Adegbidi, H.; Volk, T.; White, E.; Abrahamson, L.; Briggs, R.; Bickelaupt, D. Biomass and nutrient removal by willow clones in experimental bioenergy plantation in New York State. Biomass Bioenerg 2001, 20, 399–411. [Google Scholar] [CrossRef]
- Martin, P.J.; Stephens, W. Willow growth in response to nutrients and moisture on a clay landfill cap soil. I. Growth and biomass production. Bioresour. Technol. 2006, 97, 437–448. [Google Scholar] [CrossRef] [PubMed]
- Cheng, H.; Yuan, M.; Duana, Q.; Suna, R.; Shena, Y.; Yub, Q.; Li, S. Influence of phosphorus fertilization patterns on the bacterial community in upland farmland. Ind. Crops Prod. 2020, 155, 112761. [Google Scholar] [CrossRef]
- Siegenthaler, M.B.; Ramoneda, J.; Frossard, E.; Meszaros, E. Microbial community responses to phosphorus and nitrogen inputs in the organic soil horizons of two contrasting temperate beech forests. Appl. Soil Ecol. 2022, 172, 104357. [Google Scholar] [CrossRef]
- Heuck, C.; Weig, A.; Spohn, M. Soil microbial biomass C:N:P stoichiometry and microbial use of organic phosphorus. Soil Biol. Biochem. 2015, 85, 119–129. [Google Scholar] [CrossRef]
- Godley, A.; Alker, G.; Hallett, J.; Marshall, R.; Riddell-Black, D. Landfill leachate nutrient recovery by Willow short rotation coppice. I. Yield, Tissue composition and wood quality. Arboric. J. 2004, 27, 281–295. [Google Scholar] [CrossRef]
- Bouain, N.; Shahzad, Z.; Rouached, A.; Abbas Khan, G.; Berthomieu, P.; Abdelly, C.; Poirier, Y.; Rouached, H. Phosphate and zinc transport and signalling in plants: Toward a better understanding of their homeostasis interaction. J. Exp. Bot. 2014, 65, 5725–5741. [Google Scholar]
- Fageria, V.D. Nutrient interactions in crop plants. J. Plant Nutr. 2001, 24, 1269–1290. [Google Scholar] [CrossRef]
- Huang, X.; Soolanayakanahally, R.J.; Guy, R.D.; Shunmugam, A.S.K.; Mansel, S.D. Differences in growth and physiological and metabolic responses among Canadian native and hybrid willows (Salix spp.) under salinity stress. Tree Physiol. 2020, 40, 652–666. [Google Scholar] [CrossRef] [PubMed]
- Cseri, A.; Borbely, P.; Poor, P.; Feher, A.; Sass, L.; Jancso, M.; Penczi, A.; Radi, F.; Gyuricza, C.; Digruber, T.; et al. Increased adaptation of an energy willow cultivar to soil salinity by duplication of its genome size. Biomass Bioenerg 2020, 140, 105655. [Google Scholar] [CrossRef]
- Environment Canada. Canadian Climate Normals. 2020. Available online: https://climate.weather.gc.ca/climate_normals/index_e.html (accessed on 1 August 2022).
- Saxton, K.E.; Rawls, W.J. Soil water characteristic estimates by texture and organic matter for hydrologic solutions. Soil Sci. Soc. Am. J. 2006, 70, 1569–1578. [Google Scholar] [CrossRef]
- Hiscox, J.D.; Israelstam, G.F. A method for the extraction of chlorophyll from leaf tissue without maceration. Can. J. Bot. 1979, 57, 1332–1334. [Google Scholar] [CrossRef]
- Allen, R.G.; Pereira, L.S.; Raes, D.; Smith, M. Crop Evapotranspiration: Guidelines for Computing Crop Water Requirements; Food and Agriculture Organization of the United Nations, Irrigation and Drainage Paper 56; FAO: Rome, Italy, 1998; ISBN 92-5-104219-5. [Google Scholar]
- Mishra, S.K.; Singh, V.P. Soil Conservation Service Curve Number (SCS-CN) Methodology, 2003rd ed.; Water Science & Technology Library Book 42; Springer Science & Business Media: Berlin, Germany, 2003. [Google Scholar]
- Zotarelli, L.; Dukes, M.D.; Romero, C.C.; Migliaccio, K.W.; Morgan, K.T. Step by Step Calculation of the Penman-Monteith Evapotranspiration (FAO-56 Method); Doc. AE459, UF/IFAS extension; University of Florida: Gainesville, FL, USA, 2010; pp. 1–10. [Google Scholar]
- Guidi, W.; Piccioni, E.; Bonari, E. Evapotranspiration and crop coefficient of poplar and willow short-rotation coppice used as vegetation filter. Bioresour. Technol. 2008, 99, 4832–4840. [Google Scholar] [CrossRef] [PubMed]







| Soil Reference | D0 | D1 | D2 | D2P | |||||||
|---|---|---|---|---|---|---|---|---|---|---|---|
| Parameters | Units | July 2019 | n | June | October | June | October | June | October | June | October |
| Al | mg/kg | 1181 ± 133 | 4 | 1255 ± 210 | 1273 ± 176 | 1094 ± 141 | 1024 ± 160 | 1239 ± 109 | 1298 ± 207 | 1304 ± 252 | 1228 ± 235 |
| As | mg/kg | <5.0 | 1 | 0.71 | 2.21 | 0.87 | 1.43 | 0.99 | 1.56 | 1.01 | 1.94 |
| B | mg/kg | 0.5 ± 0.1 | 4 | 0.6 ± 0.2 | 0.4 ± 0.1 a | 1.5 ± 0.8 | 2.0 ± 0.9 b | 1.3 ± 0.2 | 2.9 ± 0.5 b | 1.6 ± 0.4 | 2.3 ± 0.5 b |
| Ba | mg/kg | 198 ± 24 | 1 | 140.2 | 160 | 162 | 155.4 | 132.2 | 133.6 | 147.8 | 146.4 |
| Ca | kg/ha | 5793 ± 729 | 4 | 5064 ± 1013 | 5197 ± 963 | 4508 ± 469 | 4484 ± 337 | 4393 ± 1383 | 4280 ± 1488 | 4978 ± 879 | 4700 ± 444 |
| Cd | mg/kg | < 0.50 | 1 | 0.0025 | 0.155 | 0.57 | 0.03 | 0.0025 | 0.09 | 0.57 | 2.27 |
| Co | mg/kg | 16 ± 2 | 1 | 10.8 | 12.5 | 14 | 13.5 | 10.2 | 11.1 | 9.4 | 10.7 |
| Cr | mg/kg | 81 ± 10 | 1 | 56 | 72 | 65 | 71.4 | 41.5 | 61.3 | 49.9 | 62.4 |
| Cu | mg/kg | 10.3 ± 2.6 | 4 | 10.8 ± 3.2 | 10.8 ± 2.3 | 8.5 ± 1.8 | 9.1 ± 1.2 | 8.7 ± 3.7 | 8.5 ± 4.7 | 10.4 ± 3.3 | 10.4 ± 2.0 |
| Fe | mg/kg | 345 ± 17 | 4 | 340 ± 28 | 358 ± 30 | 351 ± 30 | 372 ± 31 | 367 ± 63 | 325 ± 53 | 328 ± 29 | 371 ± 26 |
| K | kg/ha | 531 ± 104 | 4 | 483 ± 88 | 487 ± 122 a | 590 ± 217 | 898 ± 96 b | 522 ± 197 | 976 ± 308 b | 640 ± 133 | 1002 ± 168 b |
| Mg | kg/ha | 1292 ± 194 | 4 | 1041 ± 137 | 1139 ± 188 | 1155 ± 217 | 1362 ± 86 | 1050 ± 312 | 1083 ± 304 | 1097 ± 104 | 1248 ± 115 |
| Mn | mg/kg | 22.1 ± 6.2 | 4 | 20.0 ± 11.7 | 17.0 ± 2.0 | 24.8 ± 3.2 | 20.5 ± 4.1 | 20.9 ± 11.7 | 16.0 ± 7.2 | 19.2 ± 5.3 | 19.5 ± 4.9 |
| Ni | mg/kg | 47 ± 6 | 1 | 35.9 | 40.2 | 43.1 | 40.4 | 38 | 34 | 26.8 | 34.2 |
| P | kg/ha | 312 ± 208 | 4 | 441 ± 239 | 412 ± 183 | 141 ± 87 | 86 ± 71 | 326 ± 170 | 341 ± 238 | 418 ± 291 | 330 ± 214 |
| Pb | mg/kg | 7.0 ± 0.5 | 1 | 0.4 | 8.43 | 0.05 | 6.58 | 0.025 | 7.44 | 0.92 | 9.2 |
| Parameters | Treatment | D0 | D1 | D2 | D2P |
|---|---|---|---|---|---|
| COD | Influent (mg L−1) | 9.8 ± 6.1 | 288 ± 43 | 288 ± 43 | 288 ± 43 |
| Effluent (mg L−1) | 28.0 ± 18 a | 58 ± 20 b | 198 ± 69 d | 111 ± 42 c | |
| Efficiency % | −185.0 | 79.8 | 31.2 | 61.6 | |
| NTK | Influent (mg L−1) | 0.22 ± 0.06 | 221 ± 37 | 221 ± 37 | 221 ± 37 |
| Effluent (mg L−1) | 0.90 ± 0.68 a | 2.3 ± 1.6 b | 5.6 ± 4.0 c | 3.8 ± 2.0 c | |
| Efficiency % | −309.1 | 99.9 | 97.5 | 98.3 | |
| NH4-N | Influent (mg L−1) | 0.23 ± 0.05 | 218 ± 35 | 218 ± 35 | 218 ± 35 |
| Effluent (mg L−1) | 0.06 ± 0.04 a | 0.07 ± 0.08 a,b | 2.29 ± 3.53 b,c | 0.82 ± 1.30 c | |
| Efficiency % | 74 | 100 | 99 | 99.6 |
| Parameter | Units | Influent | Effluent | ||||||||
|---|---|---|---|---|---|---|---|---|---|---|---|
| Water | Leachate | D0 | D1 | D2 | D2P | ||||||
| August | October | August | October | August | October | August | October | ||||
| Ca | mg/kg | 78.7 | 232 | 139.3 ± 28 | 151 ± 39 a | 344.0 ± 77 | 368 ± 101 b | 396 ± 80 | 386 ± 108 b | 433.0 ± 111 | 456 ± 116 b |
| Fe | mg/kg | 1.45 | 34.5 | 3.8 ± 4.3 | 2.7 ± 1.8 a | 0.09 ± 0.07 | 0.06 ± 0.01 b | 0.10 ± 0.09 | 0.15 ± 0.14 b | 0.04 ± 0.02 | 0.04 ± 0.02 b |
| K | mg/kg | 4.5 | 267.7 | 8.4 ± 5.7 | 10 ± 1.6 a | 38 ± 22 | 35 ± 11 a | 87 ± 42 | 119 ± 89 b | 49 ± 19 | 55 ± 36 a |
| Mg | mg/kg | 39.2 | 122.4 | 62 ± 19 | 63 ± 22 a | 194 ± 63 | 190 ± 66 b | 210 ± 15 | 201 ± 27 b | 212 ± 82 | 220 ± 73 b |
| Na | mg/kg | 21.7 | 333 | 12 ± 3 | 11 ± 5 a | 262 ± 180 | 250 ± 99 b | 396 ± 129 | 467 ± 172 b | 371 ± 209 | 377 ± 210 b |
| P | mg/kg | 0.0008 | 0.006 | 0.17 ± 0.11 | 0.09 ± 0.02 | 0.50 ± 0.55 | 0.07 ± 0.05 | 0.14 ± 0.05 | 0.07 ± 0.04 | 0.24 ± 0.15 | 0.13 ± 0.09 |
| Parameters | Units | Treatment | ||||||
|---|---|---|---|---|---|---|---|---|
| DO | D1 | % D0 | D2 | % D0 | D2P | % D0 | ||
| N | % | 2.08 a | 3.25 b | 56 | 3.87 b | 86 | 3.66 b | 76 |
| P | % | 0.26 | 0.23 | −12 | 0.3 | 15 | 0.29 | 12 |
| K | % | 1.53 | 1.59 | 4 | 1.64 | 7.2 | 1.66 | 9 |
| Ca | % | 1.43 | 1.32 | −8 | 1.25 | −13 | 1.23 | −14 |
| Mg | % | 0.29 | 0.33 | 14 | 0.32 | 10 | 0.29 | 0 |
| S | % | 0.36 | 0.43 | 19 | 0.39 | 8 | 0.36 | 0 |
| Al | mg/kg | 22.5 | 27 | 20 | 22.3 | −0.9 | 17.8 | −21 |
| B | mg/kg | 28.8 a | 31 a | 8 | 40.8 b | 42 | 40 b | 39 |
| Cu | mg/kg | 6.8 | 10.3 | 51 | 11 | 62 | 8 | 18 |
| Fe | mg/kg | 59.5 | 76.5 | 29 | 85.3 | 43 | 68.3 | 15 |
| Mn | mg/kg | 45.3 | 48.3 | 6.7 | 53.5 | 18 | 42 | −7.3 |
| Zn | mg/kg | 137.5 a | 60.8 b | −56 | 52.8 b | −62 | 62.8 b | −54 |
| Parameters | Units | Values | Parameters | Units | Values |
|---|---|---|---|---|---|
| Density | g/cm3 | 0.87 ± 0.02 | Cr | mg/kg | 78 ± 8 |
| Porosity | % vol | 66.0 ± 0.7 | Cu | mg/kg | 44 ± 6 |
| Sand | wt% | 34.6 ± 5.9 | Fe | mg/kg | 345 ± 4 |
| Silt | wt% | 13.3 ± 3.0 | Hg | mg/kg | 0.091 ± 0.005 |
| Clay | wt% | 52.1 ± 3.0 | K | kg/ha | 524 ± 43 |
| Texture | - | Clay | Mg | kg/ha | 1278 ± 188 |
| Field capacity (FC) 1 | v% | 40 ± 3 | Mn | mg/kg | 22 ± 3 |
| Wilting point (WP) 1 | v% | 29 ± 2 | Na | mg/kg | 895 ± 113 |
| Total available water (TAW) 1 | v% | 12 ± 0.8 | Ni | mg/kg | 45 ± 5 |
| TAW 1 | mm | 69.0 ± 3.5 | Pb | mg/kg | 7.0 ± 0.5 |
| Organic matter | % | 4 ± 2 | P | kg/ha | 312 ± 219 |
| pH | 7.8 ± 0.2 | S | mg/kg | 406 ± 152 | |
| Saturated hydraulic conductance | cm/h | 0.12 ± 0.00 | Se | mg/kg | <1.0 |
| Ag | mg/kg | <2.0 | SO4 | % | 0.008 ± 0.001 |
| Al | mg/kg | 1176 ± 129 | Zn | mg/kg | 85 ± 11 |
| As | mg/kg | <5.0 | Chloride | mg/kg | 20 ± 5 |
| B | mg/kg | 0.5 ± 0.1 | Sulphide | mg/kg | 327 ± 159 |
| Ba | mg/kg | 193 ± 24 | Organic carbon | %g/g | 1.5 ± 0.4 |
| Ca | kg/ha | 5739 ± 622 | Total carbon | %g/g | 1.7 ± 0.6 |
| Cd | mg/kg | <0.50 | NH4-N | mg N/kg | 8.0 ± 2.0 |
| Co | mg/kg | 16 ± 2 | NO3-N | mg N/kg | 1.8 ± 0.6 |
| LEACHATE | GROUNDWATER | ||||||||||
|---|---|---|---|---|---|---|---|---|---|---|---|
| Parameters | Units | n | Initial Characterization 2019 | n | Average Aged Leachate Values 2019 | n | Average Aged Leachate Values 2020 | n | Average Groundwater Values 2019 | n | AVERAGE Groundwater Values 2020 |
| TSS | mg/L | 3 | 57 ± 39 | 6 | 53 ± 37 | 8 | 79 ± 13 | 5 | 4.0 ± 2.4 | 8 | 1.8 ± 0.6 |
| VSS | mg/L | 3 | 23 ± 17 | 9 | 22 ± 12 | 8 | 31.0 ± 8.0 | 5 | 6.0 ± 2.2 | 8 | <5 |
| BOD5 | mg/L | 3 | 17. ± 8.2 | 6 | 31 ± 29 | 7 | 9.4 ± 3.0 | 5 | 5.2 ± 6.0 | 7 | 0.68 ± 0.67 |
| COD | mg/L | 3 | 204 ± 25 | 6 | 302 ± 17 | 9 | 288 ± 43 | 6 | 19 ± 29 | 9 | 9.8 ± 6.1 |
| NH3-N | mg N/L | 3 | 177 ± 32 | 6 | 260 ± 27 | 9 | 213 ± 35 | 6 | 0.17 ± 0.08 | 9 | 0.22 ± 0.06 |
| NO3-N | mg N/L | 3 | 0.09 ± 0.03 | 1 | 0.05 | - | - | 1 | 0.02 | - | - |
| TKN | mg N/L | 3 | 173 ± 46 | 1 | 240 | 1 | 180 | 1 | 1.1 | 1 | 1.1 |
| o-PO4 | mg P/L | 3 | 0.270 ± 0.012 | 1 | 0.185 | 3 | 0.047 ± 0.073 | 1 | 0.0055 | 3 | 0.0050 ± 0.0003 |
| P total | mg P/L | 3 | 0.03 ± 0.01 | 1 | 0.020 | 3 | 0.103 ± 0.058 | 1 | 0.02 | 3 | 0.07 ± 0.04 |
| Ca total | mg/L | 3 | 202 ± 19 | 3 | 178 ± 23 | 2 | 232 ± 28 | 3 | 72 ± 8 | 2 | 79 ± 6 |
| Cl | mg/L | 3 | 198 ± 15 | 1 | 337 | 2 | 297 ± 85 | 1 | 36 | 2 | 40.0 ± 0.7 |
| SO4 | mg/L | 3 | 20 ± 2 | 1 | 45 | - | - | 1 | 36 | - | - |
| Al total | mg/L | 4 | 0.033 ± 0.023 | 1 | 0.211 | - | - | 1 | 0.003 | - | - |
| As total | mg/L | 4 | 0.0012 ± 0.0005 | - | - | - | - | - | - | - | - |
| Ba total | mg/L | 4 | 0.370 ± 0.095 | - | - | - | - | - | - | - | - |
| B total | mg/L | 1 | - | 1 | 1.53 | - | - | 1 | 0.005 | - | - |
| Cd total | mg/L | 2 | 0.00012 | - | - | - | - | - | - | - | - |
| Cu total | mg/L | 4 | 0.001 ± 0.001 | 1 | 0.000025 | - | - | 1 | 0.000025 | - | - |
| Fe total | mg/L | 4 | 22 ± 14 | 4 | 24 ± 19 | 2 | 34.5 ± 5.0 | 3 | 0.63 ± 0.21 | 2 | 0.95 ± 0.50 |
| Hg total | mg/L | 4 | <0.00001 | - | - | - | - | - | - | - | - |
| K total | mg/L | 3 | 147 ± 30 | 3 | 220 ± 36 | 2 | 268.0 ± 8.2 | 3 | 4.8 ± 0.5 | 2 | 4.5 ± 0.9 |
| Mg total | mg/L | - | - | 3 | 99 ± 10 | 2 | 122 ± 16 | 3 | 38.0 ± 5.5 | 2 | 22 ± 6 |
| Mn total | mg/L | - | - | 1 | 0.78 | - | - | 1 | 0.10 | - | - |
| Na total | mg/L | 4 | 170 ± 15 | 3 | 264 ± 32 | 2 | 333.0 ± 2.8 | 3 | 22 ± 2 | 2 | 22 ± 6 |
| Ni total | mg/L | 4 | 0.0075 ± 0.0030 | 1 | 0.013 | - | - | 1 | 0.000025 | - | - |
| Pb total | mg/L | 4 | <0.003 | - | - | - | - | - | - | - | - |
| Se total | mg/L | 4 | 0.003 ± 0.002 | - | - | - | - | - | - | - | - |
| Zn total | mg/L | 3 | 0.34 ± 0.60 | 4 | 0.0015 ± 0.0017 | 2 | 0.006 ± 0.007 | 3 | 0.004 ± 0.006 | 2 | 0.0008 ± 0.0004 |
| Phenols | mg/L | 3 | 0.009 ± 0.005 | 2 | 0.009 ± 0.004 | 2 | 0.033 ± 0.01 0 | 2 | 0.001 | 2 | <0.003 |
| pH | - | - | - | 5 | 6.8 ± 0.1 | 10 | 6.78 ± 0.21 | 5 | 7.3 ± 0.4 | 10 | 7.0 ± 0.2 |
| EC | mS/cm | - | - | 5 | 4.2 ± 0.4 | 10 | 3.76 ± 0.41 | 5 | 0.66 ± 0.10 | 10 | 0.62 ± 0.07 |
| ORP | mV | - | - | 4 | −12.33 ± 78 | 10 | 39.4 ± 28.1 | 4 | −29 ± 47 | 10 | 163 ± 89 |
| TDS | mg/L | - | - | 4 | 2077 ± 216 | 8 | 1893 ± 199 | 4 | 360 ± 98 | 10 | 307 ± 36 |
Disclaimer/Publisher’s Note: The statements, opinions and data contained in all publications are solely those of the individual author(s) and contributor(s) and not of MDPI and/or the editor(s). MDPI and/or the editor(s) disclaim responsibility for any injury to people or property resulting from any ideas, methods, instructions or products referred to in the content. |
© 2023 by the authors. Licensee MDPI, Basel, Switzerland. This article is an open access article distributed under the terms and conditions of the Creative Commons Attribution (CC BY) license (https://creativecommons.org/licenses/by/4.0/).
Share and Cite
Benoist, P.; Parrott, A.; Lachapelle-T., X.; Barbeau, L.-C.; Comeau, Y.; Pitre, F.E.; Labrecque, M. Treatment of Landfill Leachate by Short-Rotation Willow Coppice Plantations in a Large-Scale Experiment in Eastern Canada. Plants 2023, 12, 372. https://doi.org/10.3390/plants12020372
Benoist P, Parrott A, Lachapelle-T. X, Barbeau L-C, Comeau Y, Pitre FE, Labrecque M. Treatment of Landfill Leachate by Short-Rotation Willow Coppice Plantations in a Large-Scale Experiment in Eastern Canada. Plants. 2023; 12(2):372. https://doi.org/10.3390/plants12020372
Chicago/Turabian StyleBenoist, Patrick, Adam Parrott, Xavier Lachapelle-T., Louis-Clément Barbeau, Yves Comeau, Frédéric E. Pitre, and Michel Labrecque. 2023. "Treatment of Landfill Leachate by Short-Rotation Willow Coppice Plantations in a Large-Scale Experiment in Eastern Canada" Plants 12, no. 2: 372. https://doi.org/10.3390/plants12020372
APA StyleBenoist, P., Parrott, A., Lachapelle-T., X., Barbeau, L.-C., Comeau, Y., Pitre, F. E., & Labrecque, M. (2023). Treatment of Landfill Leachate by Short-Rotation Willow Coppice Plantations in a Large-Scale Experiment in Eastern Canada. Plants, 12(2), 372. https://doi.org/10.3390/plants12020372

